Compression Response of Silicone-Based Composites with Integrated Multifunctional Fillers
Abstract
1. Introduction
2. Materials and Methods
2.1. Sample Preparation
2.2. Optical Microscopy
2.3. Thermogravimetric Analysis (TGA)
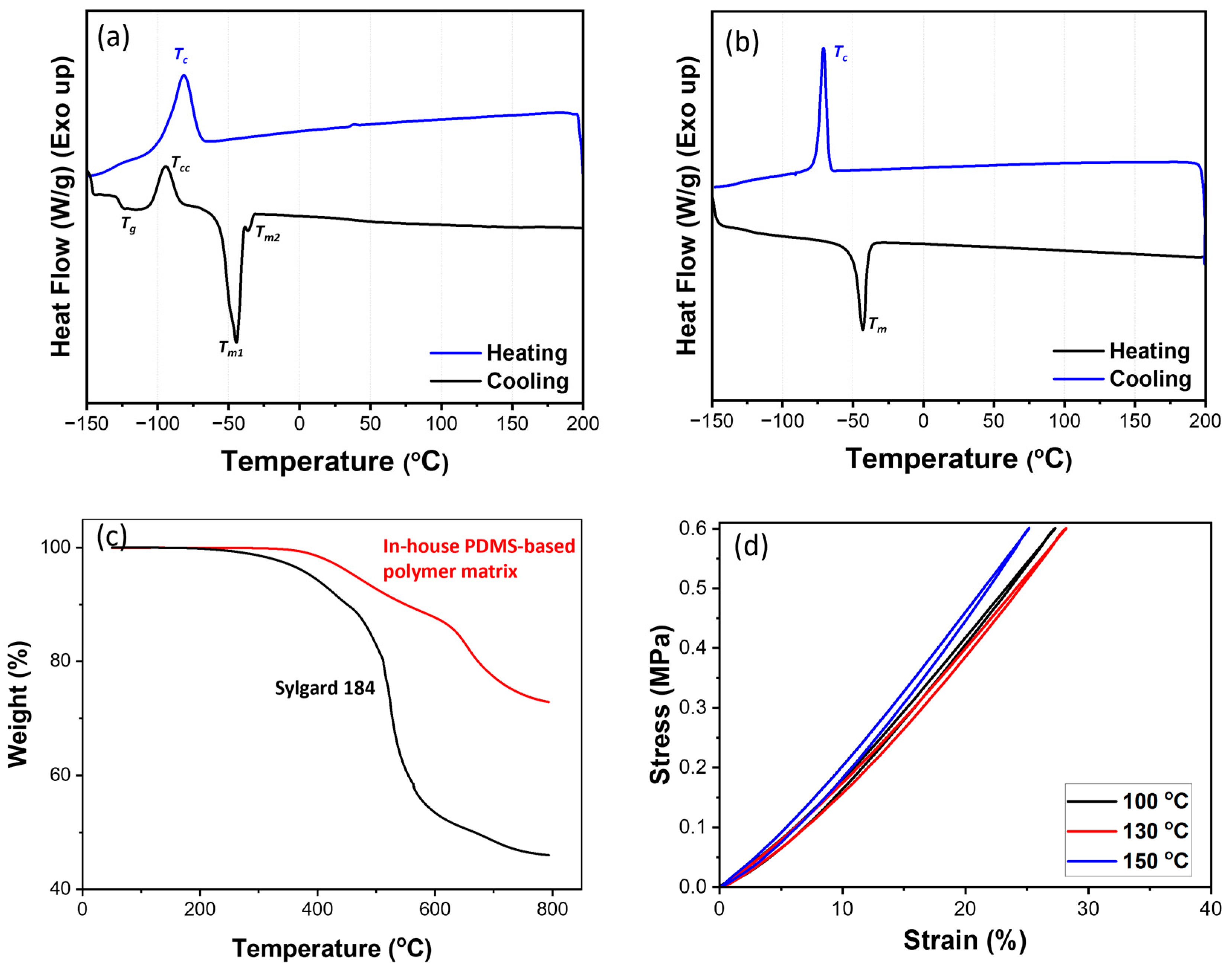
2.4. Differential Scanning Calorimetry (DSC)
2.5. Mechanical Testing
2.6. Density Determination
3. Results
3.1. Characterization of the PDMS-Based Polymer Matrix Properties
3.2. Characterization of PDMS Composites
3.3. Compressive Test Results of B/PDMS Composites
3.4. Compressive Test Results of HGM/PDMS Composites

3.5. Compressive Test Results of WHGM/PDMS Composites

3.6. Compressive Test Results of B/HGM/PDMS Composites

4. Conclusions
Supplementary Materials
Author Contributions
Funding
Institutional Review Board Statement
Data Availability Statement
Conflicts of Interest
References
- Siegfried, N.; Manfred, W. Silicone Rubbers Containing Aliphatic Diketones, Keto Alcohols and Ketone Acid Esters. U.S. Patent No. 3,143,519, 4 August 1964. [Google Scholar]
- Schneider, F.; Draheirn, J.; Kamberger, R.; Wallrabe, U. Process and material properties of polydimethylsiloxane (PDMS) for Optical MEMS. Sens. Actuators A 2009, 151, 95–99. [Google Scholar] [CrossRef]
- De Buyl, F. Silicone sealants and structural adhesives. Int. J. Adhes. Adhes. 2001, 21, 411–422. [Google Scholar] [CrossRef]
- Ubong, E.; Omar, F.; Jerzy, S. Recent developments and applications of protective silicone coatings: A review of PDMS functional materials. Prog. Org. Coat. 2017, 111, 124–163. [Google Scholar] [CrossRef]
- Qi, D.; Zhang, K.; Tian, G.; Jiang, B.; Huang, Y. Stretchable Electronics Based on PDMS Substrates. Adv. Mater. 2021, 33, e2003155. [Google Scholar] [CrossRef]
- Gupta, N.S.; Lee, K.S.; Labouriau, A. Tuning Thermal and Mechanical Properties of Polydimethylsiloxane with Carbon Fibers. Polymers 2021, 13, 1141. [Google Scholar] [CrossRef] [PubMed]
- Wolf, M.P.; Salieb-Beugelaar, G.B.; Hunziker, P. PDMS with designer functionalities-Properties, modifications strategies, and applications. Prog. Polym. Sci. 2018, 83, 97–134. [Google Scholar] [CrossRef]
- Alkhalaf, Q.; Pande, S.; Palkar, R.R. Review of Polydimethylsiloxane (PDMS) as a Material for Additive Manufacturing. In Innovative Design, Analysis and Development Practices in Aerospace and Automotive Engineering; Gascoin, N., Balasubramanian, E., Eds.; Lecture Notes in Mechanical Engineering; Springer: Singapore, 2021; pp. 265–275. [Google Scholar]
- Miranda, I.; Souza, A.; Sousa, P.; Ribeiro, J.; Castanheira, E.M.S.; Lima, R.; Minas, G. Properties and Applications of PDMS for Biomedical Engineering: A Review. J. Funct. Biomater. 2021, 13, 2. [Google Scholar] [CrossRef]
