Synthesis of Novel Temperature- and pH-Sensitive ABA Triblock Copolymers P(DEAEMA-co-MEO2MA-co-OEGMA)-b-PEG-b-P(DEAEMA-co-MEO2MA-co-OEGMA): Micellization, Sol–Gel Transitions, and Sustained BSA Release
Abstract
:1. Introduction
2. Materials and Methods
2.1. Materials
2.2. Characterization
2.3. Synthesis of Difunctional Macroinitiator (Br–PEG–Br)
2.4. Synthesis of ABA Triblock Copolymer P(DEAEMA-co-MEO2MA-co-OEGMA)-b-PEG-b-P(DEAEMA-co-MEO2MA-co-OEGMA)
2.5. Transmittance and Surface Tension Analysis of 0.5 mg·mL−1 Aqueous Solutions of ABA Copolymer
2.6. Viscosity and Fluorescence Probe Measurements of Thermo-Induced Micellization of ABA Copolymer in Aqueous Solutions
2.7. Dynamic Light Scattering (DLS) and Zeta Potential Measurements of ABA in Aqueous Solutions
2.8. Transmission Electron Microscopy (TEM)
2.9. Sol–Gel Transitions of ABA Aqueous Solutions
2.10. Application of Gel
3. Results and Discussion
3.1. Synthesis and Characterization of Br–PEG–Br, ABA Copolymer
3.2. Temperature- and pH-Sensitivities of ABA Triblock Copolymers in Aqueous Solution
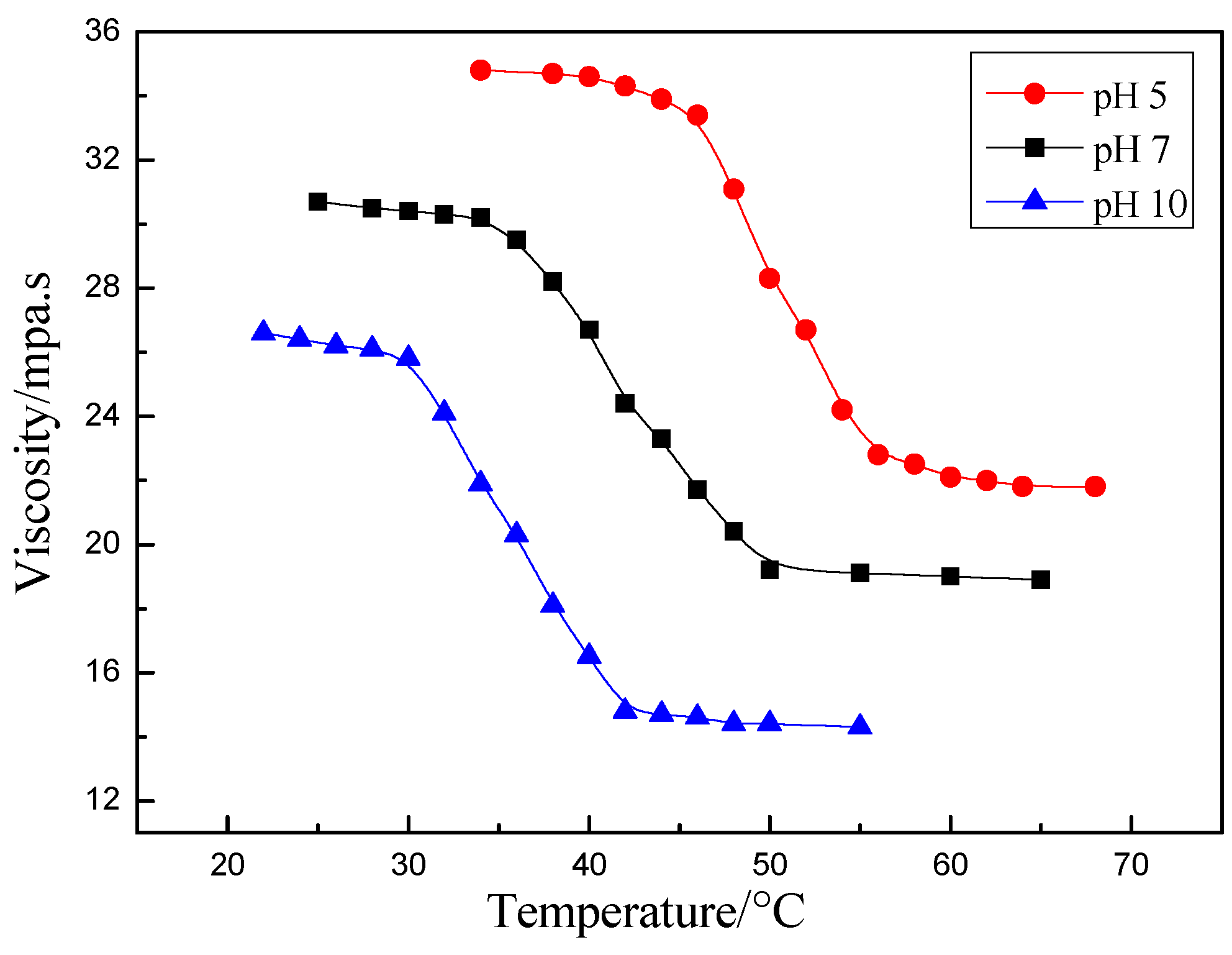
3.3. Viscosity of ABA in Aqueous Solution
3.4. CMC Determination of ABA in Aqueous Solutions by Fluorescence Spectra
3.5. Aggregate Behaviors of ABA in Aqueous Solutions
3.6. Charge Properties of ABA in Aqueous Solution
3.7. TEM Images of the Temperature-Induced Micelles
3.8. Temperature, Concentration, and pH Effects on Sol–Gel Transition of ABA in Aqueous Solution
3.9. BSA Release of BSA-Loaded Micellar Gel which Formed by ABA in Buffer Solution
4. Conclusions
Supplementary Materials
Acknowledgments
Author Contributions
Conflicts of Interest
References
- Naik, S.S.; Ray, J.G.; Savin, D.A. Temperature- and pH-responsive self-assembly of poly(propylene oxide)-b-poly(lysine) block copolymers in aqueous solution. Langmuir 2011, 27, 7231–7240. [Google Scholar] [CrossRef] [PubMed]
- Guo, X.D.; Zhang, L.J.; Wu, Z.M.; Qian, Y. Dissipative particle dynamics studies on microstructure of pH-sensitive micelles for sustained drug delivery. Macromolecules 2010, 43, 7839–7844. [Google Scholar] [CrossRef]
- Kirkland, S.E.; Hensarling, R.M.; McConaughy, S.D.; Guo, Y.; Jarrett, W.L.; McCormick, C.L. Thermoreversible hydrogels from RAFT-synthesized BAB triblock copolymers: Steps toward biomimetic matrices for tissue regeneration. Biomacromolecules 2010, 9, 481–486. [Google Scholar] [CrossRef] [PubMed]
- Woodcock, J.W.; Wright, R.A.E.; Jiang, X.G.; O’Lenick, T.G.; Zhao, B. Dually responsive aqueous gels from thermo- and light-sensitive hydrophilic ABA triblock copolymers. Soft Matter 2010, 6, 3325–3336. [Google Scholar] [CrossRef]
