Abstract
Girdling, based on the accumulation of photosynthetic products above the girdling zone, is a common technique applied to tree species to increase the yield and fruit quality. The aim of this study was to investigate the girdling effects on photosynthesis and soluble sugars (Sols) of leaves in fruiting shoots and, for the first time, on quality variables of ‘Franquette’ walnuts harvested at two harvests, early and late, 43 and 84 d after treatment, respectively. Girdling was conducted on a part of four-year old branches at the onset of kernel growth. At late harvest, coinciding with commercial harvest, girdling advanced the mature fruit percentage, kernel weight, and oil content, whereas decreased kernel moisture and slightly affected the color brightness, although kernels remained with an extra light color. Advanced maturation increased linoleic acid and polyunsaturated fatty acid (PUFA) fraction in oil, whereas it decreased palmitic acid and the saturated fatty acid (SFA) fraction in oil, kernel total antioxidants, and Sols (sucrose, glucose, fructose) in kernels and leaves and leaf photosynthesis (Pn), whereas girdling had no effect on these variables. Oil rancidity remained stable throughout the experiment. Development of callus was observed on tree wounds 84 d after treatment. Conclusively, girdling enhanced the fruit maturation, resulting in higher uniformity of maturity and increased oil yield with no quality deterioration or apparent tree damage.
1. Introduction
English or Persian walnut (Juglans regia L.) trees are cultivated worldwide, with China being the leading producer with 1,586,367 tons in 2018, corresponding to 43.3% of the global production [1]. Lately, there has been an increasing production of walnuts, reflecting on the increasing consumption due to consumer awareness of the beneficial effects on health and prevention of many diseases, such as diabetes, hypercholesterolemia, and cardiovascular disease [2].
Walnuts are very rich in antioxidants, primarily attributed to phenolic compounds [3,4,5]. Walnuts also contain a high percentage (w/w) of oil, which is enriched in PUFA [6,7], phytosterol, squalene, and tocopherol [8], and they are a good source of melatonin, serotonin, and magnesium [7]. They are dense foods consumed as whole kernels (raw or roasted) or as walnut oil [9]. Consequently, a high quality of walnuts has become challenging [10]. Walnuts are considered stone fruit, but their fleshy green pericarp (hull) is inedible and removed, whereas the kernel inside the lignified shell (seed) comprises the edible part of the nut. The main walnut characteristics related to consumer-perceived quality include the kernel size, color of the pellicle (membrane on the kernel surface) and the lack of off-flavor. In the case they are sold in-shell, the size and color of the lignified shell (nut or seed) are also included in the quality criteria [11].
Harvesting of walnuts takes place when the hull is easily separated from the lignified shell and when septa (packing tissue), which separate the two kernel halves, have acquired a light brown color [12]. This stage is determined macroscopically by the onset of hull-split and the extra light or light color of the pellicle [10]. Nevertheless, in many cases, splitting does not completely coincide with the desired stage of kernel maturation, depending on cultivar and environmental conditions and there is no simultaneous ripening of all the fruit/nuts on the tree [12].
Girdling is a common technique applied to many species of fruit tree and consists of the removal of a narrow strip of bark from the trunk, branches, or shoots. This technique interrupts the phloem conduits in an attempt to manipulate the distribution of photosynthetic products and other compounds, resulting in their accumulation above the girdling zone [13]. Indicatively, this manipulation has been conducted effectively to hasten the ripening in nectarines and/or peaches [14,15], increase avocado size [16], size and oil content in olives [17], apple coloration [18], fruit set in citrus [19], and flower induction in iron walnut [20]. In walnuts, girdling has mainly been studied in relation to leaf photosynthesis and carbohydrate allocation among tissues [21], leaf characteristics and fruit development [22], or photosynthesis rate in relation to the ratio of leaves to fruit (LFR) on the girdled shoot [23].
After girdling, an often-observed outcome is the reduction of photosynthesis (Pn) above the girdling zone [19,24,25], although the opposite may also occur, as in iron walnut [20]. Therefore, different results and/or different explanations have been obtained by girdling studies, depending mainly on species, cultivars, season of application, season of determination, environmental conditions, nitrogen supply, and the fruit load of the girdled branches/shoots [13,22,25,26]. However, in walnuts, girdling research has been carried out to facilitate the conditions of the studies aiming to determine the carbohydrate allocation among the tree parts, but not the effect of girdling itself on fruit/nut quality.
Leaves are the main carbon source and reproductive organs in fruit/nut trees comprise the primary carbon sink, although photosynthesis also occurs in fruit [27]. In oily fruit, it is well known that oil synthesis requires sugar availability. Acetyl-CoA is the initial substrate for fatty acid synthesis, which in turn requires pyruvate produced from carbohydrates through glycolysis [28]. Therefore, it was of interest to detect changes in kernel soluble non-structural carbohydrates or soluble sugars (Sols) in association with kernel oil accumulation and in parallel with leaf Pn rate and Sols. Indeed, the aim of the present work was to investigate the effect of girdling treatment on walnut quality. Quality was assessed by determinations of the kernel weight, color, oil content, rancidity, and fatty acid composition, as well as Sols and total phenolic concentration (TP) and total antioxidant capacity (TAC) during fruit development. To avoid root starvation, only a part of branches of mature trees were girdled [16], whereas no fruit thinning or defoliation was carried out so the treatment could be compared with the intact trees. The study gave the opportunity to perform the above determinations in conjunction with leaf physiological characteristics, Pn, and Sols of the fruiting shoots.
2. Materials and Methods
2.1. Plant Material
Four twelve-year old walnut (Juglans regia L.) trees of cultivar ‘Franquette’ on ‘Paradox’ rootstock, grown on a private orchard in the region of Trikala Corinthias, County of Corinthia, Peloponnese, Greece (latitude 38°00′55″, longitude 22°24′46″, altitude of 1229 m), were used in this study. Periods of female flowers were between the first and second week of May. Twelve four-year old branches, with approximately 30 fruit each, were tagged on each tree. The fruit load on the tagged branches on each tree corresponded approximately to the half of the total tree load. Girdling was carried out on 15 July 2009, by carefully removing a 10 mm wide ring of bark from the base of six branches on each tree. At the second harvest, callus development was observed. The two sampling/harvesting dates were on 28 August 2009 and 8 October 2009, corresponding to 43 and 84 d after girdling treatment and to early harvested walnuts (EHW) and late (LHW), respectively. On each sampling day and for each treatment (controls or girdled branches) all evaluations corresponded to three different branches out of six per treatment and per tree. The evaluation of hull-split recording was performed visually. Photosynthetic variables were measured on two terminal leaflets of the composite leaves from fruiting shoots per tree and per treatment. Then, terminal leaflets (including those used for photosynthesis determination) were collected for Sols analysis. Seven fruit were harvested from each of the three tagged branches per treatment and per tree on each sampling day. On each sampling day, leaves and fruit per treatment (controls or girdled branches) were transferred to the laboratory within 2 h, mixed, and then sorted out in groups of four (four replicates of approximately seven leaves or nuts each). De-hulling and in-shell cracking were performed gently by hand. Nuts and kernels macroscopically free of diseases and disorders were used for all evaluations. Color was measured on kernel surface, kernels were separated in halves and weighed, and kernels and leaves were stored at −80 °C for a short time, then both were freeze-dried and stored at −80 °C again until analyses. All sampling material (trees, branches, shoots, leaves, and fruit) was selected at random.
