Synthesis of Novel Benzoxazines Containing Sulfur and Their Application in Rubber Compounds
Abstract
1. Introduction
2. Materials and Methods
2.1. Materials
2.2. Methods
2.2.1. Nuclear Magnetic Resonance (NMR)
2.2.2. Fourier Transform Infrared Spectroscopy (FTIR)
2.2.3. Elemental Analysis
2.2.4. Raman Spectroscopy
2.2.5. Differential Scanning Calorimetry (DSC)
2.2.6. Thermo-Gravimetric Analysis (TGA)
2.2.7. Rheological Measurements
2.2.8. Preparation of Polybenzoxazines
2.2.9. Solubility Tests
2.2.10. Rubber Compounding
2.2.11. Moving Die Rheometer (MDR)
2.2.12. Curing of Rubber Compounds
2.2.13. Tensile Test
2.2.14. Crosslinking Density
2.2.15. Atomic Force Microscopy
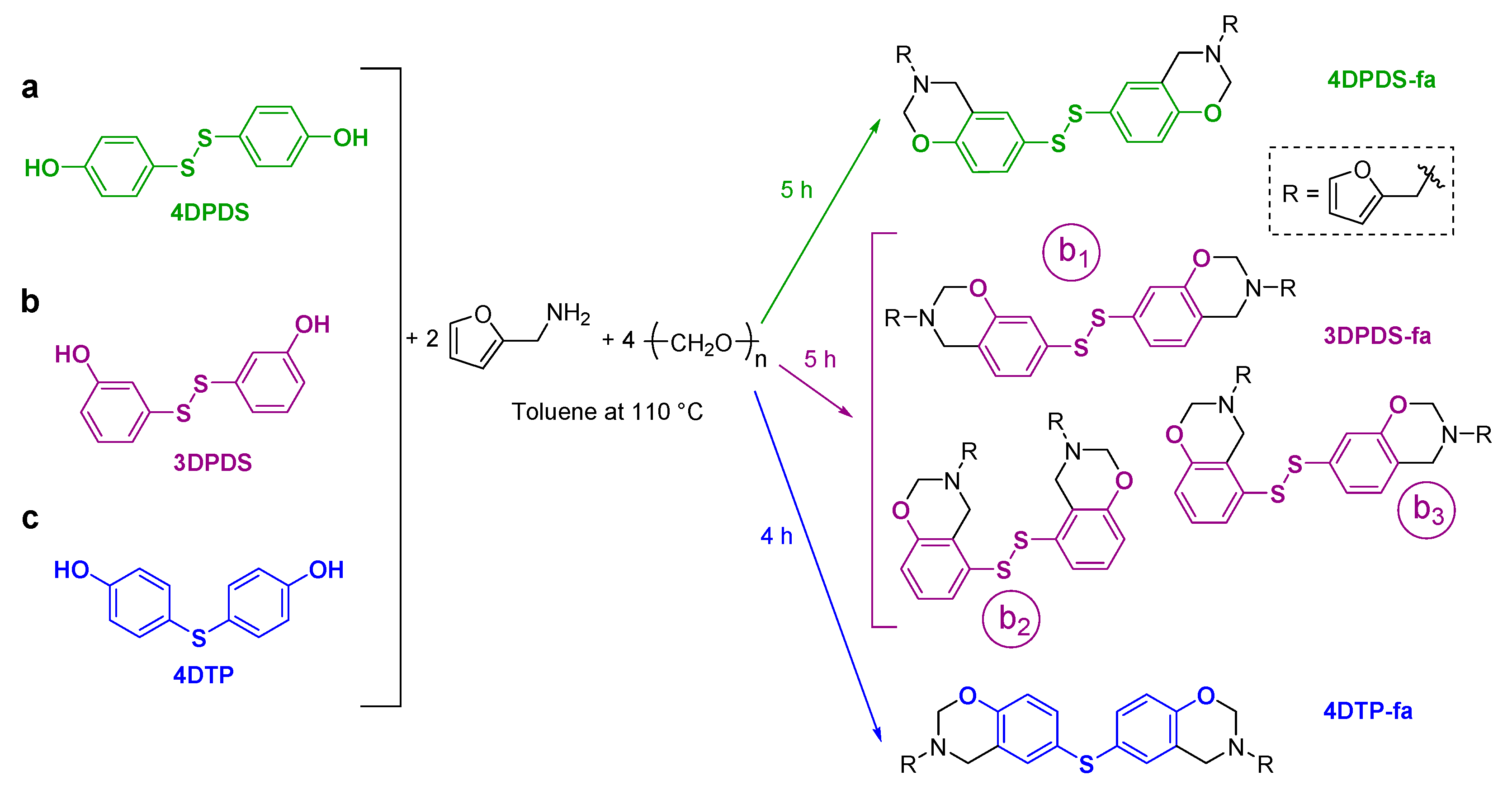
2.3. Synthesis of Di-Benzoxazine Monomers
2.3.1. 4,4′-Dihydroxydiphenyl Disulfide and Furfurylamine (4DPDS-fa)
2.3.2. 3,3′-Dihydroxydiphenyl Disulfide and Furfurylamine (3DPDS-fa)
2.3.3. 4,4′-Thiodiphenol and Furfurylamine (4DTP-fa)
2.3.4. Bisphenol A and Furfurylamine (BA-fa)
3. Results and Discussion
3.1. Synthesis and Molecular Characterization of Benzoxazines
3.2. Thermal Properties and Curing Behavior of Benzoxazine Monomers
3.3. Investigation of Benzoxazine Curing in the Presence of Sulfur
3.4. Application in Rubber Compounds
3.4.1. Curing of Rubber Compounds Containing Benzoxazine Precursors
3.4.2. Morphological Characterization and Nanomechanical Properties of Cured Rubber Compounds by AFM
3.4.3. Tensile Test of Cured Rubber Compounds
4. Conclusions
Author Contributions
Funding
Institutional Review Board Statement
Informed Consent Statement
Data Availability Statement
Acknowledgments
Conflicts of Interest
Appendix A. Methodology
Appendix A.1. Rubber Compounding Procedure
| Step | Procedure |
|---|---|
| NP | Initial temperature: 70 °C 20 rpm–add the polymer 60 rpm–masticate for 1 min 2 rpm–ZnO and stearic acid 60 rpm–mix for 4 min 2 rpm–add benzoxazine, phenolic resin or nothing (reference) 60 rpm–mix for 8 min (or drop at 150 °C) |
| PD | Initial temperature: 60 °C 20 rpm–add compound 60 rpm–masticate for 30 s. 2 rpm–add sulfur and DCBS 60 rpm–mix for 2 min (or drop at 110 °C) |
| Roll mill | Six times at 1 mm |
Appendix A.2. Crosslinking Density Calculations
Appendix B. Synthesis and Molecular Characterization of Benzoxazines







