Abstract
Cyprus has a long tradition in grape cultivation and wine making and grapevine is important for the sustainability of the agricultural sector, like in other Mediterranean areas. Water scarcity, which is projected to increase due to climate change, could negatively affect the sector. In this research, the effects of irrigation and tillage treatments on various aspects of vine growth and product quality (e.g., yield, physiology and quality attributes), were studied in Chardonnay and Xynisteri cultivars grown in clay soils in Cyprus. Regarding soil properties and water content, N and K were more abundant in the soil than P and through the growing period irrigation tended to increase electrical conductivity (EC) in the soil. Soil water content (volumetric) was 22%–27.5% and 13%–16%, when irrigation was applied or not, respectively. Vegetative soil cover occupied 50%–55% of the surface and contained species typically present in Mediterranean farms (e.g., Poaceae, Fabaceae and Brassicaceae). Tillage increased yield in Xynisteri (4–5 kg plant−1) but negatively affected other parameters such as chlorophyll levels (in Xynisteri). In combination with irrigation, tillage increased antioxidant activity in Chardonnay (assessed by FRAP and DPPH), at harvest. Total phenolics at harvest were higher in the grape juice of Xynisteri, compared to Chardonnay (30–40 and 20–25 mg GA g−1 fresh weight, respectively). Irrigation influenced phytohormone levels in the two cultivars. ABA increased in non-irrigated Xynisteri, reflecting an increased capacity to react towards water stress. Water stress is considered to increase polyphenols in grapes, but in the case of Xynisteri it seems that irrigation water is required to obtain better quality grapes as without irrigation volumetric water content (VWC) is close to the permanent wilting point. Titratable acidity and total tannins decreased in Chardonnay, when tillage and irrigation were applied. In addition, tillage and irrigation tended to elevate the pH of the grape juice. Tillage and irrigation on the other hand, had no effect on the levels of ascorbic acid and total anthocyanin content. The results of this research may help to select management strategies that support the adaptation of viticulture to climate change in Cyprus and other Mediterranean areas.
1. Introduction
Grapevine has been recognized as one of the most important fruit crops cultivated all over the world, in most cases in arid or semi-arid climates. Water scarcity can negatively affect grapevine growth and yield, which is reflected in the decrease of the producer’s income and economic damage in the grape industry []. Water scarcity, depending on the growth stage and intensity, can cause drought stress in grapevines. Drought stress negatively affects gas exchange and the plant metabolism (i.e., photosynthesis, transpiration and respiration), causing stomatal closure as an early response that ameliorates the drop of xylem water potential [,], and alters leaf structure (e.g., increasing leaf rolling, lowering the ratio of leaf area/volume and reducing epidermal cells size to name a few) [,]. Moreover, drought stress may cause oxidative damage with the production of reactive oxygen species (ROS) provoking a series of antioxidant enzymatic and non-enzymatic responses in the vines [,,]. However, water deficit may result in some positive effects that are commonly related to changes in the berry growth pattern [] with a decrease in the berry size and increase in the ratio of skin to pulp []. In addition, water-stressed plants have decreased vegetative growth, leading to more open canopies [] and better partitioning of carbohydrates to the ripening berries due to controlled vegetative growth [].
Climate change is probably the most discussed issue currently. Climate change associated observations include the uneven distribution of regional water, extreme meteorological phenomena (heat waves, heavy rains, hail, frost and strong winds) and increased length of dry periods, and as a result dryland expansion []. Cyprus, at the south-east of the Mediterranean basin, is characterized by semi-arid climatic conditions with increased drought periods []. Consequently, grapevine cultivations are commonly exposed to drought stress and heat stress with possible effects on plant physiology, nutrition and metabolism []. These changing climatic conditions may challenge the suitability of different regions in Cyprus for sustainable viticulture and increase the dependence of viticulture on irrigation []. Different irrigation strategies (deficit irrigation, treated waste water use, partial root drying, irrigation systems, etc.) [,], cultivation practices (tillage, semi-tillage, terraces, mulching, cover crop, etc.) [,] and drought resistant cultivars [,] are explored in order to increase the water-use efficiency for irrigation and to obtain high quality grapes for wine production [].
Sustainable cultivation practices and management with different soil tillage methods in vineyards in semi-arid regions are explored because of the need to reduce production costs and energy use, as they may affect the soil water availability [,]. Minimized (semi-tillage or reduced applications) and conservative soil tillage (no tillage) started to become widespread as an alternative to conventional soil tillage []. No tillage practices in vineyards have received growing interest in recent decades because of reduced soil erosion [], lower dust production [], control of soil greenhouse gas (GHG) emissions [] and biological control services []. Tillage is affecting the total soil pore distribution and subsequently the water and air available for the roots and microorganisms, which are contributing to the organic matter decomposition []. On the other hand, both tillage and irrigation are important to the vines for taking up nutrients []. Early spring tillage at an increased depth (e.g., 25 cm) will reduce the available water for the vine by exposing deeper and wet soil areas to the sun radiation, which increases loss through evaporation. On the other hand, surface tillage (0–10 cm) may interfere with the continuity of micropores in hot months, resulting in reduced movement of soil water to the surface, due to the effect on capillary fringe [].
Native cultivars, well-adapted to the region’s microclimate, have developed adaptive processes against stress conditions, which are in most cases associated with hormonal changes including the synthesis of abscisic acid (ABA). These processes act as a main signaling pathway in plants subjected to drought stress and control stomatal closure [,]. Recent studies report that stomatal conductance is mainly controlled by hydraulic signals, ABA and/or their interaction in response to drought stress [,]. Additionally, application of plant hormones like melatonin [] and epi-brassinosteroid [] protected leaves and/or berries of grapevines from damage caused by drought stress. This protection triggers induced resistance by regulating the physiological processes and gene expression, providing solid foundation for their use in agronomic practice.
Cyprus is one of the oldest wine making counties in the Mediterranean basin, with more than 5500 years of wine production, and more than 10 native grape cultivars, well-adapted to the climate of the region as they require less inputs (e.g., water and fertilizers) in comparison to introduced cultivars []. Native cultivars, such as Xynisteri, offer promising prospects for adaptation to climate change, including drought conditions []. Tillage in Cypriot vineyards is the main cultivation practice, applied 2–3 times per year to remove the ground weed cover, because of the perceived competition for water between the growing weed vegetation/flora and vines. A more recent trend is that producers leave the natural vegetation to grow naturally between rows. Under local conditions, the effects of irrigation and soil management on plant growth and yield for Xynisteri and Chardonnay are unexplored. Accordingly, the present study aimed to explore the effects of tillage versus no tillage and irrigation versus no irrigation on vine growth, yield and grape quality attributes for Xynisteri and Chardonnay cultivars.
2. Materials and Methods
2.1. Experimental Conditions and Cultivars
The experiment was conducted on the grapevine cultivars Chardonnay and Xynisteri at the Malia winery commercial vineyards (34°49′ N, 32°47′ E, 645 m) in Limassol, Cyprus. Both cultivars were self-rooted. Chardonnay is a globally used white grape cultivar and sensitive to drought stress []. The Chardonnay vineyard occupied approximately 0.68 ha. Xynisteri is a white indigenous grape cultivar, tolerant to drought stress [], and the vineyard occupied approximately 1.97 ha. Both vineyards (aged approximately 20–21 years old, typically tillaged and irrigated once during summer period) were within 0.8 km distance, under the same microclimate (dry climate with less than 30 mm of summer rainfall from June to August, with 30.0 °C average midday temperature and 42% relative humidity during the summer months of on-vine ripening). All plants were trained as a traditional bilateral ‘royat’ system. Vine spacing was 1.5 m in north–south-orientated rows with 2.4 m between the rows at a plant density of 2600 plants ha−1. The main wire was 0.7 m above the soil surface and the shoots were maintained on a vertical plane by three wires, the highest of which was located 1.6 m above the soil surface. Common pest management practices were applied to minimize insect or disease pathogen infection in both vineyards.
Each cultivar was subjected to four treatments—tillage or no tillage in combination with irrigation or no irrigation—with four replicate plots for each treatment. Therefore, the resulting treatments were (i) no irrigation and no tillage (IRR0/TIL0), (ii) with irrigation and no tillage (IRR1/TIL0), (iii) no irrigation and tillage (IRR0/TIL1) and (iv) with irrigation and tillage (IRR1/TIL1). Each treatment consisted of 4 plots located on two different rows (5 vines each; 20 vines per treatment) with one guard row between treatments.