2.2. Leaf photosynthetic Variables
Measurements were carried out around 10:00 a.m.–11:50 a.m. on cloudless days. Photosynthetic variables were determined with infrared gas analyzer, IRGA, by a portable photosynthesis system CIRAS-1 (PP systems, Herts, IK). The variables included net photosynthesis or Pn (μmol CO2 m−2 s−1), stomatal conductance or gs (mmol m−2 s−1), sub-stomatal CO2 concentration or Ci (μmol mol air−1), and transpiration rate E (mmol m−2 s−1). The photosynthetically active radiation or PAR was set at 1300 μmol m−2 s−2 and the CO2 concentration at 300 ± 10 μL L−1. The air flow in the chamber was 200 mL min−1.
2.3. Maturity Stage
The maturity stage of walnuts was estimated macroscopically, while fruits were attached to the trees.
Since the splitting of the hull is the first estimate, according to Kader and Thompson [12], the fruit were divided into four classes, depending on the split area of their pericarp, as follows: Class 1, 0% split-hull; Class 2, 1–50% split-hull; Class 3, 50–100% split-hull; Class 4, % fruit-drop. On each sampling day, the percentage of each Class per tree and per treatment (approximately 30 fruit/treatment/tree/sampling day) were calculated. Results are presented as frequency of each Class.
2.4. Weight of Nut and Color, Moisture, and Oil Percentage in Kernels
Weight of nuts and shelled kernels were measured during the same day after harvest. Kernel color was measured on the upper part of the outer surface of the kernel by chromameter (CR-300; and expressed as L* (0–100; higher values indicate higher lightness or brightness and vice versa), hue angle or h◦ (actual color, being white, yellow, brown, etc.; in kernel case the lower h◦ values indicate darker color) and chroma or C* (intensity of color or saturation).
Moisture was measured from 10 g of fresh kernels dried at 100–105 °C in an oven with air circulation until constant weight. Oil was extracted from 5 g of chopped frozen kernels with 50 mL petroleum ether (b.p. 40–60 °C) by a Soxhlet apparatus for 6 h.
2.5. Extraction of Antioxidants
Antioxidants were extracted according to Christopoulos and Tsantili [5]. Chops of frozen tissue (−80 °C) were homogenized with 80% acetone (v/v) in water (5 mL g−1 tissue) using an Ultra-Turrax (T 25; IKA Labortechnik, Staufen, Germany) for 2 min (1 min at 9500 rpm and 1 min at 13,500 rpm). Then, the homogenate was placed in an ultrasonic bath in the dark for 30 min and then incubated under darkness again for 2 h, while the head-space of the vials was filled with N2. After incubation, the homogenate was filtered through #1 Whatman paper in a Büchner funnel (90 mm i.d.) and the acetone was evaporated at 38 °C under N2. The filtrate was diluted in 50% methanol (v/v) in water. The whole procedure was performed at 4 °C.
2.6. Total Phenolic Compounds (TP), Total Antioxidant Capacity (TAC) by FRAP and DDPH Methods
The total phenolic compounds (TP) concentration was measured by the Folin–Ciocalteu colorimetric method, according to Christopoulos and Tsantili [5], using 0.2 mL of diluted extract. The incubation time at room temperature was 90 min and the absorbance was measured at 750 nm using a spectrophotometer (Heλios Gamma & Delta; Spectronic Unicam, Cambridge, UK) versus a blank. The results were expressed as gallic acid equivalents on a dry weight basis (mg GAE g−1 dw). Total antioxidant capacity (TAC) was evaluated by both ferric reducing antioxidant power (FRAP) [29] and radical scavenging capacity (DPPH) [30] methods, as described by Christopoulos and Tsantili [5]. For the FRAP assay, FRAP reagent (300 mM acetate buffer (C2H3NaO2·3H2O, C2H4O2), pH 3.6; 10 mM TPTZ (2,4,6-tripyridyl-s-triazine) in 40 mM HCl; 20 mM FeCl3·6H2O; in 10:1:1 (v/v)) was preheated to 37 °C. Then, 0.1 mL diluted extract was added and the mixture was incubated at 37 °C for 30 min. The absorbance was measured at 593 nm versus a blank. For the DPPH assay, 0.1 mL diluted sample of the extract was added to a tube containing 3.9 mL DPPH solution (2,2-diphenyl-1-picryhydrazyl, 60 μM in MeOH). The decrease in absorbance at 515 nm was recorded versus blank after 30 min incubation at 20 °C. For both TAC methods, the selected incubation time (30 min) was required for the reaction to reach a plateau. The results were expressed as equivalents of trolox acid (6-hydroxy-2,5,7,8-tetramethylchroman- 2-carboxylic acid) on a dry weight basis (μmol TAE g−1 dw).
2.7. Extraction and Determination of Soluble Sugars (Sucrose, Glucose, Fructose)
Sols were extracted according to the method of Meyer and Terry 2008 [31] which includes two steps, A and B. In A, 1 g of freeze-dried tissue was placed in a tube of 50 mL, containing 10 mL of hexane and remained for 1 min. The mixture was then homogenized with an Ultra-Turrax apparatus for 1 min (30 s at 9500 rpm and 30 s at 13,500 rpm) followed by filtration through a büchner funnel (90 mm id) with a pre-weighed Whatman # 1 filter paper. The residue was re-homogenized once more, by repeating the above procedure and using the same filter paper. Then, the filter paper with the residue remained at 25–30 °C to remove the hexane (~2 h), and the net weight of the residue was obtained. In B step, 80 mg residue was added into an Eppendorf tube (1.5 mL) containing 1 mL of double distilled water (DDW), the mixture was stirred for 20 s and then incubated at 55 °C for 20 min, while it was stirred every 5 min during incubation. Then, the mixture was centrifuged at 4000× g for 4 min, the supernatant was filtered through a nylon syringe filter (0.2 μm pore size) before HPLC analyses. The Sols were determined according to Kafkaletou and Tsantili [32]. The separation of Sols was performed with a Hamilton HC-75 cation exchange column, calcium form, (Bonaduz, Switzerland) at 80 °C, with a Water 510 isocratic pump with a flow of 0.6 mL min−1 and connected with a refractive index detector in an HPLC (HP 104 7A, Hewlett-Packard, Waldbronn, Germany) system. The identification and quantification of peaks, corresponding to sucrose (Suc), glucose (Glc), and fructose (Fru), was achieved with standards, using a data processing system (Peak Simple 3.25. Results were expressed on a dry weight basis (mg g−1 dw).
2.8. Extraction of Oil for Quality Estimation and Fatty Acid Profile
Two parallel stainless-steel plates of 10 × 5 mm each, precooled at 4 °C, were used for the walnut oil extraction. A part of walnut kernels of 50 g, chilled at 4 °C, was pressed using a laboratory screw-press device at a torque of 30 N/m [6]. The extracted oil was clarified by centrifuging at 5000× g for 1 min.
2.9. Free Fatty Acid Content and Peroxide Value
Free fatty acid (FFA) content was estimated by titration with 5 mN KOH, while peroxide value (PV) by iodometric titration with 0.1 mN N2S2O3, both according to method 940.28 of AOAC [33]. FFA was expressed as % oleic acid (OL) and PV as milliequivalent peroxide kg−1 oil (meq O2 Kg−1 oil).
2.10. Fatty Acid Analysis
Fatty acid (FA) analysis of oil was determined by gas chromatography of their methyl esters (FAME) [34], as described by Christopoulos and Tsantili [6]. One μL FAME was injected into a capillary column (DB-23, J &W Scientific, UK; 60 m length × 0.25 mm i.d. × 0.25 mm film thickness) connected with a split injector and a flame ionization detector (FID) in a GC (HP 5890 Series II). The split ratio was 50:1 and the carrier gas was helium (He) at a linear velocity of 33 cm s−1. The flow rates of H2, air, and He in FID were at 40, 450, and 30 mL min−1, respectively. The oven temperature program was 185 °C for 10 min, increase to 215 °C at a rate of 10 °C min−1, isotherm at 215 °C for 10 min, increase to 230 °C at rate of 15 °C min−1; and isotherm at 230 °C for 4 min. Results were identified and quantified according to FAME mixtures (GLC-20, Supelco, UK; Me93, Larodan Fine Chemicals, Sweden) and expressed in % (w/w) in oil.
