Effect of Irrigation Water Containing Iodine on Plant Physiological Processes and Elemental Concentrations of Cabbage (Brassica oleracea L. var. capitata L.) and Tomato (Solanum lycopersicum L.) Cultivated in Different Soils
Abstract
1. Introduction
2. Materials and Methods
2.1. Chemicals
2.2. Characterization of Soil
2.3. Plants Cultivation
2.4. In Situ Measurements of Photosynthetic Efficiency and Chlorophyll Concentration
2.5. Sample Preparation and Elemental Analysis of Plants
2.6. Statistical Analysis
3. Results
3.1. Photosynthetic Efficiency and Chlorophyll Content Index
3.2. Biomass Yield of Plants
- The root mass of cabbage increased in the order of sandy silt < silt < sand (showing significant difference between sandy silt and sand), maybe due to increasing pH of the soil (Table 1). However, the tomato showed different pattern. Here, the root mass increased in the order of sandy silt < sand < silt, showing significant differences between silt and the other two soil types.
- The dry mass of aerial parts did not show significant difference between the soils for tomato, but for cabbage, significantly lower mass was measured on sandy silt than on the other two soils. The highest dry mass values of aerial parts were measured on silt for both species.
- The effect of soil type on the fruit production in tomato was negligible (no statistical difference), and the fruit mass increased in the order of sandy silt < silt < sand.
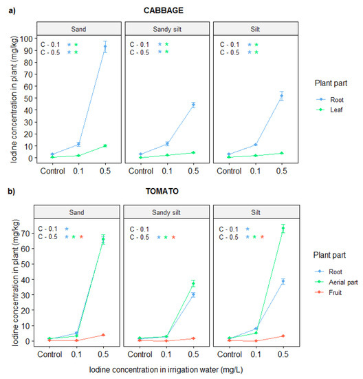
3.3. Uptake and Translocation of Iodine
3.4. Transport of Selected Macro- and Micro Elements
4. Discussion
5. Conclusions
Author Contributions
Funding
Conflicts of Interest
References
- Velasco, I.; Bath, S.C.; Rayman, M.P. Iodine as essential nutrient during the first 1,000 days of life. Nutrients 2018, 10, 290. [Google Scholar] [CrossRef] [PubMed]
- Koukkou, E.G.; Roupas, N.D.; Markou, K.B. Effect of excess iodine intake on thyroid on human health. Minerva Med. 2017, 108, 136–146. [Google Scholar] [CrossRef] [PubMed]
- Hays, S.M.; Poddalgoda, D.; Macey, K.; Aylward, L.; Nong, A. Biomonitoring equivalents for interpretation of urinary iodine. Regul. Toxicol. Pharmacol. 2018, 94, 40–46. [Google Scholar] [CrossRef] [PubMed]
- Blasco, B.; Rios, J.J.; Cervilla, L.M.; Sánchez-Rodrigez, E.; Ruiz, J.M.; Romero, L. Iodine biofortification and antioxidant capacity of lettuce: Potential benefits for cultivation and human health. Ann. App. Biol. 2008, 152, 289–299. [Google Scholar] [CrossRef]
- Blasco, B.; Ríos, J.J.; Sánchez-Rodríguez, E.; Rubio-Wilhelmi, M.M.; Leyva, R.; Romero, L.; Ruiz, M.J. Study of the interactions between iodine and mineral nutrients in lettuce plants. J. Plant Nutr. 2012, 35, 1958–1969. [Google Scholar] [CrossRef]
- Hong, C.L.; Weng, H.X.; Qin, Y.C.; Yan, A.L.; Xie, L.L. Transfer of iodine from soil to vegetables by applying exogenous iodine. Agron. Sustain. Dev. 2008, 28, 575–583. [Google Scholar] [CrossRef]
- Lawson, P.G.; Daum, D.; Czauderna, R.; Meuser, H.; Härtling, J.W. Soil versus foliar iodine fertilization as a biofortification strategy for field-grown vegetables. Front. Plant Sci. 2015, 6, 1–11. [Google Scholar] [CrossRef]
- Voogt, W.; Holwerda, H.T.; Khodabaks, R. Biofortification of lettuce (Lactuca sativa L.) with iodine: The effect of iodine form and concentration in the nutrient solution on growth, development and iodine uptake of lettuce grown in water culture. J. Sci. Food Agric. 2010, 90, 906–913. [Google Scholar] [CrossRef]
