Microstructural Dynamics of Polymer Melts during Stretching: Radial Size Distribution
Abstract
1. Introduction
2. Methods
3. Results
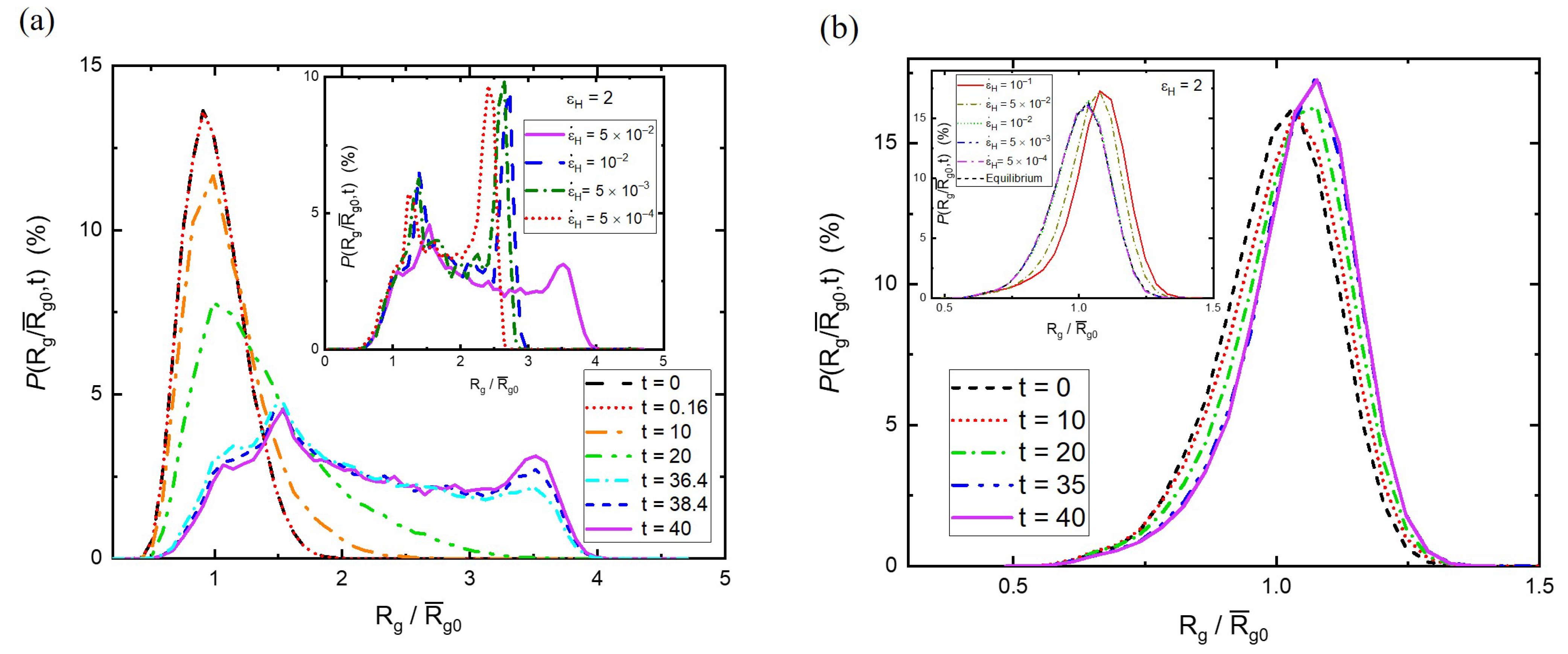
3.1. Evolution of Radial Size Distribution of Polymers during Stretching
3.2. Polymer Conformations Associated with Strain Hardening
3.3. Effects of Molecular Weight
4. Conclusions
Supplementary Materials
Author Contributions
Funding
Institutional Review Board Statement
Informed Consent Statement
Data Availability Statement
Acknowledgments
Conflicts of Interest
References
- Liu, G.; Sun, H.; Rangou, S.; Ntetsikas, K.; Avgeropoulos, A.; Wang, S.Q. Studying the origin of “strain hardening”: Basic difference between extension and shear. J. Rheol. 2013, 57, 927–948. [Google Scholar] [CrossRef]
- Kozlowski, M.; Szczurek, S.; Szczurek, T.; Frackowiak, S. Influence of matrix polymer on melt strength and viscosity of wood flour reinforced composites. Int. J. Mater. Form. 2008, 1, 751–754. [Google Scholar] [CrossRef]
- Andrade, R.J.; Harris, P.; Maia, J.M. High strain extensional rheometry of polymer melts: Revisiting and improving the Meissner design. J. Rheol. 2014, 58, 869–890. [Google Scholar] [CrossRef]
- Sharma, V.; Haward, S.J.; Serdy, J.; Keshavarz, B.; Soderlund, A.; Threlfall-Holmes, P.; McKinley, G.H. The rheology of aqueous solutions of ethyl hydroxy-ethyl cellulose (EHEC) and its hydrophobically modified analogue (hmEHEC): Extensional flow response in capillary break-up, jetting (ROJER) and in a cross-slot extensional rheometer. Soft Matter 2015, 11, 3251–3270. [Google Scholar] [CrossRef]
- Szopinski, D.; Handge, U.A.; Kulicke, W.M.; Abetz, V.; Luinstra, G.A. Extensional flow behavior of aqueous guar gum derivative solutions by capillary breakup elongational rheometry (CaBER). Carbohydr. Polym. 2016, 136, 834–840. [Google Scholar] [CrossRef]
- Anna, S.L.; McKinley, G.H. Elasto-capillary thinning and breakup of model elastic liquids. J. Rheol. 2001, 45, 115–138. [Google Scholar] [CrossRef]
- De Dier, R.; Mathues, W.; Clasen, C. Extensional Flow and Relaxation of Semi-dilute Solutions of Schizophyllan. Macromol. Mater. Eng. 2013, 298, 944–953. [Google Scholar] [CrossRef]
- Wang, Y.; Wang, S.Q. From elastic deformation to terminal flow of a monodisperse entangled melt in uniaxial extension. J. Rheol. 2008, 52, 1275–1290. [Google Scholar] [CrossRef]
- Petrie, C.J. Extensional viscosity: A critical discussion. J. Non-Newton. Fluid Mech. 2006, 137, 15–23. [Google Scholar] [CrossRef]
- Ishizuka, O.; Koyama, K. Elongational viscosity at a constant elongational strain rate of polypropylene melt. Polymer 1980, 21, 164–170. [Google Scholar] [CrossRef]
- McLeish, T. A tangled tale of topological fluids. Phys. Today 2008, 61, 40–45. [Google Scholar] [CrossRef]
- Meissner, J. Development of a universal extensional rheometer for the uniaxial extension of polymer melts. Trans. Soc. Rheol. 1972, 16, 405–420. [Google Scholar] [CrossRef]