2.11. Statistical Analysis
The results were analyzed by two-way ANOVA, with the two factors being the harvest time and the girdling treatment. The mean separations were evaluated by Tukey-HSD test. The significance of the girdling effect was also examined by one-way ANOVA at each harvest. On each sampling day and for both controls and treated branches, all measurements were conducted in four replicates (trees) of approximately 20–22 walnuts or 20 terminal leaflets each, harvested from three untreated or treated branches, respectively. The maturity stage of walnuts was analyzed by the χ2 test and the differences between controls and treatment were examined by the Wilcoxon/Kruskal–Wallis test for each maturity stage. In photosynthesis, four replicates of two leaflets each were used on each sampling date. Pairwise correlations among photosynthesis, Sols in kernels and leaves and oil percentage were also carried out. All statistical analyses were performed with JMP 7.0.1 software (SAS Institute, Cary, NC, USA).
3. Results
3.1. Girdling Effect on Maturity Stage
In the first harvest, in EHW, no fruit were observed with split-hull, but in the second harvest there were fruit at different stages of maturity (Figure 1). In particular, 70–80% of fruit exhibited split-hull, while hulls remained intact (Class 1) at approximately 25% in controls and 10% in girdled branches (χ2 < 0.05). In all cases, fruit dropped on the ground of the orchard did not exceed the level of 5% (Class 4). Differences were also observed in Class 3 (50–100% splitting) between controls and girdled branches, with girdling resulting in approximately 54% frequency of Class 3 over 41.5% in controls (χ2 < 0.05). Controls exhibited a significantly higher frequency of Class 1 (0% splitting) (χ2 < 0.05), whereas no differences (χ2 > 0.05) were observed in both Classes 2 and 4.
Figure 1.
Effect of girdling and harvest time on frequencies of classes corresponding to maturity stages of ‘Franquette’ walnuts. The classes are based on the percentage of splitting area of the hull. First and second harvest correspond to 43 and 84 d after girdling treatment respectively, and to early harvested walnuts (EHW) and late (LHW), respectively. At each maturity stage, values between controls and girdled trees that share a common lowercase letter do not differ significantly, according to the Wilcoxon/Kruskal–Wallis χ2 test. Each column corresponds to 120 walnuts.
3.2. Nut and Kernel Characteristics
Girdling treatment did increase the kernel weight at both harvest dates. Treated EHW and LHW reached 5.62 and 7.2 g per kernel, respectively, being higher than the kernel weight in non-treated EHW and LHW by 1.18- and 1.15-fold, respectively (Table 1). The girdling effect and harvest time were both significant for kernel weight (Pg < 0.001; Ph < 0.001), but not for their interaction (Pg×h > 0.05). In LHW, the nut weight averaged 13.58 g, being similar between nuts from controls and girdled branches. However, in LHW, the percentage of kernel to nut was higher in nuts from girdled branches by 1.09-fold compared to those from untreated branches (Pg < 0.05) (Table 1).
Table 1.
Effect of girdling and harvest time on nut and kernel physical characteristics of ‘Franquette’ walnuts.
The averages of the L* color parameter of pellicle ranged from approximately 65.8 to 62.7, while ho from 84.8 to 83 and C* between 32.6 and 30.0 (Table 1). In particular, L* and h° decreased, whereas C* increased in LHW, indicating kernel darkening. The harvest time effect was significant for all color parameters, whereas the treatment was significant only for decreasing L* in LHW (Table 1).
Moisture content in kernels, varying between 41.3 and 34.4% (w/fw), decreased significantly by advanced maturity stage (Ph < 0.001) and treatment (Pg < 0.05) (Table 1). None of kernel color parameters and moisture content presented in Table 1 was affected by the interaction of harvest time and girdling treatment.
3.3. Oil Content in Kernel, Free Fatty Acids (FFA) and Peroxide Value (PV) in Oil, and Total Phenolics (TP) and Total Antioxidant Capacity (FRAP, DPPH) in Kernels
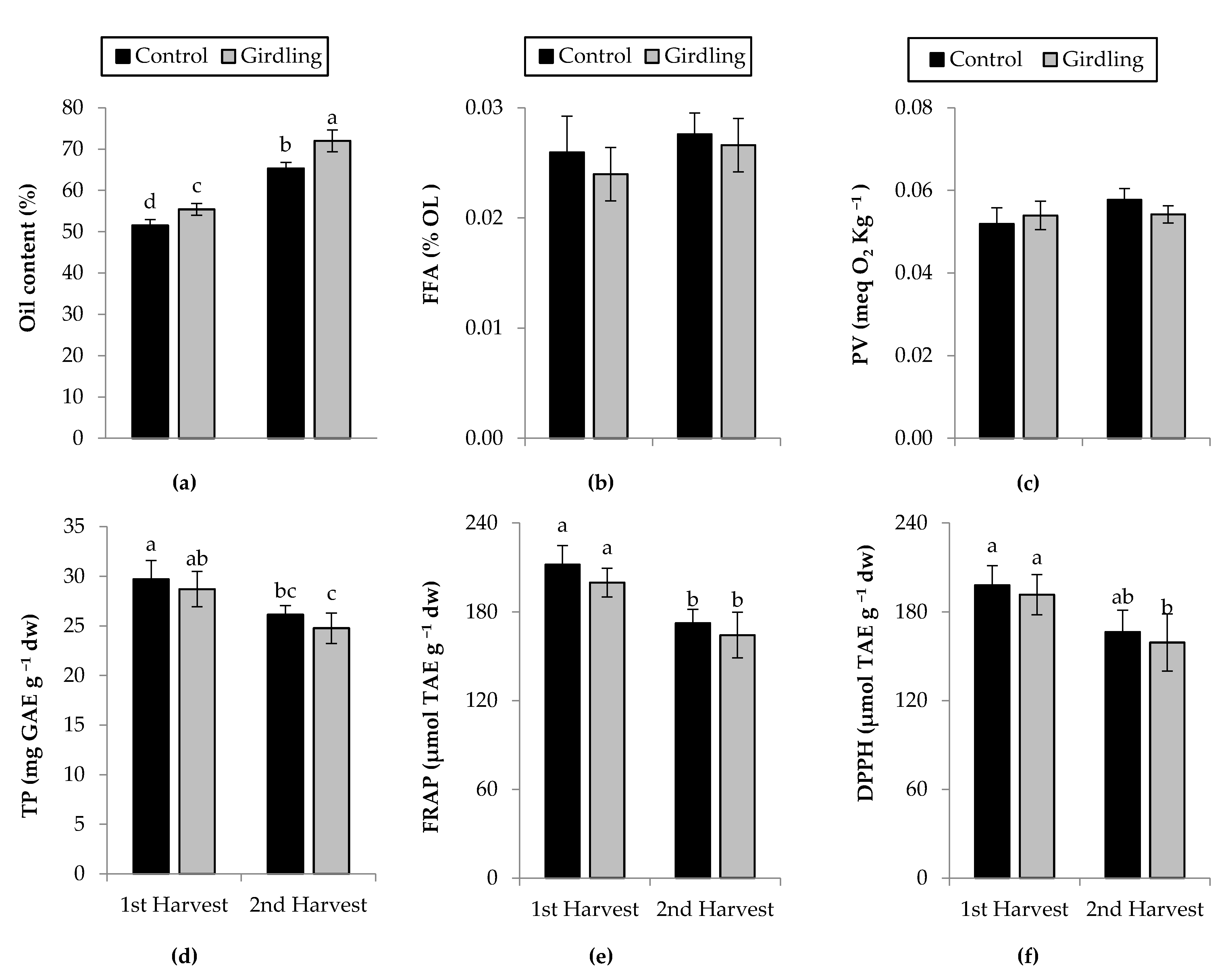
Oil content in kernels, ranging from 51.5 to 72.0% (w/dw), increased by advanced harvest (P < 0.001) in LHW, and by girdling treatment (P < 0.001) at both harvests (Figure 2), but was unaffected by their interaction (P > 0.05). FFA and PV ranged from 0.024 to 0.028% OL and from 0.051 to 0.058 meq O2 Kg−1, respectively, without being affected by either factor studied or their interaction (Figure 2). TP concentrations averaged 29.2 mg g−1 dw at the first harvest and reduced to 25.4 mg g−1 dw afterwards, being affected only by harvest time, as also applies in FRAP and DPPH. FRAP and DPPH were reduced with a trend similar to TP during fruit development, with FRAP averaging from 205.4 to 168.3 TE μmol g−1 dw, while DPPH from 194.9 to 162.8 mg g−1 dw (Figure 2). Data analyzed at each harvest did not show any difference from the two-way ANOVA results.