Appendix C. Thermal Properties and Curing Behavior of Benzoxazine Monomers




Appendix C.1. Synthesis and Molecular and Thermal Characterization of 4DTP-fa







Appendix C.2. Rheology Temperature Sweep Curves



Appendix C.3. DSC and Rheo-Kinetic Measurements in the Presence of Sulfur






Appendix D. Curing Profile, Morphological Characterization and Mechanical Properties of Rubber Compounds Containing Benzoxazine Precursors


Appendix D.1. Morphological Characterization by AFM and Nanomechanical Properties of Cured Rubber Compounds


Appendix D.2. Tensile Test of Cured Rubber Compounds

Appendix D.3. Molecular Characterization and Tensile Test of BA-fa




| Compounds with and without Bz | Young Modulus (MPa) | σ200% of strain a (MPa) | σ600% of strain b (MPa) | σbreak c (MPa) | εbreak d (%) |
|---|---|---|---|---|---|
| PI | 2.6 ± 0.1 | 2.28 ± 0.02 | 10.9 ± 1.1 | 11.3 ± 1.4 | 551 ± 67 |
| PI(BA-fa5) | 2.8 ± 0.1 | 2.49 ± 0.04 | - | 7.7 ± 2.5 | 450 ± 90 |
| PI(BA-fa15) | 2.6 ± 0.1 | 2.1 ± 0.1 | - | 7.1 ± 4.2 | 568 ± 135 |
| PI(BA-fa30) | 2.8 ± 0.2 | 1.13 ± 0.09 | 3.4 ± 0.2 | 13.9 ± 1.1 | 1058 ± 24 |
Appendix D.4. Formulation and Tensile Test of Phenolic Resin
| Compound | phr |
|---|---|
| Polyisoprene | 100 |
| Phenolic resin (PR) | 15 |
| Hexamethylenetetramine (HMT) | 3 |
| Zinc oxide (ZnO) | 5 |
| Stearic acid (SA) | 2 |
| Sulfur | 5.5 |
| DCBS 1 | 3 |

