Stability and Bioaccessibility of Quercetin-Enriched Pickering Emulsion Gels Stabilized by Cellulose Nanocrystals Extracted from Rice Bran
Abstract
1. Introduction
2. Experimental
2.1. Materials
2.2. Preparation of CNCs from Rice Bran
2.3. Characterization of CNCs Isolated from Rice Bran
2.4. Preparation of PE and PEGs
2.5. Particle Size and Zeta Potential of the Emulsions
2.6. Confocal Laser Scanning Microscopy of Emulsions
2.7. Rheological Performance of the Emulsions
2.8. Stability of the Emulsions
2.9. Storage Stability of the Emulsions
2.10. Oxidative Stability of Emulsions
2.11. Antioxidation Activity (AA) of the Emulsions
2.12. Encapsulation Rate and Bioaccessibility of the Quercetin
3. Results and Discussion
3.1. Characterization of CNCs Isolated from Rice Bran
3.2. Emulsion Particle Size, Zeta-Potential Analysis
3.3. Laser Confocal Microscopy Analysis of Emulsions
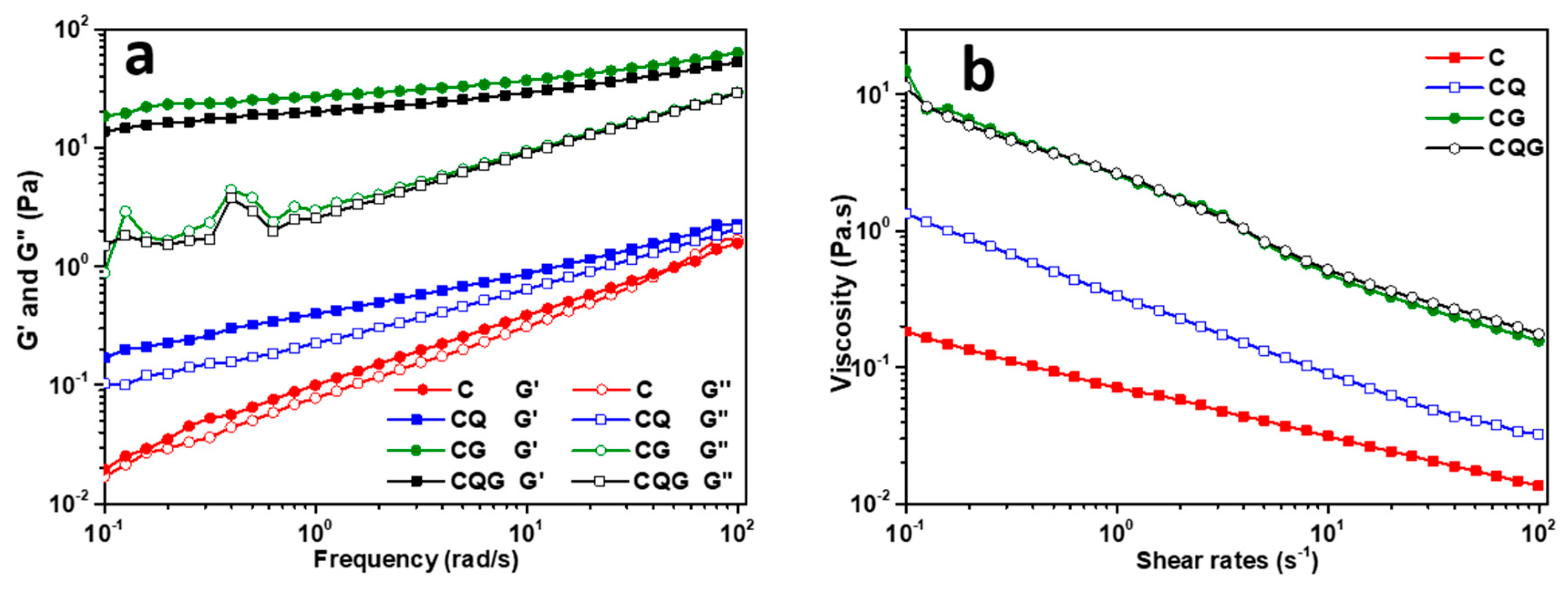
3.4. Rheological Analysis
3.5. Stability Analysis
3.6. Storage Stability Analysis
3.7. Oxidative Stability Analysis
3.8. Antioxidant Properties, Encapsulation Rate, and Bioaccessibility Analysis
4. Conclusions
Author Contributions
Funding
Data Availability Statement
Conflicts of Interest
References
- Kumar, V.D.; Verma, P.R.P.; Singh, S.K. Morphological and in vitro antibacterial efficacy of quercetin loaded nanoparticles against food-borne microorganisms. LWT-Food Sci. Technol. 2016, 66, 638–650. [Google Scholar] [CrossRef]
- Kizilbey, K. Optimization of Rutin-Loaded PLGA Nanoparticles Synthesized by Single-Emulsion Solvent Evaporation Method. ACS Omega 2019, 4, 555–562. [Google Scholar] [CrossRef]
- Lei, Z.; Ning, M.; Yiliang, W.; Liyan, Z.; Gaoxing, M.; Fei, P.; Qiuhui, H. Gastrointestinal fate and antioxidation of beta-carotene emulsion prepared by oat protein isolate-Pleurotus ostreatus beta-glucan conjugate. Carbohydr. Polym. 2019, 221, 10–20. [Google Scholar] [CrossRef]
- Luo, Z.J.; Murray, B.S.; Yusoff, A.; Morgan, M.R.A.; Povey, M.J.W.; Day, A.J. Particle-Stabilizing Effects of Flavonoids at the Oil-Water Interface. J. Agric. Food Chem. 2011, 59, 2636–2645. [Google Scholar] [CrossRef] [PubMed]
- Corrêa, A.C.; Carmona, V.B.; Simao, J.A.; Galvani, F.; Marconcini, J.M.; Mattoso, L.H.C. Cellulose Nanocrystals from Fibers of Macauba (Acrocomia aculeata) and Gravata (Bromelia balansae) from Brazilian Pantanal. Polymers 2019, 11, 1785. [Google Scholar] [CrossRef]
