Water Resistance and Creep Behavior of Heat-Treated Moso Bamboo Determined by the Stepped Isostress Method
Abstract
1. Introduction
2. Materials and Methods
2.1. Materials and Heat Treatment Process
2.2. Physical and Flexural Properties
2.2.1. Density
2.2.2. Moisture Content
2.2.3. Flexural Properties
2.2.4. Water Absorption Test
2.3. Creep Test
2.4. Analysis of Variance
3. Results and Discussion
3.1. Physical and Flexural Properties
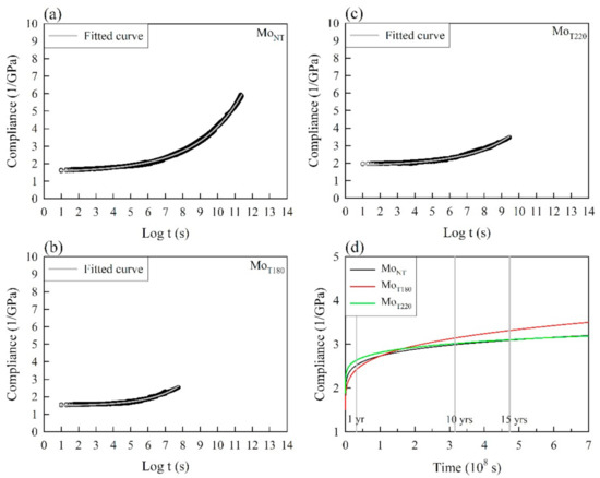
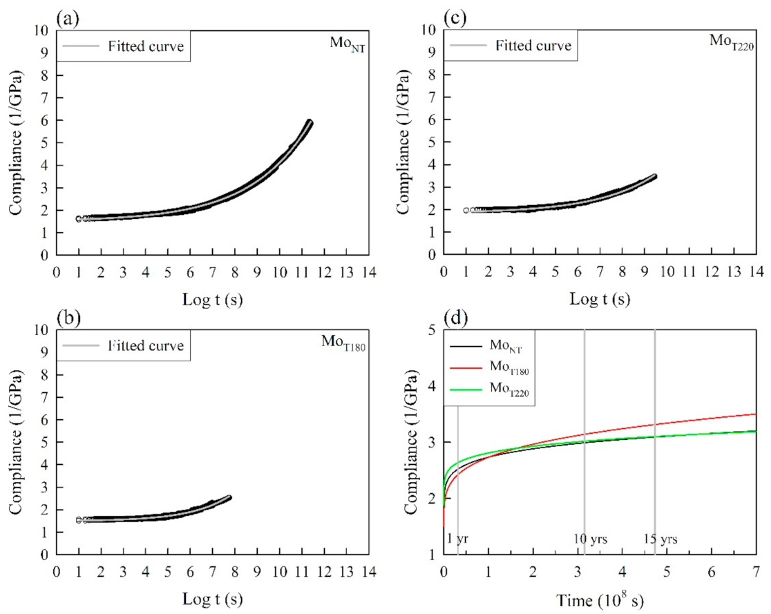
3.2. Master and Predicted Curves by the SSM
4. Conclusions
Author Contributions
Funding
Institutional Review Board Statement
Informed Consent Statement
Data Availability Statement
Conflicts of Interest
References
- Chung, M.-J.; Wang, S.-Y. Mechanical properties of oriented bamboo scrimber boards made of Phyllostachys pubescens (moso bamboo) from Taiwan and China as a function of density. Holzforshung 2018, 72, 151–158. [Google Scholar] [CrossRef]
- Yu, Y.; Liu, R.; Huang, X.; Meng, F.; Yu, W. Preparation, physical, mechanical, and interfacial morphological properties of engineered bamboo scrimber. Constr. Build. Mater. 2017, 157, 1032–1039. [Google Scholar] [CrossRef]
- Yang, T.-C.; Lee, T.-Y. Effects of density and heat treatment on the physico-mechanical properties of unidirectional round bamboo stick boards (UBSBs) made of Makino bamboo (Phyllostachys makinoi). Constr. Build. Mater. 2018, 187, 406–413. [Google Scholar] [CrossRef]
- Verma, C.S.; Chariar, V.M. Development of layered laminate bamboo composite and their mechanical properties. Compos. Part B Eng. 2012, 43, 1063–1069. [Google Scholar] [CrossRef]
- Lee, C.H.; Chung, M.J.; Lin, C.H.; Yang, T.H. Effects of layered structure on the physical and mechanical properties of laminated moso bamboo (Phyllosachys edulis) flooring. Constr. Build. Mater. 2012, 28, 31–35. [Google Scholar] [CrossRef]
- Lee, S.-H.; Wang, S. Biodegradable polymers/bamboo fiber biocomposite with bio-based coupling agent. Compos. Part A Appl. Sci. Manuf. 2006, 37, 80–91. [Google Scholar] [CrossRef]
- Yang, T.-C.; Wu, T.-L.; Hung, K.-C.; Chen, Y.-L.; Wu, J.-H. Mechanical properties and extended creep behavior of bamboo fiber reinforced recycled poly(lactic acid) composites using the time-temperature superposition principle. Constr. Build. Mater. 2015, 93, 558–563. [Google Scholar] [CrossRef]
- Yang, T.-H.; Lee, C.-H.; Lee, C.-J.; Cheng, Y.-W. Effects of different thermal modification media on physical and mechanical properties of moso bamboo. Constr. Build. Mater. 2016, 119, 251–259. [Google Scholar] [CrossRef]
- Zhang, Y.; Yu, Y.; Yu, W. Effect of thermal treatment on the physical and mechanical properties of Phyllostachys pubescen bamboo. Eur. J. Wood Wood Prod. 2013, 71, 61–67. [Google Scholar] [CrossRef]
