3D Printing of Thermoplastic Elastomers: Role of the Chemical Composition and Printing Parameters in the Production of Parts with Controlled Energy Absorption and Damping Capacity
Abstract
:1. Introduction
2. Materials and Methods
2.1. Materials
- TPU-Ultimaker (Ultimaker, Utrecht, Netherlands) [37]
- Flexfil_93A (Filamentum, Hulín, Czech Republic) [38]
- FlexSmart (SmartMaterials, Jaén, Spain) [39]
- PolyFlex_95A (Polymaker, Shangai, China) [40]
- eFLEX (eSUN, Shenzhen, China) [41]
- Innovatefil TPU Hardness + (83D) Smart Materials 3D (Innovatefil, Jaén, Spain) [42]
- Filaflex_95A (Recreus, Alicante, Spain) [43]
- Filaflex_82A (Recreus, Alicante, Spain) [44]
- Filaflex_70A (Recreus, Alicante, Spain) [45]
- FlexiSmart (FFF World, Cantabria, Spain) [46]
2.2. FDM 3D Printers
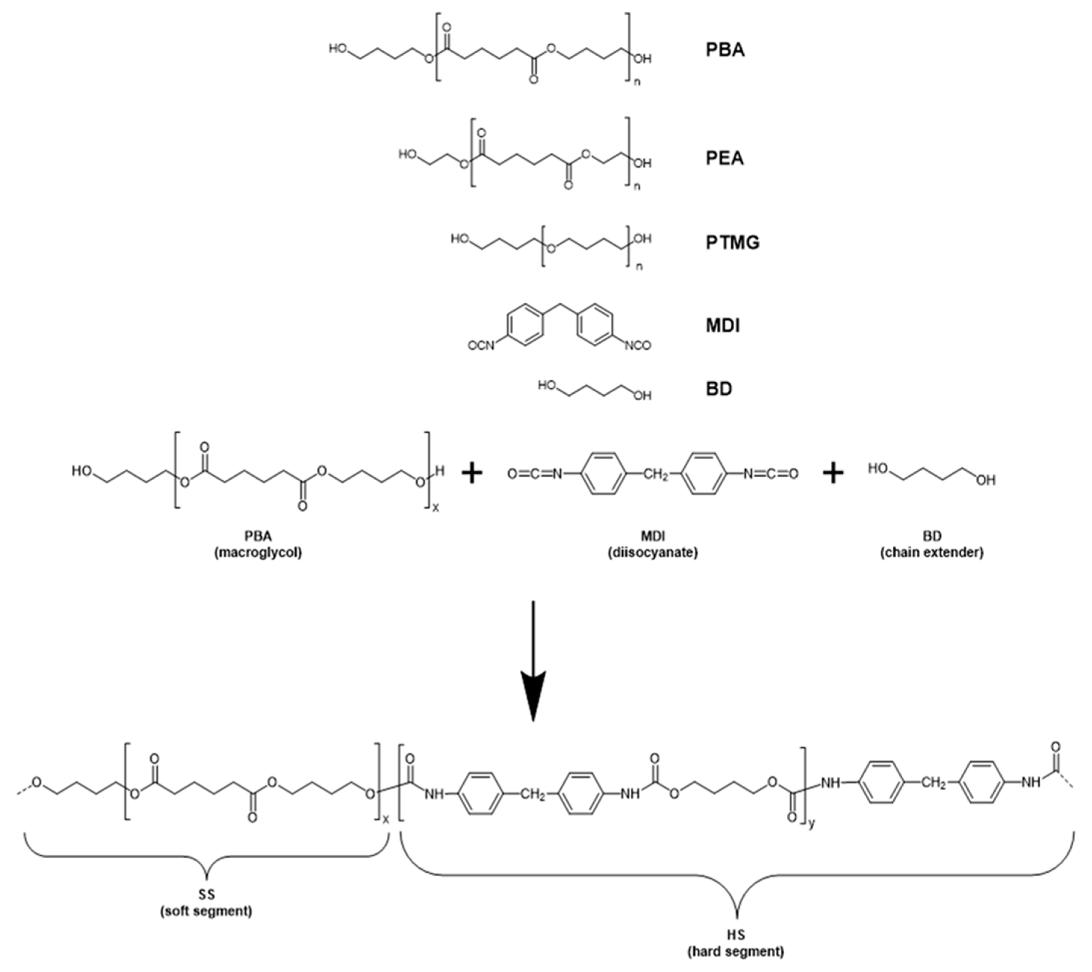
2.3. Chemical Composition of the Filaments–1H-NMR
2.4. Dynamic Scanning Calorimetry (DSC)
2.5. Thermogravimetric Analysis (TGA)
2.6. Filament Mechanical Properties
2.7. Compression Tests
2.8. 3D Printing of the Compression Specimens
3. Results and Discussion
3.1. Chemical Characterization of the Thermoplastic Elastomers
3.2. Thermal and Mechanical Properties of the Thermoplastic Elastomers
3.3. Optimization of the Fabrication Parameters for the TPUs
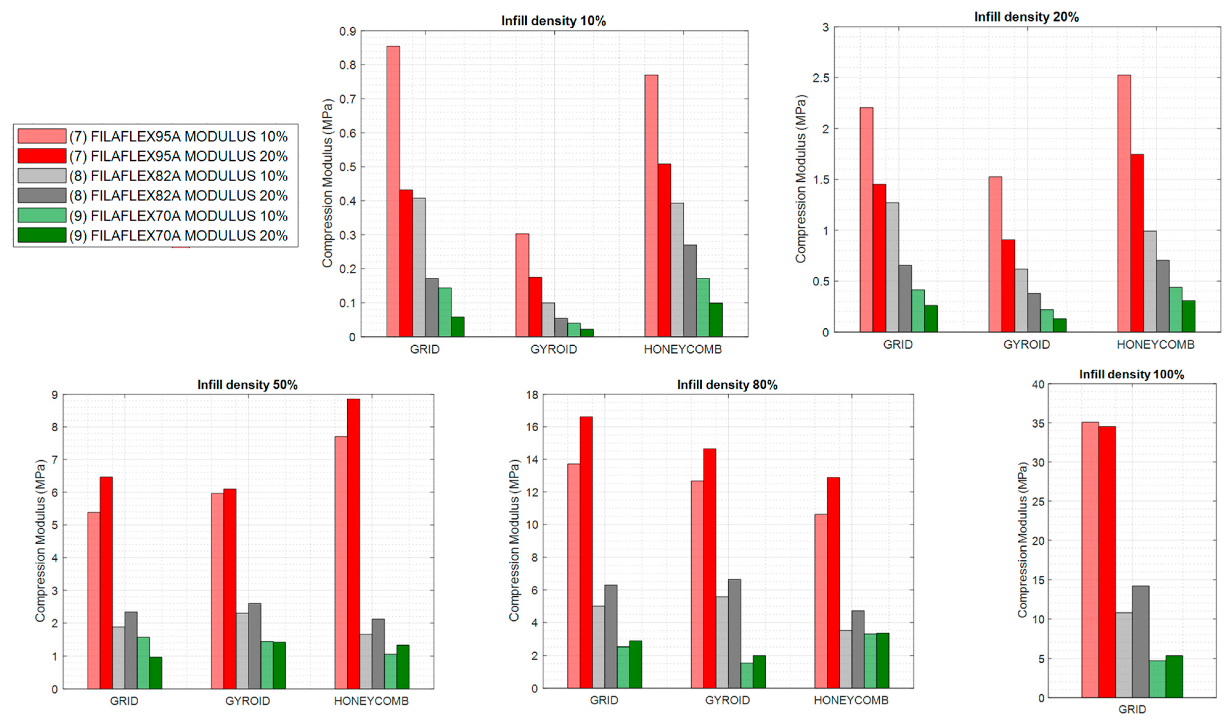
3.4. Mechanical Properties of Compresssion Test Specimens: Role of the Type of Infill and Infill Density
3.5. Energy Absorption of the TPU 3D Printed Parts
3.6. Specific Damping Capacity
4. Conclusions
Author Contributions
Funding
Institutional Review Board Statement
Informed Consent Statement
Data Availability Statement
Acknowledgments
Conflicts of Interest
Appendix A





References
- ISO 17296-2:2015. Additive Manufacturing—General Principles—Part 2: Overview of Process Categories and Feedstock, 1st ed.; ISO: Geneva, Switzerland, 2015. [Google Scholar]
- Dal, H.; Gültekin, O.; Açıkgöz, K. An extended eight-chain model for hyperelastic and finite viscoelastic response of rubberlike materials: Theory, experiments and numerical aspects. J. Mech. Phys. Solids 2020, 145, 104159. [Google Scholar] [CrossRef]
- León, M.; Marcos-Fernández, Á.; Rodríguez-Hernández, J. Impresión 3D con materiales elástoméricos. Rev. Plast. Mod. 2019, 118, 5–15. [Google Scholar]
- Bakır, A.A.; Neshani, R.; Özerinç, S. Mechanical Properties of 3D-Printed Elastomers Produced by Fused Deposition Modeling. In Fused Deposition Modeling Based 3D Printing; Springer: Cham, Switzerland, 2021; pp. 107–130. [Google Scholar]