- Gayani, B.; Senarathna, D.; Weerasekera, M.M.; Kottegoda, N.; Ratnaweera, D.R. Improving superhydrophobicity of polydimethylsiloxanes using embedding fluorinated polyhedral oligomeric silsesquioxanes cages. SN Appl. Sci. 2020, 2, 1944. [Google Scholar] [CrossRef]
- Ariati, R.; Sales, F.; Souza, A.; Lima, R.A.; Ribeiro, J. Polydimethylsiloxane Composites Characterization and Its Applications: A Review. Polymers 2021, 13, 4258. [Google Scholar] [CrossRef] [PubMed]
- Yan, J.; Kim, B.; Jeong, Y.G. Thermomechanical and electrical properties of PDMS/MWCNT composite films crosslinked by electron beam irradiation. J. Mater. Sci. 2015, 50, 5599–5608. [Google Scholar] [CrossRef]
- Chen, J.; Zhu, Y.; Jiang, W. A stretchable and transparent strain sensor based on sandwich-like PDMS/CNTs/PDMS composite containing an ultrathin conductive CNT layer. Compos. Sci. Technol. 2020, 186, 107938. [Google Scholar] [CrossRef]
- Lee, K.-S.; Park, C.H.; Labouriau, A.; Lee, S.Y.; Zhao, J. Computer-aided tuning of silica/poly (dimethylsiloxane) composites for 3D printing process: A computational and experimental study. Mater. Chem. Phys. 2022, 285, 126172. [Google Scholar] [CrossRef]
- Shivashankar, H.; Rajole, S.; Sondar, P.; Mathias, K.A.; Kulkarni, S. Physico-mechanical behavior of carbon black-infused polymer composite. Bull. Mater. Sci. 2022, 45, 6. [Google Scholar] [CrossRef]
- Maram, S.K.; Barron, B.; Leung, J.C.; Pallapa, M.; Rezai, P. Fabrication and thermoresistive behavior characterization of three-dimensional silver-polydimethylsiloxane (Ag-PDMS) microbridges in a mini-channel. Sens. Actuator A-Phys. 2018, 277, 43–51. [Google Scholar] [CrossRef]
- Jing, T.; Xu, B.; Yang, Y. Liquid doping materials as micro-carrier of functional molecules for functionalization of triboelectric materials and flexible triboelectric nanogenerators for energy harvesting and gesture detection. Nano Energy 2020, 74, 104856. [Google Scholar] [CrossRef]
- Talley, S.J.; Branch, B.; Welch, C.F.; Park, C.H.; Watt, J.; Kuettner, L.; Patterson, B.; Dattelbaum, D.M.; Lee, K.-S. Impact of filler composition on mechanical and dynamic response of 3-D printed silicone-based nanocomposite elastomers. Compos. Sci. Technol. 2020, 198, 108258. [Google Scholar] [CrossRef]
- Liu, J.; Yao, Y.; Li, X.H.; Zhang, Z.J. Fabrication of advanced polydimethylsiloxane-based functional materials: Bulk modifications and surface functionalizations. Chem. Eng. J. 2021, 408, 127262. [Google Scholar] [CrossRef]
