An Efficient Composite Modifier Prepared for Enhancing the Crystallization and Flame-Retardancy of Poly(m-xylylene adipamide)
Abstract
:1. Introduction
2. Materials and Methods
2.1. Materials
2.2. Preparation of the Modified MXD6
2.3. Characterization
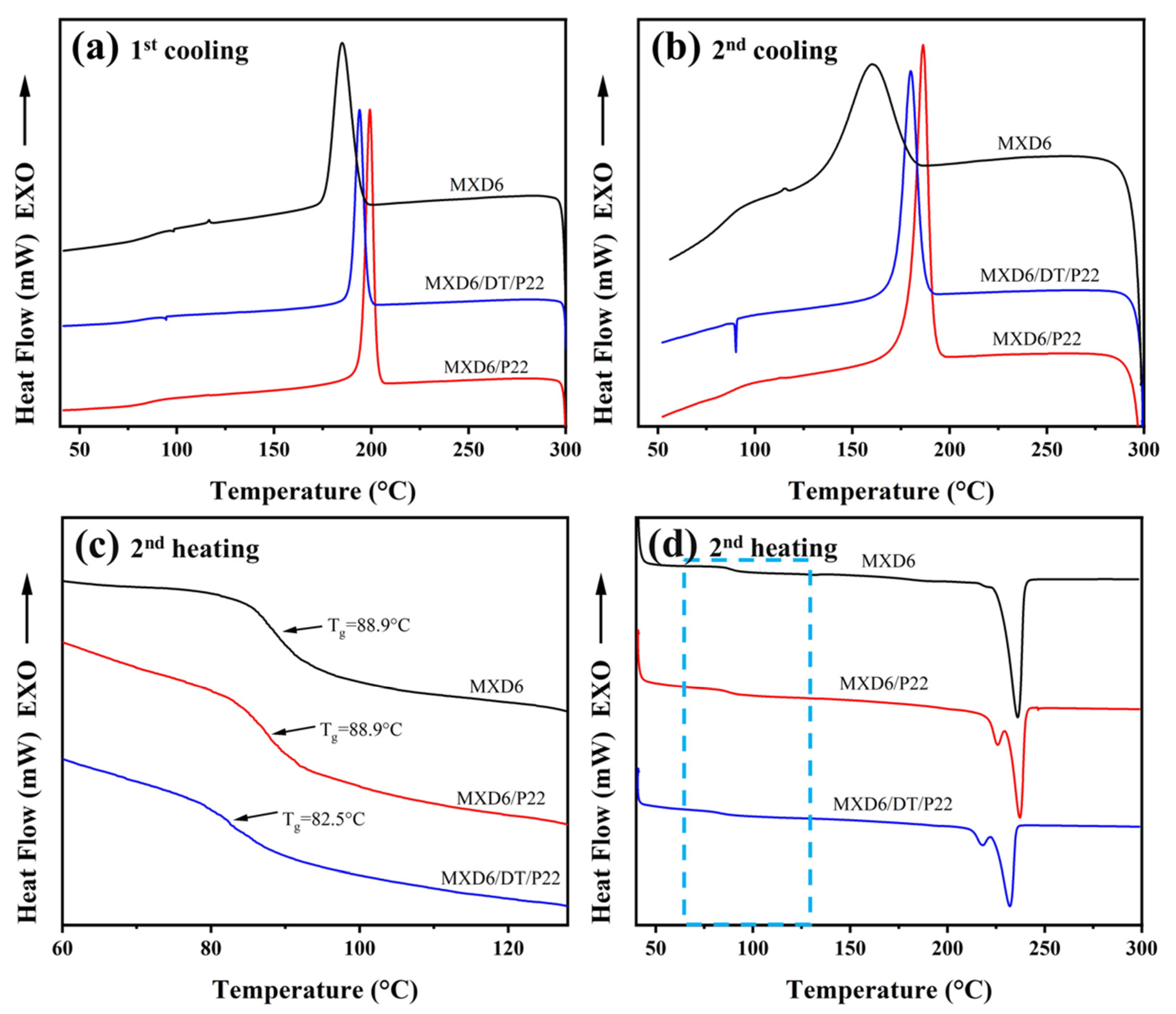
2.3.1. Differential Scanning Calorimetry (DSC)
2.3.2. Polarized Optical Microscopy (POM)
2.3.3. Limited Oxygen Index (LOI)
2.3.4. Cone Calorimeter Test (CCT)
2.3.5. Field Emission Scanning Electron Microscopy (FESEM)
2.3.6. Rheological Properties
2.3.7. Mechanical Properties
3. Results and Discussion
3.1. The Crystallizing Properties of the Modified MXD6
3.2. The Crystalline Morphologies
3.3. The Flame-Retardancy of Modified MXD6 Material
3.3.1. LOI and Cone Calorimeter Tests
3.3.2. Analysis of Char Residues
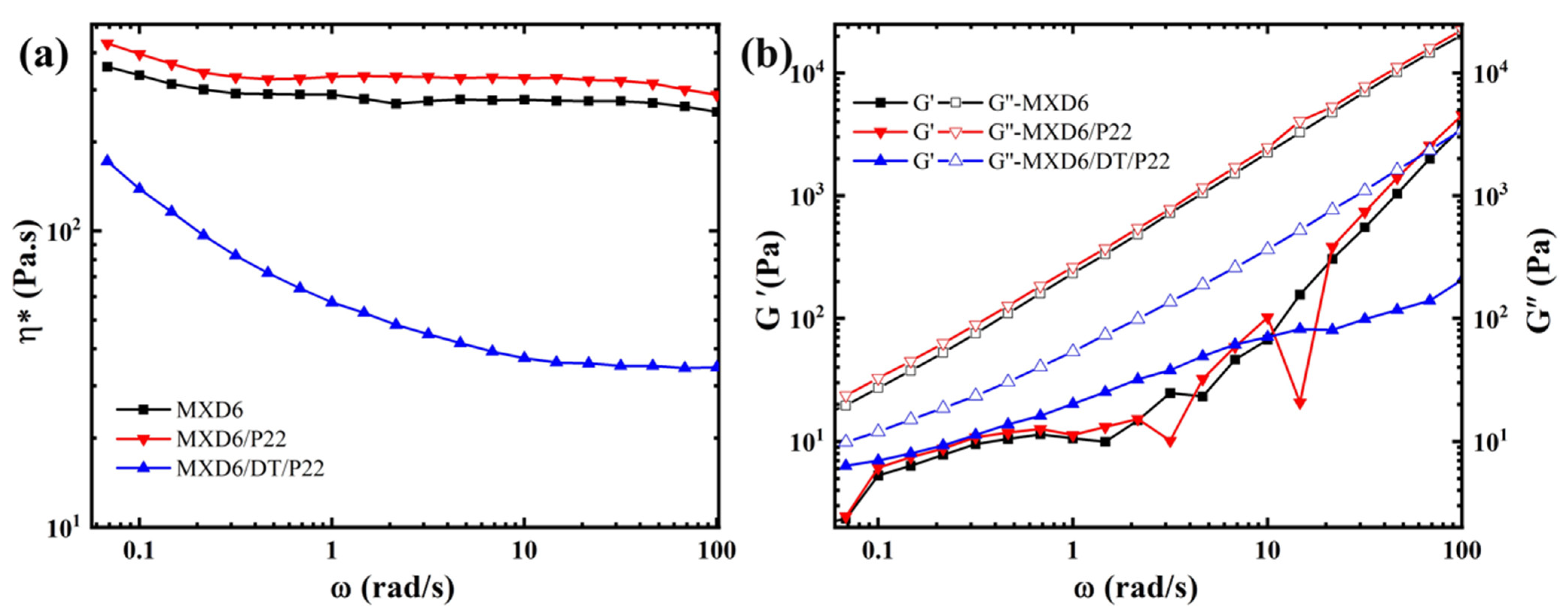
3.4. Rheological and Mechanical Properties
4. Conclusions
Author Contributions
Funding
Institutional Review Board Statement
Informed Consent Statement
Data Availability Statement
Acknowledgments
Conflicts of Interest
References
- Carlston, E.F.; Lum, F.G. m-Xylylenediamine polyamide resins. Ind. Eng. Chem. 1957, 49, 1239–1240. [Google Scholar] [CrossRef]
- Ota, T.; Yamashita, M.; Yoshizaki, O.; Nagai, E. Crystal structure of poly(m-xylylene adipamide). J. Polym. Sci. Part A Polym. Phys. 1966, 4, 959–974. [Google Scholar] [CrossRef]
- Arnoult, M.; Saiter, A.; Pareige, C.; Dargent, E.; Saiter, J.M. Crystallisation and molecular mobilities in liquid and glassy states of a MXD6 polyamide. Compos. Interfaces 2006, 13, 403–413. [Google Scholar] [CrossRef]
- Lin, F.l.; Hao, X.H.; Liu, Y.U.; Song, L.J.; Liu, X.C.; Fan, S.H.; Liao, G.H. The linear tearing properties of biaxially oriented PA6/MXD6 blending films. J. Appl. Polym. Sci. 2020, 137, 49108. [Google Scholar] [CrossRef]
- Bi, F.l.; Shao, J.I.; Xi, Z.H.; Zhao, L.; Liu, D. Synthesis and characterization of copolymers of poly(m-xylylene adipamide) and poly(ethylene terephthalate) oligomers by melt copolycondensation. Chin. J. Chem. Eng. 2016, 24, 1290–1297. [Google Scholar] [CrossRef]
- Fereydoon, M.; Tabatabaei, S.H.; Ajji, A. Effect of uniaxial stretching on thermal, oxygen barrier, and mechanical properties of polyamide 6 and poly(m-xylene adipamide) nanocomposite films. Polym. Eng. Sci. 2015, 55, 1113–1127. [Google Scholar] [CrossRef]