Figure 2.
Effect of girdling and harvest time on oil content in kernel (a), free fatty acids (FFA) (b), and peroxide value (PV) (c) in oil, and total phenolics (TP) (d) and total antioxidant capacity (TAC) by FRAP method (e) and by DPPH (f) in kernels of ‘Franquette’ walnuts. The 1st and 2nd harvest correspond to early harvested walnuts (EHW) and late (LHW), respectively. All data presented are means; bars are standard deviation (n = 4). Columns not sharing the same letter are significantly different by Tukey test (α = 0.05). Probabilities of the effect: harvest time (Ph), girdling treatment (Pg), and their interactions (Pg×h). The effect of girdling was significant for oil content (Pg < 0.001), but not for the remaining variables; the effect of harvest time was significant for oil content (Ph < 0.001), TP (Ph < 0.001), FRAP (Ph < 0.001), and DPPH (Ph < 0.01) and not for FFA and PV; the interaction of girdling with harvest time (Pg×h > 0.05) was not significant for all presented variables.
3.4. Oil Composition
The fatty acids myristic (MY), palmitoleic (PO), stearic (ST), oleic (OL), vaccenic (VA), linolenic (LN), arachidic (AR), and gondoic (GO) were not affected by harvest time, girdling or their interaction and averages ranged between 0.07 and 0.08%, 0.13 and 0.17%, 3.14 and 3.31%, 18.17 and 18.97%, 1.32 and 1.44%, 14.51 and 15.18%, 0.12 and 0.16%, and 0.23 and 0.27% in oil, respectively. Results showed that palmitic (PA) and linoleic (LL) acids were affected only by harvest time (Table 2). For both controls and treated, PA decreased from 10.07 to 8.04% in oil, on average, whereas LL increased from 49.43 to 51.45% in oil, in average. One-way analyses showed that the decrease in LN in LHW due to treatment was significant (P < 0.0071), although being slight from 15.18 ± 0.44 to 14.89 ± 0.81. The fatty acid fractions, total fatty acids (TFA), and monounsaturated fatty acids (MUFA) in oil remained stable during walnut development and not influenced by girdling, averaging 98.16 and 20.44% in oil (Table 3).
Table 2.
Effect of girdling and harvest time on content (% in oil ± standard deviation) of individual fatty acids (FA) in kernels of ‘Franquette’ walnuts.
Table 3.
Effect of girdling and harvest time on content (% in oil ± standard deviation) of fatty acid fractions in kernels of ‘Franquette’ walnuts.
The fractions saturated (SFA), total unsaturated (TUFA), and PUFA fatty acids were affected only by harvest time (Ph < 0.001, Ph < 0.01 and Ph < 0.001, respectively). Between the first and second harvest, SFA decreased from 13.53 to 11.41%, whereas TUFA and PUFA increased from 84.26 to 87.11% and from 64.00 to 66.48%, respectively. Nevertheless, partial analysis of data of LHW showed that PUFA was significantly higher in treated (67.21 ± 0.44) than in non-treated walnuts (65.76 ± 0.64) (P < 0.0095), whereas no other significant effect was observed from partial analyses either on EHW or LHW.
3.5. Soluble Sugars (Sols)
At the second harvest, Suc, Glc, and Fru in kernels were found at 4.91, 0.71, and 3.31 mg g−1 dw, respectively, and were lower than the first harvest by 1.72-, 1.54- and 1.56-fold, respectively (Figure 3).
Figure 3.
Effect of girdling and harvest time on sucrose (Suc), glucose (Glc), and fructose (Fru) concentration in leaves and kernels of ‘Franquette’ walnut tree. In kernels, (a,c,e); in leaves, (b,d,f); Suc, (a,b); Glc, (c,d); Fru, (e,f). First and second harvest correspond to early harvested walnuts (EHW) and late (LHW), respectively. All data presented are means; bars are standard deviation (n = 4). Columns not sharing the same letter are significantly different by Tukey test α = 0.05). Probabilities of the effect: harvest time (Ph), girdling treatment (Pg), and their interactions (Pg×h). In all six variables: Pg < 0.001, Ph > 0.05, and Pg×h > 0.05.
At the second harvest in leaves, Suc, Glc, and Fru were 2.62, 0.38, and 1.99 mg g−1 dw, respectively (Figure 3), and these values were reduced from the first harvest by 2.31-, 2.5- and 2.21-fold, respectively. Therefore, Sols exhibited a similar trend of changes in both kernels and leaves. From the two-way ANOVA, all Sols in kernels and leaves were not affected by girdling, but only by harvest time. However, when all variables were analyzed for the girdling effect at second harvest (one-way ANOVA), the higher Glc concentration in leaf of untreated than treated branches was significant (P < 0.0045), while that of Suc was at close to the limits of significance (P < 0.057).
3.6. Photosynthesis
The net photosynthetic (Pn), stomatal conductance (gs), and transpiration rate (E rate) decreased by advanced harvest from 16.9 μmol CO2 m−2 s−1, 232.5 mol m−2 s−1, and 3.89 μmol mol air−1, respectively, to 5.45 μmol CO2 m−2 s−1, 136.37 mol m−2 s−1, and 2.93 μmol mol air−1, respectively, whereas the intercellular CO2 concentration (Ci) increased from 149.68 μmol CO2 m−2 s−1 at the first harvest to 223.5 μmol CO2 m−2 s−1 at the second (Table 4). The leaf temperature was 24.99 °C and 14.85 °C at the first and second harvest, respectively, and the relative humidity (RH) in air was 31 and 62%, respectively. All the variables measured were affected by harvest time (Ph < 0.001), but neither by girdling (Pg > 0.05) nor by their interaction (Pg×h > 0.05) (Table 4). Moreover, there was no significant effect of girdling from one-way ANOVA at the second harvest for all variables. Pairwise correlations among leaf Sols, kernel Sols, Pn, and oil percentage are shown in Supplementary Table S1. The correlations exhibited an r between 0.8 and 0.978, apart from kernel Fru and oil%, which showed r = −0.774, while all correlations were highly significant. Inverse relationships were between each of leaf or kernel Sols or Pn with oil %.
Table 4.