- Dai, J.L.; Zhu, Y.G.; Huang, Y.Z.; Zhang, M.; Song, J.L. Availability of iodide and iodate to spinach (Spinacia oleracea L.) in relation to total iodine in soil solution. Plant Soil 2006, 289, 301–308. [Google Scholar] [CrossRef]
- Weng, H.X.; Yan, A.L.; Hong, C.L.; Xie, L.L.; Qin, Y.C.; Cheng, C.Q. Uptake of different species of iodine by water spinach and its effect to growth. Biol. Trace Elem. Res. 2008, 125, 184–194. [Google Scholar] [CrossRef]
- Zhu, Y.G.; Huang, Y.Z.; Hu, Y.; Liu, Y.X. Iodine uptake by spinach (Spinacia oleracea L.) plants grown in solution culture: Effects of iodine species and solution concentrations. Environ. Int. 2003, 29, 33–37. [Google Scholar] [CrossRef]
- Zhu, Y.G.; Huang, Y.; Hu, Y.; Liu, Y.; Christie, P. Interactions between selenium and iodine uptake by spinach (Spinacia oleracea L.) in solution culture. Plant Soil 2004, 261, 99–105. [Google Scholar] [CrossRef]
- Hong, C.L.; Weng, H.X.; Yan, A.L.; Xie, L.L. Dynamic characterization of iodine uptake in vegetable plants. Acta Ecol. Sin. 2009, 29, 1438–1447. [Google Scholar]
- Weng, H.X.; Hong, C.L.; Yan, A.L.; Pan, L.H.; Qin, Y.C.; Bao, L.T.; Xie, L.L. Mechanism of iodine uptake by cabbage: Effects of iodine species and where it is stored. Biol. Trace Elem. Res. 2008, 125, 59–71. [Google Scholar] [CrossRef]
- Caffagni, A.; Arru, L.; Meriggi, P.; Milc, J.; Perata, P.; Pecchioni, N. Iodine fortification plant screening process and accumulation in tomato fruits and potato tubers. Commun. Soil Sci. Plant. 2011, 42, 706–718. [Google Scholar] [CrossRef]
- Landini, M.; Gonzali, S.; Perata, P. Iodine biofortification in tomato. J. Plant Nutr. Soil Sci. 2011, 174, 480–486. [Google Scholar] [CrossRef]
- Li, R.; Liu, H.P.; Hong, C.L.; Dai, Z.X.; Liu, J.W.; Zhou, J.; Hua, C.Q.; Weng, H.X. Iodide and iodate effects on the growth and fruit quality of strawberry. J. Sci. Food Agric. 2016, 1, 231–235. [Google Scholar] [CrossRef]
- Voogt, W.; Steenhuizen, J.; Eveleens, B. Uptake and distribution of iodine in cucumber, sweet pepper, round, and cherry tomato. Rep. Wagening. UR Greenh. Horicult. 2014, 1329, 1–72. [Google Scholar]
- Hong, C.L.; Weng, H.X.; Yan, A.L.; Islam, E.U. The fate of exogenous iodine in pot soil cultivated with vegetable. Environ. Geochem. Hlth. 2009, 31, 99–108. [Google Scholar] [CrossRef] [PubMed]
- Kato, S.; Wachi, T.; Yoshihira, K.; Nakagawa, T.; Ishikawa, A.; Takagi, D.; Tezuka, A.; Yoshida, H.; Yoshida, S.; Sekimoto, H.; et al. Rice (Oryza sativa L.) roots have iodate reduction activity in response to iodine. Front. Plant Sci. 2013, 4, 1–11. [Google Scholar] [CrossRef] [PubMed]
- Dobosy, P.; Kröpfl, K.; Óvá, M.; Sandil, S.; Németh, K.; Engloner, A.; Tünde, T.; Záray, G.Y. Biofortification of green bean (Phaseolus vulgaris L.) and lettuce (Lactuca sativa L.) with iodine in a plant-calcareous sandy soil system irrigated with water containing KI. J. Food Compos. Anal. 2020, 88, 103434. [Google Scholar] [CrossRef]
- Hong, C.L.; Weng, H.X.; Yan, A.L.; Xie, L.L. Characteristics of iodine uptake and accumulation by vegetables. Chin. J. App. Ecol. 2007, 18, 2313–2318. [Google Scholar]
- Umaly, R.C.; Poel, L.W. Effects of iodine in various formulations on the growth of barley and pea plants in nutrient solution culture. Ann. Bot. 1971, 35, 127–131. [Google Scholar] [CrossRef]
- Xie, L.L.; Weng, H.X.; Hong, C.L.; Yan, A.L. Uptake of bok-choy and Ipomoea aquatica Forsk to iodine species. Plant Nutr. Fert. Sci. 2007, 13, 123–128. [Google Scholar]
- Yu, W.J.; Yao, Y.; Wei, H.M.; Long, M.H.; Tang, X.F. Absorption of exogenous iodine in rhizosphere and its effects on physiological parameters of cherry tomato plants. Guihaia 2011, 31, 513–519. [Google Scholar]
