Nonwoven Reinforced Photocurable Poly(glycerol sebacate)-Based Hydrogels
Abstract
1. Introduction
2. Materials and Methods
2.1. Materials
2.2. Synthesis of Poly(glycerol sebacate-co-lactic acid-co-polyethylene glycol) (PGSLP)
2.3. Synthesis of Photo-Functional Poly(glycerol sebacate-co-lactic acid-co-polyethylene glycol) Acrylate (PGSLPA)
2.4. Preparation of Nonwovens from PGSLP and PGSLPA
2.5. Scanning Electron Microscopy
2.6. Preparation of Photo-Curable Fibre-Reinforced PGSLPA Hydrogels
2.7. Mechanical Testing
2.7.1. Tensile Testing of Nonwoven Fabrics
2.7.2. Compression Testing of Hydrogel and Nonwoven Reinforced Samples
2.8. Degradation Tests
3. Results and Discussion
3.1. Synthesis of PGSLP and PGSLPA
3.2. Dimensional, Tensile and Degradation Properties of Electrospun PGSLP and PGLSPA Nonwovens
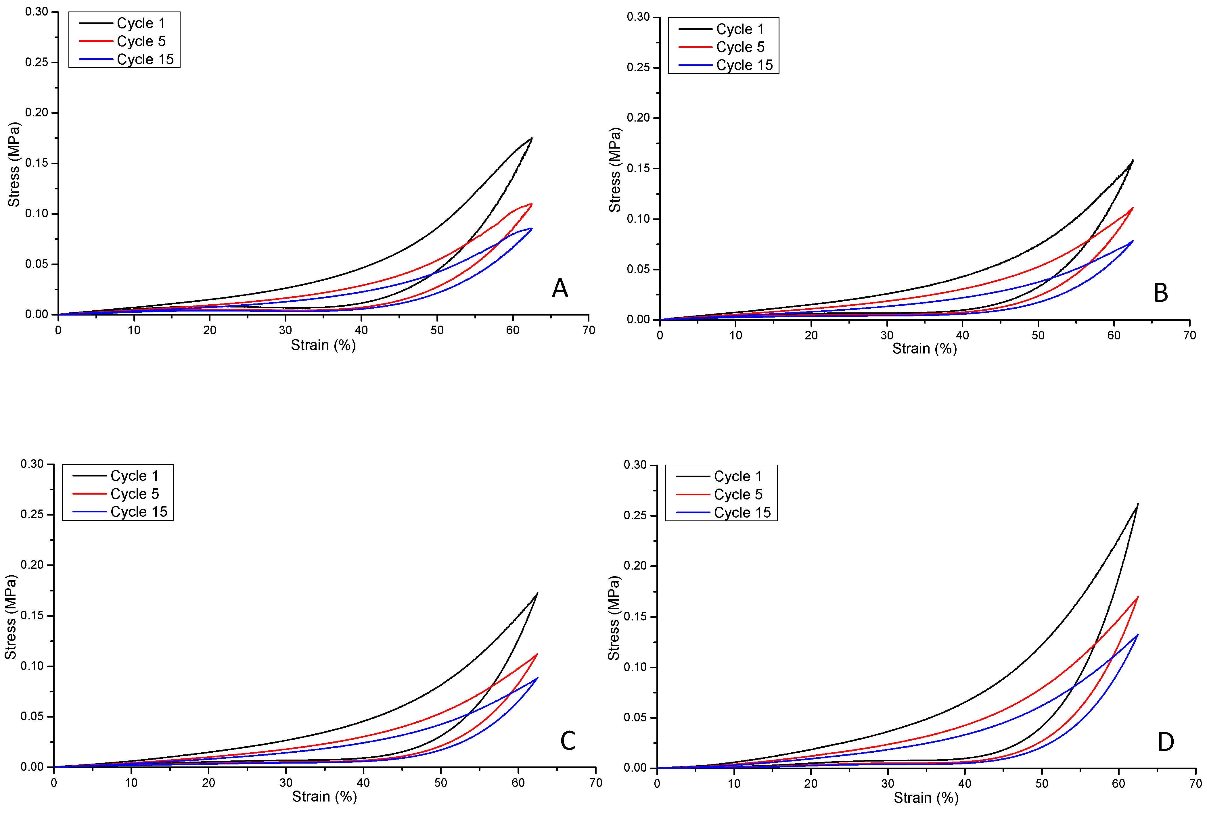
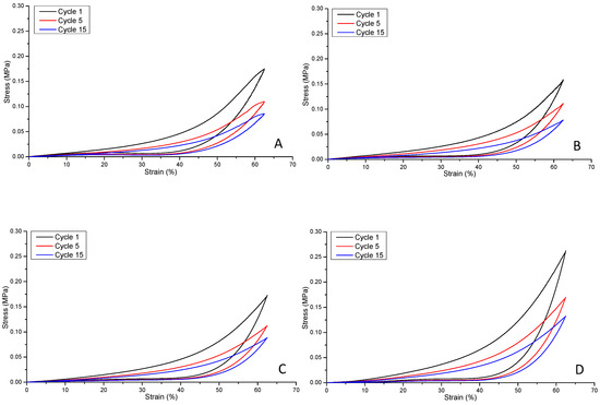
3.3. Compressive Strength of Nonwoven Reinforced PGSLPA Hydrogels
4. Conclusions
Author Contributions
Funding
Institutional Review Board Statement
Data Availability Statement
Acknowledgments
Conflicts of Interest
References
- Chen, Q.-Z.; Ishii, H.; Thouas, G.A.; Lyon, A.R.; Wright, J.S.; Blaker, J.J.; Chrzanowski, W.; Boccaccini, A.R.; Ali, N.N.; Knowles, J.C.; et al. An elastomeric patch derived from poly(glycerol sebacate) for delivery of embryonic stem cells to the heart. Biomaterials 2010, 31, 3885–3893. [Google Scholar] [CrossRef] [PubMed]
- Crapo, M.; Wang, Y. Physiologic compliance in engineered small-diameter arterial constructs based on an elastomeric substrate. Biomaterials 2010, 31, 1626–1635. [Google Scholar] [CrossRef] [PubMed]
- Gao, J.; Crapo, P.; Nerem, R.; Wang, Y. Co-expression of elastin and collagen leads to highly compliant engineered blood vessels. J. Biomed. Mater. Res. Part. A 2008, 85, 1120–1128. [Google Scholar] [CrossRef] [PubMed]
- Stojanovska, E.; Russell, S.J.; Kilic, A. Chapter 7—Nanofibre and submicron fibre web formation. In Handbook of Nonwovens, 2nd ed.; Russell, S.J., Ed.; Woodhead Publishing: Sawston, UK, 2022; pp. 279–300. [Google Scholar]
- Castilho, M.; Hochleitner, G.; Wilson, W.; van Rietbergen, B.; Dalton, P.D.; Groll, J.; Malda, J. Mechanical behavior of a soft hydrogel reinforced with three-dimensional printed microfibre scaffolds. Sci. Rep. 2018, 8, 1245. [Google Scholar] [CrossRef] [PubMed]