- Yang, T.-C.; Yang, Y.-H.; Yeh, C.-H. Thermal decomposition behavior of thin Makino bamboo (Phyllostachys makinoi) slivers under nitrogen atmosphere. Mater. Today Commun. 2021, 26, 102054. [Google Scholar] [CrossRef]
- Chung, M.J.; Wang, S.Y. Effects of peeling and steam-heating treatment on basic properties of two types of bamboo culms (Phyllostachys makinoi and Phyllostachys pubescens). J. Wood Sci. 2017, 63, 473–482. [Google Scholar] [CrossRef]
- Marasigan, O.S.; Razal, R.A.; Alipon, M.A. Effect of thermal treatment on the wettability of giant bamboo (Dendrocalamus asper) and kawayan tinik (Bambusa blumeana) in the Philippines. J Trop. For. Sci. 2020, 32, 369–378. [Google Scholar] [CrossRef]
- Brito, F.M.S.; Paes, J.B.; Oliveira, J.T.D.; Arantes, M.D.C.; Dudecki, L. Chemical characterization and biological resistance of thermally treated bamboo. Constr. Build. Mater. 2020, 262, 120033. [Google Scholar] [CrossRef]
- Kanzawa, E.; Aoyagi, S.; Nakano, T. Vascular bundle shape in cross-section and relaxation properties of Moso bamboo (Phyllostachys pubescens). Mater. Sci. Eng. C 2011, 31, 1050–1054. [Google Scholar] [CrossRef]
- Tsubaki, T.; Nakano, T. Creep behavior of bamboo under various desorption conditions. Holzforschung 2010, 64, 489–493. [Google Scholar] [CrossRef][Green Version]
- Gottron, J.; Harries, K.A.; Xu, Q. Creep behavior of bamboo. Constr. Build. Mater. 2016, 119, 251–259. [Google Scholar] [CrossRef]
- Huang, C.-W.; Yang, T.-C.; Wu, T.-L.; Hung, K.-C.; Wu, J.-H. Effects of maleated polypropylene content on the extended creep behavior of wood polypropylene composites using the stepped isothermal method and the stepped isostress method. Wood Sci. Technol. 2018, 52, 1313–1330. [Google Scholar] [CrossRef]
- Hung, K.-C.; Wu, T.-L.; Wu, J.-H. Long-term creep behavior prediction of sol-gel derived SiO2- and TiO2-wood composites using the stepped isostress method. Polymers 2019, 11, 1215. [Google Scholar] [CrossRef]
- Giannopoulos, I.P.; Burgoyne, C.J. Accelerated and real-time creep and creep-rupture results for aramid fibers. J. Appl. Polym. Sci. 2012, 125, 3856–3870. [Google Scholar] [CrossRef]
- Hadid, M.; Guerira, B.; Bahri, M.; Zouani, A. Assessment of the stepped isostress method in the prediction of long term creep of thermoplastics. Polym. Test. 2014, 34, 113–119. [Google Scholar] [CrossRef]
- Chevali, V.S.; Dean, D.R.; Janowski, G.M. Flexural creep behavior of discontinuous thermoplastic composites: Non-linear viscoelastic modeling and time–temperature–stress superposition. Compos. Part A Appl. Sci. 2009, 40, 870–877. [Google Scholar] [CrossRef]
- Lee, C.-H.; Yang, T.-H.; Cheng, Y.-W.; Lee, C.-J. Effects of thermal modification on the surface and chemical properties of moso bamboo. Constr. Build. Mater. 2018, 178, 59–71. [Google Scholar] [CrossRef]