- Tong, Y.Q.; Huang, S.T.; Meng, X.J.; Wang, Y.X. Aqueous-Cellulose-Solvent-Derived Changes in Cellulose Nanocrystal Structure and Reinforcing Effects. Polymers 2023, 15, 3030. [Google Scholar] [CrossRef] [PubMed]
- Fatma, K.; Fedia, B.; Ramzi, K.; Araceli, G.; Julien, B.; Ellouz, C.S. Isolation and structural characterization of cellulose nanocrystals extracted from garlic straw residues. Ind. Crops Prod. 2016, 87, 287–296. [Google Scholar] [CrossRef]
- Goswami, A.S.; Rawat, R.; Pillai, P.; Saw, R.K.; Joshi, D.; Mandal, A. Formulation and characterization of nanoemulsions stabilized by nonionic surfactant and their application in enhanced oil recovery. Pet. Sci. Technol. 2023, 1, 19. [Google Scholar] [CrossRef]
- Cunha, A.G.; Mougel, J.B.; Cathala, B.; Berglund, L.A.; Capron, I. Preparation of double Pickering emulsions stabilized by chemically tailored nanocelluloses. Langmuir 2014, 30, 9327–9335. [Google Scholar] [CrossRef]
- Gao, H.; Ma, L.; Cheng, C.; Liu, J.; Liang, R.; Zou, L.; Liu, W.; McClements, D.J. Review of recent advances in the preparation, properties, and applications of high internal phase emulsions. Trends Food Sci. Technol. 2021, 112, 36–49. [Google Scholar] [CrossRef]
- Liu, J.; Song, G.; Yuan, Y.; Zhou, L.; Wang, D.; Yuan, T.; Li, L.; He, G.; Yang, Q.; Xiao, G.; et al. Ultrasound-assisted assembly of β-lactoglobulin and chlorogenic acid for non covalent nanocomplex: Fabrication, characterization and potential biological function. Ultrason. Sonochem. 2022, 86, 106025. [Google Scholar] [CrossRef] [PubMed]
- Pan, J.; Tang, L.; Dong, Q.; Li, Y.; Zhang, H. Effect of oleogelation on physical properties and oxidative stability of camellia oil-based oleogels and oleogel emulsions. Food Res. Int. 2021, 140, 110057. [Google Scholar] [CrossRef] [PubMed]
- Johar, N.; Ahmad, I.; Dufresne, A. Extraction, preparation and characterization of cellulose fibres and nanocrystals from rice husk. Ind. Crops Prod. 2012, 37, 93–99. [Google Scholar] [CrossRef]
- Kamran, S.M.; Sadiq, B.M.; Muhammad, A.F.; Hafiz, K.S. Rice Bran: A Novel Functional Ingredient. Crit. Rev. Food Sci. Nutr. 2014, 54, 807–816. [Google Scholar] [CrossRef]
- Arman, S.; Hadavi, M.; Rezvani-Noghani, A.; Bakhtparvar, A.; Fotouhi, M.; Farhang, A.; Mokaberi, P.; Taheri, R.; Chamani, J. Cellulose nanocrystals from celery stalk as quercetin scaffolds: A novel perspective of human holo-transferrin adsorption and digestion behaviours. Luminescence 2024, 39, 16. [Google Scholar] [CrossRef]