- Huang, Y.; Li, X.; Lu, Z.; Zhang, O.R.I.L.H.; Huang, J.; Wang, K.Y.D. Nanofiber-reinforced bulk hydrogel: Preparation and structural, mechanical, and biological properties. J. Mater. Chem. B 2020, 8, 9794–9803. [Google Scholar] [CrossRef] [PubMed]
- Tonsomboon, K.; Strange, D.G.T.; Oyen, M.L. Gelatin nanofiber-reinforced alginate gel scaffolds for corneal tissue engineering. In Proceedings of the 2013 35th Annual International Conference of the IEEE Engineering in Medicine and Biology Society (EMBC), Osaka, Japan, 3–7 July 2013; Volume 2013, pp. 6671–6674. [Google Scholar]
- Martin, N.; Youssef, G. Dynamic properties of hydrogels and fiber-reinforced hydrogels. J. Mech. Behav. Biomed. Mater. 2018, 85, 194–200. [Google Scholar] [CrossRef] [PubMed]
- Gultekinoglu, M.; Öztürk, S.; Chen, B.; Edirisinghe, M.; Ulubayram, K. Preparation of poly(glycerol sebacate) fibers for tissue engineering applications. Eur. Polym. J. 2019, 121, 109297. [Google Scholar] [CrossRef]
- Hou, L.; Zhang, X.; Mikael, P.E.; Lin, L.; Dong, W.; Zheng, Y.; Simmons, T.J.; Zhang, F.; Linhardt, R.J. Biodegradable and Bioactive PCL-PGS Core-Shell Fibers for Tissue Engineering. ACS Omega 2017, 2, 6321–6328. [Google Scholar] [CrossRef]
- Salehi, S.; Fathi, M.; Javanmard, S.H.; Bahners, T.; Gutmann, J.S.; Ergün, S.; Steuhl, K.P.; Fuchsluger, T.A. Generation of PGS/PCL Blend Nanofibrous Scaffolds Mimicking Corneal Stroma Structure. Macromol. Mater. Eng. 2014, 299, 455–469. [Google Scholar] [CrossRef]
- Luginina, M.; Schuhladen, K.; Orrú, R.; Cao, G.; Boccaccini, A.R.; Liverani, L. Electrospun PCL/PGS Composite Fibers Incorporating Bioactive Glass Particles for Soft Tissue Engineering Applications. Nanomaterials 2020, 10, 978. [Google Scholar] [CrossRef]
- Yin, J.; Wood, D.J.; Russell, S.J.; Tronci, G. Hierarchically Assembled Type I Collagen Fibres as Biomimetic Building Blocks of Biomedical Membranes. Membranes 2021, 11, 620. [Google Scholar] [CrossRef]
- Liang, H.; Yin, J.; Man, K.; Yang, X.B.; Calciolari, E.; Donos, N.; Russell, S.J.; Wood, D.J.; Tronci, G. A long-lasting guided bone regeneration membrane from sequentially functionalised photoactive atelocollagen. Acta Biomater. 2022, 140, 190–205. [Google Scholar] [CrossRef] [PubMed]
