Efficient Water Management for Cymbidium Grown in Coir Dust Using a Soil Moisture Sensor-Based Automated Irrigation System
Abstract
1. Introduction
2. Materials and Methods
2.1. Plant, Substrate Materials and Growth Conditions
2.2. Physical Properties of the Substrate
2.3. Frequency Domain Reflectometry (FDR) Sensor-Based Automated Irrigation System
2.4. Plants Growth Parameters and WUE
2.5. Photosynthetic Gas Exchange and Chlorophyll Fluorescence
2.6. Experimental Design and Statistical Analysis
3. Results and Discussion
3.1. Performance of the FDR Sensor-Based Automated Irrigation System
3.2. Vegetative Growth of Cymbidium
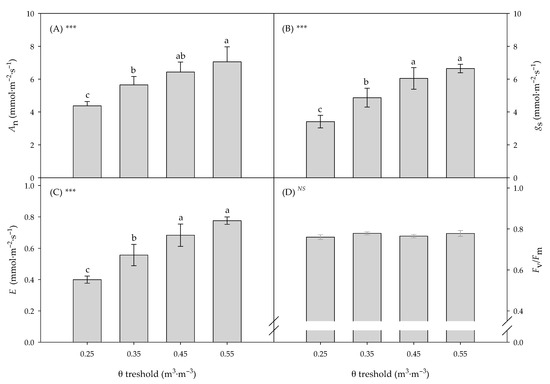
3.3. Photosynthetic Gas Exchange and Chlorophyll Fluorescence
3.4. WUE
4. Conclusions
Author Contributions
Funding
Institutional Review Board Statement
Informed Consent Statement
Data Availability Statement
Acknowledgments
Conflicts of Interest
References
- De, L.C. Good agricultural practices of commercial orchids. Vigyan Varta 2020, 1, 53–64. [Google Scholar]
- Kim, Y.J.; Lee, H.J.; Kim, K.S. Night interruption promotes vegetative growth and flowering of Cymbidium. Sci. Hortic. 2011, 130, 887–893. [Google Scholar] [CrossRef]
- Barman, D.; Naik, S.K. Effect of substrate, nutrition and growth regulator on productivity and mineral composition of leaf and pseudobulb of Cymbidium hybrid “Baltic Glacier Mint Ice”. J. Plant Nutr. 2017, 40, 784–794. [Google Scholar] [CrossRef]
- Ohno, H.; Kako, S. Development of inflorescences in Cymbidium (Orchidaceae). Environ. Control Biol. 1978, 16, 81–91. [Google Scholar] [CrossRef]
- Pun, A.B. Growth and flowering response of cymbidium orchid (Cymbidium erythrostylum) in different potting media, NPK and sucker management. Asian J. Res. Agric. For. 2019, 2, 1–6. [Google Scholar] [CrossRef]
- Hanson, A.-M.; Harris, J.R.; Wright, R.; Niemiera, A.; Persaud, N. Water content of a pine-bark growing substrate in a drying mineral soil. HortScience 2004, 39, 591–594. [Google Scholar] [CrossRef]
- Won, J.Y.; Lee, Y.R.; Kim, M.S.; Jeoung, M.I.; Kim, B.H.; Song, C.H. Effects of nutrient solution level and potting media on the growth and flowering of Cymbidium Show Girl ‘Husky Honey’. Hortic. Sci. Technol. 1998, 16 (Suppl. 1), 124. [Google Scholar]
- Lee, Y.R.; Kim, M.S.; Choi, S.R.; Goo, D.H.; Kwon, O.K.; Huh, E.J. Selection of optimum medium and fertilizer yield for export of Cymbidium. Hortic. Sci. Technol. 2005, 23 (Suppl. 1), 107. [Google Scholar]
- Kwon, A.; Go, J.; Park, S. Effect of autoclaved lightweight concrete (ALC) on growth and flowering in three species of Cymbidium and Doritaenopsis plants as a potting medium. J. Agric. Life Sci. 2015, 49, 27–36. [Google Scholar] [CrossRef]
- Motomura, H.; Yukawa, T.; Ueno, O.; Kagawa, A. The occurrence of crassulacean acid metabolism in Cymbidium (Orchidaceae) and its ecological and evolutionary implications. J. Plant Res. 2008, 121, 163–177. [Google Scholar] [CrossRef]