- Li, X.H.; Liu, Y.Z.; Yu, Y.Y.; Chen, W.S.; Liu, Y.X.; Yu, H.P. Nanoformulations of quercetin and cellulose nanofibers as healthcare supplements with sustained antioxidant activity. Carbohydrate. Polymers. 2019, 207, 160–168. [Google Scholar] [CrossRef]
- Milutinov, J.; Krstonosic, V.; Cirin, D.; Pavlovic, N. Emulgels: Promising Carrier Systems for Food Ingredients and Drugs. Polymers 2023, 15, 2302. [Google Scholar] [CrossRef]
- Wang, N.Z.; Zhang, K.D.; Chen, Y.R.; Hu, J.; Jiang, Y.Q.; Wang, X.B.; Ban, Q.F. Tuning whey protein isolate/hyaluronic acid emulsion gel structure to enhance quercetin bioaccessibility and in vitro digestive characteristics. Food Chem. 2023, 429, 136910. [Google Scholar] [CrossRef]
- Chen, X.; McClements, D.J.; Wang, J.; Zou, L.Q.; Deng, S.M.; Liu, W.; Yan, C.; Zhu, Y.Q.; Cheng, C.; Liu, C.M. Coencapsulation of (-)-Epigallocatechin-3-gallate and Quercetin in Particle-Stabilized W/O/W Emulsion Gels: Controlled Release and Bioaccessibility. J. Agric. Food Chem. 2018, 66, 3691–3699. [Google Scholar] [CrossRef]
- Zhang, H.; Tan, S.M.; Gan, H.M.; Zhang, H.J.; Xia, N.; Jiang, L.W.; Ren, H.W.; Zhang, X.A. Investigation of the formation mechanism and β-carotene encapsulation stability of emulsion gels based on egg yolk granules and sodium alginate. Food Chem. 2023, 400, 134032. [Google Scholar] [CrossRef]
- Song, X.Y.; Pei, Y.Q.; Qiao, M.W.; Ma, F.L.; Ren, H.T.; Zhao, Q.Z. Preparation and characterizations of Pickering emulsions stabilized by hydrophobic starch particles. Food Hydrocoll. 2015, 45, 256–263. [Google Scholar] [CrossRef]
- Chang, S.Q.; Chen, X.; Liu, S.W.; Wang, C. Novel gel-like Pickering emulsions stabilized solely by hydrophobic starch nanocrystals. Int. J. Biol. Macromol. 2020, 152, 703–708. [Google Scholar] [CrossRef]
- Rosa, M.F.; Medeiros, E.S.; Malmonge, J.A.; Gregorski, K.S.; Wood, D.F.; Mattoso, L.H.C.; Glenn, G.; Orts, W.J.; Imam, S.H. Cellulose nanowhiskers from coconut husk fibers: Effect of preparation conditions on their thermal and morphological behavior. Carbohydr. Polym. 2010, 81, 83–92. [Google Scholar] [CrossRef]
- Li, R.; He, Q.; Guo, M.; Yuan, J.; Wu, Y.; Wang, S.; Rong, L.; Li, J. Universal and simple method for facile fabrication of sustainable high internal phase emulsions solely using meat protein particles with various pH values. Food Hydrocoll. 2020, 100, 105444. [Google Scholar] [CrossRef]
- Kalita, E.; Nath, B.; Deb, P.; Agan, F.; Islam, R.; Saikia, K. High quality fluorescent cellulose nanofibers from endemic rice husk: Isolation and characterization. Carbohydr. Polym. 2015, 122, 308–313. [Google Scholar] [CrossRef]