- Yabutsuka, T.; Fukushima, K.; Hiruta, T.; Takai, S.; Yao, T. Fabrication of Bioactive Fiber-reinforced PEEK and MXD6 by Incorporation of Precursor of Apatite. J. Biomed. Mater. Res. Part B 2018, 106B, 2254–2265. [Google Scholar] [CrossRef]
- Hoffman, J.M. Super strong thermoplastic takes on metals. Mach. Des. 2001, 12, 90–94. [Google Scholar]
- Ixef® PARA. Available online: https://www.solvay.com/en/brands/ixef-para (accessed on 30 July 2022).
- Chen, L.; Tuo, X.L.; Fan, X.C.; Xie, C.J.; Guo, B.H.; Yu, J.; Hu, P.; Guo, Z.X. Enhanced Mechanical Properties of Poly(arylene sulfide sulfone) Membrane by Co-electrospinning with Poly(m-xylene adipamide). Chin. J. Polym. Sci. 2019, 38, 63–71. [Google Scholar] [CrossRef]
- Vannini, M.; Marchese, P.; Celli, A.; Lorenzetti, C. MXD6 in film manufacturing: State of the art and recent advances in the synthesis and characterization of new copolyamides. J. Plast. Film Sheeting 2020, 36, 16–37. [Google Scholar] [CrossRef]
- Ammala, A. Nylon-MXD6 resins for food packaging. Multifunct. Nanoreinf. Polym. Food Packag. 2011, 243–260. [Google Scholar] [CrossRef]
- Ju, L.; Mondschein, R.J.; Vandenbrande, J.A.; Arrington, C.B.; Long, T.E.; Moore, R.B. Phosphonated Poly(ethylene terephthalate) ionomers as compatibilizers in extruded Poly(ethylene terephthalate) Poly(m-xylylene adipamide) blends and oriented films. Polymer 2020, 205, 122891. [Google Scholar] [CrossRef]
- Messin, T.; Marais, S.; Follain, N.; Chappey, C.; Guinault, A.; Miquelard-Garnier, G.; Delpouve, N.; Gaucher, V.; Sollogoub, C. Impact of water and thermal induced crystallizations in a PC/MXD6 multilayer film on barrier properties. Eur. Polym. J. 2018, 111, 152–160. [Google Scholar] [CrossRef]
- Kanai, T.; Okuyama, Y.; Takashige, M. Dynamics and structure development for biaxial stretching PA6/MXD6 blend packaging films. Adv. Polym. Technol. 2018, 37, 2828–2837. [Google Scholar] [CrossRef]
- Messin, T.; Follain, N.; Guinault, A.; Miquelard-Garnier, G.; Sollogoub, C.; Delpouve, N.; Gaucher, V.; Marais, S. Confinement effect in PC/MXD6 multilayer films: Impact of the microlayered structure on water and gas barrier properties. J. Membr. Sci. 2017, 525, 135–145. [Google Scholar] [CrossRef]
- Bandi, S.; Mehta, S.; Schiraldi, D.A. The mechanism of color generation in poly(ethylene terephthalate)/polyamide blends. Polym. Degrad. Stab. 2005, 88, 341–348. [Google Scholar] [CrossRef]
