Low Tunnels inside Mediterranean Greenhouses: Effects on Air/Soil Temperature and Humidity
Abstract
:1. Introduction
2. Materials and Methods
2.1. Experimental Greenhouse
2.2. Equipment and Instrumentation
2.3. Statistical Analysis
3. Results and Discussion
3.1. Radiation Levels above the Crop
3.2. Air and Crop Temperature
3.3. Absolute Air Humidity
3.4. Water Content in the Soil
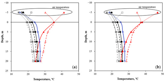
3.5. Soil Temperature
4. Conclusions
Author Contributions
Funding
Institutional Review Board Statement
Informed Consent Statement
Acknowledgments
Conflicts of Interest
References
- Castilla, N.P. Invernaderos de Plástico: Tecnología y Manejo; Mundi-Prensa: Madrid, Spain, 2007; 462p. (In Spanish) [Google Scholar]
- Sideman, B. Row Covers. In A Guide to the Manufacture, Performance, and Potential of Plastics in Agriculture, 1st ed.; Orzolek, M.D., Ed.; Elsevier: Amsterdam, The Netherlands, 2017; pp. 61–77. [Google Scholar]
- Wells, O.S.; Loy, J.B. Rowcovers and High Tunnels Enhance Crop Production in the Northeastern United States. HortTechnology 1993, 3, 92–95. [Google Scholar] [CrossRef] [Green Version]
- Wells, O.S.; Loy, J.B. Intensive vegetable production with row covers. HortScience 1985, 20, 822–826. [Google Scholar]
- López-Aranda, J.M.; Soria, C.; Santos, B.M.; Miranda, L.; Dominguez, P.; Medina-Mínguez, J.J. Strawberry Production in Mild Climates of the World: A Review of Current Cultivar Use. Int. J. Fruit Sci. 2011, 11, 232–244. [Google Scholar] [CrossRef]
- Gerber, J.M.; Mohd-Khir, I.; Splittstoesser, W.E. Row tunnel effects on growth, yield and fruit quality of bell pepper. Sci. Hortic. 1988, 36, 191–197. [Google Scholar] [CrossRef]
- Valera, D.L.; Belmonte, L.J.; Molina-Aiz, F.D.; López, A. Greenhouse Agriculture in Almería: A Comprehensive Techno-Economic Analysis; Cajamar Caja Rural: Almería, Spain, 2016; 408p, Available online: http://www.publicacionescajamar.es/series-tematicas/economia/greenhouse-agriculture-in-almeria-a-comprehensive-techno-economic-analysis/ (accessed on 21 June 2020).
- Wittwer, S.H.; Castilla, N. Protected Cultivation of Horticultural Crops Worldwide. HortTechnology 1995, 5, 6–23. [Google Scholar] [CrossRef] [Green Version]
- Tesi, R. Mezzi di Protezione per L’ortoflorofrutticoltura ed il Vivaismo Means of Protection for Horticulture and Nursery; Il Sole 24 Ore Edagricole: Milán, Italy, 1999; 244p. (In Italian) [Google Scholar]
- Jenni, S.; Dubuc, J.-F.; Stewart, K.A. Plastic mulches and row covers for early and midseason crisphead lettuce produced on organic soils. Can. J. Plant Sci. 2003, 83, 921–929. [Google Scholar] [CrossRef] [Green Version]
- Soltani, N.; Anderson, L.; Hamson, A.R. Growth Analysis of Watermelon Plants Grown with Mulches and Rowcovers. J. Am. Soc. Hortic. Sci. 1995, 120, 1001–1009. [Google Scholar] [CrossRef]
- Gimenez, C.; Otto, R.F.; Castilla, N. Productivity of leaf and root vegetable crops under direct cover. Sci. Hortic. 2002, 94, 1–11. [Google Scholar] [CrossRef]
- Wolfe, D.W.; Albright, L.D.; Wyland, J. Modeling row cover effects on microclimate and yield: I. Growth response of tomato and cucumber. J. Am. Soc. Hort. Sci. 1989, 114, 562–568. [Google Scholar]