Effect of girdling and harvest time on net photosynthesis (Pn), stomatal conductance (gs), intercellular CO2 concentration (Ci), and transpiration rate (E rate) of leaves in ‘Franquette’ walnut tree.
4. Discussion
The results altogether were promising for this kind of treatment on walnuts. They showed that at commercial harvest, girdling resulted in advanced maturity and greater uniformity of fruit load, higher kernel weight, and oil content, whereas it did not affect TP, TAC, FA profile, FFA, PV, and Sols levels.
4.1. Fruit Maturation
All EHW had an intact pericarp and belonged to Class 1 in contrast to LHW when the percentage of Class 1 was less than 20% (Figure 1), a criterion recommended for commercial harvest [12]. In LHW, girdling lowered the percentage of intact pericarp and elevated the one of Class 3 (50–100% split-hull) to 54% against 41.5% in controls, denoting the higher uniformity of mature walnuts. The advanced maturation and uniformity effects of girdling are considered important for mechanical harvesting [12].
4.2. Quality Characteristics Based on Consumer-Perception
In walnut, the development of the different fruit parts takes place in different time periods. A first rapid growth period occurs 8–10 weeks after flowering when fruit has reached almost its full size and about 60–70% of its weight. At this stage, the kernel has acquired about half its size but has a high moisture content and very low dry matter. After this period, the shell lignification begins to develop and the dry matter of the kernel increases. It takes 20–22 weeks after flowering for the kernel to reach its final size [35,36]. The present observations are in accordance with the above studies. Here, the walnuts showed an increase in the kernel weight over time, with a simultaneous decrease in moisture (Table 1) and elevation of oil content (Figure 2), characteristics during ripening [35,36]. Moisture content in LHW was reduced by girdling, exhibiting values close to the ones in raw ‘Chandler’, ‘Hartley’, and ‘Ioli’ [37]. Girdling did not affect the nut weight. This can be attributed to the time of application that coincided with the onset of kernel growth when the whole fruit and shell growth had been completed [36]. The advanced maturation and increased fruit weight by girdling agreed with other fruit studies [13,15,16]. In addition, the increased split-hull frequency in LHW, which characterizes an advanced maturation, agreed well with the increased nut filling and kernel weight along with moisture content decrease, and can be rather attributed to the higher accumulation of substances that are synthesized in the leaves above the zone of girdling [13].
The values of the color parameters recorded at both harvests (Table 1) corresponded to an extremely light color of kernels with excellent appearance, close to the color of the same cultivar studied in a previous work [5], comparable to raw kernels of ‘Chandler’, ‘Hartley’, and ‘Ioli’ [37], ‘Xifu No.1′ [38], and to a semi-dried ‘SKAU-02′ genotype [39]. At late harvest, the reduced values of L * and ho and the increased of C * due to walnut maturation when kernels acquired a darker yellowish color, being in agreement with other studies [12,36,37], could be attributed, at least partially, to the increased oil content [40]. Girdling treatment affected only the L* parameter, leading to significantly but slightly reduced values due to advanced maturation. The L* value is important for quality assessment in dried walnuts and has to be higher than 46, according to Ortiz et al. [10] or the sum of L*, h° and C * values greater than 155, according to Warmund et al. [41] for kernels of good quality. However, there are not recommended values for fresh walnuts. Here, L* value remained above 62.5, and the color respective sum was above 179. In California Industry, kernels are segregated into four categories according to a color chart (extra light, light, light amber, amber). In the composite samples, tolerances are provided for each category on a lot basis [42].
The oil in walnuts, comprising approximately 60–70% (w/w) of the kernel, is the main walnut component [36,43]. The level of oil content in ‘Franquette’ is among the highest observed (Table 1) in walnut cultivars and the presented values are similar to other ‘Franquette’ studies [6,44]. In LHW, ‘Franquette’ exhibited 72% (w/w) oil content from girdled branches, being 1.1-fold higher than from the respective controls, whereas in EHW 55.3% (w/w) and 1.07-fold higher than controls. This effect is of particular interest taking into account the increased kernel weight from the treated branches. Walnut oil can be used in the food, pharmaceutical, and cosmetic industries. It can be extracted easily by cold pressing [44] for a final product of high quality, according to the increasing consumer demand, as in France [45]. Moreover, after oil extraction a by-product of walnut oil processing is received, called “walnut press-cake”, which is suitable to substitute a part of wheat flour in preparation of bread, cookies, and sweet cakes, resulting in added value products enriched with health enhancing compounds [46].
In all samples, the values of FFA and PV were extremely low, as shown in Figure 2 (<0.028% and <0.058 meq O2 kg−1, respectively), indicating the very low free FA (FFA) formed by enzymatic hydrolysis of triglycerides and low oxidative rancidity, respectively, and resulting in oil kernel free from off-flavors. These values were stable during fruit development, not affected by girdling, lower than in other studies on fresh [10,38] or dried [47] kernels and corresponded to oil of exceptional quality.
Sugar results in kernels, although contributing to consumer perception, are discussed with Sols in leaves and Pn. Similarly, phenolic compounds affect the overall flavor, but TP results are examined in the next section due to their antioxidant properties.
4.3. Nutritional Value—Fatty Acids and Total Antioxidants
In LHW ‘Franquette’, the oil is mainly composed of OL, LL, and LN, at concentrations approximately 18.8%, 51.5%, and 15% (w/w), respectively (Table 3). FAs were unaffected by girdling and harvest time apart from decreases in PA and increases in LL observed in all samples of LHW. Amin et al. [39] found a decline in PA and LL during ripening. The present results of FAs exhibit higher OL and LN values and lower LL than in another study of semi-dried ‘Franquette’ [48]. The oil fractions of total saturated (SFA), unsaturated (TUFA), and polyunsaturated (PUFA) FA are in good agreement with other fresh walnut studies [6,38,39]. The ratio of ω-6/ω-3 (LL/LN) render them highly beneficial to human health and unique among nuts that predominantly have MUFA as the major fraction [49]. In particular, the ratio of ω-6/ω-3 has to be low (about 5/1) to prevent diseases. Here, the ratio is approximately 3.5/1, being lower even than other walnut cultivars [7,39]. Nevertheless, walnut oil being rich in PUFA is very prone to oxidation and special care should be taken for walnuts or walnut oil during storage [6].
The high TAC of walnuts, due to phenolic compounds, is present in the defatted walnut part [3] and for this reason TAC was determined in the whole kernel along with TP (Figure 2). The pattern of changes is similar among TP, FRAP, and DDPH determinations, with an outstanding decreasing trend during fruit development, whereas all three variables were not affected by girdling. Fresh ‘Franquette’ kernels exhibited similar values with another study [5] and higher antioxidant levels than other cultivars [37]. In another walnut genotype, TP and FRAP also exhibited a reducing pattern during maturation, with values being approximately 2.5-fold higher than here, but the kernels were semi-dried (kernel moisture 7.0% w/w) [39], whereas in ‘Xifu No.1′ the TP levels were much lower than these ones [38]. In some olive cultivars, a reduction of phenolics has been found during development and ripening [32]. In all ‘Franquette’ samples in this work, TP and TAC values were close to the upper ones mentioned in the literature for nuts and correspond to an excellent nutritional value of walnuts [50]. These antioxidants have a pivotal role for breaking the lipoperoxidation propagation and prevent the oil deterioration [6,7].
4.4. Leaf Photosynthesis and Soluble Sugars (Sols) in Leaves and Kernels
Carbon assimilation, transport and allocation of carbohydrates to various tree tissues during development of vegetation and reproductive organs are parts of a dynamic system in a balance regulated by molecular feedback mechanisms enhanced by cross-talk between sugars and phytohormones [51]. Therefore, leaf photosynthesis may be reduced at lowered sink demands. By contrast, a higher Pn could also result in higher yield [51].