- Rodríguez-Panes, A.; Claver, J.; Camacho, A.M. The Influence of Manufacturing Parameters on the Mechanical Behaviour of PLA and ABS Pieces Manufactured by FDM: A Comparative Analysis. Materials 2018, 11, 1333. [Google Scholar] [CrossRef] [PubMed] [Green Version]
- Chadha, A.; Haq, M.I.U.; Raina, A.; Singh, R.R.; Penumarti, N.B.; Bishnoi, M.S. Effect of fused deposition modelling process parameters on mechanical properties of 3D printed parts. World J. Eng. 2019, 16, 550–559. [Google Scholar] [CrossRef]
- Wang, S.; Ma, Y.; Deng, Z.; Zhang, S.; Cai, J. Effects of fused deposition modeling process parameters on tensile, dynamic mechanical properties of 3D printed polylactic acid materials. Polym. Test. 2020, 86, 106483. [Google Scholar] [CrossRef]
- Valerga, A.P.; Batista, M.; Salguero, J.; Girot, F. Influence of PLA Filament Conditions on Characteristics of FDM Parts. Materials 2018, 11, 1322. [Google Scholar] [CrossRef] [PubMed] [Green Version]
- Vălean, C.; Marșavina, L.; Mărghitaș, M.; Linul, E.; Razavi, J.; Berto, F. Effect of manufacturing parameters on tensile properties of FDM printed specimens. Procedia Struct. Integr. 2020, 26, 313–320. [Google Scholar] [CrossRef]
- Bates, S.R.; Farrow, I.R.; Trask, R.S. 3D printed elastic honeycombs with graded density for tailorable energy absorption. Active and Passive Smart Structures and Integrated Systems 2016. Int. Soc. Opt. Photonics 2016, 9799. [Google Scholar] [CrossRef] [Green Version]
- Bates, S.R.; Farrow, I.R.; Trask, R.S. 3D printed polyurethane honeycombs for repeated tailored energy absorption. Mater. Des. 2016, 112, 172–183. [Google Scholar] [CrossRef] [Green Version]
- Lee, H.; Eom, R.-I.; Lee, Y. Evaluation of the Mechanical Properties of Porous Thermoplastic Polyurethane Obtained by 3D Printing for Protective Gear. Adv. Mater. Sci. Eng. 2019, 2019, 1–10. [Google Scholar] [CrossRef] [Green Version]
- Duan, S.; Tao, Y.; Lei, H.; Wen, W.; Liang, J.; Fang, D. Enhanced out-of-plane compressive strength and energy absorption of 3D printed square and hexagonal honeycombs with variable-thickness cell edges. Extrem. Mech. Lett. 2018, 18, 9–18. [Google Scholar] [CrossRef]
- Ge, C.; Cormier, D.; Rice, B. Damping and cushioning characteristics of Polyjet 3D printed photopolymer with Kelvin model. J. Cell. Plast. 2021, 57, 517–534. [Google Scholar] [CrossRef]