The no tillage treatment consisted of naturally growing vegetation; the tillage treatment was bare soil as tillage took place twice (end of February and end of May) through the growing period. Vines were irrigated using a drip irrigation system throughout the growing season, starting at the end of May, after the first sampling point, to a volumetric water content (VWC) of 20%–30% as described previously []. The targeted VWC was 25% and was optimized by preliminary trials of the same soil in pots, irrigated up to the maximum water holding capacity. Soil volumetric water content was measured by a field-scout TDR300 with 20 cm rods (Spectrum Technologies Inc., Aurora, IL, USA). Irrigation water was supplied approximately every 15–20 days. Soil water content measurements took place from May up to September at 15 day intervals, to capture the variability of soil moisture content through the season (Figure S1).
Soil physicochemical properties (n = 3) were measured for the different vineyards at the three developmental stages (flowering—May, veraison—July and harvesting—September) of the plants. Soil type (percentage of sand, silt and clay) was determined once, at flowering stage while pH, electrical conductivity (EC), organic matter content (OM), calcium carbonate (CaCO3), total nitrogen (N), potassium (K), phosphorus (P) and sodium (Na), and mean values per cultivar and the three developmental stages are presented in Tables S1 and S2. Meteorological parameters were continuously recorded by a meteorological station, which was located in the experimental vineyard to capture the microclimate of the area. The meteorological data for the most recent five years are presented in Figure S2.
2.2. Vegetative Soil Coverage
Natural vegetation was sampled in May. All vegetative soil cover biomass present within a one-meter square quadrat was removed with four samples per treatment. Squares were selected randomly. The percentage of area covered by natural vegetation per square meter, identification of plant species involved, plant fresh and dry weight (in g), total nitrogen (g kg−1) and organic matter (%) were determined.
2.3. Plant Growth, Production and Physiological Parameters
The physiological and photosynthetic parameters were measured at the three phenological stages (flowering, veraison and harvesting) with four replicates/treatment. Leaf stomatal conductance was measured on the 4th–5th leaf from the top of the plant (3 measurements per leaf). All leaves were fully mature and sun-exposed in different individual plants per treatment. Stomatal conductance measurements were carried out between 9:00 and 11:00 AM, using a ΔT-Porometer AP4 (Delta-T Devices-Cambridge, UK) according to the manufacturer’s instructions.
Chlorophyll fluorescence was determined with maximum Fv/Fm photochemical quantum yield of PSII, by using an OptiSci OS-30p Chlorophyll Fluorometer (Opti-Sciences) in similar leaves as the stomatal conductance measurements. Leaves were adapted in the dark for 20 min prior to Fv/Fm measurements. Moreover, leaf tissue (four replications/treatment; each replication consisted of a pool sample of two plants; 0.1 g) was incubated in a heat bath at 65 °C for 30 min, in the dark, with 10 mL dimethyl sulfoxide (DMSO) for chlorophyll extraction. Photosynthetic pigments, i.e., chlorophyll a (Chl a), chlorophyll b (Chl b) and total chlorophyll (t-Chl) contents were calculated as described previously [].
During harvest (late August for Chardonnay, early September for Xynisteri), the number of clusters per plant, the cluster fresh weight (g) and the yield (kg plant−1) were measured in four replicate samples (each replicate had 3 plants) per treatment.
2.4. Total Phenols and Antioxidant Activity in Leaves
Total phenolics and antioxidant activity in leaves were determined at flowering, veraison and harvesting. The total phenolic content was determined with the Folin–Ciocalteu method at 755 nm according to Klados and Tzortzakis [] and results were expressed as equivalents of gallic acid per g of fresh weight (mg of GAE g−1 Fw). The antioxidant capacity using the 2,2-diphenyl-1-picrylhydrazyl (DPPH) and ferric reducing antioxidant power (FRAP) methods were performed as previously described [,]. The results for antioxidant activities were expressed as equivalents of trolox per g of fresh weight (mg trolox g−1 Fw).
2.5. Plant Nutrient Content
The nutrient content in leaves was determined at the flowering and at the veraison phenological stage. Approximately 100 leaf stems (four replicates/treatment) were collected, dried at 65 °C for four days, weighed, and ground in a Wiley mill to pass through 40 mesh screens, as described in Marinou et al. []. Nitrogen (N) content was determined by the Kjeldahl method (BUCHI, Digest automat K-439 and Distillation Kjelflex K-360, Switzerland). Potassium (K) and sodium (Na) were determined photometrically (Flame photometer, Lasany Model 1832, Lasany International, India), phosphorus (P) was determined spectrophotometrically (Multiskan GO, Thermo Fisher Scientific, Vantaa, Finland) and magnesium (Mg) by an atomic absorption spectrophotometer (PG Instruments AA500FG, Leicestershire, UK). Data were expressed in g kg−1 of dry weight.
2.6. Phytohormones in Leaves
For tillage with/without irrigation, the leaf at the tenth position, counting from the apex, was collected from 10 vines at veraison stage. The leaves were pooled into 5 biological replicates, immediately frozen in liquid N2 and kept at −80 °C until analysis. The detailed procedure for plant hormone measurement is described by Haeck et al. []. Briefly, a cold extraction (at −80 °C for 20–24 h) was performed on 100 mg homogenized material using 5 mL modified Bieleski extraction solvent (methanol/water/formic acid 75:20:5, v/v/v). Extracts were filtered (30 kDa Amicon® Ultra centrifugal filter unit, Merck Millipore, Overijse, Belgium), evaporated (TurboVap® LV, Biotage, Uppsala, Sweden) and reconstituted in 0.5 mL methanol/water/formic acid (20:80:0.1, v/v/v).
Chromatographic separation was performed on an ultra-high-performance liquid chromatography system (U-HPLC, Thermo Fisher Scientific) equipped with a Nucleodur C18 column (50 mm × 2 mm; 1.8 μm particle diameter). Mass spectrometric analysis was achieved in targeted single ion monitoring mode on a Q-Exactive™ quadrupole-Orbitrap mass spectrometer (Thermo Fisher Scientific), equipped with a heated electrospray ionization source, at a resolution of 70,000 full width at half maximum. Salicylic acid (SA), abscisic acid (ABA), jasmonic acid (JA) and gibberellic acid (GA) were measured in negative ionization mode, using an elution gradient (300 µL min−1) of (A) methanol and (B) water, both with 0.01% formic acid. For measurement of indole-3-acetic acid (IAA) in positive ionization mode, the formic acid concentration of solvent B was adjusted to 0.1%. The following linear gradient was applied (solvent A): 0–1 min at 20%, 1–2.5 min from 20% to 45%; 2.5–9 min from 45% to 100%; 9–10 min at 100% and 10–14 min at 20%. External and deuterated internal (d4-SA at 200 µg L−1, d6-ABA and d5-IAA at 1 µg L−1) standards were used for accurate quantification of the hormone content.
2.7. Berries Qualitative Attributes
Berries were harvested based on their ripening stage when sugar concentration reached ca. 24 oBrix. Collected berries were placed in nylon bags (100 berries from each of the four plots/treatment), kept in chilled temperature to prevent dehydration at field, and transferred within 40 min to the laboratory. At the lab, berries from all treatments, were weighed and then either used for measurements or frozen and conserved at −20 °C until analysis.
Total soluble solids (TSS), titratable acidity (TA) and pH were determined according to the methods described by the International Organization of Vine and Wine []. TSS was determined with a portable digital refractometer (Master Baume 2594, Atago, Japan). The pH values were measured with a pH-meter (HI 2222, Hanna instruments, Inc., Woonsocket, RI, USA). TA was determined potentiometrically (titration with 0.1 mol L−1 NaOH up to pH 8.1) as described in Chrysargyris et al. []. The content of ascorbic acid (AA) was determined by the 2,6-dichloroindophenol titration method according to Deng et al. [] and results were expressed as mg of ascorbic acid per 100 mL of grape juice (mg of AA 100 mL−1 grape juice).