- Sarkar, A.; Dickinson, E. Sustainable food-grade Pickering emulsions stabilized by plant-based particles. Curr. Opin. Colloid Interface Sci. 2020, 49, 69–81. [Google Scholar] [CrossRef]
- Sun, L.H.; Wang, Y.Y.; Gong, Y.Q. Life cycle assessment of rice bran oil production: A case study in China. Environ. Sci. Pollut. Res. 2022, 29, 39847–39859. [Google Scholar] [CrossRef] [PubMed]
- Wang, S.; Yang, J.; Shao, G.; Qu, D.; Zhao, H.; Yang, L.; Zhu, L.; He, Y.; Liu, H.; Zhu, D. Soy protein isolated-soy hull polysaccharides stabilized O/W emulsion: Effect of polysaccharides concentration on the storage stability and interfacial rheological properties. Food Hydrocoll. 2020, 101, 105490. [Google Scholar] [CrossRef]
- Thamonwan, A.; Athikhun, S.; Sukrit, T.; Wilailak, C.; Jirada, S. Fabrication and characterization of rice bran oil-in-water Pickering emulsion stabilized by cellulose nanocrystals. Colloids Surf. A Physicochem. Eng. Asp. 2017, 522, 310–319. [Google Scholar] [CrossRef]
- Wang, W.Y.; Sun, C.X.; Mao, L.K.; Ma, P.H.; Liu, F.G.; Yang, J.; Gao, Y.X. The biological activities, chemical stability, metabolism and delivery systems of quercetin: A review. Trends Food Sci. Technol. 2016, 56, 21–38. [Google Scholar] [CrossRef]
- Chen, W.; Ju, X.; Aluko, R.E.; Zou, Y.; Wang, Z.; Liu, M.; He, R. Rice bran protein-based nanoemulsion carrier for improving stability and bioavailability of quercetin. Food Hydrocoll. 2020, 108, 106042. [Google Scholar] [CrossRef]
- Qi, W.; Li, T.; Zhang, Z.; Wu, T. Preparation and characterization of oleogel-in-water pickering emulsions stabilized by cellulose nanocrystals—ScienceDirect. Food Hydrocoll. 2020, 110, 106206. [Google Scholar] [CrossRef]
- Xiao, J.; Lo, C.; Huang, Q.R. Kafirin Nanoparticle-Stabilized Pickering Emulsions as Oral Delivery Vehicles: Physicochemical Stability and in Vitro Digestion Profile. J. Agric. Food Chem. 2015, 63, 10263–10270. [Google Scholar] [CrossRef] [PubMed]
- Moonchai, D.; Moryadee, N.; Poosodsang, N. Comparative properties of natural rubber vulcanisates filled with defatted rice bran, clay and calcium carbonate. Maejo Int. J. Sci. Technol. 2012, 6, 249–258. [Google Scholar]
- Wu, X.; Li, F.; Wu, W. Effects of rice bran rancidity on the oxidation and structural characteristics of rice bran protein. LWT 2020, 120, 108943. [Google Scholar] [CrossRef]