- Tony, A.; Badea, I.; Yang, C.; Liu, Y.; Wells, G.; Wang, K.; Yin, R.; Zhang, H.; Zhang, W. The Additive Manufacturing Approach to Polydimethylsiloxane (PDMS) Microfluidic Devices: Review and Future Directions. Polymers 2023, 15, 1926. [Google Scholar] [CrossRef]
- Cataldo, F.; Prata, M. New composites for neutron radiation shielding. J. Radioanal. Nucl. Chem. 2019, 320, 831–839. [Google Scholar] [CrossRef]
- Oğul, H.; Polat, H.; Akman, F.; Kaçal, M.R.; Dilsiz, K.; Bulut, F.; Agar, O. Gamma and Neutron Shielding Parameters of Polyester-based composites reinforced with boron and tin nanopowders. Radiat. Phys. Chem. 2022, 201, 110474. [Google Scholar] [CrossRef]
- Ogul, H.; Agar, O.; Bulut, F.; Kacal, M.R.; Dilsiz, K.; Polat, H.; Akman, F. A comparative neutron and gamma-ray radiation shielding investigation of molybdenum and boron filled polymer composites. Appl. Radiat. Isot. 2023, 194, 110731. [Google Scholar] [CrossRef] [PubMed]
- Dong, M.; Zhou, S.; Yang, H.; Xue, X. Gamma ray attenuation behaviors and mechanism of boron rich slag/ epoxy resin shielding composites. Nucl. Eng. Technol. 2023, 55, 2613–2620. [Google Scholar] [CrossRef]
- Ferreira, J.A.M.; Capela, C.; Costa, J.D. A study of the mechanical behaviour on fibre reinforced hollow microspheres hybrid composites. Compos. Part A Appl. Sci. Manuf. 2010, 41, 345–352. [Google Scholar] [CrossRef]
- Zhang, Y.-l.; Zang, C.-g.; Jiao, Q.-j.; She-li, Y.-f. Heat-insulating materials with high-temperature resistance through binding hollow glass microspheres with vinyl-functionalized polyborosiloxane. J. Mater. Sci. 2020, 55, 14264–14279. [Google Scholar] [CrossRef]
- Cai, F.; Gao, S.; Bao, Y.; Sun, J.; Si, Y.; Fu, Y. Robust 3D-trapezoid composite fabric withstanding repeat impact/compression for personal protection. Compos. Struct. 2021, 273, 114333. [Google Scholar] [CrossRef]
- Zhang, C.; Gou, X.F.; Xiao, R. Hysteresis in glass microsphere filled elastomers under cyclic loading. Polym. Test. 2021, 95, 107081. [Google Scholar] [CrossRef]
- Vlassov, S.; Oras, S.; Timusk, M.; Zadin, V.; Tiirats, T.; Sosnin, I.M.; Lohmus, R.; Linarts, A.; Kyritsakis, A.; Dorogin, L.M. Thermal, Mechanical, and Acoustic Properties of Polydimethylsiloxane Filled with Hollow Glass Microspheres. Materials 2022, 15, 1652. [Google Scholar] [CrossRef] [PubMed]
- Garza-Cruz, T.V.; Nakagawa, M. On a hybrid method to characterize the mechanical behavior of thin hollow glass microspheres. Granul. Matter 2012, 14, 309–318. [Google Scholar] [CrossRef]