Polyphenols and anthocyanins were extracted by a modified method described by Du et al. []. Fresh grapes were homogenized with 80% acetone and extraction was assisted with an ice sonication water bath for 10 min. Samples were centrifuged at 4000× g at 4 °C for 15 min and supernatants were stored at −20 °C until use. Total phenolic content was measured as described above and results were expressed as equivalents of gallic acid per g of fresh weight (mg of GAE g−1 Fw). The total anthocyanin content of the grape extract was determined with the pH differential method at 520 and 700 nm according to Du et al. [] and results were expressed as equivalents of cyanidin 3-glucoside per 100 g of fresh weight (mg of cyn-3-glu g−1 Fw). Condensed tannins were determined using the Bate-Smith assay as described by Bate-Smith [] at 550 nm and results were expressed as g of condensed tannins per liter of grape juice (mg of condensed tannins per 100 mL grape juice).
2.8. Statistical Analysis
Statistical analysis was performed using IBM SPSS version 22 to perform one and two way-ANOVA and Duncan’s multiple range tests for comparisons of treatment means at p < 0.05. Measurements were done in four biological replications/treatment (each replication consisted of a pool of three individual measures/samples).
3. Results
Chardonnay and Xynisteri cultivar were subjected to tillage and irrigation practice and several physiological parameters, yield, mineral content and grape quality were examined at three plant phenological stages (flowering, veraison and harvesting). In Table 1, the effects of tillage, irrigation and their interaction are presented for selected phenological plant stages following a two-way ANOVA.

Table 1.
Effects of tillage (T) and irrigation (I) and their interaction (T x I) on Chardonnay and Xynisteri cultivar, for selected plant phenological stages.
3.1. Vineyards Soil Properties and Water Content
In the Chardonnay vineyard, soil analysis revealed that the examined grapevines were grown in clay–clay loam soil type (48.6% clay; 17.8% silt and 33.6% sand). The pH decreased but the EC increased through the growing period (from May to September) and by tillage application (Table S1). Soil total CaCO3 content decreased from flowering to the veraison and harvesting stages. Minerals (K and N) varied among treatments and examined period, but no differences were found for Na and P levels in the soil. After June 15th, the VWC for IRR1/TIL0 and IRR1/TIL1 averaged 26.1% and 22.3%, respectively while for IRR0/TIL0 and IRR0/TIL1 the VWC averaged 16.0%, and 15.2%, respectively (Figure S1).
In the Xynisteri vineyard, soil analysis revealed that the examined grapevines were grown in the clay soil type (48.1% clay; 23.6% silt and 28.3% sand). The EC increased through the growing period (from May to September; Table S2). Total CaCO3 content had a decreasing trend through the growing period, especially when comparing the May and September values for each of the treatments. Organic matter content in soil was higher in no tillage when compared with the tillage applications. Minerals (K and N) varied among treatment and examined period. After June 15th, the VWC for IRR1/TIL0 and IRR1/TIL1 averaged 27.5% and 24.5%, respectively while for IRR0/TIL0 and IRR0/TIL1 the VWC averaged 13.0% and 15.8%, respectively (Figure S1).
3.2. Biomass Production from Cover Crop
In the Chardonnay vineyard, the vegetative soil coverage was 50% (±4.08%) and the main species were Poaceae (Avena sp., Bromus sp. and Lolium sp.), Asteraceae (Carduus sp. and Sonchus sp.), Malvaceae (Malva sp.), Papaveraceae (Papaver sp.), Fabaceae (Medicago sp.) and Brassicaceae (Hirschfeldia incana). Total biomass yield was 797.6 g m−2 for the no tillage treatment with 40.1% dry matter content. Organic matter content was 92.16% and the content of total nitrogen was 12.64 g kg−1.
In the Xynisteri vineyard, the vegetative soil coverage was 57.5% (±10.31%) and the main species were Poaceae (Avena sp. and Bromus sp.), and Brassicaceae (Rapistrum rugosum). Total biomass yield was 1358.5 g m−2 for the no tillage treatment with 36.1% dry matter content. Organic matter content was 93.48% and the content of total nitrogen was 9.09 g kg−1.
3.3. Plant Growth and Physiology
Grapevine yield, number of clusters and cluster fresh weight are presented in Figure 1. In Chardonnay, irrigation increased yield in tilled compared to non-tilled vines. Irrigation increased the fresh weight of harvested clusters compared to the non-irrigated vines while no effects were found between tillage and no tillage cultivation practices. In Xynisteri, tillage application increased yield in both irrigated and non-irrigated vines when compared to no tillage. This increase was mainly due to the increased cluster fresh weight despite the reduced number of clusters produced in the tillage treatment (Figure 1).

Figure 1.
Effects of irrigation and tillage on the number of clusters per plant, cluster weight (g) and yield (kg plant−1). Significant differences (p < 0.05) among treatments are indicated by different letters according to Duncan’s multiple range tests. Error bars show SE (n = 4). ns: not significant.
In Chardonnay, the chlorophyll levels varied among treatments. Total chlorophylls decreased at the flowering stage but increased at the veraison stage in non-tilled fully irrigated vines compared to the relevant non-tilled non-irrigated vines. Leaf stomatal conductance decreased in irrigated and tilled vines at the veraison stage compared to the other treatments. In Xynisteri, the level of chlorophyll remained unchanged among the examined treatments throughout the flowering, veraison and harvesting period. Leaf stomatal conductance decreased (up to 74%) in non-irrigated vines at the veraison stage regardless of the application of tillage or not (Figure 2). No differences were found in chlorophyll fluorescence (data not presented) for both cultivars and the examined treatments.

Figure 2.
Impact of irrigation and tillage on Chlorophyll a (Chl a; mg g−1 Fw), Chlorophyll b (Chl b; mg g−1 Fw), total chlorophylls (total Chl; mg g−1 Fw) and leaf stomatal conductance (mmol m−2 s−1). Sampling dates were during flowering (1st sampling), veraison (2nd sampling) and harvesting (3rd sampling). Significant differences (p < 0.05) among treatments are indicated by different letters according to Duncan’s multiple range tests. Error bars show SE (n = 4). ns: not significant.
3.4. Polyphenols and Antioxidant Activity
The impact of irrigation and/or examined cultivation practices (no tillage-tillage) on the content of total phenols and antioxidant activity (FRAP and DPPH) in leaves is presented in Figure 3. In Chardonnay, irrigation with no tillage revealed higher FRAP values compared with the irrigation and tillage treatment at the flowering stage. However, at harvesting, irrigation with tillage significantly increased DPPH values compared with the other treatments. At veraison, antioxidant activity did not differ among the treatments. Total phenolics remained at the same levels for the flowering, veraison and harvesting stages for all treatments.

Figure 3.
Impact of irrigation and/or cultivation practices (no tillage–tillage) on the content of total phenols and antioxidant activity (FRAP and DPPH) in leaves. Sampling dates were during flowering (1st sampling), veraison (2nd sampling) and harvesting (3rd sampling). Significant differences (p < 0.05) among treatments are indicated by different letters according to Duncan’s multiple range tests. Error bars show SE (n = 4). ns: not significant.
In Xynisteri, total phenolics increased with tillage compared to no tillage treatment, regardless of the application of irrigation at the flowering stage but no differences were found at the veraison and harvesting stages (Figure 3). Comparing to IRR0/TIL0, the IRR0/TIL1 treatment increased antioxidant activity at flowering as assayed by DPPH and at harvesting as assayed by FRAP. At veraison, DPPH activity decreased with irrigation/no tillage compared to the IRR0/TIL0 treatment.
3.5. Mineral Content in Leaf Stems
Vines accumulated more N, P and K and less Mg during flowering compared to veraison (Figure 4). In Chardonnay, at flowering, IRR1/TIL1 application increased the N and P content up to 18.2% and 16.0% respectively, in plants compared to IRR0/TIL0 (the same was found for IRR0/TIL1 treatment). Both Mg and Na content decreased in tillage compared to the no tillage treatment, while K accumulation was unaffected at the examined treatments. At veraison, tillage and irrigation accumulated K in plants, compared to the IRR0/TIL0 treatment and the opposite was evidenced for the Na content. A higher level of P was found in IRR1/TIL0 and a lower N content was found in IRR0/TIL1. Interestingly, irrigation decreased the Mg levels compared to no irrigation regardless of the application of tillage.