- Ma, L.; Kang, H.L.; Liu, R.G.; Huang, Y. Smart assembly behaviors of hydroxypropylcellulose-graft-poly(4-vinyl pyridine) copolymers in aqueous solution by thermo and pH stimuli. Langmuir 2010, 26, 18519–18525. [Google Scholar] [CrossRef] [PubMed]
- Pich, A.; Tessier, A.; Boyko, V.; Lu, Y.; Adler, H.P. Synthesis and characterization of poly(vinylcaprolactam)-based microgels exhibiting temperature and pH-sensitive properties. Macromolecules 2006, 39, 7701–7707. [Google Scholar] [CrossRef]
- Vogt, A.P.; Sumerlin, B.S. Temperature and redox responsive hydrogels from ABA triblock copolymers prepared by RAFT polymerization. Soft Matter 2009, 5, 2347–2351. [Google Scholar] [CrossRef]
- O’Lenick, T.G.; Jiang, X.G.; Zhao, B. Thermosensitive aqueous gels with tunable sol–gel transition temperatures from thermo- and pH-responsive hydrophilic ABA triblock copolymer. Langmuir 2010, 26, 8787–8796. [Google Scholar] [CrossRef] [PubMed]
- O’Lenick, T.G.; Jin, N.X.; Woodcock, J.W.; Zhao, B. Rheological properties of aqueous micellar gels of a thermo- and pH-sensitive ABA triblock copolymer. J. Phys. Chem. B 2011, 115, 2870–2881. [Google Scholar] [CrossRef] [PubMed]
- Jin, N.; Zhang, H.; Jin, S.; Dadmun, M.D.; Zhao, B. Tuning of thermally induced sol-to-gel transitions of moderately concentrated aqueous solutions of doubly thermosensitive hydrophilic diblock copolymers poly(methoxytri(ethyleneg lycol)acrylate)-b-poly(ethoxydi (ethylene glycol) acrylate-co-acrylic acid). J. Phys. Chem. B 2012, 116, 3125–3137. [Google Scholar] [CrossRef] [PubMed]
- Henn, D.M.; Wright, R.A.E.; Woodcock, J.W.; Hu, B.; Zhao, B. Tertiary-amine-containing thermo- and pH-sensitive hydrophilic ABA triblock copolymers: Effect of different tertiary amines on thermally induced sol–gel transitions. Langmuir 2014, 30, 2541–2550. [Google Scholar] [CrossRef] [PubMed]
- Jin, N.; Woodcock, J.W.; Xue, C.; O’Lenick, T.G.; Jiang, X.; Jin, S.; Dadmun, M.D.; Zhao, B. Tuning of thermo-triggered gel-to-sol transition of aqueous solution of multi-responsive diblock copolymer poly(methoxytri(ethylene glycol) acrylate-co-acrylic acid)-b-poly(ethoxydi(ethylene glycol) acrylate). Macromolecules 2011, 44, 3556–3566. [Google Scholar] [CrossRef]
- Joo, M.K.; Park, M.H.; Choi, B.G.; Jeong, B. Reverse thermogelling biodegradable polymer aqueous solutions. J. Mater. Chem. 2009, 19, 5891–5905. [Google Scholar] [CrossRef]
- Li, Y.G.; Yang, D.G.; Adronov, A.; Gao, Y.; Luo, X.J.; Li, H.M. Covalent functionalization of single-walled carbon nanotubes with thermoresponsive core cross-linked polymeric micelles. Macromolecules 2012, 45, 4698–4706. [Google Scholar] [CrossRef]