- Naudy, S.; Fulchiron, R. Effect of nucleating additives on crystallization of poly(m-xylylene adipamide). Polym. Eng. Sci. 2007, 47, 365–373. [Google Scholar] [CrossRef]
- Seif, S.; Cakmak, M. Stress-Optical behavior of Poly(m-xylylenediamine adipamide) (Nylon MXD6): Influence of molecular weight. Polymer 2010, 51, 3762–3773. [Google Scholar] [CrossRef]
- Naudy, S.; Fulchiron, R. Static and shear induced crystallization of glass fiber reinforced poly(m-xylylene adipamide) with nucleating additives. J. Polym. Sci. Part B Polym. Phys. 2007, 45, 2982–2992. [Google Scholar] [CrossRef]
- Achiwa, O.; Kyogoku, Y.; Matsuda, Y.; Tasaka, S. Interfacial Structure of Composites of Poly(m-xylylen adipamide) and Silica Nano-Particles. Jpn. J. Appl. Phys. 2012, 51, 100204. [Google Scholar] [CrossRef]
- Liu, J.Y.; Gao, D.L.; Lv, Y.; Dong, M.; Zhang, S.; Xu, K. The influence of additives on the properties of biaxial oriented polyamide film. Sci. Sin. Chim. 2014, 44, 1755–1761. [Google Scholar] [CrossRef]
- Magniez, K.; Fox, B.L.; Looney, M.G. Nonisothermal Crystallization Behavior of Poly(m-xylene adipamide)/Montmorillonite Nanocomposites. J. Polym. Sci. Part B Polym. Phys. 2009, 47, 1300–1312. [Google Scholar] [CrossRef]
- Ammala, A.; Pas, S.J.; Lawrence, K.A.; Stark, R.; Webb, R.I.; Hill, A.J. Poly(m-xylene adipamide)-montmorillonite nanocomposites: Effect of organo-modifier structure on free volume and oxygen barrier properties. J. Mater. Chem. 2008, 18, 911–916. [Google Scholar] [CrossRef]
- Ammala, A.; Hill, A.J.; Lawrence, K.A.; Tran, T. Poly(m-xylene adipamide)-kaolinite and poly(m-xylene adipamide)-montmorillonite nanocomposites. J. Appl. Polym. Sci. 2007, 104, 1377–1381. [Google Scholar] [CrossRef]
- Zhang, B.Y.; Ge, Q.S.; Guo, Z.X.; Yu, J. Effects of electrically inert fillers on the properties of poly(m-xylene adipamide)/multiwalled carbon nanotube composites. Chin. J. Polym. Sci. 2016, 34, 1032–1038. [Google Scholar] [CrossRef]
- Magniez, K.; Fox, B.L.; Looney, M.G. Nanocomposites of poly(m-xylene diamide) with polyhedral oligomeric silsesquioxane, montmorillonite, and their combination: Structure and properties. Polym. Eng. Sci. 2012, 52, 1402–1412. [Google Scholar] [CrossRef]
- Naudy, S.; David, L.; Rochas, C.; Fulchiron, R. Shear induced crystallization of poly(m-xylylene adipamide) with and without nucleating additives. Polymer 2007, 48, 3273–3285. [Google Scholar] [CrossRef]