- Liang, H.; Russell, S.J.; Wood, D.J.; Tronci, G. A hydroxamic acid–methacrylated collagen conjugate for the modulation of inflammation-related MMP upregulation. J. Mater. Chem. B 2018, 6, 3703–3715. [Google Scholar] [CrossRef] [PubMed]
- Tronci, G.; Russell, S.J.; Wood, D.J. Photo-active collagen systems with controlled triple helix architecture. J. Mater. Chem. B 2013, 1, 3705–3715. [Google Scholar] [CrossRef]
- Moers-Carpi, M.M.; Sherwood, S. Polycaprolactone for the correction of nasolabial folds: A 24-month, prospective, randomized, controlled clinical trial. Dermatol. Surg. 2013, 39, 457–463. [Google Scholar] [CrossRef]
- Jia, Y.; Wang, W.; Zhou, X.; Nie, W.; Chen, L.; He, C. Synthesis and characterization of poly(glycerol sebacate)-based elastomeric copolyesters for tissue engineering applications. Polym. Chem. 2016, 7, 2553–2564. [Google Scholar] [CrossRef]
- Bosworth, L.A.; Downes, S. Physicochemical characterisation of degrading polycaprolactone scaffolds. Polym. Degrad. Stab. 2010, 95, 2269–2276. [Google Scholar] [CrossRef]
- Liang, J.; Chen, H.; Guo, Z.; Dijkstra, P.; Grijpma, D.; Poot, A. Tough fibrous mats prepared by electrospinning mixtures of methacrylated poly(trimethylene carbonate) and methacrylated gelatin. Eur. Polym. J. 2021, 152, 110471. [Google Scholar] [CrossRef]
- Bazbouz, M.B.; Liang, H.; Tronci, G. A UV-cured nanofibrous membrane of vinylbenzylated gelatin-poly(ɛ-caprolactone) dimethacrylate co-network by scalable free surface electrospinning. Mater. Sci. Eng. C 2018, 91, 541–555. [Google Scholar] [CrossRef]
- Qian, Y.; Zhang, Z.; Zheng, L.; Song, R.; Zhao, Y. Fabrication and Characterization of Electrospun Polycaprolactone Blended with Chitosan-Gelatin Complex Nanofibrous Mats. J. Nanomater. 2014, 2014, 964621. [Google Scholar] [CrossRef]
- Sant, S.; Hwang, C.M.; Lee, S.-H.; Khademhosseini, A. Hybrid PGS-PCL microfibrous scaffolds with improved mechanical and biological properties. J. Tissue Eng. Regen. Med. 2011, 5, 283–291. [Google Scholar] [CrossRef]
- Masoumi, N.; Larson, B.L.; Annabi, N.; Kharaziha, M.; Zamanian, B.; Shapero, K.S.; Cubberley, A.T.; Camci-Unal, G.; Manning, K.B.; Mayer, J.E., Jr. Electrospun PGS:PCL microfibers align human valvular interstitial cells and provide tunable scaffold anisotropy. Adv. Healthc. Mater. 2014, 3, 929–939. [Google Scholar] [CrossRef]