- Ge, C.; Priyadarshini, L.; Cormier, D.; Pan, L.; Tuber, J. A preliminary study of cushion properties of a 3D printed thermoplastic polyurethane Kelvin foam. Packag. Technol. Sci. 2018, 31, 361–368. [Google Scholar] [CrossRef]
- Dadbakhsh, S.; Verbelen, L.; Vandeputte, T.; Strobbe, D.; Van Puyvelde, P.; Kruth, J.-P. Effect of Powder Size and Shape on the SLS Processability and Mechanical Properties of a TPU Elastomer. Phys. Procedia 2016, 83, 971–980. [Google Scholar] [CrossRef] [Green Version]
- Płatek, P.; Rajkowski, K.; Cieplak, K.; Sarzyński, M.; Małachowski, J.; Woźniak, R.; Janiszewski, J. Deformation Process of 3D Printed Structures Made from Flexible Material with Different Values of Relative Density. Polymers 2020, 12, 2120. [Google Scholar] [CrossRef] [PubMed]
- Singh, S.; Singh, R. Mechanical characterization and comparison of additive manufactured ABS, Polyflex™ and ABS/Polyflex™ blended functional prototypes. Rapid Prototyp. J. 2020, 26, 225–237. [Google Scholar] [CrossRef]
- Yarwindran, M.; Sa’aban, N.A.; Ibrahim, M.; Periyasamy, R. Thermoplastic elastomer infill pattern impact on mechanical properties 3D printed customized orthotic insole. ARPN J. Eng. Appl. Sci. 2016, 11, 6519–6524. [Google Scholar]
- Cakar, S.; Ehrmann, A. 3D Printing with Flexible Materials—kMechanical Properties and Material Fatigue. Macromol. Symp. 2021, 395, 2000203. [Google Scholar] [CrossRef]
- Georgopoulou, A.; Egloff, L.; Vanderborght, B.; Clemens, F. A Sensorized Soft Pneumatic Actuator Fabricated with Extrusion-Based Additive Manufacturing. Actuators 2021, 10, 102. [Google Scholar] [CrossRef]
- Irawan, W.; Ritonga, A.S.; Prastowo, A. Design and fabrication in the loop of soft pneumatic actuators using fused deposition modelling. Sens. Actuators A Phys. 2019, 298, 111556. [Google Scholar] [CrossRef]
- Alves, S.J.R. Design and Manufacturing of Soft Robotics Mechanisms: Improving the Reliability of Pneumatic-Based Solutions; Universidade de Coimbra: Coimbra, Portugal, 2020. [Google Scholar]
- Kuroda, S.; Kihara, T.; Akita, Y.; Kobayashi, T.; Nikawa, H.; Ohdan, H. Simulation and navigation of living donor hepatectomy using a unique three-dimensional printed liver model with soft and transparent parenchyma. Surg. Today 2019, 50, 307–313. [Google Scholar] [CrossRef]
- Smith, M.L.; Jones, J.F. Dual-extrusion 3D printing of anatomical models for education. Anat. Sci. Educ. 2017, 11, 65–72. [Google Scholar] [CrossRef] [PubMed]
