Next Article in Journal
Effect of Irrigation Water Containing Iodine on Plant Physiological Processes and Elemental Concentrations of Cabbage (Brassica oleracea L. var. capitata L.) and Tomato (Solanum lycopersicum L.) Cultivated in Different Soils
Next Article in Special Issue
Effects of Photoperiod Interacted with Nutrient Solution Concentration on Nutritional Quality and Antioxidant and Mineral Content in Lettuce
Previous Article in Journal
Changes in Agronomic and Physiological Traits of Sugarcane Grown with Saline Irrigation Water
Previous Article in Special Issue
Estimation of the Constituent Properties of Red Delicious Apples Using a Hybrid of Artificial Neural Networks and Artificial Bee Colony Algorithm
 
 
Font Type:
Arial Georgia Verdana
Font Size:
Aa Aa Aa
Line Spacing:
Column Width:
Background:
Article

Resource Utilization Efficiencies in a Closed System with Artificial Lighting during Continuous Lettuce Production

1
Graduate Scheel of Humanities and Sustainable System Sciences, Osaka Prefecture University, 1-1 Gakuencho, Sakai 599-8531, Japan
2
Osaka Sakai Plant Factory Co., 209-1, Shimpukuji, Sakai 587-0013, Japan
*
Author to whom correspondence should be addressed.
Agronomy 2020, 10(5), 723; https://doi.org/10.3390/agronomy10050723
Submission received: 31 March 2020 / Revised: 2 May 2020 / Accepted: 15 May 2020 / Published: 18 May 2020
(This article belongs to the Special Issue Role of Vertical Farming in Modern Horticultural Crop Production)

Abstract

New plant production systems with a low environmental impact (or a high resource utilization efficiency) are necessary for urban agriculture development. This study explores the benefits of closed plant production systems (CPPSs) with artificial lighting using a commercial CPPS at Osaka Prefecture University. Lettuce plants were produced continuously as a model for analyzing resource consumption rates, such as electricity, labor, water, and CO2, over two years. Monthly consumption rates of electricity, labor, water, and CO2 increased with the increase in the monthly production rate of the lettuce. The utilization efficiencies (=output/input) of electricity, energy, water, and CO2 were 1.0%, 1.0%, 4.0%, and 32.6%, respectively. If the commercial CPPS maintains the monthly production rate at a higher level, the energy utilization efficiency will increase. The number of air exchanges in a commercial CPPS should decrease to increase water and CO2 utilization efficiencies. Reusing water drained from the air conditioning system and employing a closed loop in the nutrient supply system also contribute to increasing the water utilization efficiency and lowering the environmental impact. Although a commercial CPPS still requires further improvements, it may be a good crop production system for urban agriculture provided resource utilization efficiencies improve.

1. Introduction

Two-thirds of the population are expected to live in urban areas by 2050 [1]. While urban planners understand the importance of urban agriculture [2], people living in urban areas require a new and sustainable system to be established for supplying food. Urban agriculture offers reduced environmental impact, particularly for logistics, as the distances between production and consumption sites are shorter [3]. However, crop production systems used in urban agriculture must be highly productive [4].
A potential crop production system for urban agriculture is the closed plant production system (CPPS), which uses artificial lighting [5,6,7,8,9,10]. The structure of this system allows for increased resource utilization efficiency [7]. As the inside environment can be controlled without any weather interference, crop productivity can also be increased [11].
The energy balance [12,13], water balance [14], and CO2 balance [15,16] in CPPS systems have been previously analyzed. Moreover, researchers have also studied resource utilization efficiencies using mathematical models, analysis of energy consumption [17], transpiration, and energy balance of the crop community [4]. Although a study has compared resource use among large- and small-scale greenhouses and CPPSs [18], information about actual resource use in commercial CPPSs is still limited.
This study measured electricity, labor (work hours), water, and CO2 consumption rates over two years in a commercial CPPS at Osaka Prefecture University. In this regard, lettuce plants were continuously produced. To further improve the commercial CPPS, utilization efficiencies of each resource using measurements and estimations were evaluated.

2. Materials and Methods

2.1. Plant Production System

For this study, a research facility at Osaka Prefecture University (approximate floor area of 1300 m2) was used as a commercial CPPS model (Figure 1). The commercial CPPS consisted of two transplant production rooms and a cultivation room, workroom, pre-cooling room, and cleaning room. Approximately 12,000 LED lamps (GreenPower production module DR/W/FR, Philips Lighting Japan GK, Tokyo, Japan) were used for growing the crops. Multi-shelves (17 layers in the transplant production room and 16 or 18 layers in the cultivation room; the size of each layer: 1.5 × 27 m) were installed in the commercial CPPS for a maximum crop production rate of 6656 crops day−1 with a planting density of 34.3 plants/m2. Air-to-air heat-exchange-type heat pumps were installed to cool the air inside the transplant production and cultivation rooms. Hydroponic systems with the nutrient film technique (NFT) were used to apply the nutrient solution to crops in the commercial CPPS.