- Gaharwar, A.K.; Nikkhah, M.; Sant, S.; Khademhosseini, A. Anisotropic poly (glycerol sebacate)-poly (ϵ-caprolactone) electrospun fibers promote endothelial cell guidance. Biofabrication 2014, 7, 015001. [Google Scholar] [CrossRef]
- Nair, N.R.; Sekhar, V.C.; Nampoothiri, K.M.; Pandey, A. 32—Biodegradation of Biopolymers. In Current Developments in Biotechnology and Bioengineering; Pandey, A., Negi, S., Soccol, C.R., Eds.; Elsevier: Amsterdam, The Netherlands, 2017; pp. 739–755. [Google Scholar]
- Bowling, F.L.; Metcalfe, S.A.; Wu, S.; Boulton, A.J.M.; Armstrong, D.G. Liquid Silicone to Mitigate Plantar Pedal Pressure: A Literature Review. J. Diabetes Sci. Technol. 2010, 4, 846–852. [Google Scholar] [CrossRef]
- Treiser, M.; Abramson, S.; Langer, R.; Kohn, J. Chapter I.2.6—Degradable and Resorbable Biomaterials. In Biomaterials Science, 3rd ed.; Ratner, B.D., Hoffman, A.S., Schoen, F.J., Lemons, J.E., Eds.; Academic Press: Cambridge, MA, USA, 2013; pp. 179–195. [Google Scholar]
- Gharaei, R.; Tronci, G.; Goswami, P.; Davies, R.P.W.; Kirkhamc, J.; Russell, S.J. Biomimetic peptide enriched nonwoven scaffolds promote calcium phosphate mineralisation. RSC Adv. 2020, 10, 28332–28342. [Google Scholar] [CrossRef]
- Contreras, A.; Raxworthy, M.J.; Wood, S.; Tronci, G. Hydrolytic Degradability, Cell Tolerance and On-Demand Antibacterial Effect of Electrospun Photodynamically Active Fibres. Pharmaceutics 2020, 12, 711. [Google Scholar] [CrossRef]
- Contreras, A.; Raxworthy, M.J.; Wood, S.; Schiffman, J.D.; Tronci, G. Photodynamically Active Electrospun Fibers for Antibiotic-Free Infection Control. ACS Appl. Bio Mater. 2019, 2, 4258–4270. [Google Scholar] [CrossRef]












| Sample | Mean Diameter (nm) |
|---|---|
| PCL 100% | 280 ± 94 |
| PGSLP 50%/PCL 50% | 289 ± 94 |
| PGSLPA 50%/PCL 50% | 282 ± 91 |
| PGSLPA 50%/PCL 50%/DMPA 0.2% | 283 ± 91 |
| PGSA 50%/PCL 50%/DMPA 0.2% | 288 ± 92 |
| Nonwoven | Fitting Equation | R2 |
|---|---|---|
| PCL | −0.58x + 100 | 0.9999 |
| PGSLP 50% PCL 50% | −1.88x + 100 | 0.9995 |
| PGSLPA 50% PCL 50% | −1.84x + 100 | 0.9997 |
| PGSLPA 50% PCL 50% DMPA 0.2% | −2.02x + 100 | 0.9994 |
| PGSLPA 50% PCL 50% DMPA 0.2% Cured | −0.68x + 100 | 0.9999 |
| Structural Format | Polymer Composition | Concentration (wt/vol %) | Strain | E (kPa) |
|---|---|---|---|---|
| A Fibre-free hydrogel | PGSLPA | 25 | 0.1 | 40 ± 28 |
| 0.2 | 61 ± 13 | |||