Figure 4.
Impact of irrigation and tillage on the leaf content of macronutrients. Sampling dates were during flowering (1st sampling), and veraison (2nd sampling). Significant differences (p < 0.05) among treatments are indicated by different letters according to Duncan’s multiple range tests. Error bars show SE (n = 4). ns: not significant.
In Xynisteri during the flowering stage, tillage decreased N and P but increased Mg content compared with the no tillage application, independently of the irrigation practice. Sodium content varied among the treatments. At veraison, tillage and irrigation practices accumulated P and Na but decreased Mg content when compared to IRR0/TIL0 treatment. The lowest K accumulation was found at IRR0/TIL1 while N content did not differ at the veraison stage.
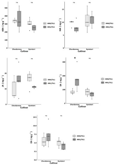
3.6. Phytohormones in Leaves
The impact of irrigation on the plant hormones in the cultivars Chardonnay and Xynisteri under tillage is presented in Figure 5. Without irrigation, no differences were found in phytohormone levels between the cultivars, except for JA content, which was higher in Xynisteri. However, when irrigation was added to the cultivation practice, the phytohormone levels varied between the cultivars. Compared to non-irrigated plants, irrigated Chardonnay showed significantly higher SA and decreasing trend for IAA levels. These levels remained unaltered by the irrigation regime in Xynisteri. In this cultivar, slightly lower ABA levels were found in irrigated compared to non-irrigated plants, while ABA remained unchanged in Chardonnay. Contrasting trends were observed for JA and GA levels, which tended to increase with irrigation in Chardonnay but tended to decrease with irrigation in Xynisteri.

Figure 5.
Effects of irrigation on Chardonnay and Xynisteri cultivars under tillage on plant hormones. Leaf hormones were abscisic acid (ABA; ng g−1 Fw), indole-3-acetic acid (IAA; ng g−1 Fw), jasmonic acid (JA; ng g−1 Fw), salicylic acid (SA; ng g−1 Fw) and gibberellic acid (GA; ng g−1 Fw). Values are means of five (n = 5) replicates. Star symbol shows significant differences at p < 0.05; ns: not significant. All observations are shown as dots. The line inside the box and the lower and upper boundary of the box represent the median, first and third quartile, respectively. The whiskers indicate the minimum and maximum, excluding outliers (full dots), which are observations outside the 1.5 times interquartile range of the first or third quartile.
3.7. Grape Quality Attributes
Table 2 presents the effects of irrigation and tillage on grape quality in the Chardonnay cultivar. Tillage increased TSS and total phenolic content compared to the no tillage practice in both irrigated and non-irrigated plants. Indeed, water-stressed vines revealed higher grape total phenolics when compared to the irrigated vines with no tillage. Titratable acidity and total tannins revealed the highest levels at the IRR0/TIL0 treatment and decreased following tillage (up to 26.0% and 41.1%) and irrigation (up to 16.5% and 24.1%) practice, respectively. The lowest pH value of the grape juice was measured at the IRR0/TIL0 treatment. No differences were found in ascorbic acid and total anthocyanin content.

Table 2.
Effects of irrigation and tillage on the Chardonnay cultivar on grape total soluble solids (TSS: Brix), titratable acidity (TA: % tartaric acid), pH, ascorbic acid (AA: mg 100 mL−1 grape juice), total phenols (gallic acid equivalent: GAE 100 g−1 Fw), anthocyanins (mg cyn-3-glu 100 g−1 Fw) and tannins (mg 100 mL−1 grape juice).
In Xynisteri, TA increased in IRR1/TIL1 when compared to the IRR0/TIL1 (Table 3). The highest grape juice pH value was obtained at the IRR0/TIL0 treatment. Ascorbic acid increased but tannins content decreased with the tillage application in the non-irrigated vineyard compared to the relevant non-tilled/non-irrigated treatment. Total phenols increased in irrigated compared to no-irrigated vines with no tillage. Total soluble solids and anthocyanins content did not differ among the treatments and averaged in 17.95 oBrix and 0.45 mg cyn-3-glu 100 g−1 Fw.

Table 3.
Effects of irrigation and tillage on Xynisteri cultivar on grape total soluble solids (TSS: oBrix), titratable acidity (TA: % tartaric acid), pH, ascorbic acid (AA: mg 100 mL−1 grape juice), total phenols (gallic acid equivalent: GAE 100 g−1 Fw), anthocyanins (mg cyn-3-glu 100 g−1 Fw) and tannins (mg 100 mL−1 grape juice).
3.8. Overall Effect
The two-way ANOVA revealed effects of tillage, irrigation and their interaction on selected phenological plant stages for Chardonnay and Xynisteri cultivars (Table 1). In Chardonnay, tillage affected leaf stomatal conductance, grape TSS, grape pH (p < 0.05), content of Chl b (p < 0.01), accumulation of K, P and Na in leaves, grape TA and grape phenolics (p < 0.001). Irrigation affected the content of Chl a and grape pH (p < 0.05), the content of Chl b, total Chls, N accumulation in leaves, grape TA and grape phenolics (p < 0.01) and accumulation of K, P, Mg and Na (p < 0.001). Considering the interaction of tillage × irrigation, in Chardonnay, tillage affected stomatal conductance only when irrigated. Moreover, the interaction affected the accumulation of N (p < 0.05), the content of chlorophylls (Chl a, Chl b, total Chl) and the accumulation of P and Na in leaves (p < 0.001).
In Xynisteri, tillage affected total phenolics, accumulation of K in leaves (p < 0.05), number of clusters and yield (p < 0.01), cluster fresh weight, grape phenolics and accumulation of P and Mg in leaves. Irrigation affected accumulation of K in leaves and grape TA (p < 0.05), leaf stomatal conductance, DPPH antioxidant capacity, accumulation of Mg and Na in leaves (p < 0.01) and grape phenolics (p < 0.001). The interaction of tillage × irrigation affected the accumulation of Mg, number of cluster and cluster weight (p < 0.05), accumulation of P and Na in leaves and grape phenolics (p < 0.001).
4. Discussion
4.1. Vineyards Soil Properties and Soil Water Content
The soils in Chardonnay and Xynisteri are clay to clay loam, which means that they are able to retain water, but when the VWC is closer to the PWP (permanent wilting point) the plants face difficulty in utilizing it, in comparison to other soil types (e.g., sandy and sandy loam). In addition, clay soils contain minerals that play a role in nutrient balance. Even though this also depends on mineralogy and management practices, typically K and N are more abundant in such soils than P, due to their higher mobility [], which was confirmed in this study. Phosphorus is released from immobile forms and organic matter by means of biological and chemical weathering that are not very active in such soils and under water scarcity. In addition, the K and N amount in the soil available for uptake, increases during the growing period while the levels of P usually remain stable [], something that was also observed for P in this study.
EC expresses the ability of the soil water to carry electrical current. Thus, EC can be used as a measure of soil salinity. EC in the soil increased during the growing period, especially in irrigated vineyards. This could be expected as evaporation during the summer months in arid and hot environments, such as Cyprus, is rapid and therefore, the salts accumulate in the upper layers of the soil []. EC also seemed to increase under tillage possibly due to the increased evapotranspiration. This fact should be taken into consideration to avoid salinity problems in soils and a part of the irrigation dose should be used for salt removal to deeper layers. On the other hand, EC also provides an estimate of the plant-available water content. Irrigation water quality also plays a role, but it was beyond the scope of this study to characterize it. Irrigation increased, as expected, the VWC in Chardonnay and Xynisteri vineyards. In the non-irrigated Xynisteri, the VWC was closer to the value considered to be the PWP for many crops (e.g., 10%). However, this cultivar is well adapted to the arid conditions in the island of Cyprus.