References
- Hamed, G.R. Reinforcement of Rubber. Rubber Chem. Technol. 2000, 73, 524–533. [Google Scholar] [CrossRef]
- Coran, A.Y. Vulcanization. In The Science and Technology of Rubber, 4th ed.; Mark, J.E., Erman, B., Roland, C.M., Eds.; Academic Press: Boston, MA, USA, 2013; Chapter 7; pp. 337–381. [Google Scholar]
- Donnet, J.-B.; Custodero, E. Reinforcement of Elastomers by Particulate Fillers. In The Science and Technology of Rubber, 4th ed.; Mark, J.E., Erman, B., Roland, C.M., Eds.; Academic Press: Boston, MA, USA, 2013; Chapter 8; pp. 383–416. [Google Scholar]
- Medalia, A.I. Filler Aggregates and Their Effect on Reinforcement. Rubber Chem. Technol. 1974, 47, 411–433. [Google Scholar] [CrossRef]
- Gardziella, A.; Pilato, L.A.; Knop, A. Phenolic Resins: Chemistry, Applications, Standardization, Safety and Ecology; Springer: Berlin/Heidelberg, Germany, 2000. [Google Scholar]
- Dick, J.S. Rubber Technology: Compounding and Testing for Performance; Carl Hanser Verlag GmbH & Company KG: Munich, Germany, 2014. [Google Scholar]
- Syed, I.H.; Klat, D.; Braer, A.; Fleck, F.; Lacayo-Pineda, J. Characterizing the influence of reinforcing resin on the structure and the mechanical response of filled isoprene rubber. Soft Mater. 2018, 16, 275–288. [Google Scholar] [CrossRef]
- Gardziella, A.; Pilato, L.A.; Knop, A. Economic Significance, Survey of Applications, and Six Bonding Functions. In Phenolic Resins: Chemistry, Applications, Standardization, Safety and Ecology; Springer: Berlin/Heidelberg, Germany, 2000; pp. 122–487. [Google Scholar]
- Boiney, A.F.S.F. Rubber-Phenolic Resin Composition. U.S. Patent 2532374A, 12 May 1945. [Google Scholar]
- Agency, E.C. ANNEX XV Restriction Report-Formaldehyde and Formaldehyde Releasers; ECHA: Helsinki, Finland, 2019. [Google Scholar]
- REACH. Available online: https://ec.europa.eu/environment/chemicals/reach/reach_en.htm (accessed on 14 December 2020).
- Shida, H. Overview and Historical Background of Polybenzoxazine Research. In Handbook of Benzoxazine Resins; Elsevier: Amsterdam, The Netherlands, 2011; Chapter 1; pp. 3–81. [Google Scholar]
- Ning, X.; Ishida, H. Phenolic materials via ring-opening polymerization: Synthesis and characterization of bisphenol-A based benzoxazines and their polymers. J. Polym. Sci. A Polym. Chem. 1994, 32, 1121–1129. [Google Scholar] [CrossRef]
- Manuspiya, H.; Ishida, H. Polybenzoxazine-Based Composites for Increased Dielectric Constant. In Handbook of Benzoxazine Resins; Ishida, H., Agag, T., Eds.; Elsevier: Amsterdam, The Netherlands, 2011; Chapter 8; pp. 621–639. [Google Scholar]
- Jang, J.; Seo, D. Performance improvement of rubber-modified polybenzoxazine. J. Appl. Polym. Sci. 1998, 67, 1–10. [Google Scholar] [CrossRef]
- Lee, Y.-H.; Allen, D.J.; Ishida, H. Effect of rubber reactivity on the morphology of polybenzoxazine blends investigated by atomic force microscopy and dynamic mechanical analysis. J. Appl. Polym. Sci. 2006, 100, 2443–2454. [Google Scholar] [CrossRef]