2.2. Plant Materials and Culture Conditions

Lettuce (Lacutuca sativa L. cv. Frillice and Flarebell) plants were produced in the commercial CPPS continuously. Although culture conditions and nutrient solutions were amended by facility managers based on crop growth and development, the typical growing conditions are described below.
In the transplant production room germination chamber, photosynthetic photon flux density (PPFD) and air temperature were set at 0 μmol m−2 s−1 (continuous darkness) and 24 °C, respectively. After germination, PPFD and air temperature were set at approximately 120 to 200 μmol m−2 s−1 with a 15 or 16 h photoperiod and 24/21 °C (light-/dark period). CO2 concentrations inside the transplant production rooms were maintained at 800 μmol mol−1, except for in the germination chamber. The nutrient solution containing N, P, and K at 130, 20, and 150 mg L−1, respectively, with a pH of 4.7, was applied during each growth stage. Detailed information on cultural conditions was provided in our previous report [19].

2.3. Operations in the Research Facility

Seeds were sown on urethane foam with 300 holes (30 × 60 cm) in the transplant production room of the commercial CPPS and placed in the germination chamber for two days. After germination, trays were transferred to shelves and cultured until cotyledon expansion. Subsequently, the transplants were automatically transferred to the 153-hole panel (60 × 90 cm) and moved to another transplant production room for 12 d (cv. Frillice) or 14 d (cv. Flarebell). After establishment, transplants were manually planted in 30-hole panels (70 × 125 cm) and grown for 17 d in the cultivation room.
After cultivation, the 30-hole panels were transferred from the cultivation room to the workroom via transferring machines and a conveyor automatically. Crops were harvested manually with deteriorating and/or surplus leaves removed. After harvesting, crops were packed within cartons with plastic film and stored in the pre-cooling room until shipment to customers. During harvesting, the trays and panels used for transplant production and cultivation were transferred to the cleaning room, where they were washed for the next use.

2.4. Utilization Efficiencies

In this paper, utilization efficiencies of electricity, energy, water, and CO2 were defined and estimated as the ratio of resource input to output. Utilization efficiencies were estimated based on monthly measured values.

2.4.1. Electricity Utilization Efficiency

Electricity is consumed by lights, heat pumps, and other equipment in the commercial CPPS. Electricity consumed by lighting is converted into light and heat. The light is required for crop photosynthesis; chemical energy is stored in the crops. The heat generated by lights and other equipment is removed from the commercial CPPS with heat pumps to maintain suitable air temperature for crop growth. The energy utilization efficiency in the commercial CPPS (ηE) was, therefore, estimated using the following equation:
η E = E d E e · 100 = k e · M d E e · 100 ,
where Ed: Chemical energy contained in the dry matter of marketable heads during a month (GJ), Ee: Monthly electric energy consumption (GJ), ke: Energy content in dry matter, Md: Monthly cumulative value of dry weight of marketable heads in commercial CPPS (t). A more typical value for energy content in dry matter is 19 to 20 kJ g−1 [20]. Thus, we employed a value of 20 kJ g−1.

2.4.2. Energy Utilization Efficiency

In cases where human labor was also considered as an energy input for the commercial CPPS, Equation (1) can be modified as follows:
η E + h = E d E e + E h · 100 = E d E e + ( k h · H ) · 100 ,
where Eh: Energy provided by labors, kh: Energy per hour provided by human labor (0.0023 GJ h−1) [21], H: Monthly work hours of laborers in the commercial CPPS (h).

2.4.3. Water Utilization Efficiency

In the commercial CPPS, water is used for crop irrigation. If the number of air exchanges is 0 h−1 and all water drained from the heat pumps is collected and reused for irrigation, 100% water recycling can be achieved with no impact on the outside environment caused by erosion of fertilizers. In a commercial CPPS, however, water is also used to maintain sanitary conditions (washing hands, cleaning trays, panels, and other tools). To increase water utilization efficiency, minimizing water used for sanitation is essential. In this paper, water utilization efficiency in the commercial CPPS (ηW) was evaluated for overall water inputs (irrigation and sanitary) and outputs using the following equation:
η W = W f W c · 100 = M f M d W c · 100 ,
where Wf: Water contained in the marketable heads in a month (t), Wc: The monthly water consumption in the closed system (t), and MF: The monthly cumulative value of the fresh weight of marketable heads in the commercial CPPS (t).