- Albright, L.D.; Wolfe, D.; Novak, S. Modeling row cover effects on microclimate and yield: II. Thermal model and simulations. J. Am. Soc. Hort. Sci. 1989, 114, 569–578. [Google Scholar]
- Hernandez, J.; Soriano, T.; Morales, M.I.; Castilla, N. Row covers for quality improvement of Chinese cabbage (Brassica rapasubsp. Pekinensis). N. Z. J. Crop. Hortic. Sci. 2010, 32, 379–388. [Google Scholar] [CrossRef]
- Moreno, D.A.; Víllora, G.; Ruiz, J.M.; Romero, L. Growth conditions, elemental accumulation and induced physiological changes in Chinese cabbage. Chemosphere 2003, 52, 1031–1040. [Google Scholar] [CrossRef] [Green Version]
- Arancibia, R.A.; Motsenbocker, C.E. Differential Watermelon Fruit Size Distribution in Response to Plastic Mulch and Spunbonded Polyester Rowcover. HortTechnology 2008, 18, 45–52. [Google Scholar] [CrossRef] [Green Version]
- Sideman, R.G.; Brown, A.; Martin, C.A.; Hazzard, R.; Cavanagh, A. Temperature moderating effects of low tunnels over winter in cool climates. HortScience 2012, 47, S404–S405. [Google Scholar]
- Castilla, N. Current Situation and Future Prospects of Protected Crops in the Mediterranean Region. Acta Hortic. 2002, 528, 135–147. [Google Scholar] [CrossRef]
- Castilla, N.; Hernández, J. The plastic greenhouse industry in Spain. Chron. Hortic. 2005, 45, 15–20. [Google Scholar]
- Ombódi, A.; Kemenczei, E.; Kassai, T.; Dimény, J. Effect of Different Low Tunnel Covers on Temperature Conditions and Development of Sweet Pepper. Acta Hortic. 2012, 936, 347–354. [Google Scholar] [CrossRef]
- Loy, J.B.; Wells, O.S. Response of hybrid muskmelons to polyethylene row covers and black polyethylene mulch. Sci. Hortic. 1975, 3, 223–230. [Google Scholar] [CrossRef]
- Jolliffe, P.A.; Gaye, M.-M. Dynamics of growth and yield component responses of bell peppers (Capsicum annuum L.) to row covers and population density. Sci. Hortic. 1995, 62, 153–164. [Google Scholar] [CrossRef]
- Abak, K.; Güler, H.Y.; Sari, N.; Paksoy, M. Earliness and Yield of Physalis (P. ixocarpa Brot. and P. peruviana L.) In Greenhouse, Low Tunnel and Open Field. Acta Hortic. 1994, 366, 301–306. [Google Scholar] [CrossRef]
- Ibarra, L.; Flores, J.; Díaz-Pérez, J.C. Growth and yield of muskmelon in response to plastic mulch and row covers. Sci. Hortic. 2001, 87, 139–145. [Google Scholar] [CrossRef]
- Reyes-Rosas, A.; Molina-Aiz, F.D.; Valera, D.L.; López, A.; Khamkure, S. Development of a single energy balance model for prediction of temperatures inside a naturally ventilated greenhouse with polypropylene soil mulch. Comput. Electron. Agric. 2017, 142, 9–28. [Google Scholar] [CrossRef]
- Moreno-Teruel, M.A.; Valera, D.; Molina-Aiz, F.D.; López-Martínez, A.; Peña, A.; Marín, P.; Reyes-Rosas, A. Effects of Cover Whitening Concentrations on the Microclimate and on the Development and Yield of Tomato (Lycopersicon esculentum Mill.) Inside Mediterranean Greenhouses. Agronomy 2021, 11, 860. [Google Scholar] [CrossRef]