- Casas, J.; Leal-Junior, A.; Díaz, C.R.; Frizera, A.; Múnera, M.; Cifuentes, C.A. Large-Range Polymer Optical-Fiber Strain-Gauge Sensor for Elastic Tendons in Wearable Assistive Robots. Materials 2019, 12, 1443. [Google Scholar] [CrossRef] [PubMed] [Green Version]
- Anver, H.M.; Mutlu, R.; Alici, G. 3D printing of a thin-wall soft and monolithic gripper using fused filament fabrication. In Proceedings of the 2017 IEEE International Conference on Advanced Intelligent Mechatronics (AIM), Munich, Germany, 3–7 July 2017; pp. 442–447. [Google Scholar]
- Tawk, C.; Gao, Y.; Mutlu, R.; Alici, G. Fully 3D Printed Monolithic Soft Gripper with High Conformal Grasping Capability. In Proceedings of the 2019 IEEE/ASME International Conference on Advanced Intelligent Mechatronics (AIM), Hong Kong, China, 8–12 July 2019; pp. 1139–1144. [Google Scholar]
- Haryńska, A.; Gubanska, I.; Kucinska-Lipka, J.; Janik, H. Fabrication and Characterization of Flexible Medical-Grade TPU Filament for Fused Deposition Modeling 3DP Technology. Polymers 2018, 10, 1304. [Google Scholar] [CrossRef] [Green Version]
- Haryńska, A.; Carayon, I.; Kosmela, P.; Brillowska-Dąbrowska, A.; Łapiński, M.; Kucińska-Lipka, J.; Janik, H. Processing of Polyester-Urethane Filament and Characterization of FFF 3D Printed Elastic Porous Structures with Potential in Cancellous Bone Tissue Engineering. Materials 2020, 13, 4457. [Google Scholar] [CrossRef]
- Tsang, H.; Tse, K.M.; Chan, K.; Lu, G.; Lau, A.K. Energy absorption of muscle-inspired hierarchical structure: Experimental investigation. Compos. Struct. 2019, 226, 111250. [Google Scholar] [CrossRef]
- Ferretti, P.; Leon-Cardenas, C.; Sali, M.; Santi, G.M.; Frizziero, L.; Donnici, G.; Liverani, A. Application of TPU–Sourced 3D Printed FDM Organs for Improving the Realism in Surgical Planning and Training. In Proceedings of the 11th Annual International Conference on Industrial Engineering and Operations Management, Singapore, 7–11 March 2021. [Google Scholar]
- Rigotti, D.; Dorigato, A.; Pegoretti, A. 3D printable thermoplastic polyurethane blends with thermal energy storage/release capabilities. Mater. Today Commun. 2018, 15, 228–235. [Google Scholar] [CrossRef]
- Wang, J.; Yang, B.; Lin, X.; Gao, L.; Liu, T.; Lu, Y.; Wang, R. Research of TPU Materials for 3D Printing Aiming at Non-Pneumatic Tires by FDM Method. Polymers 2020, 12, 2492. [Google Scholar] [CrossRef]
- Rodríguez-Parada, L.; de la Rosa, S.; Mayuet, P. Influence of 3D-Printed TPU Properties for the Design of Elastic Products. Polymers 2021, 13, 2519. [Google Scholar] [CrossRef] [PubMed]