- Macosko, C.W.; Lorntson, J.M. Rheology of two blow molding polyethylenes. Chem. Eng. Mater. Sci. 1973, 461–467. [Google Scholar]
- Stephanou, P.S.; Baig, C.; Tsolou, G.; Mavrantzas, V.G.; Kröger, M. Quantifying chain reptation in entangled polymer melts: Topological and dynamical mapping of atomistic simulation results onto the tube model. J. Chem. Phys. 2010, 132, 124904. [Google Scholar] [CrossRef]
- Aho, J.; Rolón-Garrido, V.H.; Syrjälä, S.; Wagner, M.H. Extensional viscosity in uniaxial extension and contraction flow—Comparison of experimental methods and application of the molecular stress function model. J. Non-Newton. Fluid Mech. 2010, 165, 212–218. [Google Scholar] [CrossRef]
- Rolón-Garrido, V.H. The molecular stress function (MSF) model in rheology. Rheol. Acta 2014, 53, 663–700. [Google Scholar] [CrossRef]
- Garrido, V.H.R. Molecular Structure and Constitutive Modelling of Polymer Melts; Univerlagtuberlin: Berlin, Germany, 2007; Volume 68. [Google Scholar]
- Yaoita, T.; Isaki, T.; Masubuchi, Y.; Watanabe, H.; Ianniruberto, G.; Marrucci, G. Primitive chain network simulation of elongational flows of entangled linear chains: Stretch/orientation-induced reduction of monomeric friction. Macromolecules 2012, 45, 2773–2782. [Google Scholar] [CrossRef]
- Masubuchi, Y.; Matsumiya, Y.; Watanabe, H.; Marrucci, G.; Ianniruberto, G. Primitive chain network simulations for pom-pom polymers in uniaxial elongational flows. Macromolecules 2014, 47, 3511–3519. [Google Scholar] [CrossRef]
- Mohottalalage, S.S.; Senanayake, M.; Clemmer, J.T.; Perahia, D.; Grest, G.S.; O’Connor, T. Non-linear Elongation Flows in Associating Polymer Melts: From Homogeneous to Heterogeneous Flow. Phys. Rev. X 2022, 12, 021024. [Google Scholar]
- Xu, W.S.; Carrillo, J.M.Y.; Lam, C.N.; Sumpter, B.G.; Wang, Y. Molecular dynamics investigation of the relaxation mechanism of entangled polymers after a large step deformation. ACS Macro Lett. 2018, 7, 190–195. [Google Scholar] [CrossRef]
- David, A.; De Nicola, A.; Tartaglino, U.; Milano, G.; Raos, G. Viscoelasticity of Short Polymer Liquids from Atomistic Simulations. J. Electrochem. Soc. 2019, 166, B3246. [Google Scholar] [CrossRef]
- Baig, C.; Edwards, B.J.; Keffer, D.J.; Cochran, H.D.; Harmandaris, V.A. Rheological and structural studies of linear polyethylene melts under planar elongational flow using nonequilibrium molecular dynamics simulations. J. Chem. Phys. 2006, 124, 084902. [Google Scholar] [CrossRef] [PubMed]
- Liu, M.B.; Liu, G.R.; Zhou, L.W.; Chang, J. Dissipative particle dynamics (DPD): An overview and recent developments. Arch. Comput. Methods Eng. 2015, 22, 529–556. [Google Scholar] [CrossRef]
- Murashima, T.; Hagita, K.; Kawakatsu, T. Elongational viscosity of weakly entangled polymer melt via coarse-grained molecular dynamics simulation. Nihon Reoroji Gakkaishi 2018, 46, 207–220. [Google Scholar] [CrossRef]