- Lee, D.S.; Kwon, O.K.; Kim, M.S.; Park, P.M.; Park, P.H.; Lee, Y.R.; An, H.R. Effect of irrigation methods on the growth of Cymbidium and saving water for irrigation. Hortic. Sci. Technol. 2014, 32 (Suppl. 2), 166–167. [Google Scholar]
- Bayer, A.; Mahbub, I.; Chappell, M.; Ruter, J.; van Iersel, M.W. Water use and growth of Hibiscus acetosella ‘Panama Red’ grown with a soil moisture sensor-controlled irrigation system. HortScience 2013, 48, 980–987. [Google Scholar] [CrossRef]
- Burnett, S.E.; van Iersel, M.W. Morphology and irrigation efficiency of Gaura lindheimeri grown with capacitance sensor-controlled irrigation. HortScience 2008, 43, 1555–1560. [Google Scholar] [CrossRef]
- Nam, S.; Kang, S.; Kim, J. Maintaining a constant soil moisture level can enhance the growth and phenolic content of sweet basil better than fluctuating irrigation. Agric. Water Manag. 2020, 238, 106203. [Google Scholar] [CrossRef]
- Pershey, N.A.; Cregg, B.M.; Andresen, J.A.; Fernandez, R.T. Irrigating based on daily water use reduces nursery runoff volume and nutrient load without reducing growth of four conifers. HortScience 2015, 50, 1553–1561. [Google Scholar] [CrossRef]
- van Iersel, M.W.; Dove, S.; Kang, J.-G.; Burnett, S.E. Growth and water use of Petunia as affected by substrate water content and daily light integral. HortScience 2010, 45, 277–282. [Google Scholar] [CrossRef]
- Warsaw, A.L.; Fernandez, R.T.; Cregg, B.M.; Andresen, J.A. Container-grown ornamental plant growth and water runoff nutrient content and volume under four irrigation treatments. HortScience 2009, 44, 1573–1580. [Google Scholar] [CrossRef]
- Chappell, M.; Dove, S.K.; van Iersel, M.W.; Thomas, P.A.; Ruter, J. Implementation of wireless sensor networks for irrigation control in three container nurseries. HortTechnology 2013, 23, 747–753. [Google Scholar] [CrossRef]
- De Boodt, M.; Verdonck, O. The physical properties of the substrates used in horticulture. Acta Hortic. 1972, 26, 37–44. [Google Scholar] [CrossRef]
- Lukanu, G.; Savage, M.J. Calibration of a frequency-domain reflectometer for determining soil-water content in a clay loam soil. Water 2007, 32, 37–42. [Google Scholar]
- Topp, G.C.; Davis, J.L.; Annan, A.P. Electromagnetic determination of soil water content: Measurements in coaxial transmission lines. Water Resour. Res. 1980, 16, 574–582. [Google Scholar] [CrossRef]
- Viets, F.G. Fertilizers and the efficient use of water. In Advances in Agronomy; Norman, A.G., Ed.; Academic Press: New York, NY, USA, 1962; Volume 14, pp. 223–264. [Google Scholar]
- Lambers, H.; Chapin, F.S.; Pons, T.L. Plant Physiological Ecology, 2nd ed.; Springer: New York, NY, USA, 2008; pp. 163–223. [Google Scholar]