- Zhang, Y.; Liu, Y.; Wang, Q. Synergistic effect of melamine polyphosphate with macromolecular charring agent novolac in wollastonite filled PA66. J. Appl. Polym. Sci. 2010, 116, 45–49. [Google Scholar] [CrossRef]
- Mensah, R.A.; Shanmugam, V.; Narayanan, S.; Renner, J.S.; Babu, K.; Neisiany, R.E.; Försth, M.; Sas, G.; Das, O. A review of sustainable and environment-friendly flame retardants used in plastics. Polym. Test. 2022, 108, 107511. [Google Scholar] [CrossRef]
- Pal, S.G.; Goanţă, V.; Bistriceanu, D.P. Design guideline for plastic parts that need to fulfil EN62368 norm. IOP Conf. Ser. Mater. Sci. Eng. 2020, 997, 012101. [Google Scholar] [CrossRef]
- Fatunsin, O.T.; Oluseyi, T.O.; Drage, D.; Abdallah, M.A.; Turner, A.; Harrad, S. Children’s exposure to hazardous brominated flame retardants in plastic toys. Sci. Total Environ. 2020, 720, 137623. [Google Scholar] [CrossRef] [PubMed]
- Kundu, C.K.; Gangireddy, C.S.R.; Song, L.; Hu, Y. Flame retardant treatments for polyamide 66 textiles: Analysis the role of phosphorus compounds. Polym. Degrad. Stab. 2020, 182, 109376. [Google Scholar] [CrossRef]
- Wang, J.; Qian, L.; Huang, Z.; Fang, Y.; Qiu, Y. Synergistic flame-retardant behavior and mechanisms of aluminum poly-hexamethylenephosphinate and phosphaphenanthrene in epoxy resin. Polym. Degrad. Stab. 2016, 130, 173–181. [Google Scholar] [CrossRef]
- Casetta, M.; Michaux, G.; Ohl, B.; Duquesne, S.; Bourbigot, S. Key role of magnesium hydroxide surface treatment in the flame retardancy of glass fiber reinforced polyamide 6. Polym. Degrad. Stab. 2018, 148, 95–103. [Google Scholar] [CrossRef]
- Guo, S.; Xu, J.; Ni, X. Synthesis, Structures, and Properties of a New Pentaerythritol-Derived Flame Retardant Used in Polyamide 66. ACS Omega 2021, 6, 12887–12897. [Google Scholar] [CrossRef]
- Guo, S.; Bao, M.; Ni, X. The synthesis of meltable and highly thermostable triazine-DOPO flame retardant and its application in PA66. Polym. Adv. Technol. 2020, 32, 815–828. [Google Scholar] [CrossRef]
- Thellen, C.; Schirmer, S.; Ratto, J.A.; Finnigan, B.; Schmidt, D. Co-extrusion of multilayer poly(m-xylylene adipimide) nanocomposite films for high oxygen barrier packaging applications. J. Membr. Sci. 2009, 340, 45–51. [Google Scholar] [CrossRef]
- Fereydoon, M.; Tabatabaei, S.H.; Ajji, A. Rheological, Crystal Structure, Barrier, and Mechanical Properties of PA6 and MXD6 Nanocomposite Films. Polym. Eng. Sci. 2014, 54, 2617–2631. [Google Scholar] [CrossRef]