- Ha, N.S.; Lu, G. A review of recent research on bio-inspired structures and materials for energy absorption applications. Compos. Part B Eng. 2020, 181, 107496. [Google Scholar] [CrossRef]
- TPU-Ultimaker. Technical and Safety Data Sheet. Available online: https://ultimaker.com/en/products/materials/tpu-95a (accessed on 1 September 2021).
- Flexfil_93A (Filamentum). Available online: https://fillamentum.com/collections/flexfill (accessed on 1 September 2021).
- FlexSmart (SmartMaterials). Available online: https://smartmaterials3d.com/es/tienda-smart/20-smartfil-flex.html (accessed on 1 September 2021).
- PolyFlex_95A (Polymaker). Available online: http://www.polymaker.com/shop/polyflex/ (accessed on 1 September 2021).
- eFLEX (eSUN). Available online: http://www.esun3d.net/products/163.html (accessed on 1 September 2021).
- Innovatefil TPU Hardness + (83D) Smart Materials 3D. Available online: https://smartmaterials3d.com/es/tienda-smart/181-innovatefil-tpu-hardness.html (accessed on 1 September 2021).
- Filaflex_95A (Recreus). Available online: https://recreus.com/es/12-filaflex-original-82a?page=2 (accessed on 1 September 2021).
- Filaflex_82A (Recreus). Available online: https://filament2print.com/es/filaflex/672-filaflex-natural.html (accessed on 1 September 2021).
- Filaflex_70A (Recreus). Available online: https://recreus.com/filamentos/filaflex-70a/ (accessed on 1 September 2021).
- FlexiSmart (FFF World). Available online: https://www.fffworld.com/es/blog/post/como-imprimir-en-3d-filamentos-flexibles-como-flexismart (accessed on 1 September 2021).
- Wimpenny, D.I.; Pandey, P.M.; Kumar, L.J. Advances in 3D Printing & Additive Manufacturing Technologies; Springer: Berlin/Heidelberg, Germany, 2017. [Google Scholar]
- Alia, R.; Zhou, J.; Guan, Z.; Qin, Q.; Duan, Y.; Cantwell, W. The effect of loading rate on the compression properties of carbon fibre-reinforced epoxy honeycomb structures. J. Compos. Mater. 2020, 54, 2565–2576. [Google Scholar] [CrossRef]
- Paik, J.K.; Thayamballi, A.K.; Kim, G.S. The strength characteristics of aluminum honeycomb sandwich panels. Thin-Walled Struct. 1999, 35, 205–231. [Google Scholar] [CrossRef]
- Schoen, A.H. Infinite Periodic Minimal Surfaces without Self-Intersections: National Aeronautics and Space Administration; National Aeronautics and Space Administration: Washington, DC, USA, 1970; p. 92.