- Suwitaningsih, D.N.; Katsuta, S.; Kawauchi, T.; Furukawa, N.; Takeichi, T. Preparation and Characterization of Liquid Rubber-modified Polybenzoxazine. J. Photopolym. Sci. Technol. 2015, 28, 137–143. [Google Scholar] [CrossRef]
- Jubsilp, C.; Taewattana, R.; Talkeichi, T.; Rimdusit, S. Investigation on Rubber-Modified Polybenzoxazine Composites for Lubricating Material Applications. J. Mater. Eng. Perform. 2015, 24, 3958–3968. [Google Scholar] [CrossRef]
- Jubsilp, C.; Rimdusit, S. Polybenzoxazine-Based Self-Lubricating and Friction Materials A2-Ishida, Hatsuo. In Advanced and Emerging Polybenzoxazine Science and Technology; Froimowicz, P., Ed.; Elsevier: Amsterdam, The Netherlands, 2017; Chapter 44; pp. 945–974. [Google Scholar]
- Kukut, M.; Kiskan, B.; Yagci, Y.; Hatipoglu, M. Self-Curable Benzoxazine Functional Polybutadienes Synthesized by Click Chemistry. Des. Monomers Polym. 2009, 12, 167–176. [Google Scholar] [CrossRef]
- Bai, J.; Shi, Z.; Yin, J.; Tian, M. Tailoring the Morphologies and Mechanical Properties of Styrene–Butadiene–Styrene Triblock Copolymers by the Incorporation of Thiol Functionalized Benzoxazine. Macromolecules 2014, 47, 2964–2973. [Google Scholar] [CrossRef]
- Ren, S.; Miao, X.; Song, W. Convenient preparation of flexible polysulfide rubber chain-bridged polybenzoxazine. Polym. J. 2019, 51, 397–403. [Google Scholar] [CrossRef]
- Fujiki, H. Rubber Composition and Tire Using the Same. Japan Patent 2007211088, 23 August 2007. [Google Scholar]
- Rubber Composition and Pneumatic Tire. Japan Patent JP5005609B2, 22 August 2012.
- Benzoxazine Compound and Manufacturing Method Thereof. Korea Patent 1020150017491A, 2015.
- Milan, F.; Marco, R. Polybenzoxazine Utilisable Pour le Revetement de Metal et Son Collage a du Caoutchouc. France Patent FR3057872A1, 26 October 2016. [Google Scholar]
- Milan, F.; Marco, R. Renfort Metallique ou Metallise Dont la Surface est Revetue d'une Polybenzoxazine Sulfuree. France Patent FR3067646A1, 21 December 2018. [Google Scholar]
- Sung, D.K.; Park, H. Rubber Composition Containing Main-Chain Benzoxazine, and Preparation Method Thereof. U.S. Patent US10538648B2, 21 January 2020. [Google Scholar]
- Liu, C.; Chen, Q.Y. Catalytic Accelerated Polymerization of Benzoxazines and Their Mechanistic Considerations A2—Ishida, Hatsuo. In Advanced and Emerging Polybenzoxazine Science and Technology; Froimowicz, P., Ed.; Elsevier: Amsterdam, The Netherlands, 2017; Chapter 2; pp. 9–21. [Google Scholar]
- Lin, H.-K.; Liu, Y.-L. Sulfur Radical Transfer and Coupling Reaction to Benzoxazine Groups: A New Reaction Route for Preparation of Polymeric Materials Using Elemental Sulfur as a Feedstock. Macromol. Rapid Commun. 2018, 39, e1700832. [Google Scholar] [CrossRef] [PubMed]
- Akay, S.; Kayan, B.; Kalderis, D.; Arslan, M.; Yagci, Y.; Kiskan, B. Poly(benzoxazine-co-sulfur): An efficient sorbent for mercury removal from aqueous solution. J. Appl. Polym. Sci. 2017, 134, 45306. [Google Scholar] [CrossRef]
- Arslan, M.; Kiskan, B.; Yagci, Y. Combining Elemental Sulfur with Polybenzoxazines via Inverse Vulcanization. Macromolecules 2016, 49, 767–773. [Google Scholar] [CrossRef]