- Koubouris, G.; Bouranis, D.; Vogiatzis, E.; Nejad, A.R.; Giday, H.; Tsaniklidis, G.; Ligoxigakis, E.K.; Blazakis, K.; Kalaitzis, P.; Fanourakis, D. Leaf area estimation by considering leaf dimensions in olive tree. Sci. Hortic. 2018, 240, 440–445. [Google Scholar] [CrossRef]
- Garland, K.F.; Burnett, S.E.; Day, M.E.; Van Iersel, M.W. Influence of substrate water content and daily light integral on photosynthesis, water use efficiency, and morphology of Heuchera americana. J. Am. Soc. Hortic. Sci. 2012, 137, 57–67. [Google Scholar] [CrossRef]
- Ng, C.K.Y.; Hew, C.S. Orchid pseudobulbs—‘False’ bulbs with a genuine importance in orchid growth and survival! Sci. Hortic. 2000, 83, 165–172. [Google Scholar] [CrossRef]
- Yong, J.W.H.; Hew, C.S. Partitioning of 14C assimilates between sources and sinks during different growth stages in the sympodial thin-leaved orchid Oncidium Goldiana. Int. J. Plant Sci. 1995, 156, 188–196. [Google Scholar] [CrossRef]
- Pan, R.C.; Ye, Q.S.; Hew, C.S. Physiology of Cymbidium sinense: A review. Sci. Hortic. 1997, 70, 123–129. [Google Scholar]
- Zheng, X.N.; Wen, Z.Q.; Pan, R.C.; Hew, C.S. Response of Cymbidium sinense to drought stress. J. Hortic. Sci. 1992, 67, 295–299. [Google Scholar] [CrossRef]
- Guerfel, M.; Baccouri, O.; Boujnah, D.; Chaïbi, W.; Zarrouk, M. Impacts of water stress on gas exchange, water relations, chlorophyll content and leaf structure in the two main Tunisian olive (Olea europaea L.) cultivars. Sci. Hortic. 2009, 119, 257–263. [Google Scholar] [CrossRef]
- Dghim, F.; Abdellaoui, R.; Boukhris, M.; Neffati, M.; Chaieb, M. Physiological and biochemical changes in Periploca angustifolia plants under withholding irrigation and rewatering conditions. S. Afr. J. Bot. 2018, 114, 241–249. [Google Scholar] [CrossRef]
- Rhie, Y.H.; Kang, S.; Kim, J. Substrate water content influences the flowering of Doritaenopsis Queen Beer ‘Mantefon’. HortScience 2017, 52, 1823–1828. [Google Scholar] [CrossRef]
- Currey, C.J.; Flax, N.J.; Litvin, A.G.; Metz, V.C. Substrate volumetric water content controls growth and development of containerized culinary herbs. Agronomy 2019, 9, 667. [Google Scholar] [CrossRef]
- Zhen, S.; Burnett, S.E. Effects of substrate volumetric water content on English Lavender morphology and photosynthesis. HortScience 2015, 50, 909–915. [Google Scholar] [CrossRef]
- Schmidt, G.; Zotz, G. Inherently slow growth in two Caribbean epiphytic species: A demographic approach. J. Veg. Sci. 2002, 13, 527–534. [Google Scholar] [CrossRef]
- Shefferson, R.P. Survival costs of adult dormancy and the confounding influence of size in lady’s slipper orchids, genus Cypripedium. Oikos 2006, 115, 253–262. [Google Scholar] [CrossRef]
- Ichhashi, S. Orchid production and research in Japan. In Orchid Biology; Arditti, J., Pridgeon, A.M., Eds.; Review and Perspectives VII; Kluwer Academic Publishers: Amsterdam, The Netherlands; pp. 171–212.