- Abueidda, D.W.; Elhebeary, M.; Shiang, C.-S.; Pang, S.; Abu Al-Rub, R.K.; Jasiuk, I.M. Mechanical properties of 3D printed polymeric Gyroid cellular structures: Experimental and finite element study. Mater. Des. 2019, 165, 107597. [Google Scholar] [CrossRef]
- Li, D.; Liao, W.; Dai, N.; Dong, G.; Tang, Y.; Xie, Y.M. Optimal design and modeling of gyroid-based functionally graded cellular structures for additive manufacturing. Comput. Des. 2018, 104, 87–99. [Google Scholar] [CrossRef]
- Quan, H.; Zhang, B.; Zhao, Q.; Yuen, K.K.R.; Li, R.K. Facile preparation and thermal degradation studies of graphite nanoplatelets (GNPs) filled thermoplastic polyurethane (TPU) nanocomposites. Compos. Part A Appl. Sci. Manuf. 2009, 40, 1506–1513. [Google Scholar] [CrossRef]
- Shen, F.; Yuan, S.; Guo, Y.; Zhao, B.; Bai, J.; Qwamizadeh, M.; Chua, C.K.; Wei, J.; Zhou, K. Energy Absorption of Thermoplastic Polyurethane Lattice Structures via 3D Printing: Modeling and Prediction. Int. J. Appl. Mech. 2016, 8, 1640006. [Google Scholar] [CrossRef]
- Zhang, J.; Perez, R.J.; Lavernia, E.J. Documentation of damping capacity of metallic, ceramic and metal-matrix composite materials. J. Mater. Sci. 1993, 28, 2395–2404. [Google Scholar] [CrossRef]













| Monomer Composition | Hard Segment (%) | Shore | Commercial Name/Brand |
|---|---|---|---|
| PBA, MDI, BD | 52.4 | 95 A | (1) TPU-Ultimaker (95 A) |
| 57.8 | 98 A | (2) Flexfill (98 A) | |
| 42.0 | 93 A | (3) Smartfil Flex (93 A) | |
| 44.6 | 95 A | (4) PolyFlex (95 A) | |
| PTMG, MDI, BD | 49.8 | 87 A | (5) eFLEX (87 A) |
| 85.1 | 83 D | (6) Innovatefil TPU Hardness + (83 D) | |
| 54.2 | 95 A | (7) Filaflex (95 A) | |
| 47.5 | 82 A | (8) Filaflex (82 A) | |
| 31.4 | 70 A | (9) Filaflex (70 A) | |
| PEA, MDI, BD | 41.4 | 88 A | (10) Flexi Smart (88 A) |
| Monomer Composition | Material | Tg (°C) (Initial to End) | Tfusion (°C) Hard Segment | T5% (°C) | Td1 (°C) |
|---|---|---|---|---|---|
| PBA, MDI, BD | (1) TPU-Ultimaker (95 A) | −41 (−54 to −34) | 220 (10 to 238) | 308.4 | 341.7 |
| (2) Flexfill (98 A) | −7 (−18 to +9) | 174 (24 to 203) | 304.6 | 342.0 | |
| (3) Smartfil Flex (93 A) | −38 (−49 to −27) | 198 (27 to 226) | 302.0 | 350.8 | |
| (4) PolyFlex (95 A) | −22 (−32 to −8) | 160 (27 to 191) | 310.9 | 346.0 | |
| PTMG, MDI, BD | (5) eFLEX (87 A) | −43 (−59 to −31) | 165 (32 to 194) | 303.1 | 321.3 |
| (6) Innovatefil TPU Hardness + (83 D) | +52 (+40 to +76) | 207 (138 to 230) | 301.0 | 334.1 | |
| (7) Filaflex (95 A) | −37 (−57 to −19) | 174 (27 to 218) | 302.3 | 341.8 | |
| (8) Filaflex (82 A) | −45 (−57 to −33) | 163 (33 to 184) | 299.0 | 326.8 | |
| (9) Filaflex (70 A) | −60 (−69 to −51) | 64 (−14 to 180) | 289.7 | 297.9 | |
| PEA, MDI, BD | (10) Flexi Smart (88 A) | −27 (−35 to −19) | 164 (28 to 191) | 288.9 | 317.4 |
| Material | Modulus (MPa) | Tensile Strength (MPa) | Elongation at Break (%) |