- Arslan, M.; Kiskan, B.; Yagci, Y. Recycling and Self-Healing of Polybenzoxazines with Dynamic Sulfide Linkages. Sci. Rep. 2017, 7, 5207. [Google Scholar] [CrossRef] [PubMed]
- Bayram, O.; Kiskan, B.; Demir, E.; Demir-Cakan, R.; Yagci, Y. Advanced Thermosets from Sulfur and Renewable Benzoxazine and Ionones via Inverse Vulcanization. ACS Sustain. Chem. Eng. 2020, 8, 9145–9155. [Google Scholar] [CrossRef]
- Arza, C.R.; Froimowicz, P.; Ishida, H. Triggering effect caused by elemental sulfur as a mean to reduce the polymerization temperature of benzoxazine monomers. RSC Adv. 2016, 6, 35144–35151. [Google Scholar] [CrossRef]
- Pang, T.; Zeng, M.; Feng, Z.; Chen, J.; Huang, Y.; Xu, Q. A facile method for the preparation of furfurylamine based benzoxazine resin with high-frequency low dielectric constants and ultra-low dielectric losses. J. Mater. Sci. Mater. Electron. 2019, 30, 8358–8370. [Google Scholar] [CrossRef]
- Salum, M.; Iguchi, D.; Arza, C.R.; Han, L.; Ishida, H.; Froimowicz, P. Making Benzoxazines Greener: Design, Synthesis, and Polymerization of a Biobased Benzoxazine Fulfilling Two Principles of Green Chemistry. Acs Sustain. Chem. Eng. 2018, 6, 13096–13106. [Google Scholar] [CrossRef]
- Trejo-Machin, A.; Adjaoud, A.; Puchot, L.; Dieden, R.; Verge, P. Elucidating the thermal and polymerization behaviours of benzoxazines from lignin derivatives. Eur. Polym. J. 2020, 124, 109468. [Google Scholar] [CrossRef]
- Trejo-Machin, A.; Puchot, L.; Verge, P. A cardanol-based polybenzoxazine vitrimer: Recycling, reshaping and reversible adhesion. Polym. Chem. 2020, 11, 7026–7034. [Google Scholar] [CrossRef]
- Gorodisher, I.; DeVoe, R.J.; Webb, R.J. Catalytic Opening of Lateral Benzoxazine Rings by Thiols. In Handbook of Benzoxazine Resins; Ishida, H., Agag, T., Eds.; Elsevier: Amsterdam, The Netherlands, 2011; Chapter 11; pp. 211–234. [Google Scholar]
- Kawaguchi, A.W.; Sudo, A.; Endo, T. Thiol-functionalized 1,3-benzoxazine: Preparation and its use as a precursor for highly polymerizable benzoxazine monomers bearing sulfide moiety. J. Polym. Sci. A Polym. Chem. 2014, 52, 1448–1457. [Google Scholar] [CrossRef]
- Yang, Y.-M.; Yu, H.-Z.; Sun, X.-H.; Dang, Z.-M. Density functional theory calculations on S―S bond dissociation energies of disulfides. J. Phys. Org. Chem. 2016, 29, 6–13. [Google Scholar] [CrossRef]
- Rodgers, B.; Waddell, W.H.; Klingensmith, W. Rubber Compounding. Encycl. Polym. Sci. Technol. 2004. [Google Scholar] [CrossRef]
- Griebel, J.J.; Nguyen, N.A.; Astashkin, A.V.; Glass, R.S.; Mackay, M.E.; Char, K.; Pyun, J. Preparation of Dynamic Covalent Polymers via Inverse Vulcanization of Elemental Sulfur. ACS Macro Lett. 2014, 3, 1258–1261. [Google Scholar] [CrossRef]
- Barton, A.F.M. CRC handbook of polymer-liquid interaction parameters and solubility parameters. Polym. Adv. Technol. 1992, 3, 47. [Google Scholar] [CrossRef]
- Proksch, R.; Yablon, D.G. Loss tangent imaging: Theory and simulations of repulsive-mode tapping atomic force microscopy. Appl. Phys. Lett. 2012, 100, 073106. [Google Scholar] [CrossRef]