- Kiferle, C.; Gonzali, S.; Holwerda, H.T.; Ibaceta, R.R.; Perata, P. Tomato fruits: A good target for iodine biofortification. Front. Plant Sci. 2013, 4, 1–10. [Google Scholar] [CrossRef]
- Medrano-Macías, J.; Leija-Martínez, P.; González-Morales, S.; Juárez-Maldonado, A.; Benavides-Mendoza, A. Use of iodine to biofortify and promote growth and stress tolerance in crops. Front. Plant Sci. 2016, 7, 1146. [Google Scholar] [CrossRef]
- Johnson, C.C. The geochemistry of iodine and its application to environmental strategies for reducing the risks from iodine deficiency disorders. In British Geological Survey Commissioned Report Number CR/03/057; British Geological Survey: Nottingham, UK, 2003; pp. 1–48. [Google Scholar]
- Seki, M.; Oikawa, J.; Taguchi, T.; Ohnuki, T.; Muramatsu, Y.; Sakamoto, K.; Amachi, S. Laccase-catalyzed oxidation of iodide and formation of organically bound iodine in soils. Environ. Sci. Technol. 2013, 47, 390–397. [Google Scholar] [CrossRef]
- Yamaguchi, N.; Nakano, M.; Takamatsuc, R.; Tanida, H. Inorganic iodine incorporation into soil organic matter: Evidence from iodine K-edge X-ray absorption near-edge structure. J. Environ. Radioact. 2010, 101, 451–457. [Google Scholar] [CrossRef]
- UN Food and Agriculture Organization, Corporate Statistical Database (FAOSTAT); Food and Agriculture Organization: Rome, Italy, 2019.
- Capurso, A.; Gaetano, C.; Capurso, C. Benefits of the Mediterranean Diet in the Elderly Patient, 1st ed.; Springer: Berlin, Germany, 2018; p. 185. [Google Scholar]
- Basu, A.; Imrhan, V. Tomatoes versus lycopene in oxidative stress and carcinogenesis: Conclusions from clinical trials. Eur. J. Clin. Nutr. 2007, 61, 295–303. [Google Scholar] [CrossRef]
- Weng, H.X.; Hong, C.L.; Xia, T.H.; Bao, L.T.; Liu, H.P.; Li, D.W. Iodine biofortification of vegetable plants—An innovative method for iodine supplementation. Chinese Sci. Bull. 2013, 58, 2066–2072. [Google Scholar] [CrossRef]
- Ren, Q.; Fan, J.; Zhang, Z.; Zheng, X.; Delong, G.R. An environmental approach to correcting iodine deficiency: Supplementing iodine in soil by iodination of irrigation water in remote areas. J. Trace Elem. Med. Biol. 2008, 22, 1–8. [Google Scholar] [CrossRef] [PubMed]
- Caffagni, A.; Pecchioni, N.; Meriggi, P.; Bucci, V.; Sabatini, E.; Acciarri, N.; Ciriaci, T.; Pulcini, L.; Felicioni, N.; Beretta, M.; et al. Iodine uptake and distribution in horticultural and fruit tree species. Ital. J. Agron. 2012, 7, 229–236. [Google Scholar] [CrossRef]
- MSZ-08-0206/2:1978 Evaluation of Some Chemical Properties of the Soil. Laboratory Tests. (pH Value, Phenolphtalein Alkalinity Expressed in Soda, Total Water Soluble Salt Content, Hydrolytic (y1 Value) and Exchangeable Acidity (y2 Value)); Hungarian Standard Association Budapest: Budapest, Hungary, 1978. [Google Scholar]
- MSZ-08-0452:1980 Use of high-capacity analyser systems for soils analyses. Quantitative Determination of the Organic Carbon Content of the Soil on Contiflo Analyzer System; Hungarian Standard Association Budapest: Budapest, Hungary, 1980. [Google Scholar]
- Egnér, H.; Riehm, H.; Domingo, W.R. Investigations on chemical soil analysis as the basis for estimating soil fertility. II. Chemical extraction methods for phosphorus and potassium determination. K. Lantbr. Hogsk. Annlr. 1960, 26, 199–215. [Google Scholar]
- ISO 11261:1995 Soil Quality—Determination of Total Nitrogen—Modified Kjeldahl Method; ISO: Geneva, Switzerland, 1995.