4.2. Biomass Production from Cover Crop
Natural vegetation in no tillage-treated vineyards for both Chardonnay and Xynisteri, consisted of species that are common in Cyprus and the Mediterranean area (Avena sp., Bromus sp., Lolium sp., Carduus sp., Sonchus sp., Malva sp., Papaver sp., Medicago sp., Hirschfeldia incana and Rapistrum rugosum), with more species observed in Chardonnay than Xynisteri. These species are typically found in vineyards and olive groves and form a multispecies cover crop []. Vegetative soil cover biomass in Chardonnay in our study is similar to that measured in Mediterranean olive groves and vineyards [,]. However, the vegetative cover of the Xynisteri soil, richer in organic matter, N and K than the Chardonnay soils, was composed of a low number of species and had a higher biomass but lower dry matter content than the one in Chardonnay. Vegetative soil coverage biomass adds organic matter into the soil but it could be a competitor for water and nutrient uptake, especially for the shallow soils of Cyprus, where a major part of nutrient and water uptake from the annual roots takes place to a depth of approximately 0–40 cm.
4.3. Plant Growth and Physiology
Irrigation increased yield in Chardonnay under tillage, highlighting that the benefits from tillage are only reached when irrigation is applied. However, in the drought tolerant Xynisteri, tillage application increased yield compared to the non-tilled vines, independent of irrigation. Similar findings to ours have been reported in another native Cypriot cultivar namely Maratheftiko []. In Xynisteri, the increased yield was related to a smaller number of clusters with a higher fresh weight produced in tilled vs. non-tilled vines. Tillage improves aeration by increasing pores size (in the upper soil layers) in clay soils, which, in combination with irrigation, could contribute to increased water uptake, nutrient availability in the soil water and benefits in microbiological aspects (e.g., mycorrhiza colonization) []. The results of this study stress the fact that, besides water scarcity [], tillage can influence grapevine growth and yield, affecting the producer’s income. Considering the average yield observed in the previous five years (2014–2018) in the same vineyards, as this was ranging from 1.97 to 2.51 kg plant−1 for Chardonnay and 2.28 to 3.39 kg plant−1 for Xynisteri (unpublished data), the yields found in the present study are within those ranges.
Tillage had an effect on the chlorophyll levels in Chardonnay vines but this was not the case for Xynisteri. The decrease in the chlorophyll levels was more obvious in the non-tilled and irrigated vines, than in the other treatments (Figure 1). The observed decrease (74%) in leaf stomatal conductance in non-irrigated Xynisteri in comparison to Chardonnay is indicative of the ability of the native cultivar to withstand arid conditions. In such conditions, the best adapted genotypes should be able to compromise between high water use efficiency and leaf cooling capacity [].
4.4. Polyphenols and Antioxidant Activity
The consumption of foods rich in polyphenols, including wine, has been associated with the benefits of their antioxidant properties on the prevention of cardiovascular diseases, certain types of cancer, and other diseases related to aging [,]. Polyphenolic composition and antioxidant activity in wine samples revealed differences among native and non-native grape cultivars, in Galicia, Spain []. Given their value, extraction processes of natural antioxidants from grape marc are also being applied [].
In the case of Chardonnay, combined tillage and irrigation increased antioxidant activity in the leaves when the vines were at the harvesting stage. The total phenolic content was the same and not affected by any of the treatments during all the development stages of vine. In the case of Xynisteri leaves, total phenolics were affected by the tillage during the flowering stage while tillage (and no-irrigation) had no effect on them during the veraison and harvesting stages. Total phenols were higher in the Xynisteri leaves than in Chardonnay in our study. In Xynisteri, water deficit had positive effects regarding total phenolics, which could be related to changes in berry growth pattern [] with decrease of the berry size and increase in the ratio of skin to pulp []. Antioxidant activity in Xynisteri showed differences among the treatments and the plant development stages. As previous research indicates, drought stress can possibly cause oxidative damage with the production of ROS, provoking a series of antioxidant enzymatic and non-enzymatic strategies followed by the vines [,,]. However, Xynisteri, as well as other Cypriot native cultivars, is understudied cultivar and further research is required to obtain solid results on issues such as polyphenols and antioxidant activity. In general, the results for Xynisteri are similar as those obtained for another native cultivar, Maratheftiko, under similar soil-climatic conditions [].
4.5. Mineral Content in Leaf Stems and Phytohormones in Leaves
Vines (both cultivars) accumulated more N, P and K in their leaves during flowering compared to veraison. This has to do with the nutrient presence and availability in the soil (e.g., fertilizer type and application date and rates), the soil properties but also to the remobilization of these nutrients to newer leaves or to the fruits. Clay soil has minerals that have increased cation exchange capacity, therefore they can adsorb and release cations, such as K, Mg, Na and NH4. Nitrates are more mobile, due to their ionic status. However, contradictory effects were found regarding the accumulation of nutrients between the two cultivars, and this is possible related to the water content in soil and/or plant metabolism of the examined cultivars. For instance, Mg content decreased in Chardonnay but increased in Xynisteri after tillage application at the flowering stage. As Mg is needed for chlorophyll synthesis, this is an outcome that could be used for nutrient management in these two cultivars. If for instance leaf health and photosynthesis are required at flowering or afterwards, tillage seems to be a practice that could be suggested in Xynisteri but not in Chardonnay vines. At veraison, K content increased with tillage and/or irrigation for Chardonnay, but such a result was not found in the case of Xynisteri. In addition, results showed that during the flowering stage, IRR1/TIL1 increased N and P uptake (in comparison to IRR0/TIL1). This is probably due to the enhanced presence of the two nutrients in the soil solution (especially P) and subsequent uptake, when both tillage and irrigation are applied.
The complex interplay between phytohormones regulates responses to biotic and abiotic stresses in plants. However, irrigation differentially impacted the phytohormone levels in the two cultivars under tillage at veraison. Irrigated Chardonnay presented increased SA while irrigation decreased ABA in Xynisteri. JA and GA tended to increase with irrigation in Chardonnay but to decrease in Xynisteri. Therefore, irrigation seems to induce opposite phytohormone changes in Chardonnay and Xynisteri. As a native cultivar, Xynisteri has adaptive changes to quickly cope with drought stress, which might involve ABA, SA and JA, considered to be involved in drought stress responses and the control of stomatal closure []. The introduced cultivar Chardonnay probably lacks these fast adaptive changes, as indicated by its stomatal conductance, which is higher under no irrigation than in Xynisteri. The stomatal conductance indicates that in non-tilled Xynisteri, irrigation relieves some of the drought stress, resulting in increased stomatal conductance, which is not the case for Chardonnay. Both cultivars seem unaffected by tillage when no irrigation was applied, but experienced an additional stress when tillage was added to the irrigation. The drought tolerant Xynisteri still benefited from the irrigation, being able to lower its drought stress defense responses, thus reducing ABA, SA and JA levels and increasing stomatal conductance compared to no-irrigation. Chardonnay was forced to enhance its defenses, supporting the elevated JA and SA levels and lowered stomatal conductance found in irrigated, tilled Chardonnay. This result has also interest from a management point of view, due to the important and diverse role of hormones in plant health and function.
4.6. Quality Attributes
The berry quality can be negatively affected by water deficit, not only because it causes decreased vegetative canopy, and subsequently decreased the leaf area to support fruit ripening [], but by the direct exposure of berries to the sunlight []. Grape juice TSS is a common factor that indicates the harvesting date of a vineyard and it is important for the production of high-quality wines. TSS in Chardonnay grape juice increased with tillage application compared to no tillage, regardless of the irrigation practice, being in contrast with findings of Bahar and Yaşain [] and Chrysargyris et al. [] who reported decreased TSS for Cabernet Sauvignon and Maratheftiko, respectively, when tillage was applied. In Xynisteri, TSS remained unaffected by irrigation and/or tillage practice. This contradicts with the findings of Tregoat et al. [] and Ojeda et al. [], who observed higher TSS in berries of Merlot and Shiraz plants, respectively, under moderate water restriction, and these differences may be attributed to the different cultivar, soil, cultivation practices and environmental condition applied. Cluster fresh weight was unaffected by the tillage and no tillage application in Chardonnay, being in accordance with findings from Barroso et al. [], who reported no changes on tillage and cover-crop practices on Portuguese native grapevine Trincadeira cultivar. In contrast, Xynisteri cluster fresh weight increased in tilled compared to non-tilled vines. Generally, cluster fresh weight was increased following irrigation.