- Joseph, E.J.; Panneerselvam, K. Effect of particulate fillers on mechanical, metallurgical and abrasive behavior of tungsten reinforced HDPE composites: A Taguchi approach. Mater. Today Proc. 2021, 39, 1228–1234. [Google Scholar] [CrossRef]
- Bahadur, S.; Gong, D. The action of fillers in the modification of the tribological behavior of polymers. Wear 1992, 158, 41–59. [Google Scholar] [CrossRef]
- Uhm, Y.R.; Kim, J.; Son, K.J.; Kim, C.S. Effect of particle size, dispersion, and particle–matrix adhesion on W reinforced polymer composites. Res. Chem. Intermed. 2014, 40, 2145–2153. [Google Scholar] [CrossRef]
- Shemelya, C.M.; Rivera, A.; Perez, A.T.; Rocha, C.; Liang, M.; Yu, X.; Kief, C.; Alexander, D.; Stegeman, J.; Xin, H. Mechanical, electromagnetic, and X-ray shielding characterization of a 3D printable tungsten–polycarbonate polymer matrix composite for space-based applications. J. Electron. Mater. 2015, 44, 2598–2607. [Google Scholar] [CrossRef]
- Adlienė, D.; Gilys, L.; Griškonis, E. Development and characterization of new tungsten and tantalum containing composites for radiation shielding in medicine. Nucl. Instrum. Methods Phys. Res. Sect. B Beam Interact. Mater. At. 2020, 467, 21–26. [Google Scholar] [CrossRef]
- Wang, B.; Krause, S. Properties of dimethylsiloxane microphases in phase-separated dimethylsiloxane block copolymers. Macromolecules 1987, 20, 2201–2208. [Google Scholar] [CrossRef]
- ASTM D575-91(2024); Standard Test Methods for Rubber Properties in Compression. ASTM International: West Conshohocken, PA, USA, 2024.
- ASTM D2240-15; Standard Test Method for Rubber Property—Durometer Hardness. ASTM International: West Conshohocken, PA, USA, 2015.
- Seong, J.G.; Lewis, J.C.; Matteson, J.A.; Craddock, E.; Martinez, U.; Thakkar, H.; Benavidez, A.D.; Berchtold, K.A.; Singh, R.P. Polybenzimidazole-derived carbon molecular sieve hollow fiber membranes with tailored oxygen selective transport. Carbon 2022, 192, 71–83. [Google Scholar] [CrossRef]
- Liu, J.; Goss, J.; Calverley, T.; Liu, Y.; Broomall, C.; Kang, J.; Golombeski, R.; Anaya, D.; Moe, B.; Mabe, K.; et al. Carbon molecular sieve fiber with 3.4–4.9 Angstrom effective micropores for propylene/propane and other gas separations. Microporous Mesoporous Mater. 2020, 305, 110341. [Google Scholar] [CrossRef]
- Mehdikhani, M.; Gorbatikh, L.; Verpoest, I.; Lomov, S.V. Voids in fiber-reinforced polymer composites: A review on their formation, characteristics, and effects on mechanical performance. J. Compos. Mater. 2019, 53, 1579–1669. [Google Scholar] [CrossRef]
- ASTM D2734-16; Standard Test Method for Void Content of Reinforced Plastics. ASTM International: West Conshohocken, PA, USA, 2016.