- MSZ 20135:1999 Determination of the Soluble Nutrient Element Content of the Soil; Hungarian Standard Association Budapest: Budapest, Hungary, 1999.
- MSZ-08-0215:1978 Determination of the Cation Adsorption Capacity of the Soil; Modified Mechlich Technique; Hungarian Standard Association Budapest: Budapest, Hungary, 1978.
- Tsimilli-Michael, M.; Strasser, R.J. In vivo assessment of stress impact on plant’s vitality: Applications in detecting and evaluating the beneficial role of mycorrhization on host plants. Mycorrhiza 2008, 3, 679–703. [Google Scholar]
- R Core Team R: A language and environment for statistical computing. R Foundation for Statistical Computing, Vienna, Austria. 2019. Available online: https://www.R-project.org/ (accessed on 5 April 2020).
- Kassambara, A. ggpubr: ‘ggplot2’ Based Publication Ready Plots. R package version 0.2.4. 2019. Available online: https://CRAN.R-project.org/package=ggpubr (accessed on 5 April 2020).
- Hothorn, T.; Bretz, F.; Westfall, P. Simultaneous inference in general parametric models. Biometrical J. 2008, 50, 346–363. [Google Scholar] [CrossRef]
- Germ, M.; Stibilj, V.; Šircelj, H.; Jerše, A.; Kroflič, A.; Golob, A.; Maršić, N.K. Biofortification of common buckwheat microgreens and seeds with different forms of selenium and iodine. J. Sci. Food Agric. 2019, 99, 4353–4362. [Google Scholar] [CrossRef]
- Blasco, B.; Rios, J.J.; Leyva, R.; Melgarejo, R.; Constán-Aguilar, C.; Sanchez-Rodriguez, E.; Rubio-Wilhelmi, M.M.; Romero, L.; Ruiz, J.M. Photosynthesis and metabolism of sugars from lettuce plants (Lactuca sativa L. var. longifolia) subjected to biofortification with iodine. Plant Growth Regul. 2011, 65, 137–143. [Google Scholar] [CrossRef]
- Mao, H.; Wang, J.; Wang, Z.; Zan, Y.; Lyons, G.; Zou, C. Using agronomic biofortification to boost zinc, selenium, and iodine concentrations of food crops grown on the loess plateau in China. J. Soil Sci. Plant Nut. 2014, 14, 459–470. [Google Scholar] [CrossRef]
- Halka, M.; Smoleń, S.; Ledwożyw-Smoleń, I.; Sady, W. Comparison of effects of potassium iodide and iodosalicylates on the antioxidant potential and iodine accumulation in young tomato plants. J. Plant. Growth Reg. 2020, 39, 282–295. [Google Scholar] [CrossRef]
- Ojok, J.; Omara, P.; Opolot, E.; Odongo, W.; Olum, S. Iodine agronomic biofortification of cabbage (Brassica oleracea var. capitata) and cowpea (Vigna unguiculata L.) is effective under farmer field conditions. Agronomy 2019, 9, 797. [Google Scholar] [CrossRef]