2.4.4. CO2 Utilization Efficiency

CO2 is generally supplied in a commercial CPPS to maintain CO2 concentration at an appropriate level for crop photosynthesis (c.a., 1000 μmol mol−1). If the number of air exchanges in the commercial CPPS is 0 h−1, all CO2 supplied is absorbed by crops, indicating 100% CO2 utilization efficiency. However, if the number of air exchanges is higher than 0 h−1, CO2 supplied to the commercial CPPS has escaped from the closed system as the CO2 concentration inside the commercial CPPS is higher than the concentration outside. In this paper, the CO2 utilization efficiency of the closed system (ηC) was estimated using the following equation:
η C = C d C c · 100 = M d k c · C c · 100 ,
where Cd: The monthly cumulative value of CO2 absorbed by crops (t), Cc: The monthly CO2 consumption in the closed system (t), and kc: The ratio of molecular weights of sugar (CH2O) and CO2 (0.68) [22].

2.5. Measurements and Estimations

The monthly consumption rates of electricity, labor (work hours), water, and CO2 were determined in the commercial CPPS. Monthly consumption rates of electricity, labor, water, and CO2 per fresh weight of marketable head were estimated based on the crop growth and energy, water, and CO2 contained in each marketable head. These values were applied to Equations (1)–(4) to estimate the utilization efficiencies of electricity, energy, water, and CO2.
The monthly consumption rate of electric energy in the commercial CPPS was measured at a transformer substation at Nakamozu Campus, Osaka Prefecture University, and laborer work hours were collected and summarized monthly by a time recorder system in the commercial CPPS. The data on work hours collected from 0 to 181 days after the beginning of the operation have already been reported in our previous paper [19]. The monthly water consumption was determined using a water meter installed in the commercial CPPS, while the CO2 consumption rate of the plant production system was estimated monthly based on the number of gas cylinders ordered during the research period.
The monthly production rate of lettuce in the commercial CPPS was estimated by multiplying the monthly number of plants harvested by the fresh weight of the marketable head. The number of lettuce plants harvested monthly was recorded manually throughout the two-year research period. The fresh and dry weights were measured at 37 (cv. Frillice) or 39 days (cv. Flarebell) after sowing using an electric balance (PL602, Mettler Toledo, Greifensee, Switzerland). The fresh weight of the marketable head was determined after trimming deteriorated and surplus leaves. To determine fresh and dry weights and the fresh weight of the marketable head, lettuce plants were irregularly sampled 28 times for Frillice (n = 104) and 31 times in Flarebell (n = 116) during the research period. At each sampling period, 3–5 plants were harvested.

2.6. Statistical Analyses

Regression analyses (using R package ‘lm’) were conducted to clarify the effect of the monthly production rate on the resource consumption rates. The effects of the monthly production rate on resource consumption per fresh weight of marketable head and resource utilization efficiencies were also subjected to regression analyses. The regression analyses were conducted using R statistical software 3.6.0 [23].