- Salim, R.; Ashaari, Z.; Samsi, H.W.; Wahab, R.; Alamjuri, R.H. Effect of oil heat treatment on physical properties of Semantan bamboo. Mod. Appl. Sci. 2010, 4, 107–113. [Google Scholar] [CrossRef][Green Version]
- Windeisen, E.; Bächle, H.; Zimmer, B.; Wegener, G. Relations between chemical changes and mechanical properties of thermally treated wood. Holzforschung 2009, 63, 773–778. [Google Scholar] [CrossRef]
- Tumuluru, J.S.; Sokhansanj, S.; Hess, J.R.; Wright, C.T.; Boardman, R.D. A review on biomass torrefaction process and product properties for energy applications. Ind. Biotechnol. 2011, 7, 384–401. [Google Scholar] [CrossRef]
- Borrega, M.; Kärenlampi, P.P. Hygroscopicity of heat-treated Norway spruce (Picea abies) wood. Eur. J. Wood Prod. 2010, 68, 233–235. [Google Scholar] [CrossRef][Green Version]
- Manalo, R.; Acda, M. Effects of hot oil treatment on physical and mechanical properties of three species of Philippine bamboo. J. Trop. For. Sci. 2009, 21, 19–24. Available online: https://www.jstor.org/stable/23616558?seq=1#metadata_info_tab_contents (accessed on 23 February 2020).
- Garrote, G.; Dominiguez, H.; Parajo, J.C. Study on the deactylation of hemicelluloses during the hydrothermal processing of Eucalyptus wood. Holz. Roh. Werkst. 2001, 59, 53–59. [Google Scholar] [CrossRef]
- Çolak, S.; Çolakoğlu, G.; Aydin, I.; Kalaycioğlu, H. Effects of steaming process on some properties of eucalyptus particleboard bonded with UF and MUF adhesives. Build. Environ. 2007, 42, 304–309. [Google Scholar] [CrossRef]
- Bhuiyan, M.T.R.; Sobue, N.H.N. Changes of crystallinity in wood cellulose by heat treatment under dried and moist conditions. J. Wood Sci. 2000, 46, 431–436. [Google Scholar] [CrossRef]
- Abdullah, C.K.; Jawaid, M.; Abdul Khalil, H.P.S.; Zaidon, A.; Hadiyane, A. Oil palm trunk polymer composite: Morphology, water absorption, and thickness swelling behaviors. BioResources 2012, 7, 2948–2959. Available online: https://ojs.cnr.ncsu.edu/index.php/BioRes/article/view/BioRes_07_3_2948_Abdullah_JKZH_Palm_Trunk_Polymer_Composite (accessed on 23 February 2020).
- Abdul Khalil, H.P.S.; Bhata, I.U.H.; Jawaid, M.; Zaidon, A.; Hermawan, D.; Hadi, Y.S. Bamboo fibre reinforced biocomposites: A review. Mater. Des. 2012, 42, 353–368. [Google Scholar] [CrossRef]
- Ayrilmis, N.; Jarusombuti, S.; Fueangvivat, V.; Bauchongkol, P. Effect of thermal-treatment of wood fibres on properties of flat-pressed wood plastic composites. Polym. Degrad. Stab. 2011, 96, 818–822. [Google Scholar] [CrossRef]
- Winandy, J.E.; Krzysik, A. Thermal degradation of wood fibres during hot-pressing of MDF composites: Part I. Relative effects and benefits of thermal exposure. Wood Fiber. Sci. 2007, 39, 450–461. Available online: https://www.fs.usda.gov/treesearch/pubs/29254 (accessed on 23 February 2020).