| Compound | %wt | phr | |||
|---|---|---|---|---|---|
| Polyisoprene | 86.6 | 83.0 | 76.6 | 68.7 | 100 |
| Benzoxazine | 0 | 4.1 | 11.5 | 20.6 | 0/5/15/30 |
| Zinc oxide (ZnO) | 4.3 | 4.1 | 3.8 | 3.4 | 5 |
| Stearic acid (SA) | 1.7 | 1.7 | 1.5 | 1.4 | 2 |
| Sulfur | 4.8 | 4.6 | 4.2 | 3.8 | 5.5 |
| DCBS1 | 2.6 | 2.5 | 2.3 | 2.1 | 3 |
| Benzoxazine | Tp,onset a (°C) | Tp,max b (°C) | ΔHp c (J/g) | ΔHp d (kJ/mol) | T5% e (°C) | tgel (min) | Tg f (°C) |
|---|---|---|---|---|---|---|---|
| 4DPDS-fa | 170 | 215/240 | 348 | 172 | 250 | 17 | >265 |
| 3DPDS-fa | 180 | 214 | 359 | 178 | 264 | 41 | >270 |
| 4DTP-fa | 175 | 224/250 | 319 | 148 | 262 | 34 | 265 |
| Compounds with and without Bz | t90 a (min) | S’max b (dN·m) | νc ·10−4 c (mol·cm−3) |
|---|---|---|---|
| PI | 27 | 11 | 2.01 |
| PI(4DTP-fa)5 | 29 | 12 | 2.14 |
| PI(4DTP-fa)15 | 33 | 10 | 1.98 |
| PI(4DTP-fa)30 | 30 | 10 | 1.38 |
| PI(4DPDS-fa)5 | 21 | 10 | 1.93 |
| PI(4DPDS-fa)15 | 16 | 6 | 0.87 |
| PI(4DPDS-fa)30 | 18 | 3 | 0.31 |
| PI(3DPDS-fa)5 | 26 | 12 | 2.34 |
| PI(3DPDS-fa)15 | 27 | 11 | 2.10 |
| PI(3DPDS-fa)30 | 29 | 11 | 1.75 |
| Compounds with and without Bz | Young Modulus (MPa) | σ200% of strain a (MPa) | σ600% of strain b (MPa) | σbreak c (MPa) | εbreak d (%) |
|---|---|---|---|---|---|
| PI | 2.6 ± 0.1 | 2.28 ± 0.02 | 10.9 ± 1.1 | 11.3 ± 1.4 | 551 ± 67 |
| PI(4DTP-fa)5 | 2.7 ± 0.2 | 2.54 ± 0.01 | - | 5.8 ± 1.0 | 391 ± 42 |
| PI(4DTP-fa)15 | 2.9 ± 0.1 | 2.50 ± 0.03 | - | 4.7 ± 0.6 | 346 ± 35 |
| PI(4DTP-fa)30 | 2.8 ± 0.2 | 2.21 ± 0.09 | 9.3 ± 0.4 | 11.6 ± 3.2 | 650 ± 80 |
| PI(4DPDS-fa)5 | 1.7 ± 0.3 | 2.22 ± 0.03 | - | 7.8 ± 1.4 | 499 ± 46 |
| PI(4DPDS-fa)15 | 1.8 ± 0.1 | 1.12 ± 0.02 | 3.71 ± 0.04 | 19.0 ± 0.8 | 1032 ± 9 |
| PI(4DPDS-fa)30 | 1.8 ± 0.1 | 0.87 ± 0.01 | 3.00 ± 0.06 | 13.9 ± 0.8 | 1060 ± 20 |
| PI(3DPDS-fa)5 | 2.7 ± 0.7 | 2.86 ± 0.04 | - | 4.3 ± 0.8 | 284 ± 42 |
| PI(3DPDS-fa)15 | 2.8 ± 0.2 | 2.57 ± 0.04 | 12.8 ± 0.3 | 18.3 ± 0.6 | 691 ± 3 |
| PI(3DPDS-fa)30 | 3.1 ± 0.1 | 2.39 ± 0.04 | 9.84 ± 0.14 | 13.7 ± 3.3 | 710 ± 70 |
Publisher’s Note: MDPI stays neutral with regard to jurisdictional claims in published maps and institutional affiliations. |
© 2021 by the authors. Licensee MDPI, Basel, Switzerland. This article is an open access article distributed under the terms and conditions of the Creative Commons Attribution (CC BY) license (https://creativecommons.org/licenses/by/4.0/).
Share and Cite
Trejo-Machin, A.; Cosas Fernandes, J.P.; Puchot, L.; Balko, S.; Wirtz, M.; Weydert, M.; Verge, P. Synthesis of Novel Benzoxazines Containing Sulfur and Their Application in Rubber Compounds. Polymers 2021, 13, 1262. https://doi.org/10.3390/polym13081262
Trejo-Machin A, Cosas Fernandes JP, Puchot L, Balko S, Wirtz M, Weydert M, Verge P. Synthesis of Novel Benzoxazines Containing Sulfur and Their Application in Rubber Compounds. Polymers. 2021; 13(8):1262. https://doi.org/10.3390/polym13081262
Chicago/Turabian StyleTrejo-Machin, Acerina, João Paulo Cosas Fernandes, Laura Puchot, Suzanne Balko, Marcel Wirtz, Marc Weydert, and Pierre Verge. 2021. "Synthesis of Novel Benzoxazines Containing Sulfur and Their Application in Rubber Compounds" Polymers 13, no. 8: 1262. https://doi.org/10.3390/polym13081262
APA StyleTrejo-Machin, A., Cosas Fernandes, J. P., Puchot, L., Balko, S., Wirtz, M., Weydert, M., & Verge, P. (2021). Synthesis of Novel Benzoxazines Containing Sulfur and Their Application in Rubber Compounds. Polymers, 13(8), 1262. https://doi.org/10.3390/polym13081262