3. Results

For this study, the monthly electricity consumption rate ranged from 428 to 1080 GJ and increased with the monthly production rate in the commercial CPPS (y = 47.9x + 234, R2 = 0.762, Figure 2a and Table S1). As the monthly production rate increased, work hours increased from 1360 to 2610 h (y = 87.7x + 1090, R2 = 0.774, Figure 2b and Table S1). Monthly consumption rates of water and CO2 also increased with the monthly production rate (y = 23.3x + 10.4, R2 = 0.922, Figure 2c and Table S1; y = 0.204x − 0.403, R2 = 0.793, Figure 2d and Table S1).
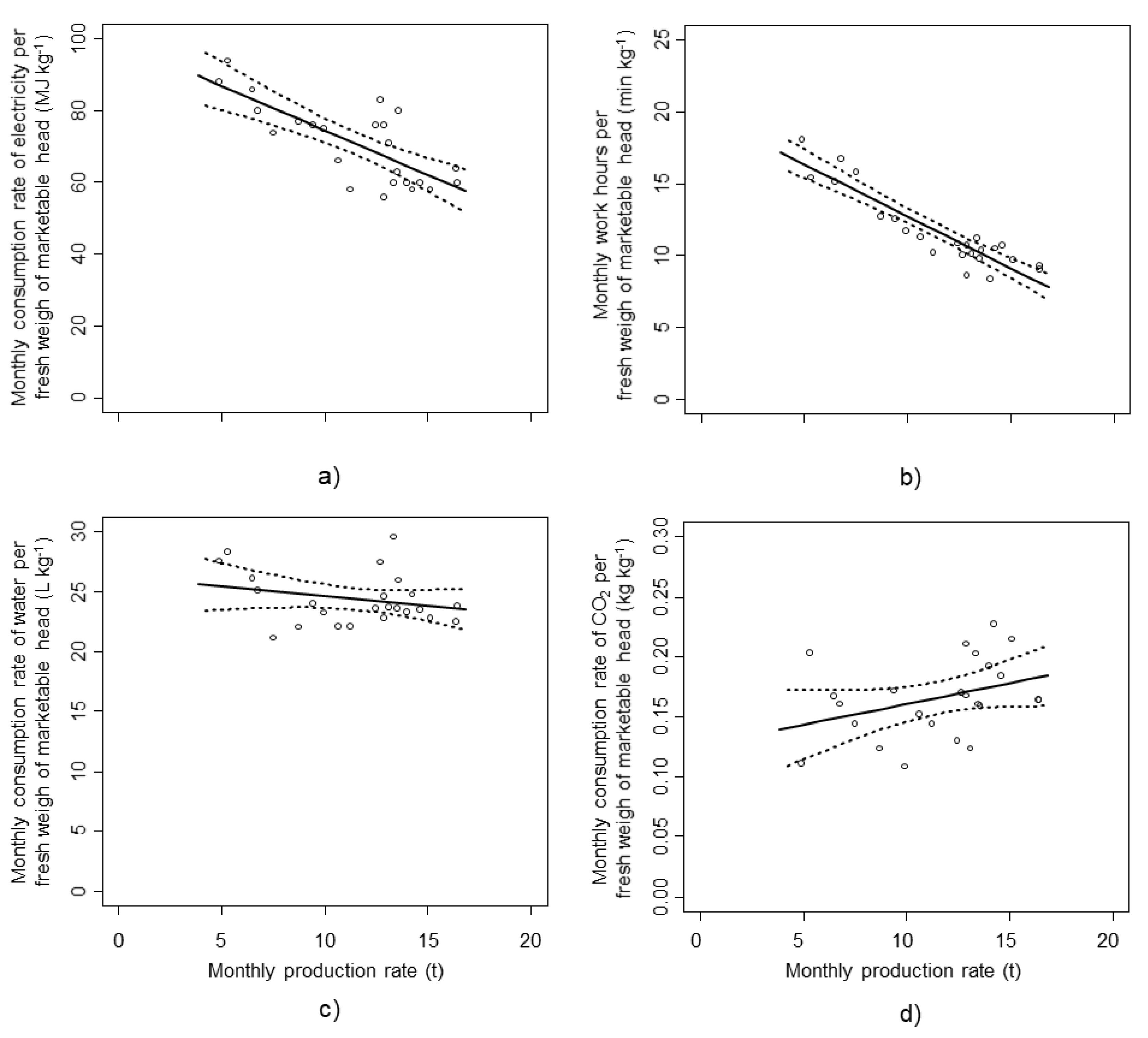
The monthly electricity consumption rate per fresh weight of marketable head tended to decrease as the monthly production rate increased (y = −59.0x + 2360, R2 = 0.570, Figure 3a and Table S2). Similarly, work hours per fresh weight of marketable head decreased as the monthly production rate increased (y = −0.721x + 19.9, R2 = 0.840, Figure 3b and Table S2). The monthly consumption of water and CO2, however, was not affected by the monthly production rate (y = −0.163x + 26.3, R2 = 0.0652, Figure 3c and Table S2; y = 0.000344x + 0.126, R2 = 0.129, Figure 3 and Table S2).
The fresh and dry weights of the two lettuce cultivars are shown in Table 1. Based on these measurements, the electricity utilization efficiency was estimated to be 0.79% to 1.25% and tended to increase with the monthly production rate (y = 0.0335x + 0.628, R2 = 0.531, Figure 4a and Table S3). A similar trend was observed for energy utilization efficiency (Figure 4b and Table S3); however, the water and CO2 utilization efficiencies were not affected by the monthly production rate (y = 0.0230x + 3.72, R2 = 0.0548, Figure 4c; y = −0.755x + 41.0, R2 = 0.144, Figure 4d; Table S3).