- Hageman, R.H.; Hodge, E.S.; McHargue, J.S. Effect of potassium iodide on the ascorbic acid content and growth of tomato plants. Plant Physiol. 1942, 17, 465–472. [Google Scholar] [CrossRef]
- Smoleń, S.; Rożek, S.; Ledwożyw-Smoleń, I.; Strzetelski, P. Preliminary evaluation of the influence of soil fertilization and foliar nutrition with iodine on the efficiency of iodine biofortification and chemical composition of lettuce. J. Elem. 2011, 16, 613–622. [Google Scholar] [CrossRef]
- Smoleń, S.; Skoczylas, L.; Rakoczy, R.; Ledwożyw-Smoleń, I.; Kopeć, A.; Piątkowska, E.; Bieżanowska-Kopeć, R.; Pysz, M.; Koronowicz, A.; Kapusta-Duch, J.; et al. Mineral composition of field-grown lettuce (Lactuca sativa L.) depending on the diversified fertilization with iodine and selenium compounds. Acta Sci. Pol. Hortorum Cultus 2015, 14, 97–114. [Google Scholar]

| Parameters | Sand | Sandy Silt | Silt |
|---|---|---|---|
| pH–H2O | 7.96 | 6.83 | 7.34 |
| OM (w/w%) | 0.91 | 1.24 | 2.12 |
| CaCO3 (w/w%) | 1.45 | 0.08 | 0.20 |
| Total-N (w/w%) | 0.064 | 0.092 | 0.135 |
| NH4-N (mg/kg) | 1.4 | 2.3 | 3.9 |
| NO3-N (mg/kg) | 4.7 | 2.3 | 14.2 |
| AL-K2O (mg/kg) | 74 | 174 | 176 |
| AL-P2O5 (mg/kg) | 131 | 238 | 81 |
| CEC (Na meq/100g) | 9 | 17 | 37 |
| Total iodine (mg/kg) | 1.2 | 1.9 | 1.2 |
| Photosynthetic Efficiency and Chlorophyll Content Index of Leaves (n = 3; RSD%) | |||||
|---|---|---|---|---|---|
| CABBAGE | TOMATO | ||||
| Iodine Concentration in Irrigation Water | Fv/Fm | CCI | Fv/Fm | CCI | |
| Sand | Control | 0.831a (0.3) | 20.933a (20) | 0.786a (1) | 12.467a (24) |
| 0.1 mg/L | 0.819a (0.9) | 23.633a (10) | 0.792a (1) | 14.000a (6) | |
| 0.5 mg/L | 0.818a (1) | 26.533a (40) | 0.783a (2) | 16.867a (9) | |
| Sandy Silt | Control | 0.826a (1.4) | 24.367a (29) | 0.792a (0.8) | 10.933a (8) |
| 0.1 mg/L | 0.835a (0.8) | 27.200a (13) | 0.810a (2) | 20.967a (37) | |
| 0.5 mg/L | 0.817a (1) | 23.833a (21) | 0.791a (1) | 19.300a (22) | |
| Silt | Control | 0.821a (3) | 33.000a (49) | 0.771a (3) | 15.967a (53) |
| 0.1 mg/L | 0.837a (0.3) | 29.233a (16) | 0.777a (2) | 19.333a (48) | |
| 0.5 mg/L | 0.843a (5) | 32.800a (56) | 0.745a (3) | 15.533a (12) | |
| Dry Mass/g (n = 3; RSD%) | ||||||
|---|---|---|---|---|---|---|
| CABBAGE | TOMATO | |||||
| Iodine Concentration in Irrigation Water | Root | Leaf | Root | Aerial Part | Fruit | |
| Sand | Control | 2.44a (9) | 53.2a (9) | 2.96a (5) | 23.7a (15) | 24.8a (12) |
| 0.1 mg/L | 2.34a (19) | 56.7ab (2) | 2.97a (10) | 29.2a (24) | 26.2a (18) | |
| 0.5 mg/L | 2.29a (18) | 61.5b (3) | 3.62a (11) | 29.9a (9) | 25.5a (14) | |