- Yeo, S.S.; Hsuan, Y.G. Predicting the creep behavior of high density polyethylene geogrid using stepped isothermal method. In Service Life Prediction of Polymeric Materials: Global Perspectives; Martin, J.W., Ryntz, R.A., Chin, J., Dickie, R.A., Eds.; Springer: New York, NY, USA, 2009; pp. 205–218. [Google Scholar]
- Gao, R.; Kuriyagawa, M.; Nitta, K.-H.; He, X.; Liu, B. Structural interpretation of Eyring activation parameters for tensile yielding behavior of isotactic polypropylene solids. J. Macromol. Sci. B 2015, 54, 1196–1210. [Google Scholar] [CrossRef]




| Code | ρ (kg/m3) | DLR (%) | MC (%) | MLR (%) | Flexural Properties | ||
|---|---|---|---|---|---|---|---|
| MOR (MPa) | MOE (GPa) | εu (%) | |||||
| MoNT | 721 ± 13 a | – | 8.9 ± 0.2 a | – | 135 ± 7 a | 10.8 ± 1.1 a | 2.9 ± 0.3 a |
| MoT180 | 682 ± 20 b | 4.0 ± 1.0 b | 6.0 ± 0.4 b | 33.5 ± 4.2 b | 133 ± 7 a | 11.6 ± 0.6 a | 1.5 ± 0.1 b |
| MoT220 | 642 ± 19 c | 10.8 ± 1.7 a | 5.0 ± 0.3 c | 44.9 ± 2.6 a | 91 ± 16 b | 10.8 ± 0.8 a | 1.1 ± 0.3 c |
| Code | WAR (%) | AWAE | VSC | ASE |
|---|---|---|---|---|
| (%) | (%) | (%) | ||
| MoNT | 49.3 ± 4.5 a | – | 10.6 ± 0.9 a | – |
| MoT180 | 35.2 ± 3.4 b | 28.3 ± 7.0 a | 7.9 ± 0.9 b | 24.1 ± 9.1 b |
| MoT220 | 33.2 ± 2.4 b | 32.4 ± 5.0 a | 4.5 ± 0.9 c | 56.3 ± 8.9 a |
| Code | S0 (1/GPa) | a | b | R2 | S(t) (1/GPa) | Rd (%) | ||||
|---|---|---|---|---|---|---|---|---|---|---|
| Time (Years) | Time (Years) | |||||||||
| 1 | 10 | 15 | 1 | 10 | 15 | |||||
| MoNT | 1.51 | 5.86 × 10−2 | 0.38 | 0.9981 | 2.52 | 2.99 | 3.09 | – | – | – |
| MoT180 | 1.49 | 1.30 × 10−2 | 0.57 | 0.9855 | 2.42 | 3.14 | 3.32 | −3.9 | 5.0 | 7.2 |
| MoT220 | 1.84 | 4.28 × 10−2 | 0.39 | 0.9928 | 2.64 | 3.02 | 3.10 | 4.5 | 0.9 | 0.3 |
Publisher’s Note: MDPI stays neutral with regard to jurisdictional claims in published maps and institutional affiliations. |
© 2021 by the authors. Licensee MDPI, Basel, Switzerland. This article is an open access article distributed under the terms and conditions of the Creative Commons Attribution (CC BY) license (https://creativecommons.org/licenses/by/4.0/).
Share and Cite
Yang, T.-C.; Wu, T.-L.; Yeh, C.-H. Water Resistance and Creep Behavior of Heat-Treated Moso Bamboo Determined by the Stepped Isostress Method. Polymers 2021, 13, 1264. https://doi.org/10.3390/polym13081264
Yang T-C, Wu T-L, Yeh C-H. Water Resistance and Creep Behavior of Heat-Treated Moso Bamboo Determined by the Stepped Isostress Method. Polymers. 2021; 13(8):1264. https://doi.org/10.3390/polym13081264
Chicago/Turabian StyleYang, Teng-Chun, Tung-Lin Wu, and Chin-Hao Yeh. 2021. "Water Resistance and Creep Behavior of Heat-Treated Moso Bamboo Determined by the Stepped Isostress Method" Polymers 13, no. 8: 1264. https://doi.org/10.3390/polym13081264
APA StyleYang, T.-C., Wu, T.-L., & Yeh, C.-H. (2021). Water Resistance and Creep Behavior of Heat-Treated Moso Bamboo Determined by the Stepped Isostress Method. Polymers, 13(8), 1264. https://doi.org/10.3390/polym13081264