- Doudou, B.B.; Dargent, E.; Grenet, J. Crystallization and melting behaviour of poly( m -xylene adipamide). J. Therm. Anal. Calorim. 2006, 85, 409–415. [Google Scholar] [CrossRef]
- Xie, F.; Lofgren, E.A.; Jabarin, S.A. Melting and crystallization behavior of poly(ethylene terephthalate) and poly(m-xylylene adipamide) blends. J. Appl. Polym. Sci. 2010, 118, 2153–2164. [Google Scholar] [CrossRef]
- Chen, Y.H.; Ranganathan, P.; Chen, C.W.; Lee, Y.H.; Rwei, S.P. Effect of Bis (2-Aminoethyl) Adipamide/Adipic Acid Segment on Polyamide 6: Crystallization Kinetics Study. Polymers 2020, 12, 1067. [Google Scholar] [CrossRef]
- Mi, D.; Wang, Y.; Kuzmanovic, M.; Delva, L.; Jiang, Y.; Cardon, L.; Zhang, J.; Ragaert, K. Effects of Phase Morphology on Mechanical Properties: Oriented/Unoriented PP Crystal Combination with Spherical/Microfibrillar PET Phase. Polymers 2019, 11, 248. [Google Scholar] [CrossRef]
- Schartel, B.; Hull, T.R. Development of fire-retarded materials—Interpretation of cone calorimeter data. Fire Mater. 2007, 31, 327–354. [Google Scholar] [CrossRef]
- Vahabi, H.; Kandola, B.K.; Saeb, M.R. Flame Retardancy Index for Thermoplastic Composites. Polymers 2019, 11, 407. [Google Scholar] [CrossRef] [PubMed]
- Xu, M.J.; Liu, H.C.; Ma, K.; Li, B.; Zhang, Z.Y. New strategy towards flame retardancy through design, synthesis, characterization, and fire performance of a chain extender in polyamide 6 composites. Polym. Eng. Sci. 2019, 59, E206–E215. [Google Scholar] [CrossRef]
- Liu, D.; Cui, Y.; Zhang, T.; Zhao, W.; Ji, P. Improving the flame retardancy and smoke suppression of epoxy resins by introducing of DOPO derivative functionalized ZIF-8. Polym. Degrad. Stab. 2021, 194, 109749. [Google Scholar] [CrossRef]
- Vasiljevic, J.; Colovic, M.; Celan Korosin, N.; Sobak, M.; Stirn, Z.; Jerman, I. Effect of Different Flame-Retardant Bridged DOPO Derivatives on Properties of in Situ Produced Fiber-Forming Polyamide 6. Polymers 2020, 12, 657. [Google Scholar] [CrossRef] [Green Version]









| Samples | MXD6 (wt.%) | DT (wt.%) | P22 (wt.%) | 
|---|---|---|---|
| MXD6 | 100.0 | 0 | 0 | 
| MXD6/P22 | 99.9 | 0 | 0.1 | 
| MXD6/DT/P22 | 88.9 | 11.0 | 0.1 | 
| Samples | Cooling Rate (°C/min) | To (°C) | Tc (°C) | ΔHc (J/g) | Xc (%) | 
|---|---|---|---|---|---|
| MXD6 | 10 | 200.6 | 185.0 | 46.9 | 26.8 | 
| 40 | 186.2 | 160.3 | 31.8 | 18.2 | |