Polyphenols in grapes can increase under water stress [,]. This was also found in the present study when comparing total phenols in irrigated and non-irrigated Chardonnay vines. Interestingly, the content of polyphenols in Xynisteri grapes decreased in the water deficient treatment compared to the irrigated vines. This is not necessarily negative, as the induction of polyphenols might take place earlier for Xynisteri, as a response to drought stress, however, a time sampling would provide more light for final observation. Tillage is also affecting the content of polyphenols in Chardonnay. In general, contrasting results on berry phenolic composition can be documented following water deficit, as this depends on the different period of the water application [], the irrigation techniques employed [] and of course by the severity of the water shortage [,]. Noticeably, an increased phenolic level of consumed products is highly appreciated by the consumers.
Increased levels of tannins and anthocyanins impart important sensory attributes and potential health benefits in wine, despite the low levels that can be found in white compared to red wines []. Titratable acidity and total tannins were decreased in the case of Chardonnay, when tillage and irrigation were applied. In addition, by applying these practices, the pH of grape juice was elevated. Tillage and irrigation on the other hand, had no effect on the levels of ascorbic acid and total anthocyanin content. In Xynisteri, TA increased with tillage and irrigation but higher pH juice was obtained when no irrigation/no tillage was applied. As in the case of Chardonnay, tannin content in the grape juice was decreased when soil cultivation was applied, impacting negatively the grape juice quality. The results of the work of Chrysargyris et al. [] for Maratheftiko showed that TA was not affected by tillage or irrigation treatments (same as those applied in this study). No tillage however, also significantly increased tannin content in the grape juice from Maratheftiko. Anthocyanin concentration on the other hand, increased in the case of Maratheftiko, when no irrigation/no tillage was applied. As observed for Xynisteri and Chardonnay, the pH of the grape juice was also elevated when irrigation and tillage were applied in Maratheftiko grapes [].
5. Conclusions
In the Mediterranean region, water scarcity, which is projected to increase due to climate change, could negatively affect grape cultivation. Therefore, studying irrigation and tillage regimes is important, for native and introduced cultivars, in order to propose adaptation solutions. In this research, the effects of irrigation and tillage treatments on various aspects of vine growth (e.g., yield, physiology and quality attributes) were studied in Chardonnay and the indigenous Xynisteri cultivar, cultivated in clay and clay-loam soils in Cyprus.
Regarding soil quality, irrigation tended to increase EC in the soil, through the growing period and this should be considered to avoid salinity issues that could impact vines. Additional water should be foreseen (when available) to be used to remove the salts from the top soil. The cover crop can contribute as a source of N and organic matter, supporting vine nutrition and mitigating the impact of climate change, by C sequestration and N2O emissions mitigation due to the reduced use of mineral fertilizers. On the other hand, cover crop competes for water with the vines, especially in the upper soil layers, where most of the annual vine roots are active. Additionally, this research showed that Xynisteri cultivar performs well under no irrigation and reduced tillage and could be a good option for viticulture in Cyprus, under climate change. In contrast, water and tillage are required to obtain high yield and adequate quality for Chardonnay grapes. Irrigation also increases the yield for Xynisteri grapes as well as quality attributes but when irrigation water is not available, the native variety should be the first option for the vine growers. Water stress (in irrigated land) and reduced tillage could improve total tannins content and titratable acidity for Chardonnay, offering higher quality grapes. Some other quality parameters, such as ascorbic acid and anthocyanin content were not affected by tillage and irrigation in either cultivar.
Further research is required to assess the effect of irrigation and tillage on other cultivars in Cyprus, especially native cultivars that could be used for the adaptation of the Cypriot viticulture to climate change. In addition, these experiments need to be conducted in other soil types to have a full assessment of the effects of irrigation and tillage on grape physiology and yield quality aspects.
Supplementary Materials
The following are available online at https://www.mdpi.com/2073-4395/10/5/670/s1, Figure S1: Soil volumetric water content in the four treatments. Figure S2: Meteorological data during the last 5 years at Malia area, Limassol. Table S1: Soil physicochemical analysis on Chardonnay vineyards. Table S2: Soil physicochemical analysis on Xynisteri vineyards.
Author Contributions
Conceptualization, N.T.; methodology, A.C., L.H., K.D., and N.T.; software, A.C., and L.H.; validation, L.H., V.L., K.D., A.C., and N.T.; formal analysis, L.H., V.L., P.X., K.D., A.C., M.S., and N.T.; investigation A.C., P.X., L.H., and K.D.; resources, N.T.; data curation; A.C., V.L., M.S., L.H., K.D. and N.T.; writing—original draft preparation, A.C., V.L., L.H., and N.T.; writing—review and editing, M.S., L.H., M.H., and N.T.; visualization, L.H., M.S., A.C.; supervision, M.H. and N.T.; project administration, N.T.; funding acquisition, N.T. All authors have read and agreed to the published version of the manuscript.
Funding
This research has been co-financed by the European Union (ERA-NET Cofound FACCE SURPLUS Call of Horizon 2020-FACCE JPI), Cyprus Research Promotion Foundation and the Fund for Scientific Research–Flanders (FWO), in the frame of the collaborative international consortium “Vitismart” project, and Cyprus Research Promotion Foundation, in the frame of the collaborative international consortium “Vitismart” project. Cyprus University of Technology Open Access Author Fund.
Conflicts of Interest
The authors declare no conflict of interest.
References
- Min, Z.; Li, R.; Chen, L.; Zhang, Y.; Li, Z.; Liu, M.; Ju, Y.; Fang, Y. Alleviation of drought stress in grapevine by foliar-applied strigolactones. Plant Physiol. Biochem. 2019, 135, 99–110. [Google Scholar] [CrossRef] [PubMed]
- Jones, H.G.; Sutherland, R.A. Stomatal control of xylem embolism. Plant Cell Environ. 1991, 11, 111–121. [Google Scholar] [CrossRef]
- Chen, L.; Jun, A.I.; Wang, Z.X.; Zhao, Y. Research progress on effect of drought stress on the physiological property and microstructure in grapevine. North. Hortic. 2011, 6, 205–209. [Google Scholar]
- Patakas, A.; Noitsakis, B.; Chouzouri, A. Optimization of irrigation water use in grapevines using the relationship between transpiration and plant water status. Agric. Ecosyst. Environ. 2005, 106, 253–259. [Google Scholar] [CrossRef]
- Kofidis, G.; Bozabalidis, A.; Chartzoulakis, K. Leaf anatomical alterations induced by drought stress in two avocado cultivars. J. Biol. Res. 2004, 1, 115–120. [Google Scholar]
- Ferrandino, A.; Ferrandino, A.; Perrone, I.; Tramontini, S. Physiological and molecular mechanisms of resistance to drought in Vitis vinifera L: Aspects of primary and secondary metabolisms and adaptation of genotypes. Italus Hortus 2009, 16, 23–34. [Google Scholar]