- Virtanen, J.; Arotcuarena, M.; Heise, B.; Ishaya, S.; Laschewsky, A.; Tenhu, H. Dissolution and aggregation of a poly(NIPA-block-sulfobetaine) copolymer in water and saline aqueous solutions. Langmuir 2002, 18, 5360–5365. [Google Scholar] [CrossRef]
- Schilli, C.M.; Zhang, M.; Rizzardo, E.; Thang, S.H.; Chong, Y.K.; Edwards, K.; Karlsson, G.; Muller, A.H.E. A new double-responsive block copolymer synthesized via RAFT polymerization: poly(N-isopropylacrylamide)-block-poly(acrylic acid). Macromolecules 2004, 37, 7861–7866. [Google Scholar] [CrossRef]
- Zhang, W.Q.; Shi, L.Q.; Ma, R.; An, Y.L.; Xu, Y.L.; Wu, K. Micellization of thermo- and pH-responsive triblock copolymer of poly(ethylene glycol)-b-poly(4-vinylpyridine)-b-poly(N-isopropylacrylamide). Macromolecules 2005, 38, 8850–8852. [Google Scholar] [CrossRef]
- Jiang, X.Z.; Ge, Z.S.; Xu, J.; Liu, H.; Liu, S.Y. Fabrication of multiresponsive shell cross-linked micelles possessing pH-controllable core swellability and thermo-tunable corona permeability. Biomacromolecules 2007, 8, 3184–3192. [Google Scholar] [CrossRef] [PubMed]
- Lutz, J.F. Polymerization of oligo(ethylene glycol)(meth)acrylates: Toward new generations of smart biocompatible materials. J. Polym. Sci. Part A Polym. Chem. 2008, 46, 3459–3470. [Google Scholar] [CrossRef]
- Lutz, J.F.; Hoth, A. Preparation of ideal PEG analogues with a tunable thermosensitivity by controlled radical copolymerization of 2-(2-Methoxyethoxy)ethyl methacrylate and oligo(ethylene glycol) methacrylate. Macromolecules 2006, 39, 893–896. [Google Scholar] [CrossRef]
- Lutz, J.F. Thermo-switchable materials prepared using the OEGMA-Platform. Adv. Mater. 2011, 23, 2237–2243. [Google Scholar] [CrossRef]
- Li, Z.B.; Zhang, Z.X.; Liu, K.L.; Ni, X.P.; Li, J. Biodegradable hyperbranched amphiphilic polyurethane multiblock copolymers consisting of poly(propylene glycol), poly(ethylene glycol), and polycaprolactone as in situ thermogels. Biomacromolecules 2012, 13, 3977–3989. [Google Scholar] [CrossRef] [PubMed]
- Li, Z.B.; Tan, B.H.; Jin, G.R.; Li, K.; He, C.B. Design of polyhedral oligomeric silsesquioxane (POSS) based thermo-responsive amphiphilic hybrid copolymers for thermally denatured protein protection applications. Polym. Chem. 2014, 5, 6740–6753. [Google Scholar] [CrossRef]
- Li, Z.B.; Loh, X.J. Water soluble polyhydroxyalkanoates: Future materials for therapeutic applications. Chem. Soc. Rev. 2015, 44, 2865–2879. [Google Scholar] [CrossRef] [PubMed]