- O’Connor, T.C.; Alvarez, N.J.; Robbins, M.O. Relating Chain Conformations to Extensional Stress in Entangled Polymer Melts. Phys. Rev. Lett. 2018, 121, 047801. [Google Scholar] [CrossRef]
- Murashima, T.; Hagita, K.; Kawakatsu, T. Viscosity overshoot in biaxial elongational flow: Coarse-grained molecular dynamics simulation of ring–linear polymer mixtures. Macromolecules 2021, 54, 7210–7225. [Google Scholar] [CrossRef]
- Behbahani, A.F.; Schneider, L.; Rissanou, A.; Chazirakis, A.; Bacova, P.; Jana, P.K.; Li, W.; Doxastakis, M.; Polinska, P.; Burkhart, C.; et al. Dynamics and Rheology of Polymer Melts via Hierarchical Atomistic, Coarse-Grained, and Slip-Spring Simulations. Macromolecules 2021, 54, 2740–2762. [Google Scholar] [CrossRef]
- Hoogerbrugge, P.J.; Koelman, J.M.V.A. Simulating microscopic hydrodynamic phenomena with dissipative particle dynamics. EPL 1992, 19, 155. [Google Scholar] [CrossRef]
- Koelman, J.M.V.A.; Hoogerbrugge, P.J. Dynamic simulations of hard-sphere suspensions under steady shear. EPL 1993, 21, 363. [Google Scholar] [CrossRef]
- Espanol, P.; Warren, P. Statistical mechanics of dissipative particle dynamics. EPL 1995, 30, 191. [Google Scholar] [CrossRef]
- Groot, R.D.; Rabone, K.L. Mesoscopic simulation of cell membrane damage, morphology change and rupture by nonionic surfactants. Biophys. J. 2001, 81, 725–736. [Google Scholar] [CrossRef]
- Groot, R.D.; Warren, P.B. Dissipative particle dynamics: Bridging the gap between atomistic and mesoscopic simulation. J. Chem. Phys. 1997, 107, 4423–4435. [Google Scholar] [CrossRef]
- Xiao, S.; Chen, H.Y.; Sheng, Y.J.; Tsao, H.K. Induced polar order in sedimentation equilibrium of rod-like nanoswimmers. Soft Matter 2015, 11, 2416–2422. [Google Scholar] [CrossRef]
- Peng, Y.S.; Wang, Z.; Chu, K.C.; Sheng, Y.J.; Tsao, H.K. Favorable partition of nanoswimmers toward a confined slit. Phys. Rev. E 2019, 100, 042604. [Google Scholar] [CrossRef]
- Chu, K.C.; Tsao, H.K.; Sheng, Y.J. Pressure-gated capillary nanovalves based on liquid nanofilms. J. Colloid Interface Sci. 2020, 560, 485–491. [Google Scholar] [CrossRef]
- Yang, Y.L.; Tsao, H.K.; Sheng, Y.J. Morphology and Wetting Stability of Nanofilms of ABC Miktoarm Star Terpolymers. Macromolecules 2020, 53, 594–601. [Google Scholar] [CrossRef]
- Tsai, H.C.; Yang, Y.L.; Sheng, Y.J.; Tsao, H.K. Formation of asymmetric and symmetric hybrid membranes of lipids and triblock copolymers. Polymers 2020, 12, 639. [Google Scholar] [CrossRef]
- Pan, D.; Hu, J.; Shao, X. Lees–Edwards boundary condition for simulation of polymer suspension with dissipative particle dynamics method. Mol. Simul. 2016, 42, 328–336. [Google Scholar] [CrossRef]
- Ashter, S.A. Thermoforming of Single and Multilayer Laminates: Plastic Films Technologies, Testing, and Applications; William Andrew: Norwich, NY, USA, 2013. [Google Scholar]
- Rudin, A.; Choi, P. The Elements of Polymer Science and Engineering; Academic Press: Cambridge, MA, USA, 2012. [Google Scholar]