- Talley, S.J.; Robison, T.; Long, A.M.; Lee, S.Y.; Brounstein, Z.; Lee, K.-S.; Geller, D.; Lum, E.; Labouriau, A. Flexible 3D printed silicones for gamma and neutron radiation shielding. Radiat. Phys. Chem. 2021, 188, 109616. [Google Scholar] [CrossRef]
- Wu, H.; Chen, J.; Jiang, T.; Wu, W.; Li, M.; Zhang, S.; Li, Z.; Ye, H.; Zhu, M.; Zhou, J.; et al. Effect of Eccentricity Difference on the Mechanical Response of Microfluidics-Derived Hollow Silica Microspheres during Nanoindentation. Micromachines 2024, 15, 109. [Google Scholar] [CrossRef]






| Composition (wt.%) | Hardness (Shore A) | Density (g/cm3) | PDMS-Based Polymer Matrix (vol.%) | Filler (vol.%) | Void (vol.%) | Elastic Modulus (MPa) | |
|---|---|---|---|---|---|---|---|
| Theore. | Measured | ||||||
| PDMS-based polymer matrix (100) | 5.1 | 1.05 | 1.05 | 100 | - | - | |
| B 65 | 54.8 | 1.62 | 1.63 | 54.1 | 45.9 | 0.00 | 1.86 |
| B 70 | 60.6 | 1.69 | 1.64 | 46.9 | 49.9 | 3.23 | 1.91 |
| B 75 | 69.2 | 1.77 | 1.72 | 41.0 | 56.1 | 2.96 | 1.97 |
| B 80 | 81.5 | 1.86 | 1.81 | 34.5 | 63.0 | 2.57 | 2.01 |
| B 85 | 75.3 | 1.95 | 1.83 | 26.1 | 67.6 | 6.23 | 2.48 |
| HGM 10 | 37.8 | 0.85 | 0.85 | 73.3 | 26.7 | 0.00 | 1.95 |
| HGM 20 | 43.4 | 0.72 | 0.70 | 53.3 | 43.8 | 2.92 | 2.07 |
| HGM 30 | 56.5 | 0.62 | 0.61 | 40.7 | 57.2 | 2.15 | 2.62 |
| HGM 35 | 59.9 | 0.58 | 0.59 | 36.1 | 63.9 | 0.00 | 2.99 |
| HGM 40 | 45.0 | 0.55 | 0.55 | 31.4 | 68.6 | 0.00 | 1.31 |
| WHGM 10 | 11.3 | 1.03 | 1.00 | 85.7 | 11.5 | 2.79 | 1.28 |
| WHGM 15 | 13.9 | 1.02 | 0.98 | 79.3 | 16.9 | 3.77 | 1.43 |
| WHGM 30 | 32.2 | 0.99 | 0.96 | 64.0 | 33.1 | 2.90 | 3.14 |
| WHGM 40 | 42.0 | 0.97 | 0.97 | 55.4 | 44.6 | 0.00 | 3.19 |
| WHGM 50 | 48.5 | 0.95 | 0.94 | 44.8 | 54.0 | 1.22 | 3.59 |
| B 65/HGM 5 | 53.0 | 1.38 | 1.35 | 38.6 | 59.2 | 2.18 | 2.58 |
| B 50/HGM 10 | 54.1 | 1.10 | 1.12 | 41.8 | 58.2 | 0.00 | 2.75 |
| B 45/HGM 20 | 51.4 | 0.87 | 0.86 | 28.7 | 70.6 | 0.76 | 10.15 |
Disclaimer/Publisher’s Note: The statements, opinions and data contained in all publications are solely those of the individual author(s) and contributor(s) and not of MDPI and/or the editor(s). MDPI and/or the editor(s) disclaim responsibility for any injury to people or property resulting from any ideas, methods, instructions or products referred to in the content. |
© 2025 by the authors. Licensee MDPI, Basel, Switzerland. This article is an open access article distributed under the terms and conditions of the Creative Commons Attribution (CC BY) license (https://creativecommons.org/licenses/by/4.0/).
Share and Cite
Bak, I.; Kim, J.; Ruba, A.J.; Ross, D.J.; Lee, K.-S. Compression Response of Silicone-Based Composites with Integrated Multifunctional Fillers. Polymers 2025, 17, 500. https://doi.org/10.3390/polym17040500
Bak I, Kim J, Ruba AJ, Ross DJ, Lee K-S. Compression Response of Silicone-Based Composites with Integrated Multifunctional Fillers. Polymers. 2025; 17(4):500. https://doi.org/10.3390/polym17040500
Chicago/Turabian StyleBak, Ingyu, Jihyeon Kim, Andrew Jacob Ruba, David John Ross, and Kwan-Soo Lee. 2025. "Compression Response of Silicone-Based Composites with Integrated Multifunctional Fillers" Polymers 17, no. 4: 500. https://doi.org/10.3390/polym17040500
APA StyleBak, I., Kim, J., Ruba, A. J., Ross, D. J., & Lee, K.-S. (2025). Compression Response of Silicone-Based Composites with Integrated Multifunctional Fillers. Polymers, 17(4), 500. https://doi.org/10.3390/polym17040500