- Li, Z.B.; Yang, J.; Loh, X.J. Polyhydroxyalkanoates: Opening doorsfor a sustainable future. NPG Asia Mater. 2016, 8, e265. [Google Scholar] [CrossRef]
- Li, Z.B.; Tan, B.H. Towards the development of polycaprolactone based amphiphilic block copolymers: Molecular design, self-assembly and biomedical applications. Mater. Sci. Eng. C 2014, 45, 620–634. [Google Scholar] [CrossRef] [PubMed]
- Tockary, T.A.; Osada, K.; Chen, Q.; Machitani, K.; Dirisala, A.; Uchida, S.; Takahiro, T.; Toh, K.; Matsumoto, Y.; Itaka, K.; et al. Tethered PEG crowdedness determining shape and blood circulation profile of polyplex micelle gene carriers. Macromolecules 2013, 46, 6585–6592. [Google Scholar] [CrossRef]
- Li, Z.B.; Tan, B.H.; Lin, T.T.; He, C.B. Recent advances in stereocomplexation of enantiomeric enantiomeric PLA-based copolymers and applications. Prog. Polym. Sci. 2016. [Google Scholar] [CrossRef]
- Li, Z.B.; Yuan, D.; Fan, X.S.; Tan, B.H.; He, C.B. Poly(ethylene glycol) conjugated poly(lactide)-based polyelectrolytes: Synthesis and formation of stable self-assemblies induced by stereocomplexation. Langmuir 2015, 31, 2321–2333. [Google Scholar] [CrossRef] [PubMed]
- Li, Z.B.; Li, J. Control of hyperbranched structure of polycaprolactone/poly(ethylene glycol) polyurethane block copolymers by glycerol and their hydrogels for potential cell delivery. J. Phys. Chem. B 2013, 117, 14763–14774. [Google Scholar] [CrossRef] [PubMed]
- Li, Z.B.; Yin, H.; Zhang, Z.X.; Liu, K.L.; Li, J. Supramolecular anchoring of DNA polyplexes in cyclodextrin-based polypseudorotaxane hydrogels for sustained gene delivery. Biomacromolecules 2012, 13, 3162–3172. [Google Scholar] [CrossRef] [PubMed]
- Li, Z.B.; Chee, P.L.; Owh, C.; Lakshminarayanan, R.; Loh, X.J. Safe and efficient membrane permeabilizing polymers based on PLLA for antibacterial applications. RSC Adv. 2016, 6, 28947–28955. [Google Scholar] [CrossRef]
- Veronese, F.M. Peptide and protein PEGylation: A review of problems and solutions. Biomaterials 2001, 22, 405–417. [Google Scholar] [CrossRef]
- Kakizawa, Y.; Kataoka, K. Block copolymer micelles for delivery of gene and related compounds. Adv. Drug Deliv. Rev. 2002, 54, 203–222. [Google Scholar] [CrossRef]
- Greenwald, R.B.; Choe, Y.H.; McGuire, J.; Conover, C.D. Effective drug delivery by PEGylated drug conjugates. Adv. Drug Deliv. Rev. 2003, 55, 217–250. [Google Scholar] [CrossRef]
- Fechler, N.; Badi, N.; Schade, K.; Pfeifer, S.; Lutz, J.F. Thermogelation of PEG-based macromolecules of controlled architecture. Macromolecules 2009, 42, 33–36. [Google Scholar] [CrossRef]