| Sandy Silt | Control | 1.60a (17) | 38.9a (15) | 2.52a (8) | 24.9a (6) | 19.1a (23) |
| 0.1 mg/L | 2.31a (20) | 63.2b (18) | 2.58a (6) | 34.2a (35) | 21.6a (24) | |
| 0.5 mg/L | 2.98a (17) | 58.7ab (12) | 2.78a (16) | 30.0a (8) | 20.7a (30) | |
| Silt | Control | 2.18a (13) | 56.0a (4) | 4.16a (16) | 31.7a (19) | 20.6a (29) |
| 0.1 mg/L | 2.54a (21) | 43.7a (14) | 3.75a (10) | 31.5a (16) | 17.6a (31) | |
| 0.5 mg/L | 2.93a (21) | 54.1a (18) | 3.21a (13) | 23.8a (28) | 17.9a (10) | |
| Iodine Distribution (as % of g Total Uptake) | ||||||
|---|---|---|---|---|---|---|
| CABBAGE | TOMATO | |||||
| Iodine Concentration in Irrigation Water | Root | Leaf | Root | Aerial Part | Fruit | |
| Sand | Control | 31 | 69 | 8 | 88 | 4 |
| 0.1 mg/L | 20 | 80 | 13 | 84 | 3 | |
| 0.5 mg/L | 26 | 74 | 10 | 86 | 4 | |
| Sandy Silt | Control | 32 | 68 | 6 | 91 | 3 |
| 0.1 mg/L | 17 | 83 | 7 | 91 | 2 | |
| 0.5 mg/L | 35 | 65 | 7 | 90 | 3 | |
| Silt | Control | 29 | 71 | 10 | 88 | 2 |
| 0.1 mg/L | 26 | 74 | 16 | 83 | 1 | |
| 0.5 mg/L | 43 | 57 | 6 | 91 | 3 | |
| CABBAGE | Sand | Sandy Silt | Silt | |||||||
| Root | Leaf | Root | Leaf | Root | Leaf | |||||
| Mg (mg/kg) | Control | 2602 ± 166a | 2766 ± 59a | 2034 ± 152a | 2376 ± 79a | 2013 ± 128a | 2233 ± 63a | |||
| 0.1 mg/L | 1826 ± 93b | 2468 ± 123a | 1852 ± 176a | 2515 ± 143a | 3179 ± 186b | 2116 ± 164ab | ||||
| 0.5 mg/L | 3021 ± 241a | 2738 ± 173a | 2936 ± 242b | 3096 ± 224b | 3570 ± 287b | 2505 ± 165ac | ||||
| P (mg/kg) | Control | 3555 ± 129a | 2329 ± 70a | 4960 ± 152a | 2767 ± 145a | 2262 ± 62a | 1755 ± 19a | |||
| 0.1 mg/L | 2878 ± 246b | 1913 ± 74b | 3892 ± 142b | 2493 ± 37ab | 2355 ± 143a | 1580 ± 100a | ||||
| 0.5 mg/L | 1922 ± 37c | 2232 ± 219ab | 4800 ± 528a | 2967 ± 131ac | 2768 ± 144b | 1569 ± 77a | ||||
| Mn (mg/kg) | Control | 55 ± 3a | 44 ± 2a | 23 ± 3a | 22 ± 2a | 29 ± 2a | 29 ± 2a | |||
| 0.1 mg/L | 34 ± 2b | 31 ± 2b | 29 ± 4ab | 22 ± 1a | 34 ± 4a | 19 ± 2b | ||||
| 0.5 mg/L | 33 ± 3b | 30 ± 3b | 20 ± 2ac | 25 ± 2a | 35 ± 2a | 24 ± 4ab | ||||
| Fe (mg/kg) | Control | 2574 ± 91a | 73 ± 4a | 1327 ± 162a | 73 ± 6a | 1474 ± 67a | 55 ± 1a | |||
| 0.1 mg/L | 2079 ± 126b | 92 ± 7b | 1536 ± 201a | 62 ± 4b | 2061 ± 139b | 77 ± 2b | ||||
| 0.5 mg/L | 1466 ± 62c | 57 ± 6c | 1406 ± 177a | 60 ± 5b | 2829 ± 299c | 53 ± 7a | ||||
| Cu (mg/kg) | Control | 11 ± 1a | 1 ± 0.1a | 7 ± 1a | 1 ± 0.1a | 9 ± 1a | 1 ± 0.1a | |||
| 0.1 mg/L | 10 ± 1a | 1 ± 0.2a | 10 ± 1b | 1 ± 0.1a | 11 ± 2a | 1 ± 0.2a | ||||
| 0.5 mg/L | 8 ± 1a | 1 ± 0.2a | 6 ± 1a | 1 ± 0.1a | 13 ± 1a | 1 ± 0.1a | ||||