Here, the levels of Pn averaged 16.9 and 5.4 μmol CO2 m−2 s−1 in ‘Franquette’ in the first and second harvest, respectively (Table 4), and the rates were comparable to those found in other walnut studies [21,22,23,52]. Similarly, Pn decreased in walnut leaves in autumn after fruit ripening [22]. According to Zhang et al. [23], Pn was reduced in cases where the leaves are limited and the ratio of leaf to fruit is low, because of a high carbon demand, being inadequate for leaf and fruit needs and thus, resulted in prevention of leaf development. Moreover, in cases with excessive fruit load, Pn was also reduced, due to leaf senescence resulting from the high sink demand, whereas Pn was stable when there is a carbohydrate balance between source and sink, achieved with three-four leaves per group of three fruit [23]. By contrast, Lu et al. [20] found Pn increases after girdling, but the treatment intended to flower induction in Juglans sigillata. In this work, however, there was no effect of girdling on Pn or other photosynthetic variables, but the seasonal effect was significant for all variables determined. In ‘Franquette’, the reduced values of Pn at the late harvest, early in October, could be primarily attributed to the season. Girdling can also cause premature leaf fall (aging) and chlorosis in various species [53]. According to Frak et al. [26], in a J. nigra × regia hybrid, the photosynthetic capacity of the leaves decreases with age, probably after completion of their role in the deciduous trees. In the present study, at early harvest the leaves were fully developed. At the second harvest, however, the macroscopic percentage of aged leaves was higher in the girdled branches than controls. However, the present data are limited and cannot explain the lack of girdling on Pn since the objective of the work was not initially planned for these effects. Earlier observations in season at higher Pn levels could probably had shown differences between girdled branches and controls.
Nevertheless, seasonal differences in Pn were expected. Changes in temperature and RH would be crucial for the changes in Pn. The leaf temperature was reduced from 25 (±1.0) in August to 14.9 (±0.5) in October. For the ‘Serr’, the highest levels of photosynthetic rate were observed at temperatures 20–25 °C [52]. In addition, the RH in air was 31% and 62%, at first and second harvest, respectively. At late harvest, stomatal conductance (gs) and transpiration rate (E rate) decreased for water economy, but along with increases in intercellular CO2 concentration (Ci) (Table 4). These conditions suggest that the lowered Pn values can be attributed to nonstomatal limitation [51]. Indeed, the low Pn with the concomitant high Ci values, rather indicate that only a part of CO2 was effective since there was no need for higher carbon assimilation.
In the present study, seasonal decrease in Suc, Glc, and Fru in leaves were observed over time as found in other studies [23], while girdling had no effect on Sols in the first harvest and Fruc in the second. The partial analysis at the second harvest showed a significantly higher Glc concentration in control leaves than in treated, while the higher Suc in controls was at the significance limits. The lower Glc levels in leaves of treated branches compensate with the higher oil% in treated LHW. A seasonal reduction, but no effect of girdling on Sols content were observed in mandarin leaves [24]. However, Rivas et al. [19] found an increase in Glc concentration in mature mandarin leaves in response to girdling, but no changes in Fru and Suc. Moscatello et al. [21] also found that Suc increased by time after girdling and by girdling itself, but results are not directly comparable since the last authors treated the current year’s shoots of trees with no fruit load and in late summer.
In kernels, Sols concentrations at both harvests, in descending order, were Suc > Fru > Glc, as in leaves. The concentrations of all three Sols showed a downward trend during maturation, whereas girdling had no effect on them. Data on the biosynthesis and distribution of products of primary metabolism in walnuts are limited. Li et al. [35] reported the same sugars with the same rank and a decreasing trend during maturation.
In LHW, the decreased Sols in the kernels is rational since oil biosynthesis and storage require carbohydrates to support the subsequent seedling development in nature as carbon and energy resource [54]. Similarly, Sols changes in leaves and fruit with seasonal decrease in Pn attributed to oil content increase were presented for olives [32].
The question arising from girdling concerns the long-term effects on fruit and tree. In apples, Fallahi et al. [55] observed that girdling of the bark was effective for two years production, while in kiwi fruit, extended and successive girdling for four years was beneficial without a decline in productivity or quality thereafter [56]. Therefore, experiments should be carried out investigating the effects on fruit and trees without/with repeated girdling each year, including various factors that could influence the effect, such as the cultivar [57], time of application, and others.
Increasing the fruit cropping, which is the current main tendency, it has to be an intergraded understanding of growth and yield of the whole plant so that bottlenecks limiting mechanisms could be identified. However, the dynamic system of fruit/nut tree is very complicated and particularly during fruit/nut development.
5. Conclusions
Girdling is a tree manipulation that has been applied and studied in many tree species, including walnuts. However, there were no results of girdling on walnut quality. Here, girdling was conducted on a part of branches of mature trees to avoid root starvation and after completion of shell lignification. At commercial harvest, girdling effects are beneficial for growers, some industries, and consumers, as revealed for first time here to the best of our knowledge. Considering the increases in kernel weight, there was higher yield without any quality deterioration observed. Moreover, the increased uniformity of the fruit load is extremely important in the case of dried nuts where they should be harvested mechanically at the optimum stage to ensure their best quality and shelf life [12]. Furthermore, provided the short postharvest life of fresh walnuts and the increasing consumers’ demand for them, an early production achieved by girdling is also important to extend their market life. Last but not least, girdling resulted in increased oil yield, which could be another product with added value. Although the present results are promising, further experiments should be carried out to investigate the girdling in long-term effects on productivity, walnut quality, and tree condition.
Supplementary Materials
The following are available online at https://www.mdpi.com/2073-4395/11/2/200/s1, Table S1: Pairwise correlations among leaf and kernel Sols and Pn in walnuts.pdf.
Author Contributions
Conceptualization, M.V.C. and E.T.; methodology, M.V.C. and M.K.; software, M.V.C. and A.D.K.; validation, M.V.C., M.K., A.D.K. and E.T.; formal analysis, M.V.C. and A.D.K.; investigation, M.V.C. and M.K.; resources, M.V.C. and E.T.; data curation, M.V.C., M.K., A.D.K. and E.T.; writing—original draft preparation, M.V.C. and E.T.; writing—review and editing, M.V.C., M.K., A.D.K. and E.T.; visualization, M.V.C. and E.T.; supervision, E.T.; funding acquisition, M.V.C. All authors have read and agreed to the published version of the manuscript.
Funding
This research received no external funding. The APC was co-financed by the European Regional Development Fund of the European Union and Greek national funds through the Operational Program Competitiveness, Entrepreneurship and Innovation, under the call RESEARCH–CREATE-INNOVATE (project code: Τ2EDK-03550).
Data Availability Statement
Data are available on request.
Acknowledgments
Thanks are due to S. Salis and C. Salis for the access to their field property and free supply of walnuts.
Conflicts of Interest
The authors declare no conflict of interest.
References
- FAOSTAT. 2018. Available online: http://www.fao.org/faostat/en/#data/QC (accessed on 30 October 2020).