- Zhang, X.; Qi, B.; Xie, F.; Hu, M.; Sun, Y.; Han, L.; Li, L.; Zhang, S.; Li, Y. Emulsion stability and dilatational rheological properties of soy/whey protein isolate complexes at the oil-water interface: Influence of pH. Food Hydrocoll. 2021, 113, 106391. [Google Scholar] [CrossRef]
- Xu, N.; Wu, X.L.; Zhu, Y.Q.; Miao, J.Y.; Gao, Y.; Cheng, C.; Peng, S.F.; Zou, L.Q.; McClements, D.J.; Liu, W. Enhancing the oxidative stability of algal oil emulsions by adding sweet orange oil: Effect of essential oil concentration. Food Chem. 2021, 355, 129508. [Google Scholar] [CrossRef]
- Xu, Q.Q.; Qi, B.K.; Han, L.; Wang, D.Q.; Zhang, S.; Jiang, L.Z.; Xie, F.Y.; Li, Y. Study on the gel properties, interactions, and pH stability of pea protein isolate emulsion gels as influenced by inulin. LWT Food Sci. Technol. 2021, 137, 110421. [Google Scholar] [CrossRef]
- Aditya, N.; Macedo, A.S.; Doktorovova, S.; Souto, E.B.; Kim, S.; Chang, P.-S.; Ko, S. Development and evaluation of lipid nanocarriers for quercetin delivery: A comparative study of solid lipid nanoparticles (SLN), nanostructured lipid carriers (NLC), and lipid nanoemulsions (LNE). LWT Food Sci. Technol. 2014, 59, 115–121. [Google Scholar] [CrossRef]
- Yao, X.; Cao, J.; Teng, W.; Li, J.; Wang, J. Effects of W/O Nanoemulsion on Improving the Color Tone of Beijing Roast Duck. Foods 2023, 12, 613. [Google Scholar] [CrossRef]
- Xiao, Y.; Liu, Y.; Wang, X.; Li, M.; Lei, H.; Xu, H. Cellulose nanocrystals prepared from wheat bran: Characterization and cytotoxicity assessment. Int. J. Biol. Macromol. 2019, 140, 225–233. [Google Scholar] [CrossRef] [PubMed]
- Wu, Y.; Chen, F.; Zhang, C.; Lu, W.; Gao, Z.; Xu, L.; Wang, R.; Nishinari, K. Improve the physical and oxidative stability of O/W emulsions by moderate solidification of the oil phase by stearic acid. LWT 2021, 151, 112120. [Google Scholar] [CrossRef]
- Zhao, G.H.; Zhang, R.F.; Dong, L.H.; Huang, F.; Tang, X.J.; Wei, Z.C.; Zhang, M.W. Particle size of insoluble dietary fiber from rice bran affects its phenolic profile, bioaccessibility and functional properties. LWT Food Sci. Technol. 2018, 87, 450–456. [Google Scholar] [CrossRef]







| Samples | d[4,3] (μm) | d[3,2] (μm) | ζ-Potential (mV) |
|---|---|---|---|
| C | 4.59 ± 0.01 c | 2.93 ± 0.01 b | −41.0 ± 0.15 a |
| CQ | 3.17 ± 0.03 d | 2.24 ± 0.01 d | −41.5 ± 0.17 a |
| CG | 7.12 ± 0.10 a | 3.15 ± 0.01 a | −12.7 ± 0.29 b |
| CQG | 6.91 ± 0.06 b | 2.54 ± 0.01 c | −11.5 ± 0.29 c |
| Samples | C | CT | CG | CQG | |
|---|---|---|---|---|---|
| Day 0 | d[4,3] (μm) | 4.91 ± 0.01 a | 3.29 ± 0.03 a | 5.08 ± 0.01 c | 4.37 ± 0.08 c |