| Zn (mg/kg) | Control | 156 ± 9a | 30 ± 3a | 133 ± 10a | 32 ± 2a | 163 ± 12a | 34 ± 1a | |||
| 0.1 mg/L | 136 ± 11a | 35 ± 2a | 136 ± 11a | 35 ± 4a | 155 ± 13a | 37 ± 3a | ||||
| 0.5 mg/L | 152 ± 12a | 41 ± 7a | 148 ± 14a | 35 ± 2a | 168 ± 11a | 33 ± 1a | ||||
| B (mg/kg) | Control | 22 ± 1a | 23 ± 2a | 22 ± 2a | 23 ± 1a | 17 ± 1a | 27 ± 3a | |||
| 0.1 mg/L | 12 ± 2b | 17 ± 2b | 12 ± 1b | 16 ± 1b | 12 ± 1b | 17 ± 1b | ||||
| 0.5 mg/L | 11 ± 1b | 16 ± 1b | 11 ± 1b | 18 ± 1b | 11 ± 1b | 17 ± 2b | ||||
| TOMATO | Sand | Sandy Silt | Silt | |||||||
| Root | Aerial Part | Fruit | Root | Aerial Part | Fruit | Root | Aerial Part | Fruit | ||
| Mg (mg/kg) | Control | 3115 ± 91a | 8337 ± 104a | 1329 ± 37a | 3148 ± 135a | 7670 ± 192a | 1584 ± 91a | 3765 ± 90a | 8176 ± 160a | 1362 ± 32a |
| 0.1 mg/L | 3987 ± 320ab | 8674 ± 991a | 1458 ± 187a | 2630 ± 91b | 7220 ± 598a | 1773 ± 64b | 3510 ± 451a | 9602 ± 601ab | 1550 ± 156ab | |
| 0.5 mg/L | 4915 ± 658b | 8230 ± 427a | 1507 ± 113a | 3460 ± 222a | 7886 ± 244a | 1732 ± 59ab | 4982 ± 333b | 11050 ± 898b | 1720 ± 147b | |
| P (mg/kg) | Control | 747 ± 8a | 1638 ± 57a | 2551 ± 85a | 1344 ± 69a | 4041 ± 155a | 3607 ± 14a | 750 ± 32a | 1586 ± 44a | 2749 ± 94a |
| 0.1 mg/L | 844 ± 93ab | 761 ± 134b | 1785 ± 253b | 1099 ± 145ab | 3526 ± 491ab | 2986 ± 258b | 1378 ± 204b | 1157 ± 77b | 1890 ± 122b | |
| 0.5 mg/L | 1008 ± 95b | 648 ± 84b | 1552 ± 648b | 1071 ± 73b | 2970 ± 156b | 2434 ± 153c | 791 ± 80a | 914 ± 120c | 1753 ± 102b | |
| Mn (mg/kg) | Control | 17 ± 1a | 28 ± 1a | 8 ± 1a | 12 ± 1a | 29 ± 1a | 9 ± 1a | 13 ± 1a | 43 ± 1a | 9 ± 1a |
| 0.1 mg/L | 13 ± 2ab | 30 ± 1a | 8 ± 1a | 12 ± 2a | 24 ± 3a | 8 ± 1b | 16 ± 3ab | 52 ± 7a | 7 ± 1b | |
| 0.5 mg/L | 22 ± 3ac | 30 ± 2a | 7 ± 1a | 15 ± 1a | 29 ± 2a | 8 ± 1b | 18 ± 2b | 64 ± 4b | 10 ± 2a | |
| Fe (mg/kg) | Control | 574 ± 26a | 104 ± 4a | 44 ± 3a | 654 ± 34a | 106 ± 2a | 63 ± 2a | 658 ± 41a | 85 ± 3a | 74 ± 2a |
| 0.1 mg/L | 684 ± 80a | 112 ± 15a | 33 ± 2b | 667 ± 65a | 116 ± 7a | 32 ± 3b | 1643 ± 160b | 181 ± 22b | 31 ± 1b | |
| 0.5 mg/L | 1517 ± 114b | 93 ± 11a | 18 ± 2c | 1247 ± 106b | 104 ± 6a | 17 ± 3c | 1022 ± 117c | 103 ± 3a | 27 ± 2c | |
| Cu (mg/kg) | Control | 14 ± 1a | 70 ± 2a | 9 ± 1a | 17 ± 1a | 76 ± 2a | 8 ± 1a | 15 ± 1a | 60 ± 3a | 6 ± 1a |
| 0.1 mg/L | 13 ± 1a | 87 ± 11ab | 6 ± 1b | 12 ± 3a | 58 ± 8b | 9 ± 2a | 19 ±3a | 78 ± 7b | 6 ± 1a | |
| 0.5 mg/L | 19 ± 2b | 63 ± 7ac | 6 ± 1b | 17 ± 2a | 78 ± 5a | 7 ± 1a | 18 ±1a | 65 ± 5a | 7 ± 2a | |