- Lopez, R.G.; Runkle, E.S. Temperature and photoperiod regulate flowering of potted Miltoniopsis orchids. HortScience 2006, 41, 593–597. [Google Scholar] [CrossRef]
- Zhou, S.; Duursma, R.A.; Medlyn, B.E.; Kelly, J.W.G.; Prentice, I.C. How should we model plant responses to drought? An analysis of stomatal and non-stomatal responses to water stress. Agric. For. Meteorol. 2013, 182, 204–214. [Google Scholar] [CrossRef]
- Kim, J.; Malladi, A.; van Iersel, M.W. Physiological and molecular responses to drought in Petunia: The importance of stress severity. J. Exp. Bot. 2012, 63, 6335–6345. [Google Scholar] [CrossRef]
- He, J.; Norhafis, H.; Qin, L. Responses of green leaves and green pseudobulbs of CAM orchid Cattleya laeliocattleya Aloha case to drought stress. J. Bot. 2013, 710539. [Google Scholar] [CrossRef]
- Du, T.; Kang, S.; Sun, J.; Zhang, X.; Zhang, J. An improved water use efficiency of cereals under temporal and spatial deficit irrigation in north China. Agric. Water Manag. 2010, 97, 66–74. [Google Scholar] [CrossRef]
- Rafi, Z.N.; Kazemi, F.; Tehranifar, A. Effects of various irrigation regimes on water use efficiency and visual quality of some ornamental herbaceous plants in the field. Agric. Water Manag. 2019, 212, 78–87. [Google Scholar] [CrossRef]
- Giday, H.; Fanourakis, D.; Kjaer, K.H.; Fomsgaard, I.S.; Ottosen, C.O. Threshold response of stomatal closing ability to leaf abscisic acid concentration during growth. J. Exp. Bot. 2014, 65, 4361–4370. [Google Scholar] [CrossRef] [PubMed]




| θ Threshold (m3·m−3) | No. of Leaves | Leaf Length (cm) | Leaf Width (cm) | No. of Pseudobulbs | Pseudobulb z Diameter (mm) | Chlorophyll Content |
|---|---|---|---|---|---|---|
| 0.55 | 24.3 | 48.43 a y | 2.38 a | 2.2 | 34.19 ab | 58.11 |
| 0.45 | 23.6 | 48.20 a | 2.34 ab | 2.1 | 35.57 a | 55.79 |
| 0.35 | 25.2 | 45.80 ab | 2.23 bc | 2.4 | 33.98 ab | 55.41 |
| 0.25 | 22.0 | 45.07 b | 2.16 c | 2.3 | 31.65 b | 58.65 |
| θ Threshold (m3·m−3) | Fresh Weight (g) | Dry Weight (g) | ||||
|---|---|---|---|---|---|---|
| Pseudobulb z | Shoot | Root | Pseudobulb | Shoot | Root | |
| 0.55 | 15.45 ab y | 110.74 a | 133.36 ab | 3.43 a | 37.13 a | 29.57 a |
| 0.45 | 17.21 a | 105.93 a | 138.96 a | 3.59 a | 35.86 a | 29.83 a |
| 0.35 | 14.82 ab | 101.10 a | 136.63 ab | 3.20 ab | 35.04 a | 29.66 a |
| 0.25 | 12.54 b | 90.00 b | 120.11 b | 2.64 b | 32.73 b | 28.21 b |
| θ Threshold (m3·m−3) | Irrigation Amount (mL) | WUE (g·mL−1) |
|---|---|---|
| 0.55 | 2707 a z | 2.7 c |
| 0.45 | 2060 b | 3.5 b |
| 0.35 | 1727 c | 3.9 b |
| 0.25 | 1307 d | 5.0 a |
| Significance | *** | *** |
Publisher’s Note: MDPI stays neutral with regard to jurisdictional claims in published maps and institutional affiliations. |
© 2020 by the authors. Licensee MDPI, Basel, Switzerland. This article is an open access article distributed under the terms and conditions of the Creative Commons Attribution (CC BY) license (http://creativecommons.org/licenses/by/4.0/).
Share and Cite
An, S.K.; Lee, H.B.; Kim, J.; Kim, K.S. Efficient Water Management for Cymbidium Grown in Coir Dust Using a Soil Moisture Sensor-Based Automated Irrigation System. Agronomy 2021, 11, 41. https://doi.org/10.3390/agronomy11010041
An SK, Lee HB, Kim J, Kim KS. Efficient Water Management for Cymbidium Grown in Coir Dust Using a Soil Moisture Sensor-Based Automated Irrigation System. Agronomy. 2021; 11(1):41. https://doi.org/10.3390/agronomy11010041
Chicago/Turabian StyleAn, Seong Kwang, Hyo Beom Lee, Jongyun Kim, and Ki Sun Kim. 2021. "Efficient Water Management for Cymbidium Grown in Coir Dust Using a Soil Moisture Sensor-Based Automated Irrigation System" Agronomy 11, no. 1: 41. https://doi.org/10.3390/agronomy11010041
APA StyleAn, S. K., Lee, H. B., Kim, J., & Kim, K. S. (2021). Efficient Water Management for Cymbidium Grown in Coir Dust Using a Soil Moisture Sensor-Based Automated Irrigation System. Agronomy, 11(1), 41. https://doi.org/10.3390/agronomy11010041