| MXD6/P22 | 10 | 208.6 | 199.3 | 51.9 | 29.7 | 
| 40 | 199.8 | 186.3 | 46.7 | 26.7 | |
| MXD6/DT/P22 | 10 | 203.4 | 194.0 | 50.1 | 32.2 | 
| 40 | 193.6 | 180.0 | 45.4 | 29.2 | 
| Samples | Tg (°C) | Tm (°C) | 
|---|---|---|
| MXD6 | 88.9 | 236.2 | 
| MXD6/P22 | 87.6 | 237.2 | 
| MXD6/DT/P22 | 82.5 | 232.1 | 
| Samples | TTI (s) | PHRR (kW/m2) | THR (MJ/m2) | av-EHC (kJ/g) | LOI (%) | 
|---|---|---|---|---|---|
| MXD6 | 34 | 507.2 | 73.5 | 23.6 | 26.4 ± 0.2 | 
| MXD6/DT/P22 | 29 | 333.8 | 57.9 | 20.1 | 33.4 ± 0.3 | 
| Samples | TSR (m2/m2) | av-SEA (m2/kg) | av-COY (g/kg) | av-CO2Y (g/kg) | CO/CO2 Yield Ratio | Residue (%) | 
|---|---|---|---|---|---|---|
| MXD6 | 2266.4 | 703.8 | 73.5 | 1544.0 | 0.048 | 9.2 | 
| MXD6/DT/P22 | 2571.2 | 877.1 | 109.6 | 1252.9 | 0.087 | 15.1 | 
| Samples | Tensile Strength (MPa) | Elongation at Break (%) | Modulus (MPa) | 
|---|---|---|---|
| MXD6 | 80.6 ± 8.3 | 6.4 ± 0.7 | 1734.0 ± 61.3 | 
| MXD6/P22 | 91.8 ± 10.4 | 5.6 ± 0.9 | 1825.0 ± 53.8 | 
| MXD6/DT/P22 | 79.2 ± 11.8 | 4.4 ± 0.8 | 2075.6 ± 41.1 | 
| Publisher’s Note: MDPI stays neutral with regard to jurisdictional claims in published maps and institutional affiliations. | 
© 2022 by the authors. Licensee MDPI, Basel, Switzerland. This article is an open access article distributed under the terms and conditions of the Creative Commons Attribution (CC BY) license (https://creativecommons.org/licenses/by/4.0/).
Share and Cite
Zhao, Z.; Tan, Y.; Guo, S.; Ni, X. An Efficient Composite Modifier Prepared for Enhancing the Crystallization and Flame-Retardancy of Poly(m-xylylene adipamide). Polymers 2022, 14, 3626. https://doi.org/10.3390/polym14173626
Zhao Z, Tan Y, Guo S, Ni X. An Efficient Composite Modifier Prepared for Enhancing the Crystallization and Flame-Retardancy of Poly(m-xylylene adipamide). Polymers. 2022; 14(17):3626. https://doi.org/10.3390/polym14173626
Chicago/Turabian StyleZhao, Zhifeng, Yueyang Tan, Shangzhen Guo, and Xiuyuan Ni. 2022. "An Efficient Composite Modifier Prepared for Enhancing the Crystallization and Flame-Retardancy of Poly(m-xylylene adipamide)" Polymers 14, no. 17: 3626. https://doi.org/10.3390/polym14173626
APA StyleZhao, Z., Tan, Y., Guo, S., & Ni, X. (2022). An Efficient Composite Modifier Prepared for Enhancing the Crystallization and Flame-Retardancy of Poly(m-xylylene adipamide). Polymers, 14(17), 3626. https://doi.org/10.3390/polym14173626
 
        

 
       