| Zn (mg/kg) | Control | 155 ± 5a | 48 ± 2a | 23 ± 1a | 173 ± 11a | 64 ±2a | 43 ± 3a | 159 ± 8a | 59 ± 2a | 30 ± 1a |
| 0.1 mg/L | 195 ± 15b | 47 ± 6a | 33 ± 3b | 195 ± 16a | 68 ± 8a | 37 ± 4a | 187 ± 12a | 73 ± 4b | 39 ± 4b | |
| 0.5 mg/L | 174 ± 5ab | 41 ± 3a | 38 ± 3b | 196 ± 17a | 67 ± 6a | 36 ± 2a | 187 ± 18a | 66 ± 5ab | 40 ± 3b | |
| B (mg/kg) | Control | 16 ± 1a | 44 ± 2a | 14 ± 1a | 17 ± 1a | 51 ± 3a | 14 ± 1a | 15 ± 1a | 43 ± 2a | 13 ± 1a |
| 0.1 mg/L | 14 ± 1ab | 40 ± 2ab | 13 ± 1a | 11 ± 2b | 42 ± 3b | 12 ± 1a | 17 ± 3a | 52 ± 2b | 11 ± 2a | |
| 0.5 mg/L | 18 ± 1ac | 35 ± 1b | 13 ± 1a | 13 ± 1ab | 58 ± 4c | 14 ± 1a | 15 ± 1a | 50 ± 1b | 14 ± 1a | |
© 2020 by the authors. Licensee MDPI, Basel, Switzerland. This article is an open access article distributed under the terms and conditions of the Creative Commons Attribution (CC BY) license (http://creativecommons.org/licenses/by/4.0/).
Share and Cite
Dobosy, P.; Vetési, V.; Sandil, S.; Endrédi, A.; Kröpfl, K.; Óvári, M.; Takács, T.; Rékási, M.; Záray, G. Effect of Irrigation Water Containing Iodine on Plant Physiological Processes and Elemental Concentrations of Cabbage (Brassica oleracea L. var. capitata L.) and Tomato (Solanum lycopersicum L.) Cultivated in Different Soils. Agronomy 2020, 10, 720. https://doi.org/10.3390/agronomy10050720
Dobosy P, Vetési V, Sandil S, Endrédi A, Kröpfl K, Óvári M, Takács T, Rékási M, Záray G. Effect of Irrigation Water Containing Iodine on Plant Physiological Processes and Elemental Concentrations of Cabbage (Brassica oleracea L. var. capitata L.) and Tomato (Solanum lycopersicum L.) Cultivated in Different Soils. Agronomy. 2020; 10(5):720. https://doi.org/10.3390/agronomy10050720
Chicago/Turabian StyleDobosy, Péter, Viktória Vetési, Sirat Sandil, Anett Endrédi, Krisztina Kröpfl, Mihály Óvári, Tünde Takács, Márk Rékási, and Gyula Záray. 2020. "Effect of Irrigation Water Containing Iodine on Plant Physiological Processes and Elemental Concentrations of Cabbage (Brassica oleracea L. var. capitata L.) and Tomato (Solanum lycopersicum L.) Cultivated in Different Soils" Agronomy 10, no. 5: 720. https://doi.org/10.3390/agronomy10050720
APA StyleDobosy, P., Vetési, V., Sandil, S., Endrédi, A., Kröpfl, K., Óvári, M., Takács, T., Rékási, M., & Záray, G. (2020). Effect of Irrigation Water Containing Iodine on Plant Physiological Processes and Elemental Concentrations of Cabbage (Brassica oleracea L. var. capitata L.) and Tomato (Solanum lycopersicum L.) Cultivated in Different Soils. Agronomy, 10(5), 720. https://doi.org/10.3390/agronomy10050720