- Hayes, D.; Angove, M.J.; Tucci, J.; Dennis, C. Walnuts (Juglans regia) chemical composition and research in human health. Crit. Rev. Food Sci. Nutr. 2016, 56, 1231–1241. [Google Scholar] [CrossRef] [PubMed]
- Arranz, S.; Pérez-Jiménez, J.; Saura-Calixto, F. Antioxidant capacity of walnut (Juglans regia L.): Contribution of oil and defatted matter. Eur. Food Res. Technol. 2008, 227, 425–431. [Google Scholar] [CrossRef]
- Slatnar, A.; Mikulic-Petkovsek, M.; Stampar, F.; Veberic, R.; Solar, A. Identification and quantification of phenolic compounds in kernels, oil and bagasse pellets of common walnut (Juglans regia L.). Food Res. Int. 2015, 67, 255–263. [Google Scholar] [CrossRef]
- Christopoulos, M.V.; Tsantili, E. Storage of fresh walnuts (Juglans regia L.)—Low temperature and phenolic compounds. Postharvest Biol. Technol. 2012, 73, 80–88. [Google Scholar] [CrossRef]
- Christopoulos, M.V.; Tsantili, E. Oil composition in stored walnut cultivars—Quality and nutritional value. Eur. J. Lipid Sci. Technol. 2015, 117, 338–348. [Google Scholar] [CrossRef]
- Tapia, M.I.; Sánchez-Morgado, J.R.; García-Parra, J.; Ramírez, R.; Hernández, T.; González-Gómez, D. Comparative study of the nutritional and bioactive compounds content of four walnut (Juglans regia L.) cultivars. J. Food Compost. Anal. 2013, 31, 232–237. [Google Scholar] [CrossRef]
- Abdallah, I.B.; Tlili, N.; Martinez-Force, E.; Rubio, A.G.P.; Perez-Camino, M.C.; Albouchi, A.; Boukhchina, S. Content of carotenoids, tocopherols, sterols, triterpenic and aliphatic alcohols, and volatile compounds in six walnuts (Juglans regia L.) varieties. Food Chem. 2015, 173, 972–978. [Google Scholar] [CrossRef]
- Alasalvar, C.; Shahidi, F. Phytochemical Profiles and Potential Health Benefi ts of Heartnut (Juglans ailanthifolia var. cordiformis): A Comparison with the Common Walnut (Juglans regia L.). In Tree Nuts; CRC Press: Boca Raton, FL, USA, 2008; pp. 251–262. [Google Scholar]
- Ortiz, C.M.; Vicente, A.R.; Fields, R.P.; Grillo, F.; Labavitch, J.M.; Donis-Gonzalez, I.; Crisosto, C.H. Walnut (Juglans regia L.) kernel postharvest deterioration as affected by pellicle integrity, cultivar and oxygen concentration. Postharvest Biol. Technol. 2019, 156, 110948. [Google Scholar] [CrossRef]
- Donis-González, I.R.; Bergman, S.M.; Sideli, G.M.; Slaughter, D.C.; Crisosto, C.H. Color vision system to assess English walnut (Juglans Regia) kernel pellicle color. Postharvest Biol. Technol. 2020, 167, 111199. [Google Scholar] [CrossRef]
- Kader, A.A.; Thompson, J.E. Postharvest handling systems: Tree nuts. In Postharvest Technology of Horticultural Crops; Kader, A., Ed.; University of California, Division of Agriculture and Natural Resources: Oakland, CA, USA, 2002; pp. 399–406. [Google Scholar]
- Goren, R.; Huberman, M.; Goldschmidt, E.E. Girdling: Physiological and Horticultural aspects. Hortic. Rev. 2004, 30, 1–36. [Google Scholar]
- Day, K.R.; DeJong, T.M. Girdling of early season ‘Mayfire’nectarine trees. J. Hortic. Sci. 1990, 65, 529–534. [Google Scholar] [CrossRef]
- Agusti, M.; Andreu, I.; Juan, M.; Almela, V.; Zacarias, L. Effects of ringing branches on fruit size and maturity of peach and nectarine cultivars. J. Hortic. Sci. Biotechnol. 1998, 73, 537–540. [Google Scholar] [CrossRef]
- Davie, S.J.; Stassen, P.J.C.; Van der Walt, M.; Snijder, B. Girdling avocado trees for improved production. SAAGA Yearb. 1995, 18, 51–53. [Google Scholar]
- Proietti, P. Changes in photosynthesis and fruit characteristics in olive in response to assimilate availability. Photosynthetica 2003, 41, 559–564. [Google Scholar] [CrossRef]
- Wargo, J.M.; Merwin, I.A.; Watkins, C.B. Nitrogen Fertilization, Midsummer Trunk Girdling, and AVG Treatments Affect Maturity and Quality of Jonagold Apples. HortScience 2004, 39, 493–500. [Google Scholar] [CrossRef]
- Rivas, F.; Gravina, A.; Agustí, M. Girdling effects on fruit set and quantum yield efficiency of PSII in two Citrus cultivars. Tree Physiol. 2007, 27, 527–535. [Google Scholar] [CrossRef] [PubMed]
- Lu, B.; Chen, L.N.; Hao, J.B.; Zhang, Y.; Huang, J.C. Comparative transcription profiles reveal that carbohydrates and hormone signaling pathways mediate flower induction in Juglans sigillata after girdling. Ind. Crops Prod. 2020, 153, 112556. [Google Scholar] [CrossRef]
- Moscatello, S.; Proietti, S.; Augusti, A.; Scartazza, A.; Walker, R.P.; Famiani, F.; Battistelli, A. Late summer photosynthesis and storage carbohydrates in walnut (Juglans regia L.): Feed-back and feed-forward effects. Plant Physiol. Biochem. 2017, 118, 618–626. [Google Scholar] [CrossRef]
- Wang, H.; Zhao, Y.; Zhang, Z.; Gao, Y.; Zhao, S.; He, F. Photosynthesis of two walnut cultivars as influenced by fruiting. Acta Hortic. 2010, 961, 297–302. [Google Scholar] [CrossRef]
- Zhang, C.F.; Pan, C.D.; Chen, H. The long-term response of photosynthesis in walnut (Juglans regia L.) leaf to a leaf-to-fruit ratio. Photosynthetica 2019, 57, 762–771. [Google Scholar] [CrossRef]
- Iglesias, D.J.; Lliso, I.; Tadeo, F.R.; Talon, M. Regulation of photosynthesis through source: Sink imbalance in citrus is mediated by carbohydrate content in leaves. Physiol. Plant. 2002, 116, 563–572. [Google Scholar] [CrossRef]
- Ainsworth, E.A.; Bush, D.R. Carbohydrate export from the leaf: A highly regulated process and target to enhance photosynthesis and productivity. Plant Physiol. 2011, 155, 64–69. [Google Scholar] [CrossRef]
- Frak, E.; Le Roux, X.; Millard, P.; Dreyer, E.; Jaouen, G.; Saint-Joanis, B.; Wendler, R. Changes in total leaf nitrogen and partitioning of leaf nitrogen drive photosynthetic acclimation to light in fully developed walnut leaves. Plant Cell Environ. 2001, 24, 1279–1288. [Google Scholar] [CrossRef]
- Blanke, M.M.; Lenz, F. Fruit photosynthesis. Plant Cell Environ. 1989, 12, 31–46. [Google Scholar] [CrossRef]
- Conde, C.; Delrot, S.; Gerós, H. Physiological, biochemical and molecular changes occurring during olive development and ripening. J. Plant Physiol. 2008, 165, 1545–1562. [Google Scholar] [CrossRef]
- Benzie, I.F.F.; Strain, J.J. The ferric reducing ability of plasma (FRAP) as a measure of ‘Antioxidant Power’: The FRAP assay. Anal. Biochem. 1996, 239, 70–76. [Google Scholar] [CrossRef]