|---|---|---|---|
| (1) TPU-Ultimaker (95 A) | 39 ± 2 | 44 ± 2 | 235 ± 14 |
| (2) Flexfill (98 A) | 137 ± 10 | 34.1 ± 1.0 | 405 ± 14 |
| (3) Smartfil Flex (93 A) | 46.7 ± 1.0 | 45.4 ± 1.0 | 490 ± 19 |
| (4) PolyFlex (95 A) | 28.6 ± 1.0 | 34.1 ± 1.4 | 640 ± 60 |
| (5) eFLEX (87 A) | 17.4 ± 0.4 | 30.4 ± 1.1 | 730 ± 20 |
| (6) Innovatefil TPU Hardness + (83 D) | 730 ± 50 | 51.1 ± 0.6 | 26 ± 7 |
| (7) Filaflex (95 A) | 31.4 ± 0.7 | 33 ± 3 | 610 ± 30 |
| (8) Filaflex (82 A) | 13.2 ± 0.3 | 33.6 ± 1.1 | 820 ± 20 |
| (9) Filaflex (70 A) | 5.5 ± 0.3 | 21 ± 2 | 1200 ± 160 |
| (10) Flexi Smart (88 A) | 22.5 ± 0.6 | 21.8 ± 0.8 | 1050 ± 50 |
| Parameters | Polyflex95A | Filaflex95A | Filaflex82A | Filaflex70A | FlexiSmart88A |
|---|---|---|---|---|---|
| Nozzle diameter (mm) | 0.4 | 0.4 | 0.4 | 0.4 | 0.4 |
| Layer height (mm) | 0.2 | 0.2 | 0.2 | 0.2 | 0.2 |
| Extrusion temperature (°C) | 225 | 225 | 230 | 235 | 225 |
| Heat bed temperature | 60 | 40 | 40 | 40 | 40 |
| Extrusion speed (mm·s−1) | 10–20 | 10–20 | 8–10 | 5–20 | 5–20 |
| Fan speed (%) | - | - | - | 100 | - |
Publisher’s Note: MDPI stays neutral with regard to jurisdictional claims in published maps and institutional affiliations. |
© 2021 by the authors. Licensee MDPI, Basel, Switzerland. This article is an open access article distributed under the terms and conditions of the Creative Commons Attribution (CC BY) license (https://creativecommons.org/licenses/by/4.0/).
Share and Cite
León-Calero, M.; Reyburn Valés, S.C.; Marcos-Fernández, Á.; Rodríguez-Hernandez, J. 3D Printing of Thermoplastic Elastomers: Role of the Chemical Composition and Printing Parameters in the Production of Parts with Controlled Energy Absorption and Damping Capacity. Polymers 2021, 13, 3551. https://doi.org/10.3390/polym13203551
León-Calero M, Reyburn Valés SC, Marcos-Fernández Á, Rodríguez-Hernandez J. 3D Printing of Thermoplastic Elastomers: Role of the Chemical Composition and Printing Parameters in the Production of Parts with Controlled Energy Absorption and Damping Capacity. Polymers. 2021; 13(20):3551. https://doi.org/10.3390/polym13203551
Chicago/Turabian StyleLeón-Calero, Marina, Sara Catherine Reyburn Valés, Ángel Marcos-Fernández, and Juan Rodríguez-Hernandez. 2021. "3D Printing of Thermoplastic Elastomers: Role of the Chemical Composition and Printing Parameters in the Production of Parts with Controlled Energy Absorption and Damping Capacity" Polymers 13, no. 20: 3551. https://doi.org/10.3390/polym13203551
APA StyleLeón-Calero, M., Reyburn Valés, S. C., Marcos-Fernández, Á., & Rodríguez-Hernandez, J. (2021). 3D Printing of Thermoplastic Elastomers: Role of the Chemical Composition and Printing Parameters in the Production of Parts with Controlled Energy Absorption and Damping Capacity. Polymers, 13(20), 3551. https://doi.org/10.3390/polym13203551