- Salazar-Parra, C.; Aguirreolea, J.; Sánchez-Díaz, M.; Irigoyen, J.J.; Morales, F. Climate change (elevated CO2, elevated temperature and moderate drought) triggers the antioxidant enzymes’ response of grapevine cv. Tempranillo, avoiding oxidative damage. Physiol. Plant. 2012, 144, 99–110. [Google Scholar] [CrossRef]
- Tzortzakis, N.; Chrysargyris, A.; Aziz, A. Adaptive response of a native mediterranean grapevine cultivar upon short-term exposure to drought and heat stress in the context of climate change. Agronomy 2020, 10, 249. [Google Scholar] [CrossRef]
- Kyraleou, M.; Koundouras, S.; Kallithraka, S.; Theodorou, N.; Proxenia, N.; Kotseridis, Y. Effect of irrigation regime on anthocyanin content and antioxidant activity of Vitis vinifera L. cv. Syrah grapes under semiarid conditions. J. Sci. Food Agric. 2016, 96, 988–996. [Google Scholar] [CrossRef]
- Acevedo-Opazo, C.; Ortega-Farias, S.; Fuentes, S. Effects of grapevine (Vitis vinifera L.) water status on water consumption, vegetative growth and grape quality: An irrigation scheduling application to achieve regulated deficit irrigation. Agric. Water Manag. 2010, 97, 956–964. [Google Scholar] [CrossRef]
- Romero, P.; Fernández-Fernández, J.I.; Martinez-Cutillas, A. Physiological thresholds for efficient Regulated Deficit Irrigation management in winegrapes under semiarid conditions: Soil-plant-water relationships and berry composition. Acta Hortic. 2012, 931, 171–178. [Google Scholar] [CrossRef]
- Intrigliolo, D.S.; Castel, J.R. Interactive effects of deficit irrigation and shoot and cluster thinning on grapevine cv. Tempranillo. Water relations, vine performance and berry and wine composition. Irrig. Sci. 2011, 29, 443–454. [Google Scholar] [CrossRef]
- Huang, J.; Yu, H.; Guan, X.; Wang, G.; Guo, R. Accelerated dryland expansion under climate change. Nat. Clim. Chang. 2016, 6, 166–171. [Google Scholar] [CrossRef]
- Chaves, M.M.; Flexas, J.; Pinheiro, C. Photosynthesis under drought and salt stress: Regulation mechanisms from whole plant to cell. Ann. Bot. 2009, 103, 551–560. [Google Scholar] [CrossRef]
- Jones, G.V.; White, M.A.; Cooper, O.R.; Storchmann, K. Climate change and global wine quality. Clim. Chang. 2005, 73, 319–343. [Google Scholar] [CrossRef]
- Beis, A.; Patakas, A. Differential physiological and biochemical responses to drought in grapevines subjected to partial root drying and deficit irrigation. Eur. J. Agron. 2015, 62, 90–97. [Google Scholar] [CrossRef]
- Dagianta, E.; Goumas, D.; Manios, T.; Tzortzakis, N. The use of treated wastewater and fertigation in greenhouse pepper crop as affecting growth and fruit quality. J. Water Reuse Desalin. 2014, 4, 92–99. [Google Scholar] [CrossRef]
- Steenwerth, K.L.; Calderón-Orellana, A.; Hanifin, R.C.; Storm, C.; McElrone, A.J. Effects of various vineyard floor management techniques on weed community shifts and grapevine water relations. Am. J. Enol. Vitic. 2016, 67, 153–162. [Google Scholar] [CrossRef]
- Chrysargyris, A.; Xylia, P.; Litskas, V.; Mandoulaki, A.; Antoniou, D.; Boyias, T.; Stavrinides, M.; Tzortzakis, N. Drought stress and soil management practices in grapevines in Cyprus under the threat of climate change. J. Water Clim. Chang. 2018, 9, 703–712. [Google Scholar] [CrossRef]
- Chrysargyris, A.; Xylia, P.; Antoniou, O.; Tzortzakis, N. Climate change due to heat and drought stress can alter the physiology of maratheftiko local cyprian grapevine variety. J. Water Clim. Chang. 2018, 9, 1–13. [Google Scholar] [CrossRef]
- Pellegrino, A.; Lebon, E.; Simonneau, T.; Wery, J. Towards a simple indicator of water stress in grapevine (Vitis vinifera L.) based on the differential sensitivities of vegetative growth components. Aust. J. Grape Wine Res. 2005, 11, 306–315. [Google Scholar] [CrossRef]
- Bahar, E.; Yaşain, A.S. The yield and berry quality under different soil tillage and clusters thinning treatments in grape (Vitis vinifera L.) cv. Cabernet-Sauvignon. Afr. J. Agric. Res. 2010, 5, 2986–2993. [Google Scholar]
- Montgomery, D.R. Soil erosion and agricultural sustainability. Proc. Natl. Acad. Sci. USA 2007, 104, 13268–13272. [Google Scholar] [CrossRef] [PubMed]
- Baker, J.B.; Southard, R.J.; Mitchell, J.P. Agricultural dust production in standard and conservation tillage systems in the san joaquin valley. J. Environ. Qual. 2005, 34, 1260–1269. [Google Scholar] [CrossRef]
- Wolff, M.W.; Alsina, M.M.; Stockert, C.M.; Khalsa, S.D.S.; Smart, D.R. Minimum tillage of a cover crop lowers net GWP and sequesters soil carbon in a California vineyard. Soil Tillage Res. 2018, 175, 244–254. [Google Scholar] [CrossRef]
- Daane, K.M.; Hogg, B.N.; Wilson, H.; Yokota, G.Y. Native grass ground covers provide multiple ecosystem services in Californian vineyards. J. Appl. Ecol. 2018, 55, 2473–2483. [Google Scholar] [CrossRef]
- Pérez-Bermúdez, P.; Olmo, M.; Gil, J.; García-Férriz, L.; Olmo, C.; Boluda, R.; Gavidia, I. Cover crops and pruning in Bobal and Tempranillo vineyards have little influence on grapevine nutrition. Sci. Agric. 2016, 73, 260–265. [Google Scholar] [CrossRef]
- Keller, M. From the ASEV soil environment and vine mineral nutrition symposium: Deficit irrigation and vine mineral nutrition. Am. J. Enol. Vitic. 2005, 56, 267–283. [Google Scholar]
- Tombesi, S.; Nardini, A.; Frioni, T.; Soccolini, M.; Zadra, C.; Farinelli, D.; Poni, S.; Palliotti, A. Stomatal closure is induced by hydraulic signals and maintained by ABA in drought-stressed grapevine. Sci. Rep. 2015, 5, 1–12. [Google Scholar] [CrossRef]
- Davies, W.J.; Kudoyarova, G.; Hartung, W. Long-distance ABA signaling and its relation to other signaling pathways in the detection of soil drying and the mediation of the plant’s response to drought. J. Plant Growth Regul. 2005, 24, 285–295. [Google Scholar] [CrossRef]
- McAdam, S.A.M.; Brodribb, T.J. Hormonal dynamics contributes to divergence in seasonal stomatal behaviour in a monsoonal plant community. Plant Cell Environ. 2015, 38, 423–432. [Google Scholar] [CrossRef] [PubMed]
- Vishwakarma, K.; Upadhyay, N.; Kumar, N.; Yadav, G.; Singh, J.; Mishra, R.K.; Kumar, V.; Verma, R.; Upadhyay, R.G.; Pandey, M.; et al. Abscisic acid signaling and abiotic stress tolerance in plants: A review on current knowledge and future prospects. Front. Plant Sci. 2017, 8, 1–12. [Google Scholar] [CrossRef] [PubMed]
- Meng, J.F.; Xu, T.F.; Wang, Z.Z.; Fang, Y.L.; Xi, Z.M.; Zhang, Z.W. The ameliorative effects of exogenous melatonin on grape cuttings under water-deficient stress: Antioxidant metabolites, leaf anatomy, and chloroplast morphology. J. Pineal Res. 2014, 57, 200–212. [Google Scholar] [CrossRef] [PubMed]
- Wang, Z.; Zheng, P.; Meng, J.; Xi, Z. Effect of exogenous 24-epibrassinolide on chlorophyll fluorescence, leaf surface morphology and cellular ultrastructure of grape seedlings (Vitis vinifera L.) under water stress. Acta Physiol. Plant. 2015, 37, 1729. [Google Scholar] [CrossRef]
- Litskas, V.D.; Irakleous, T.; Tzortzakis, N.; Stavrinides, M.C. Determining the carbon footprint of indigenous and introduced grape varieties through Life Cycle Assessment using the island of Cyprus as a case study. J. Clean. Prod. 2017, 156, 418–425. [Google Scholar] [CrossRef]
- Hatmi, S.; Gruau, C.; Trotel-Aziz, P.; Villaume, S.; Rabenoelina, F.; Baillieul, F.; Eullaffroy, P.; Clément, C.; Ferchichi, A.; Aziz, A. Drought stress tolerance in grapevine involves activation of polyamine oxidation contributing to improved immune response and low susceptibility to Botrytis cinerea. J. Exp. Bot. 2015, 66, 775–787. [Google Scholar] [CrossRef]