4. Discussion

To adopt the commercial CPPS for urban agriculture, resource utilization efficiency must be increased to minimize the environmental impact of crop production on urban areas. To improve the commercial CPPS for adaptation to urban agriculture, we determined the resource consumption rates and methods for increasing utilization efficiencies within the commercial CPPS.
The electricity consumption rate increased with the monthly production rate (Figure 2a and Table S1). Generally, the electricity used by lighting increased linearly with the monthly production rate, and the electricity used by other equipment, particularly air conditioning, mainly caused the residual between the linear regression line and observations. The electricity used by air conditioning was affected by the air temperature outside the plant production system [24,25], the cooling load for air conditioning [24], and the water vapor pressure deficit inside the plant production system [25]. However, our results showed a linear relationship between the electricity consumption rate and the monthly production rate, probably because the electricity used for lighting was three times or more of those used by the other equipment [12,26,27].
Similar to the trend of monthly electricity consumption (Figure 2a and Table S1), the monthly consumption rates of labor, water, and CO2 increased linearly with the increase in the monthly production rate in the commercial CPPS (Figure 2b–d and Table S1). Monthly electricity and labor consumption rates were lower when the monthly production rate was higher because the electricity and energy utilization efficiencies increased with the monthly production rate (Figure 4a,b and Table S3). This indicates that a synergistic effect on the monthly electricity and labor consumption rates can be obtained at the higher monthly production rate. Moreover, no similar effect was observed for water and CO2 in the commercial CPPS because utilization efficiencies of water and CO2 were not affected by the monthly production rate (Figure 4c,d and Table S3) Theoretically, synergistic effects could also be obtained in the monthly consumption rates of water and CO2. Leakage of water and CO2 from the commercial CPPS may be the reason that these effects were not observed in the current situation.
The average monthly electricity consumption rate per fresh weight of marketable head was 70.8 GJ/kg (=19.7 kWh/kg) (Figure 3a and Table S2). The monthly labor, water, and CO2 consumption rates per fresh weight of marketable head were 11.6 min/kg, 24.4 L/kg, and 0.165 kg/kg, respectively (Figure 3b–d and Table S2). Little information on these data are currently available in the literature. Thus, we could not make direct comparisons to other studies. Accumulating these data will be essential for adapting commercial CPPSs to urban agriculture, as well as for minimizing the environmental impact of crop production.
In this study, the electricity utilization efficiency was 0.74% to 1.25% (Figure 4a and Table S3). These values were almost comparable to or higher than the values reported in our previous study (0.6%) [13]. Based on crop growth data shown in Table 1, the estimated electricity consumption per dry weight of marketable head ranged from 1330 to 2240 MJ kg (dry weight)−1. This was almost the same or slightly higher than the reported value obtained using the mathematical model (1410 MJ kg (dry weight)−1) [4]. When the production rate was higher, the electricity consumption per dry weight was lower (data not shown) as the ratio of electricity consumption for the other equipment (such as air conditioners, pumps, and fans) was higher at a lower monthly production rate. Hence, maintaining the monthly production rate at a higher level is essential for obtaining lower electricity consumption per dry weight, as well as higher electricity utilization efficiency.
As the contribution of energy from labor to energy utilization efficiency was relatively small compared to electricity, the value of electricity utilization efficiency was almost equal to that of energy utilization efficiency (Figure 4a,b and Table S3). However, labor cost is one of the major costs for producing crops in the CPPS. Thus, from an economic point of view, work hours should be reduced.
Theoretically, the CPPS could achieve 100% water utilization efficiency [7]. Water utilization efficiency increased when the number of air exchanges was lower [28]. Hence, a high water utilization efficiency (90%) was obtained in the laboratory-level CPPS [14]. However, in this study, the water utilization efficiency averaged only 4% (Figure 4c). The primary reason for this low water utilization efficiency was that water was used not only for crop cultivation but also for sanitation of the commercial CPPS. In this research, the water utilization efficiency was not affected by the monthly production rate, indicating that a significant amount of water used for sanitation escaped from the commercial CPPS. According to our preliminary examination, approximately only 30% of water was used for cultivation in the commercial CPPS. Thus, minimizing water use for sanitation is essential for increasing water utilization efficiency in the commercial CPPS.
In this research, all water drained from the air conditioners was discarded, which also lowered the water utilization efficiency in the commercial CPPS. If the water drained from the air conditioners was reused for irrigation, the water utilization efficiency could be increased [14]. Irregular replacement of the nutrient solution also decreased the water utilization efficiency in the commercial CPPS. As employing a closed-loop for the nutrient solution contributes to decreasing the environmental impact [29,30,31,32,33], replacing the nutrient solution should be minimized to increase the water utilization efficiency, as well as to reduce the environmental load. These adjustments will be beneficial for adapting the commercial CPPS to urban agriculture.
Similar to water utilization efficiency, CO2 utilization efficiency in the commercial CPPS is strongly affected by the number of air exchanges [4]. It has been reported that a high level of CO2 utilization efficiency (90%) can be achieved in a closed plant production system because of its airtight structure [16]. However, our result was lower than the reported value (32.4% on average, Figure 4d), because the production rate was lower, and the number of air exchanges was higher, than in an ideal situation [15].
In this study, the number of air exchanges was significantly higher than those in the previous two works (roughly estimated value was 0.2 h−1). Hence, the CO2 utilization efficiency did not increase with the monthly production rate, because the amount of escaped CO2 was significantly higher than that in the previous literature. Although a completely airtight structure is ideal for increasing CO2 utilization efficiency, its establishment was technically infeasible [34]. In future studies, an acceptable number of air exchanges should be determined, both for increasing the CO2 utilization efficiency in the commercial CPPS, as well as for decreasing the cost for CO2.