- Brand-Williams, W.; Cuvelier, M.E.; Berset, C. Use of a free radical method to evaluate antioxidant activity. LWT Food Sci. Technol. 1995, 28, 25–30. [Google Scholar] [CrossRef]
- Meyer, M.D.; Terry, L.A. Development of a rapid method for the sequential extraction and subsequent quantification of fatty acids and sugars from avocado mesocarp tissue. J. Agric. Food Chem. 2008, 56, 7439–7445. [Google Scholar] [CrossRef]
- Kafkaletou, M.; Tsantili, E. Oil content and composition in relation to leaf photosynthesis, leaf sugars and fruit sugars in maturing Koroneiki olives—The mannitol effect on oil. J. Appl. Bot. Food Qual. 2016, 89. [Google Scholar] [CrossRef]
- AOAC. Oils and Fats. In Official Methods of Analysis, 16th ed.; Horwitz, W., Ed.; AOAC: Arlington, VA, USA, 1995; pp. 9–10, 17. [Google Scholar]
- Park, P.W.; Goins, R.E. In situ preparation of fatty acid methyl esters for analysis of fatty acid composition in foods. J. Food Sci. 1994, 59, 1262–1266. [Google Scholar] [CrossRef]
- Li, Y.; Ma, S.; Wang, Y.; Xuan, X.; Hou, L.; Sun, Q.; Yang, K. The dynamics of fat, protein and sugar metabolism during walnut (Juglans regia L.) fruit development. Afr. J. Biotechnol. 2012, 11, 1267–1276. [Google Scholar]
- Pinney, K.; John, M. Fruit Growth and Development. Walnut Prod. Man. 1997, 3373, 139. [Google Scholar]
- Christopoulos, M.V.; Tsantili, E. Effects of temperature and packaging atmosphere on total antioxidants and colour of walnut (Juglans regia L.) kernels during storage. Sci. Hortic. 2011, 131, 49–57. [Google Scholar] [CrossRef]
- Ma, Y.; Li, P.; Watkins, C.B.; Ye, N.; Jing, N.; Ma, H.; Zhang, T. Chlorine dioxide and sodium diacetate treatments in controlled atmospheres retard mold incidence and maintain quality of fresh walnuts during cold storage. Postharvest Biol. Technol. 2020, 161, 111063. [Google Scholar] [CrossRef]
- Amin, F.; Masoodi, F.A.; Baba, W.N.; Khan, A.A.; Ganie, B.A. Effect of different ripening stages on walnut kernel quality: Antioxidant activities, lipid characterization and antibacterial properties. J. Food Sci. Technol. 2017, 54, 3791–3801. [Google Scholar] [CrossRef] [PubMed]
- Crowe, T.D.; White, P.J. Oxidative stability of walnut oils extracted with supercritical carbon dioxide. J. Am. Oil Chem. Soc. 2003, 80, 575–578. [Google Scholar] [CrossRef]
- Warmund, M.R.; Elmore, J.; Drake, M.; Yates, M.D. Descriptive analysis of kernels of selected black and Persian walnut cultivars. J. Sci. Food Agric. 2009, 89, 117–121. [Google Scholar] [CrossRef]
- United States Standards for Grades of Shelled Walnuts (Juglans regia L.); (82 FR39655); USDA: Washington, DC, USA, 2017.
- Gama, T.; Wallace, H.M.; Trueman, S.J.; Hosseini-Bai, S. Quality and shelf life of tree nuts: A review. Sci. Hortic. 2018, 242, 116–126. [Google Scholar] [CrossRef]
- Martínez, M.L.; Penci, M.C.; Ixtaina, V.; Ribotta, P.D.; Maestri, D. Effect of natural and synthetic antioxidants on the oxidative stability of walnut oil under different storage conditions. LWT-Food Sci. Technol. 2013, 51, 44–50. [Google Scholar] [CrossRef]
- Orm, R.B.; Citeau, M.; Comitis, A.; Savoire, R.; Harscoat-Schiavo, C.; Subra-Paternault, P.; Joffre, F. Walnut oil deacidification by liquid–liquid extraction with ethanol in a single-and multistage crossflow process. OCL 2020, 27, 35. [Google Scholar] [CrossRef]
- Lutsiak, V.; Lavrov, R.; Furman, I.; Smitiukh, A.; Mazur, H.; Zahorodnia, N. Economic Aspects and Prospects for the Development of the Market of Vegetable Oils in a Context of Formation of its Value Chain. Montenegrin J. Econ. 2020, 16, 155–168. [Google Scholar] [CrossRef]
- Mexis, S.F.; Badeka, A.V.; Riganakos, K.A.; Karakostas, K.X.; Kontominas, M.G. Effect of packaging and storage conditions on quality of shelled walnuts. Food Control 2009, 20, 743–751. [Google Scholar] [CrossRef]
- Amaral, J.S.; Casal, S.; Pereira, J.A.; Seabra, R.M.; Oliveira, B.P. Determination of sterol and fatty acid compositions, oxidative stability, and nutritional value of six walnut (Juglans regia L.) cultivars grown in Portugal. J. Agric. Food Chem. 2003, 51, 7698–7702. [Google Scholar] [CrossRef] [PubMed]
- Simopoulos, A.P. The importance of the omega-6/omega-3 fatty acid ratio in cardiovascular disease and other chronic diseases. Exp. Biol. Med. 2008, 233, 674–688. [Google Scholar] [CrossRef] [PubMed]
- Yang, J.; Liu, R.H.; Halim, L. Antioxidant and antiproliferative activities of common edible nut seeds. LWT-Food Sci. Technol. 2009, 42, 1–8. [Google Scholar] [CrossRef]
- White, A.C.; Rogers, A.; Rees, M.; Osborne, C.P. How can we make plants grow faster? A source–sink perspective on growth rate. J. Exp. Bot. 2016, 67, 31–45. [Google Scholar] [CrossRef]
- Tombesi, A.; DeJong, T.M.; Ryugo, K. Net CO2 assimilation characteristics of walnut leaves under field and laboratory conditions. J. Am. Soc. Hortic. Sci. 1983, 108, 558–561. [Google Scholar]
- Ticho, R.J. Girdling, a means to increase avocado fruit production. Calif. Avocado Soc. Yearb. 1970, 54, 90–94. [Google Scholar]
- Bates, P.D.; Stymne, S.; Ohlrogge, J. Biochemical pathways in seed oil synthesis. Curr. Opin. Plant Biol. 2013, 16, 358–364. [Google Scholar] [CrossRef]
- Fallahi, E.; Kiester, M.J.; Fallahi, B.; Mahdavi, S. Rootstock, Canopy Architecture, Bark Girdling, and Scoring Influence on Growth, Productivity, and Fruit Quality at Harvest in ‘Aztec Fuji’ Apple. HortScience 2018, 53, 1629–1633. [Google Scholar] [CrossRef]
- Boyd, L.M.; Barnett, A.M. Manipulation of whole-vine carbon allocation using girdling, pruning, and fruit thinning affects fruit numbers and quality in kiwifruit. HortScience 2011, 46, 590–595. [Google Scholar] [CrossRef]
- Michailidis, M.; Karagiannis, E.; Tanou, G.; Samiotaki, M.; Sarrou, E.; Karamanoli, K.; Molassiotis, A. Proteomic and metabolic analysis reveals novel sweet cherry fruit development regulatory points influenced by girdling. Plant Physiol. Biochem. 2020, 149, 233–244. [Google Scholar] [CrossRef] [PubMed]
Publisher’s Note: MDPI stays neutral with regard to jurisdictional claims in published maps and institutional affiliations. |
© 2021 by the authors. Licensee MDPI, Basel, Switzerland. This article is an open access article distributed under the terms and conditions of the Creative Commons Attribution (CC BY) license (http://creativecommons.org/licenses/by/4.0/).