- Dealy, J.M.; Wang, J. Melt Rheology and Its Applications in the Plastics Industry; Springer Science & Business Media: Berlin/Heidelberg, Germany, 2013. [Google Scholar]
- Jiang, T.; Wang, L.; Lin, J. Mechanical properties of designed multicompartment gels formed by ABC graft copolymers. Langmuir 2013, 2939, 12298–12306. [Google Scholar] [CrossRef]
- Adnan, A.; Sun, C.T.; Mahfuz, H. A molecular dynamics simulation study to investigate the effect of filler size on elastic properties of polymer nanocomposites. Compos. Sci. Technol. 2007, 67, 348–356. [Google Scholar] [CrossRef]
- Bischoff White, E.E.; Chellamuthu, M.; Rothstein, J.P. Extensional rheology of a shear-thickening cornstarch and water suspension. Rheol. Acta 2010, 49, 119–129. [Google Scholar] [CrossRef]
- Xu, H.; Fang, H.; Bai, J.; Zhang, Y.; Wang, Z. Preparation and characterization of high-melt-strength polylactide with long-chain branched structure through γ-radiation-induced chemical reactions. Ind. Eng. Chem. Res. 2014, 53, 1150–1159. [Google Scholar] [CrossRef]
- Boromand, A.; Jamali, S.; Maia, J.M. Viscosity measurement techniques in dissipative particle dynamics. Comput. Phys. Commun. 2015, 196, 149–160. [Google Scholar] [CrossRef]
- Aho, J. Rheological Characterization of Polymer Melts in Shear and Extension: Measurement Reliability and Data for Practical Processing; Tampere University of Technology: Tampere, Finland, 2011. [Google Scholar]
- Münstedt, H.; Kurzbeck, S.; Egersdörfer, L. Influence of molecular structure on rheological properties of polyethylenes. Rheol. Acta 1998, 37, 21–29. [Google Scholar] [CrossRef]
- Zhang, M.; Jiang, B.; Chen, C.; Drummer, D.; Zhai, Z. The effect of temperature and strain rate on the interfacial behavior of glass fiber reinforced polypropylene composites: A molecular dynamics study. Polymers 2019, 11, 1766. [Google Scholar] [CrossRef]
- Hernández-Alamilla, M.; Valadez-Gonzalez, A. The effect of two commercial melt strength enhancer additives on the thermal, rheological and morphological properties of polylactide. J. Polym. Eng. 2016, 36, 31–41. [Google Scholar] [CrossRef]
- Abbasi, M.; Ebrahimi, N.G.; Nadali, M.; Esfahani, M.K. Elongational viscosity of LDPE with various structures: Employing a new evolution equation in MSF theory. Rheol. Acta 2012, 51, 163–177. [Google Scholar] [CrossRef]
- Spenley, N. Scaling laws for polymers in dissipative particle dynamics. Europhys. Lett. 2000, 49, 534. [Google Scholar] [CrossRef]
- Lahmar, F.; Rousseau, B. Influence of the adjustable parameters of the DPD on the global and local dynamics of a polymer melt. Polymer 2007, 48, 3584–3592. [Google Scholar] [CrossRef]
- Gooneie, A.; Schuschnigg, S.; Holzer, C. A Review of Multiscale Computational Methods in Polymeric Materials. Polymers 2017, 9, 16. [Google Scholar] [CrossRef]
- Padding, J.T.; Briels, W.J. Uncrossability constraints in mesoscopic polymer melt simulations: Non-rouse behavior of C120H242. J. Chem. Phys. 2001, 115, 2846–2859. [Google Scholar] [CrossRef]