5. Conclusions

To investigate the feasibility of using a CPPS for urban agriculture with minimal environmental impact, this paper determined the consumption rates of resources, such as electricity, labor, water, and CO2, in a commercial CPPS at Osaka Prefecture University. From these data, resource utilization efficiencies were estimated, and methods for increasing resource utilization efficiencies were discussed.
The electricity utilization efficiency in the commercial CPPS was almost comparable to or slightly higher than the reported value [13]. The electricity and energy (electricity + labor) utilization efficiencies increased with the monthly production rate. Electricity consumption per dry weight was also comparable to the value obtained using a mathematical model [4]. The electricity and energy utilization efficiencies can be maintained at a high level if a high monthly production rate is also maintained.
On the other hand, the water and CO2 utilization efficiencies in the commercial CPPS were lower than the reported values. Approximately 70% of water in the commercial CPPS was used for sanitation (washing hands, cleaning equipment, and trays) and was wasted. The water utilization efficiency would increase if wastewater was reduced. Reusing water drained from the air conditioning system and employing a closed loop in the nutrient supply system would also contribute to increasing the water utilization efficiency. The high number of air exchanges of the CPPS also lowered the water and CO2 utilization efficiencies in the commercial CPPS. To increase the water and CO2 utilization efficiencies, the number of air exchanges should be minimized.
To adopt the commercial CPPS for use in urban agriculture, further improvements should be achieved. However, the commercial CPPS is a potential candidate for the urban agriculture crop production system because, theoretically, the environmental impact can be minimized during crop production. To completely exploit the potential of CPPS, it is necessary to consider the basic design more thoroughly.

Supplementary Materials

The following are available online at https://www.mdpi.com/2073-4395/10/5/723/s1, Table S1: Monthly production rate of lettuce and monthly consumption rates of electricity, labor (work hours), water, and CO2, Table S2: Monthly consumption rates of electricity, labor (work hours), water, and CO2 per fresh weight of marketable lettuce head, Table S3: Utilization efficiencies of electricity, energy (electricity + labor), water, and CO2.

Author Contributions

Conceptualization, K.O.; methodology, K.O. and J.Y.; validation, K.O., J.Y. and A.E.; formal analysis, K.O.; data curation, J.Y. and A.E.; writing—original draft preparation, K.O.; writing—review and editing, K.O.; visualization, K.O.; supervision, K.O.; project administration, K.O. All authors have read and agreed to the published version of the manuscript.

Funding

This research received no external funding.

Acknowledgments

The authors would like to thank Yoshiaki Kitaya for valuable comments.

Conflicts of Interest

The authors declare no conflict of interest.