- Jiang, X.G.; Jin, S.; Zhong, Q.X.; Dadmun, M.D.; Zhao, B. Stimuli-induced multiple sol-gel-sol transitions of aqueous solution of a thermo- and light-sensitive hydrophilic block copolymer. Macromolecules 2009, 42, 8468–8476. [Google Scholar] [CrossRef]
- Sun, K.H.; Sohn, Y.S.; Jeong, B. Thermogelling poly(ethylene oxide-b-propylene oxide-b-ethylene oxide) disulfide multiblock copolymer as a thiol-sensitive degradable polymer. Biomacromolecules 2006, 7, 2871–2877. [Google Scholar] [CrossRef] [PubMed]
- Anderson, B.C.; Cox, S.M.; Bloom, P.D.; Sheares, V.V.; Mallapragada, S.K. Synthesis and characterization of diblock and gel-forming pentablock copolymers of tertiary amine methacrylates, poly(ethylene glycol), and poly(propylene glycol). Macromolecule 2003, 36, 1670–1676. [Google Scholar] [CrossRef]
- Determan, M.D.; Guo, L.; Thiyagarajan, P.; Mallapragada, S.K. Supramolecular self-assembly of multiblock copolymers in aqueous solution. Langmuir 2006, 22, 1469–1473. [Google Scholar] [CrossRef] [PubMed]
- Shim, W.S.; Yoo, J.S.; Bae, Y.H.; Lee, D.S. Novel injectable pH and temperature sensitive block copolymer hydrogel. Biomacromolecules 2005, 6, 2930–2934. [Google Scholar] [CrossRef] [PubMed]
- Shim, W.S.; Kim, S.W.; Lee, D.S. Sulfonamide-based pH- and temperature-sensitive biodegradable block copolymer hydrogels. Biomacromolecules 2006, 7, 1935–1941. [Google Scholar] [CrossRef] [PubMed]
- Smith, A.E.; Xu, X.W.; Kirkland-York, S.E.; Savin, D.A.; McCormick, C.L. “Schizophrenic” self-assembly of block copolymers synthesized via aqueous RAFT polymerization: From micelles to vesicles. Macromolecules 2010, 43, 1210–1217. [Google Scholar] [CrossRef]
- Jiang, X.G.; Zhao, B. Tuning micellization and dissociation transitions of thermo- and pH-sensitive poly(ethylene oxide)-b-poly(methoxydi(ethylene glycol)methacrylate-co-methacrylic acid) in aqueous solution by combining temperature and pH triggers. Macromolecules 2008, 41, 9366–9375. [Google Scholar] [CrossRef]
- O’Lenick, T.G.; Jiang, X.M.; Zhao, B. Catalytic activity of a thermosensitive hydrophilic diblock copolymer-supported 4-N,N-dialkylaminopyridine in hydrolysis of p-nitrophenyl acetatein aqueous buffers. Polymer 2009, 50, 4363–4371. [Google Scholar] [CrossRef]
- Yin, X.C.; Hoffman, A.S.; Stayton, P.S. Poly(N-isopropylacrylamide-co-propylacrylic acid) copolymers that respond sharply to temperature and pH. Biomacromolecules 2006, 7, 1381–1385. [Google Scholar] [CrossRef] [PubMed]
- Lokitz, B.S.; York, A.W.; Stempka, J.E.; Treat, N.D.; Li, Y.T.; Jarrett, W.L.; McCormick, C.L. Aqueous RAFT synthesis of micelle-forming amphiphilic block copolymers containing N-acryloylvaline. Dual mode, temperature/pH responsiveness, and “locking” of micelle structure through interpolyelectrolyte complexation. Macromolecules 2007, 40, 6473–6480. [Google Scholar] [CrossRef]