- Pan, G.; Manke, C.W. Developments toward simulation of entangled polymer melts by dissipative particle dynamics (DPD). Int. J. Mod. Phys. B 2003, 17, 231–235. [Google Scholar] [CrossRef]
- Sirk, T.W.; Slizoberg, Y.R.; Brennan, J.K.; Lisal, M.; Andzelm, J.W. An enhanced entangled polymer model for dissipative particle dynamics. J. Chem. Phys. 2012, 136, 134903. [Google Scholar] [CrossRef]
- Nikunen, P.; Vattulainen, I.; Karttunen, M. Reptational dynamics in dissipative particle dynamics simulations of polymer melts. Phys. Rev. E Stat. Nonlinear Soft Matter Phys. 2007, 75, 036713. [Google Scholar] [CrossRef]
- Chertovich, A.; Kos, P. Crumpled globule formation during collapse of a long flexible and semiflexible polymer in poor solvent. J. Chem. Phys. 2014, 141, 134903. [Google Scholar] [CrossRef]
- Espanol, P.; Warren, P.B. Perspective: Dissipative particle dynamics. J. Chem. Phys. 2017, 146, 150901. [Google Scholar] [CrossRef]
- Karatrantos, A.; Clarke, N.; Composto, R.J.; Winey, K.I. Topological entanglement length in polymer melts and nanocomposites by a DPD polymer model. Soft Matter 2013, 9, 3877–3884. [Google Scholar] [CrossRef]
- Kos, P.I.; Ivanov, V.A.; Chertovich, A.V. Crystallization of semiflexible polymers in melts and solutions. Soft Matter 2021, 17, 2392. [Google Scholar] [CrossRef]
- Chang, R.; Yethiraj, A. Can Polymer Chains Cross Each Other and Still Be Entangled? Macromolecules 2019, 52, 2000–2006. [Google Scholar] [CrossRef]






Disclaimer/Publisher’s Note: The statements, opinions and data contained in all publications are solely those of the individual author(s) and contributor(s) and not of MDPI and/or the editor(s). MDPI and/or the editor(s) disclaim responsibility for any injury to people or property resulting from any ideas, methods, instructions or products referred to in the content. |
© 2023 by the authors. Licensee MDPI, Basel, Switzerland. This article is an open access article distributed under the terms and conditions of the Creative Commons Attribution (CC BY) license (https://creativecommons.org/licenses/by/4.0/).
Share and Cite
Hsieh, M.-C.; Tsao, Y.-H.; Sheng, Y.-J.; Tsao, H.-K. Microstructural Dynamics of Polymer Melts during Stretching: Radial Size Distribution. Polymers 2023, 15, 2067. https://doi.org/10.3390/polym15092067
Hsieh M-C, Tsao Y-H, Sheng Y-J, Tsao H-K. Microstructural Dynamics of Polymer Melts during Stretching: Radial Size Distribution. Polymers. 2023; 15(9):2067. https://doi.org/10.3390/polym15092067
Chicago/Turabian StyleHsieh, Ming-Chang, Yu-Hao Tsao, Yu-Jane Sheng, and Heng-Kwong Tsao. 2023. "Microstructural Dynamics of Polymer Melts during Stretching: Radial Size Distribution" Polymers 15, no. 9: 2067. https://doi.org/10.3390/polym15092067
APA StyleHsieh, M.-C., Tsao, Y.-H., Sheng, Y.-J., & Tsao, H.-K. (2023). Microstructural Dynamics of Polymer Melts during Stretching: Radial Size Distribution. Polymers, 15(9), 2067. https://doi.org/10.3390/polym15092067