References

  1. United Nations. World Urbanization Prospects: The 2018 Revision. Available online: https://population.un.org/wup/Publications/Files/WUP2018-KeyFacts.pdf (accessed on 30 April 2019).
  2. Goodman, W.; Minner, J. Will the urban agricultural revolution be vertical and soilless? A case study of controlled environment agriculture in New York City. Land Use Policy 2019, 83, 160–173. [Google Scholar] [CrossRef]
  3. Ohyama, K.; Takagaki, M.; Kurasaka, H. Urban horticulture: Its significance to environmental conservation. Sustain. Sci. 2008, 3, 241–247. [Google Scholar] [CrossRef]
  4. Graamans, L.; van den Dobbelsteen, A.; Meinen, E.; Stanghellini, C. Plant factories; crop transpiration and energy balance. Agric. Syst. 2017, 153, 138–147. [Google Scholar] [CrossRef]
  5. Chun, C.; Kozai, T. Artificial lighting for producing quality transplants in closed systems. Acta Hortic. 2002, 580, 43–47. [Google Scholar] [CrossRef]
  6. Kozai, T. Smart Plant Factory: The Next Generation Indoor Vertical Farms; Springer Gateway East: Singapore, 2018. [Google Scholar]
  7. Kozai, T. Resource use efficiency of closed plant production system with artificial light: Concept, estimation and application to plant factory. Proc. Jpn. Acad. Ser. B 2013, 89, 447–461. [Google Scholar] [CrossRef] [PubMed]
  8. Kozai, T.; Chun, C. Closed systems with artificial lighting for production of high quality transplants using minimum resource and environmental pollution. Acta Hortic. 2002, 578, 27–33. [Google Scholar] [CrossRef]
  9. Kozai, T.; Niu, G.; Takagaki, M. Plant Factory: An Indoor Vertical Farming System for Efficient Quality Food Production; Academic Press: London, UK, 2015. [Google Scholar]
  10. Kozai, T.; Ohyama, K.; Chun, C. Commercialized closed systems with artificial lighting for plant production. Acta Hortic. 2006, 711, 61–70. [Google Scholar] [CrossRef]
  11. Goto, E. Plant production in a closed plant factory with artificial lighting. Acta Hortic. 2012, 956, 37–49. [Google Scholar] [CrossRef]
  12. Nishimura, M.; Kozai, T.; Kubota, C.; Chun, C. Energy balance of a commercial scale closed transplant production system. Shokubutsu Kojo Gakkaishi 2001, 13, 254–261. [Google Scholar] [CrossRef][Green Version]
  13. Ohyama, K.; Yoshinaga, K.; Kozai, T. Energy and mass balance of a closed-type transplant production system (Part 1)-energy Balance. Shokubutsu Kojo Gakkaishi 2000, 12, 160–167. [Google Scholar] [CrossRef]
  14. Ohyama, K.; Yoshinaga, K.; Kozai, T. Energy and mass balance of a closed-type transplant production system (Part 2)-water Balance. Shokubuts. Kojo Gakkaishi 2000, 12, 217–224. [Google Scholar] [CrossRef]
  15. Li, M.; Kozai, T.; Ohyama, K.; Shimamura, S.; Gonda, K.; Sekiyama, T. CO2 balance of a commercial closed system with artificial lighting for producing lettuce plants. HortScience 2012, 47, 1257–1260. [Google Scholar] [CrossRef]
  16. Yoshinaga, K.; Ohyama, K.; Kozai, T. Energy and mass balance of a closed-type transplant production system. (Part 3)-carbon dioxide balance. Shokubutsu Kojo Gakkaishi 2000, 12, 225–231. [Google Scholar] [CrossRef]
  17. Harbick, K.; Albright, L.D. Comparison of energy consumption: Greenhouses and plant factories. Acta Hortic. 2016, 1134, 285–292. [Google Scholar] [CrossRef]
  18. Kikuchi, Y.; Kanematsu, Y.; Yoshikawa, N.; Okubo, T.; Takagaki, M. Environmental and resource use analysis of plant factories with energy technology options: A case study in Japan. J. Clean. Prod. 2018, 186, 703–717. [Google Scholar] [CrossRef]
  19. Ohyama, K.; Yamaguchi, J.; Enjoji, A. Evaluating labor productivity in a plant production system with sole-source lighting: A case study. HortTechnology 2018, 28, 121–128. [Google Scholar] [CrossRef]
  20. Larcher, W. Physiological Plant Ecology: Ecophysiology and Stress Physiology of Functional Groups, 4th ed.; Springer-Verlag: Berlin, Germany, 2003. [Google Scholar]
  21. Ozkan, B.; Akcaoz, H.; Fert, C. Energy input–output analysis in Turkish agriculture. Renew. Energy 2004, 29, 39–51. [Google Scholar] [CrossRef]
  22. Van Henten, E.J. Validation of a dynamic lettuce growth model for greenhouse climate control. Agric. Syst. 1994, 45, 55–72. [Google Scholar] [CrossRef]
  23. R Core Team. R: A Language and Environment for Statistical Computing; R Foundation for Statistical Computing: Vienna, Austria, 2019. [Google Scholar]
  24. Ohyama, K.; Kozai, T.; Kubota, C.; Chun, C.; Hasegawa, T.; Yokoi, S.; Nishimura, M. Coefficient of performance for cooling of a home-use air conditioner installed in a closed-type transplant production system. Shokubutsu Kojo Gakkaishi 2002, 14, 141–146. [Google Scholar] [CrossRef]
  25. Tong, Y.; Yang, Q.; Shimamura, S. Analysis of electric-energy utilization efficiency in a plant factory with artificial light for lettuce production. Acta Hortic. 2014, 277–284. [Google Scholar] [CrossRef]
  26. Nishimura, M.; Kozai, T.; Kubota, C.; Chun, C. Analysis of electric energy consumption and its cost for a closed-type transplant production system. Shokubutsu Kojo Gakkaishi 2001, 13, 204–209. [Google Scholar] [CrossRef]
  27. Ohyama, K.; Kozai, T. Estimating electric energy consumption and its cost in a transplant production factory with artificial lighting: A case study. Shokubutsu Kojo Gakkaishi 1998, 10, 96–107. [Google Scholar] [CrossRef]
  28. Katsoulas, N.; Sapounas, A.; De Zwart, F.; Dieleman, J.A.; Stanghellini, C. Reducing ventilation requirements in semi-closed greenhouses increases water use efficiency. Agric. Water Manag. 2015, 156, 90–99. [Google Scholar] [CrossRef]
  29. Aneja, V.P.; Schlesinger, W.H.; Erisman, J.W. Effects of agriculture upon the air quality and climate: Research, policy, and regulations. Environ. Sci. Technol. 2009, 43, 4234–4240. [Google Scholar] [CrossRef]
  30. Christen, K. Closing the phosphorus loop. Environ. Sci. Technol. 2007, 41, 2078. [Google Scholar] [CrossRef][Green Version]
  31. Galloway, J.N.; Townsend, A.R.; Erisman, J.W.; Bekunda, M.; Cai, Z.; Freney, J.R.; Sutton, M.A. Transformation of the nitrogen cycle: Recent trends, questions, and potential solutions. Science 2008, 320, 889–892. [Google Scholar] [CrossRef]
  32. Liao, W.; van der Werf, H.M.G.; Salmon-Monviola, J. Improved environmental life cycle assessment of crop production at the catchment scale via a process-based nitrogen simulation model. Environ. Sci. Technol. 2015, 49, 10790–10796. [Google Scholar] [CrossRef]
  33. Matsubae, K.; Kajiyama, J.; Hiraki, T.; Nagasaka, T. Virtual phosphorus ore requirement of Japanese economy. Chemosphere 2011, 84, 767–772. [Google Scholar] [CrossRef]
  34. Baker, J.T.; Allen, L.H., Jr.; Boote, K.J.; Pickering, N.B. Direct effects of atmospheric carbon dioxide concentration on whole canopy dark respiration of rice. Glob. Chang. Biol. 2000, 6, 275–286. [Google Scholar] [CrossRef]
Figure 1. Closed plant production systems (CPPS) with artificial lighting use in this research at Osaka Prefecture University: (a) External view; (b) internal view of the culture room.
Figure 1. Closed plant production systems (CPPS) with artificial lighting use in this research at Osaka Prefecture University: (a) External view; (b) internal view of the culture room.
Agronomy 10 00723 g001
Figure 2. Monthly consumption rates of: (a) Electricity; (b) labor (work hours); (c) water; (d) CO2 as affected by the monthly production rate of lettuce. Regression lines (solid line) are shown with a 95% interval level (dotted lines). Numerical data are presented in Table S1.
Figure 2. Monthly consumption rates of: (a) Electricity; (b) labor (work hours); (c) water; (d) CO2 as affected by the monthly production rate of lettuce. Regression lines (solid line) are shown with a 95% interval level (dotted lines). Numerical data are presented in Table S1.
Agronomy 10 00723 g002
Figure 3. Monthly consumption rates of: (a) Electricity; (b) labor (work hours); (c) water; (d) CO2 per fresh weight of the marketable head as affected by monthly production rate of lettuce. Regression lines (solid line) are shown with a 95% interval level (dotted lines). Numerical data are presented in Table S2.
Figure 3. Monthly consumption rates of: (a) Electricity; (b) labor (work hours); (c) water; (d) CO2 per fresh weight of the marketable head as affected by monthly production rate of lettuce. Regression lines (solid line) are shown with a 95% interval level (dotted lines). Numerical data are presented in Table S2.
Agronomy 10 00723 g003
Figure 4. Utilization efficiencies of: (a) Electricity; (b) energy (electricity + labor); (c) water; (d) CO2 as affected by the monthly production rate of lettuce. Regression lines (solid line) are shown with a 95% interval level (dotted lines). Numerical data are presented in Table S3.
Figure 4. Utilization efficiencies of: (a) Electricity; (b) energy (electricity + labor); (c) water; (d) CO2 as affected by the monthly production rate of lettuce. Regression lines (solid line) are shown with a 95% interval level (dotted lines). Numerical data are presented in Table S3.
Agronomy 10 00723 g004
Table 1. Fresh and dry weights of lettuce (cvs. Frillice and Flarebell) produced in the commercial closed plant production system during the research period. Average values are shown with a standard deviation of n = 104 (Frillice) and n = 116 (Flarebell).
Table 1. Fresh and dry weights of lettuce (cvs. Frillice and Flarebell) produced in the commercial closed plant production system during the research period. Average values are shown with a standard deviation of n = 104 (Frillice) and n = 116 (Flarebell).
CultivarFresh Weight (g)Dry Weight
ShootRootMarketable HeadShootRootMarketable Head
Frillice100 ± 299.2 ± 2.196 ± 27- z0.58 ± 0.083.2 ± 0.68
Flarebell95 ± 2512 ± 2.189 ± 23- z0.74 ± 0.093.2 ± 0.64
z data were not measured.