- Yamamoto, S.I.; Pietrasik, J.; Matyjaszewski, K. Temperature- and pH-responsive dense copolymer brushes prepared by ATRP. Macromolecules 2008, 41, 7013–7020. [Google Scholar] [CrossRef]
- Wu, D.C.; Liu, Y.; He, C.B. Thermal- and pH-responsive degradable polymers. Macromolecules 2008, 41, 18–20. [Google Scholar] [CrossRef]
- Jones, J.A.; Novo, N.; Flagler, K.; Pagnucco, C.D.; Carew, S.; Cheong, C.; Kong, X.Z.; Burke, N.A.D.; Stover, H.D.H. Thermoresponsive copolymers of methacrylic acid and poly(ethylene glycol) methyl ether methacrylate. J. Polym. Sci. Part A Polym. Chem. 2005, 43, 6095–6104. [Google Scholar] [CrossRef]
- Weaver, J.V.M.; Adams, D.J. Synthesis and application of pH-responsive branched copolymer nanoparticles (PRBNs): A comparison with pH-responsive shell cross-linked micelles. Soft Matter 2010, 6, 2575–2582. [Google Scholar] [CrossRef]
- Liu, F.; Kozlovskaya, V.; Medipelli, S.; Xue, B.; Ahmad, F.; Saeed, M.; Cropek, D.; Kharlampieva, E. Temperature-sensitive polymersomes for controlled delivery of anticancer drugs. Chem. Mater. 2015, 27, 7945–7956. [Google Scholar] [CrossRef]
- Liang, X.; Liu, F.; Kozlovskaya, V.; Palchak, Z.; Kharlampieva, E. Thermoresponsive micelles from double LCST-poly(3-methyl-N-vinylcaprolactam) block copolymers for cancer therapy. ACS Macro Lett. 2015, 4, 308–311. [Google Scholar] [CrossRef]
- Chen, T.; Fang, Q.S.; Zhong, Q.; Chen, Y.Y.; Wang, J.P. Synthesis and thermosensitive behavior of polyacrylamide copolymers and their applications in smart textiles. Polymers 2015, 7, 909–920. [Google Scholar] [CrossRef]
- Yu, W.N.; Liu, S.X.; Wang, H.M.; Tian, R. Synthesis and micellization of P(NIPAM-co-HMAM)-b-PEO-b-P(NIPAM-co-HMAM) triblock copolymers. J. Polym. Res. 2012, 19, 9989–9995. [Google Scholar] [CrossRef]
- Kalyanasundaram, K.; Thomas, J.K. Environmental effects on vibronic band intensities in pyrene monomer fluorescence and their application in studies of micellar systems. J. Am. Chem. Soc. 1977, 99, 2039–2044. [Google Scholar] [CrossRef]
- Bromberg, L.E.; Barr, D.P. Aggregation phenomena in aqueous solutions of hydrophobically modified polyelectrolytes. A probe solubilization study. Macromolecules 1999, 32, 3649–3657. [Google Scholar] [CrossRef]
- Rao, J.Y.; Luo, Z.F.; Ge, Z.S.; Liu, H.; Liu, S.Y. “Schizophrenic” micellization associated with coil-to-helix transitions based on polypeptide hybrid double hydrophilic rod–coil diblock copolymer. Biomacromolecules 2007, 8, 3871–3878. [Google Scholar] [CrossRef] [PubMed]