- Chrysargyris, A.; Drouza, C.; Tzortzakis, N. Optimization of potassium fertilization/nutrition for growth, physiological development, essential oil composition and antioxidant activity of Lavandula angustifolia Mill. J. Soil Sci. Plant Nutr. 2017, 17, 291–306. [Google Scholar] [CrossRef]
- Klados, E.; Tzortzakis, N. Effects of substrate and salinity in hydroponically grown Cichorium spinosum. J. Soil Sci. Plant Nutr. 2014, 14, 211–222. [Google Scholar] [CrossRef][Green Version]
- Chrysargyris, A.; Panayiotou, C.; Tzortzakis, N. Nitrogen and phosphorus levels affected plant growth, essential oil composition and antioxidant status of lavender plant (Lavandula angustifolia Mill.). Ind. Crops Prod. 2016, 83, 577–586. [Google Scholar] [CrossRef]
- Xylia, P.; Chrysargyris, A.; Botsaris, G.; Tzortzakis, N. Potential application of spearmint and lavender essential oils for assuring endive quality and safety. Crop Prot. 2017, 102, 94–103. [Google Scholar] [CrossRef]
- Marinou, E.; Chrysargyris, A.; Tzortzakis, N. Use of sawdust, coco soil and pumice in hydroponically grown strawberry. Plant Soil Environ. 2013, 59, 452–459. [Google Scholar] [CrossRef]
- Haeck, A.; Van Langenhove, H.; Harinck, L.; Kyndt, T.; Gheysen, G.; Höfte, M.; Demeestere, K. Trace analysis of multi-class phytohormones in Oryza sativa using different scan modes in high-resolution Orbitrap mass spectrometry: Method validation, concentration levels, and screening in multiple accessions. Anal. Bioanal. Chem. 2018, 410, 4527–4539. [Google Scholar] [CrossRef] [PubMed]
- OIV. Compendium of International Methods of Analysis of Wines and Musts; International Organisation of Vine and Wine: Paris, France, 2012. [Google Scholar]
- Chrysargyris, A.; Nikou, A.; Tzortzakis, N. Effectiveness of Aloe vera gel coating for maintaining tomato fruit quality. N. Z. J. Crop Hortic. Sci. 2016, 44, 203–217. [Google Scholar] [CrossRef]
- Deng, Y.; Wu, Y.; Li, Y. Effects of high O2 levels on post-harvest quality and shelf life of table grapes during long-term storage. Eur. Food Res. Technol. 2005, 221, 392–397. [Google Scholar] [CrossRef]
- Du, B.; He, B.-J.; Shi, P.-B.; Li, F.-Y.; Li, J.; Zhu, F. Phenolic content and antioxidant activity of wine grapes and table grapes. J. Med. Plants Res. 2012, 6, 3381–3387. [Google Scholar]
- Bate-smith, E.C. Astringent tannins of the leaves of Geranium species. Phytochemistry 1981, 20, 211–216. [Google Scholar] [CrossRef]
- Simonsson, M.; Andersson, S.; Andrist-Rangel, Y.; Hillier, S.; Mattsson, L.; Öborn, I. Potassium release and fixation as a function of fertilizer application rate and soil parent material. Geoderma 2007, 140, 188–198. [Google Scholar] [CrossRef]
- Marschner, P.; Rengel, Z. Nutrient Availability in Soils; Elsevier Ltd.: Amsterdam, The Netherlands, 2011; ISBN 9780123849052. [Google Scholar]
- Wichelns, D.; Qadir, M. Achieving sustainable irrigation requires effective management of salts, soil salinity, and shallow groundwater. Agric. Water Manag. 2015, 157, 31–38. [Google Scholar] [CrossRef]
- Gómez, J.A.; Llewellyn, C.; Basch, G.; Sutton, P.B.; Dyson, J.S.; Jones, C.A. The effects of cover crops and conventional tillage on soil and runoff loss in vineyards and olive groves in several Mediterranean countries. Soil Use Manag. 2011, 27, 502–514. [Google Scholar] [CrossRef]
- Soriano, M.A.; Cabezas, J.M.; Ramos, A.; Lora, A.; Gómez, J.A. Characterization of cover crops for use in olive groves and vineyards in certified systems under mediterranean conditions. In Proceedings of the 10th International Symposium on Agriculture and the Environment, Purdue University, West Lafayette, IN, USA, 23–27 May 2016. [Google Scholar]
- Blanco-Canqui, H.; Wienhold, B.J.; Jin, V.L.; Schmer, M.R.; Kibet, L.C. Long-term tillage impact on soil hydraulic properties. Soil Tillage Res. 2017, 170, 38–42. [Google Scholar] [CrossRef]
- Chaves, M.M.; Costa, J.M.; Zarrouk, O.; Pinheiro, C.; Lopes, C.M.; Pereira, J.S. Controlling stomatal aperture in semi-arid regions—The dilemma of saving water or being cool? Plant Sci. 2016, 251, 54–64. [Google Scholar] [CrossRef] [PubMed]
- Alvarez-Casas, M.; Pajaro, M.; Lores, M.; Garcia-Jares, C. Polyphenolic composition and antioxidant activity of galician monovarietal wines from native and experimental non-native white grape varieties. Int. J. Food Prop. 2016, 19, 2307–2321. [Google Scholar] [CrossRef]
- Olejar, K.J.; Fedrizzi, B.; Kilmartin, P.A. Enhancement of Chardonnay antioxidant activity and sensory perception through maceration technique. LWT Food Sci. Technol. 2016, 65, 152–157. [Google Scholar] [CrossRef]
- Garrido, T.; Gizdavic-Nikolaidis, M.; Leceta, I.; Urdanpilleta, M.; Guerrero, P.; de la Caba, K.; Kilmartin, P.A. Optimizing the extraction process of natural antioxidants from chardonnay grape marc using microwave-assisted extraction. Waste Manag. 2019, 88, 110–117. [Google Scholar] [CrossRef]
- Ullah, A.; Manghwar, H.; Shaban, M.; Khan, A.H.; Akbar, A.; Ali, U.; Ali, E.; Fahad, S. Phytohormones enhanced drought tolerance in plants: A coping strategy. Environ. Sci. Pollut. Res. 2018, 25, 33103–33118. [Google Scholar] [CrossRef]
- Price, S.F.; Breen, P.J.; Valladao, M.; Warson, B.T. Cluster sun exposure and quercetin in Pinot noir grapes and wine. Am. J. Enol. Vitic. 1995, 46, 187–194. [Google Scholar]
- Tregoat, O.; Van Leeuwen, C.; Choné, X.; Gaudillère, J.P. Étude du régime hydrique et de la nutrition azotée de la vigne par des indicateurs physiologiques influence sur le comportement de la vigne et la maturation du raisin (vitis vinifera L. cv merlot, 2000, bordeaux). J. Int. Sci. Vigne Vin 2002, 36, 133–142. [Google Scholar]
- Ojeda, H.; Andary, C.; Kraeva, E.; Carbonneau, A.; Deloire, A. Influence of pre- and postveraison water deficit on synthesis and concentration of skin phenolic compounds during berry growth of Vitis vinifera cv. Shiraz. Am. J. Enol. Vitic. 2002, 53, 261–267. [Google Scholar]
- Barroso, J.M.; Pombeiro, L.; Rato, A.E. Impacts of crop level, soil and irrigation management in grape berries of cv ‘Trincadeira’ (Vitis vinifera L.). J. Wine Res. 2017, 28, 1–12. [Google Scholar] [CrossRef][Green Version]
- Deis, L.; Cavagnaro, J.B. Effect of water stress in grape berries cabernet sauvignon (mendoza, argentina) during four years consecutives. J. Life Sci. 2013, 7, 993–1001. [Google Scholar]
- Bucchetti, B.; Matthews, M.A.; Falginella, L.; Peterlunger, E.; Castellarin, S.D. Effect of water deficit on Merlot grape tannins and anthocyanins across four seasons. Sci. Hortic. 2011, 128, 297–305. [Google Scholar] [CrossRef]
- Santesteban, L.G.; Miranda, C.; Royo, J.B. Regulated deficit irrigation effects on growth, yield, grape quality and individual anthocyanin composition in Vitis vinifera L. cv. “Tempranillo.”. Agric. Water Manag. 2011, 98, 1171–1179. [Google Scholar] [CrossRef]
- Koundouras, S.; Marinos, V.; Gkoulioti, A.; Kotseridis, Y.; Van Leeuwen, C. Influence of vineyard location and vine water status on fruit maturation of nonirrigated cv. Agiorgitiko (Vitis vinifera L.). Effects on wine phenolic and aroma components. J. Agric. Food Chem. 2006, 54, 5077–5086. [Google Scholar] [CrossRef] [PubMed]
© 2020 by the authors. Licensee MDPI, Basel, Switzerland. This article is an open access article distributed under the terms and conditions of the Creative Commons Attribution (CC BY) license (http://creativecommons.org/licenses/by/4.0/).