Share and Cite

MDPI and ACS Style

Ohyama, K.; Yamaguchi, J.; Enjoji, A. Resource Utilization Efficiencies in a Closed System with Artificial Lighting during Continuous Lettuce Production. Agronomy 2020, 10, 723. https://doi.org/10.3390/agronomy10050723

AMA Style

Ohyama K, Yamaguchi J, Enjoji A. Resource Utilization Efficiencies in a Closed System with Artificial Lighting during Continuous Lettuce Production. Agronomy. 2020; 10(5):723. https://doi.org/10.3390/agronomy10050723

Chicago/Turabian Style

Ohyama, Katsumi, Junichi Yamaguchi, and Ayumi Enjoji. 2020. "Resource Utilization Efficiencies in a Closed System with Artificial Lighting during Continuous Lettuce Production" Agronomy 10, no. 5: 723. https://doi.org/10.3390/agronomy10050723

APA Style

Ohyama, K., Yamaguchi, J., & Enjoji, A. (2020). Resource Utilization Efficiencies in a Closed System with Artificial Lighting during Continuous Lettuce Production. Agronomy, 10(5), 723. https://doi.org/10.3390/agronomy10050723

Note that from the first issue of 2016, this journal uses article numbers instead of page numbers. See further details here.

Article Metrics

Back to TopTop