- López-Martínez, A.; Valera-Martínez, D.L.; Molina-Aiz, F.D.; Moreno-Teruel, M.D.L.; Peña-Fernández, A.; Espinoza-Ramos, K.E. Analysis of the Effect of Concentrations of Four Whitening Products in Cover Transmissivity of Mediterranean Greenhouses. Int. J. Environ. Res. Public Health 2019, 16, 958. [Google Scholar] [CrossRef] [PubMed] [Green Version]
- Libik, A.; Siwek, P. Changes in Soil Temperature Affected by the Application of Plastic Covers in Field Production of Lettuce and Water Melon. Acta Hortic. 1994, 371, 269–274. [Google Scholar] [CrossRef]
- Camacho, F. Técnicas de Producción en Cultivos Protegidos Production Techniques in Protected Crops; Caja Rural Intermediterránea (Cajamar): Almería, Spain, 2003; 776p. (In Spanish) [Google Scholar]









| Date | uo | θ a | To | HRo | Ro | Ro-PAR |
|---|---|---|---|---|---|---|
| Daily | ||||||
| 03/03/2015 | 0.7 ± 0.6 | 176 ± 112 | 13.7 ± 3.0 | 93 ± 11 | 179 ± 280 | 377 ± 590 |
| 04/03/2015 | 1.8 ± 2.2 | 150 ± 102 | 13.7 ± 2.1 | 92 ± 9 | 130 ± 205 | 282 ± 442 |
| 05/03/2015 | 4.3 ± 2.3 | 104 ± 82 | 12.6 ± 3.7 | 41 ± 24 | 235 ± 313 | 483 ± 651 |
| Daytime | ||||||
| 3/03/2015 | 0.9 ± 0.7 | 260 ± 52 | 15.4 ± 3.4 | 86 ± 13 | 358 ± 304 | 755 ± 642 |
| 4/03/2015 | 1.9 ± 1.9 | 167 ± 85 | 14.8 ± 2.4 | 89 ± 9 | 259 ± 224 | 561 ± 482 |
| 5/03/2015 | 5.0 ± 2.5 | 111 ± 73 | 15.2 ± 2.9 | 21 ± 8 | 462 ± 297 | 951 ± 624 |
| Night | ||||||
| 3–4/03/2015 | 0.3 ± 0.2 | 146 ± 123 | 12.5 ± 0.5 | 100 ± 1 | 0.0 ± 0.0 | 0 ± 0 |
| 4–5/03/2015 | 0.3 ± 0.2 | 146 ± 123 | 12.1 ± 1.2 | 77 ± 12 | 0.0 ± 0.0 | 0 ± 0 |
| Date | Ri,w | Ri,nw | Ri-PAR,w | Ri-PAR,nw | Ri-N,w | Ri-N,nw |
|---|---|---|---|---|---|---|
| Daily | ||||||
| 03/03/2015 | 132 ± 203 | 120 ± 184 | 266 ± 407 | 250 ±381 | 55 ± 126 | 52 ± 124 |
| 04/03/2015 | 98 ± 151 | 93 ± 141 | 202 ± 309 | 193 ± 293 | 33 ± 96 | 30 ± 93 |
| 05/03/2015 | 166 ± 229 | 146 ± 205 | 323 ± 444 * | 301 ± 414 * | 61 ± 141 | malfunction |
| Daytime | ||||||
| 3/03/2015 | 272 ± 217 | 248 ± 195 | 549 ± 433 * | 518 ± 403 * | 141 ± 136 | 136 ± 134 |
| 4/03/2015 | 201 ± 162 | 191 ± 150 | 415 ± 330 | 397 ± 310 | 98 ± 103 | 92 ± 100 |
| 5/03/2015 | 335 ± 222 | 294 ± 202 | 652 ± 428 * | 607 ± 400 * | 163 ± 139 | malfunction |
| Date | [2 m] | [1 m] | [0.2 m] | [Crop] | ||||
|---|---|---|---|---|---|---|---|---|
| Ti,w | Ti,nw | Ti,w | Ti,nw | Ti,w | Ti,nw | Tc,w | Tc,nw | |
| Daily | ||||||||
| 03/03/2015 | 24.9 ± 9.8 | 25.5 ± 9.9 | 25.5 ± 10.2 | 25.8 ± 10.4 | 27.8 ± 9.9 * | 25.5 ± 9.3 * | 29.3 ± 12.0 * | 25.7 ± 9.1 * |
| 04/03/2015 | 23.0 ± 7.5 | 23.6 ± 7.6 | 23.5 ± 7.9 | 23.8 ± 8.1 | 25.9 ± 7.4 * | 23.6 ± 7.0 * | 27.0 ± 9.2 * | 24.2 ± 7.0 * |
| 05/03/2015 | 22.3 ± 10.9 | 22.9 ± 10.9 | 22.9 ± 11.3 | 23.1 ± 11.4 | 26.8 ± 11.3 * | 22.9 ± 10.2 * | 28.4 ± 13.6 * | 23.8 ± 10.2 * |
| Daytime | ||||||||
| 3/03/2015 | 31.5 ± 10.3 | 32.3 ± 10.5 | 32.5 ± 10.8 | 32.9 ± 11.0 | 34.4 ± 10.7 * | 31.8 ± 9.9 * | 37.7 ± 12.5 * | 32 ± 9.4 * |
| 4/03/2015 | 28.3 ± 7.7 | 29.0 ± 7.8 | 29.2 ± 8.1 | 29.5 ± 8.3 | 31.0 ± 7.8 * | 28.5 ± 7.3 * | 33.5 ± 9.5 * | 29.3 ± 7.1 * |
| 5/03/2015 | 30.5 ± 10.2 | 31.0 ± 10.2 | 31.4 ± 10.5 | 31.7 ± 10.6 | 35.2 ± 10.7 * | 30.5 ± 9.8 * | 38.9 ± 12.4 * | 31.4 ± 9.5 * |