| 0.3 | 89 ± 21 | |||
| PEGDA (Mw 8000) | 10 | 0.4 | 123 ± 31 | |
| 0.5 | 172 ± 19 | |||
| 0.6 | 254 ± 19 | |||
| B Bilayer (hydrogel-nonwoven-hydrogel) | PGSLPA | 25 | 0.1 | 57 ± 41 |
| 0.2 | 81 ± 21 | |||
| PEGDA (Mw 8000) | 10 | 0.3 | 119 ± 26 | |
| 0.4 | 161 ± 42 | |||
| PGSLPA/PCL Electrospun nonwoven (2 g/m2) | - | 0.5 | 218 ± 34 | |
| 0.6 | 313 ± 23 | |||
| C Trilayer (hydrogel-nonwoven-hydrogel-nonwoven) | PGSLPA | 25 | 0.1 | 64 ± 44 |
| 0.2 | 93 ± 20 | |||
| PEGDA (Mw 8000) | 10 | 0.3 | 136 ± 28 | |
| 0.4 | 184 ± 47 | |||
| PGSLPA/PCL Electrospun nonwoven web (2 g/m2) | - | 0.5 | 250 ± 37 | |
| 0.6 | 359 ± 12 | |||
| D Fragmented (nonwoven reinforced hydrogel) | PGSLPA | 25 | 0.1 | 73 ± 53 |
| 0.2 | 104 ± 28 | |||
| PEGDA (Mw 8000) | 10 | 0.3 | 153 ± 36 | |
| 0.4 | 207 ± 57 | |||
| PGSLPA/PCL Electrospun nonwoven web (2 g/m2) | 5 | 0.5 | 281 ± 49 | |
| 0.6 | 402 ± 38 |
Disclaimer/Publisher’s Note: The statements, opinions and data contained in all publications are solely those of the individual author(s) and contributor(s) and not of MDPI and/or the editor(s). MDPI and/or the editor(s) disclaim responsibility for any injury to people or property resulting from any ideas, methods, instructions or products referred to in the content. |
© 2024 by the authors. Licensee MDPI, Basel, Switzerland. This article is an open access article distributed under the terms and conditions of the Creative Commons Attribution (CC BY) license (https://creativecommons.org/licenses/by/4.0/).
Share and Cite
Phillips, M.; Tronci, G.; Pask, C.M.; Russell, S.J. Nonwoven Reinforced Photocurable Poly(glycerol sebacate)-Based Hydrogels. Polymers 2024, 16, 869. https://doi.org/10.3390/polym16070869
Phillips M, Tronci G, Pask CM, Russell SJ. Nonwoven Reinforced Photocurable Poly(glycerol sebacate)-Based Hydrogels. Polymers. 2024; 16(7):869. https://doi.org/10.3390/polym16070869
Chicago/Turabian StylePhillips, Michael, Giuseppe Tronci, Christopher M. Pask, and Stephen J. Russell. 2024. "Nonwoven Reinforced Photocurable Poly(glycerol sebacate)-Based Hydrogels" Polymers 16, no. 7: 869. https://doi.org/10.3390/polym16070869
APA StylePhillips, M., Tronci, G., Pask, C. M., & Russell, S. J. (2024). Nonwoven Reinforced Photocurable Poly(glycerol sebacate)-Based Hydrogels. Polymers, 16(7), 869. https://doi.org/10.3390/polym16070869