| d[3,2] (μm) | 2.87 ± 0.01 b | 2.29 ± 0.01 a | 2.86 ± 0.00 c | 2.41 ± 0.01 c | |
| ζ-potential (mV) | −42.4 ± 0.21 a | −41.0 ± 0.29 b | −26.8 ± 0.68 a | −27.9 ± 0.26 a | |
| Day 07 | d[4,3] (μm) | 4.59 ± 0.01 b | 3.17 ± 0.03 b | 7.12 ± 0.10 b | 6.91 ± 0.06 b |
| d[3,2] (μm) | 2.93 ± 0.01 a | 2.24 ± 0.01 a | 3.15 ± 0.01 b | 2.54 ± 0.01 b | |
| ζ-potential (mV) | −41.0 ± 0.15 b | −41.5 ± 0.17 a | −25.9 ± 0.06 b | −27.1 ± 0.45 a | |
| Day 14 | d[4,3] (μm) | 4.07 ± 0.02 c | 2.85 ± 0.05 c | 10.8 ± 0.10 a | 9.88 ± 0.11 a |
| d[3,2] (μm) | 2.17 ± 0.01 c | 1.85 ± 0.01 b | 3.33 ± 0.02 a | 2.69 ± 0.02 a | |
| ζ-potential (mV) | −40.0 ± 0.06 c | −40.4 ± 0.26 c | −12.7 ± 0.29 c | −11.5 ± 0.29 b | |
Disclaimer/Publisher’s Note: The statements, opinions and data contained in all publications are solely those of the individual author(s) and contributor(s) and not of MDPI and/or the editor(s). MDPI and/or the editor(s) disclaim responsibility for any injury to people or property resulting from any ideas, methods, instructions or products referred to in the content. |
© 2024 by the authors. Licensee MDPI, Basel, Switzerland. This article is an open access article distributed under the terms and conditions of the Creative Commons Attribution (CC BY) license (https://creativecommons.org/licenses/by/4.0/).
Share and Cite
Wang, G.; Li, J.; Yan, X.; Meng, Y.; Zhang, Y.; Chang, X.; Cai, J.; Liu, S.; Ding, W. Stability and Bioaccessibility of Quercetin-Enriched Pickering Emulsion Gels Stabilized by Cellulose Nanocrystals Extracted from Rice Bran. Polymers 2024, 16, 868. https://doi.org/10.3390/polym16070868
Wang G, Li J, Yan X, Meng Y, Zhang Y, Chang X, Cai J, Liu S, Ding W. Stability and Bioaccessibility of Quercetin-Enriched Pickering Emulsion Gels Stabilized by Cellulose Nanocrystals Extracted from Rice Bran. Polymers. 2024; 16(7):868. https://doi.org/10.3390/polym16070868
Chicago/Turabian StyleWang, Guozhen, Jin Li, Xiaoqin Yan, Yan Meng, Yanpeng Zhang, Xianhui Chang, Jie Cai, Shilin Liu, and Wenping Ding. 2024. "Stability and Bioaccessibility of Quercetin-Enriched Pickering Emulsion Gels Stabilized by Cellulose Nanocrystals Extracted from Rice Bran" Polymers 16, no. 7: 868. https://doi.org/10.3390/polym16070868
APA StyleWang, G., Li, J., Yan, X., Meng, Y., Zhang, Y., Chang, X., Cai, J., Liu, S., & Ding, W. (2024). Stability and Bioaccessibility of Quercetin-Enriched Pickering Emulsion Gels Stabilized by Cellulose Nanocrystals Extracted from Rice Bran. Polymers, 16(7), 868. https://doi.org/10.3390/polym16070868