| Night | ||||||||
| 3–4/03/2015 | 19.2 ± 1.7 * | 19.9 ± 1.7 * | 19.6 ± 1.7 | 19.7 ± 1.7 | 22.2 ± 2.0 * | 20.3 ± 1.7 * | 22.0 ± 1.7 * | 20.6 ± 1.7 * |
| 4–5/03/2015 | 15.5 ± 1.9 * | 16.1 ± 1.9 * | 15.8 ± 1.9 | 15.9 ± 2.0 | 19.3 ± 2.1 * | 16.6 ± 1.9 * | 19.0 ± 1.9 * | 17.3 ± 2.0 * |
| Date | [2 m] | [1 m] | [0.2 m] | |||
|---|---|---|---|---|---|---|
| xi,w | xi,nw | xi,w | xi,nw | xi,w | xi,nw | |
| Daily | ||||||
| 03/03/2015 | 0.0148 ± 0.0054 | 0.0151 ± 0.0054 | 0.0149 ± 0.0054 | 0.0151 ± 0.0054 | 0.0219 ± 0.0110 * | 0.0149 ± 0.0054 * |
| 04/03/2015 | 0.0136 ± 0.0040 | 0.0139 ± 0.0040 | 0.0137 ± 0.0040 | 0.0139 ± 0.0040 | 0.0189 ± 0.0068 * | 0.0137 ± 0.0039 * |
| 05/03/2015 | 0.0104 ± 0.0036 | 0.0107 ± 0.0035 | 0.0106 ± 0.0036 | 0.0107 ± 0.0036 | 0.0195 ± 0.0108 * | 0.0106 ± 0.0036 * |
| Daytime | ||||||
| 3/03/2015 | 0.0184 ± 0.0058 | 0.0187 ± 0.0057 | 0.0186 ± 0.0058 | 0.0187 ± 0.0058 | 0.0291 ± 0.0121 * | 0.0185 ± 0.0057 * |
| 4/03/2015 | 0.0164 ± 0.0042 | 0.0167 ± 0.0041 | 0.0166 ± 0.0042 | 0.0168 ± 0.0042 | 0.0235 ± 0.0073 * | 0.0165 ± 0.0041 * |
| 5/03/2015 | 0.0129 ± 0.0037 | 0.0131 ± 0.0036 | 0.0130 ± 0.0037 | 0.0131 ± 0.0036 | 0.0272 ± 0.0108 * | 0.0131 ± 0.0037 * |
| Night | ||||||
| 3–4/03/2015 | 0.0118 ± 0.0009 * | 0.0122 ± 0.0009 * | 0.0120 ± 0.0009 * | 0.0122 ± 0.0009 * | 0.0155 ± 0.0016 * | 0.0120 ± 0.0009 * |
| 4–5/03/2015 | 0.0092 ± 0.0012 * | 0.0096 ± 0.0012 * | 0.0094 ± 0.0011 | 0.0095 ± 0.0012 | 0.0129 ± 0.0015 * | 0.0094 ± 0.0012 * |
Publisher’s Note: MDPI stays neutral with regard to jurisdictional claims in published maps and institutional affiliations. |
© 2021 by the authors. Licensee MDPI, Basel, Switzerland. This article is an open access article distributed under the terms and conditions of the Creative Commons Attribution (CC BY) license (https://creativecommons.org/licenses/by/4.0/).
Share and Cite
López-Martínez, A.; Molina-Aiz, F.D.; Moreno-Teruel, M.d.l.Á.; Peña-Fernández, A.; Baptista, F.J.F.; Valera-Martínez, D.L. Low Tunnels inside Mediterranean Greenhouses: Effects on Air/Soil Temperature and Humidity. Agronomy 2021, 11, 1973. https://doi.org/10.3390/agronomy11101973
López-Martínez A, Molina-Aiz FD, Moreno-Teruel MdlÁ, Peña-Fernández A, Baptista FJF, Valera-Martínez DL. Low Tunnels inside Mediterranean Greenhouses: Effects on Air/Soil Temperature and Humidity. Agronomy. 2021; 11(10):1973. https://doi.org/10.3390/agronomy11101973
Chicago/Turabian StyleLópez-Martínez, Alejandro, Francisco D. Molina-Aiz, María de los Ángeles Moreno-Teruel, Araceli Peña-Fernández, Fátima J. F. Baptista, and Diego L. Valera-Martínez. 2021. "Low Tunnels inside Mediterranean Greenhouses: Effects on Air/Soil Temperature and Humidity" Agronomy 11, no. 10: 1973. https://doi.org/10.3390/agronomy11101973
APA StyleLópez-Martínez, A., Molina-Aiz, F. D., Moreno-Teruel, M. d. l. Á., Peña-Fernández, A., Baptista, F. J. F., & Valera-Martínez, D. L. (2021). Low Tunnels inside Mediterranean Greenhouses: Effects on Air/Soil Temperature and Humidity. Agronomy, 11(10), 1973. https://doi.org/10.3390/agronomy11101973