- Yang, L.G.; Guo, C.; Jia, L.W.; Xie, K.; Shou, Q.G.; Liu, H.Z. Fabrication of biocompatible temperature- and pH-responsive magnetic nanoparticles and their reversible agglomeration in aqueous milieu. Ind. Eng. Chem. Res. 2010, 49, 8518–8525. [Google Scholar] [CrossRef]
- Khoo, K.-S.; Teh, E.-J.; Leong, Y.-K.; Ong, B.C. Hydrogen bonding and interparticle forces in platelet α-Al2O3 dispersions: Yield stress and zeta potential. Langmuir 2009, 25, 3418–3424. [Google Scholar] [CrossRef] [PubMed]
- Pinho, A.C.; Piedade, A.P. Zeta potential, contact angles, and AFM imaging of protein conformation adsorbed on hybrid nanocomposite surfaces. ACS Appl. Mater. Interfaces 2013, 5, 8187–8194. [Google Scholar] [CrossRef] [PubMed]
- Hsieh, S.-R.; Reddy, P.M.; Chang, C.-J.; Kumar, A.; Wu, W.-C.; Lin, H.-Y. Exploring the behavior of bovine serum albumin in response to changes in the chemical composition of responsive polymers: Experimental and simulation studies. Polymers 2016, 8, 238–252. [Google Scholar] [CrossRef]












© 2016 by the authors. Licensee MDPI, Basel, Switzerland. This article is an open access article distributed under the terms and conditions of the Creative Commons Attribution (CC-BY) license ( http://creativecommons.org/licenses/by/4.0/).
Share and Cite
Han, Y.; Liu, S.; Mao, H.; Tian, L.; Ning, W. Synthesis of Novel Temperature- and pH-Sensitive ABA Triblock Copolymers P(DEAEMA-co-MEO2MA-co-OEGMA)-b-PEG-b-P(DEAEMA-co-MEO2MA-co-OEGMA): Micellization, Sol–Gel Transitions, and Sustained BSA Release. Polymers 2016, 8, 367. https://doi.org/10.3390/polym8110367
Han Y, Liu S, Mao H, Tian L, Ning W. Synthesis of Novel Temperature- and pH-Sensitive ABA Triblock Copolymers P(DEAEMA-co-MEO2MA-co-OEGMA)-b-PEG-b-P(DEAEMA-co-MEO2MA-co-OEGMA): Micellization, Sol–Gel Transitions, and Sustained BSA Release. Polymers. 2016; 8(11):367. https://doi.org/10.3390/polym8110367
Chicago/Turabian StyleHan, Yanan, Shouxin Liu, Hongguang Mao, Lei Tian, and Wenyan Ning. 2016. "Synthesis of Novel Temperature- and pH-Sensitive ABA Triblock Copolymers P(DEAEMA-co-MEO2MA-co-OEGMA)-b-PEG-b-P(DEAEMA-co-MEO2MA-co-OEGMA): Micellization, Sol–Gel Transitions, and Sustained BSA Release" Polymers 8, no. 11: 367. https://doi.org/10.3390/polym8110367
APA StyleHan, Y., Liu, S., Mao, H., Tian, L., & Ning, W. (2016). Synthesis of Novel Temperature- and pH-Sensitive ABA Triblock Copolymers P(DEAEMA-co-MEO2MA-co-OEGMA)-b-PEG-b-P(DEAEMA-co-MEO2MA-co-OEGMA): Micellization, Sol–Gel Transitions, and Sustained BSA Release. Polymers, 8(11), 367. https://doi.org/10.3390/polym8110367
