Strong Plasmon–Exciton Coupling in Ag Nanoparticle—Conjugated Polymer Core-Shell Hybrid Nanostructures
Abstract
1. Introduction
2. Materials and Methods
3. Results and Discussion
3.1. Modelling the Relative Permittivity of Conjugated Polymers
3.2. Identifying Coupling Regimes
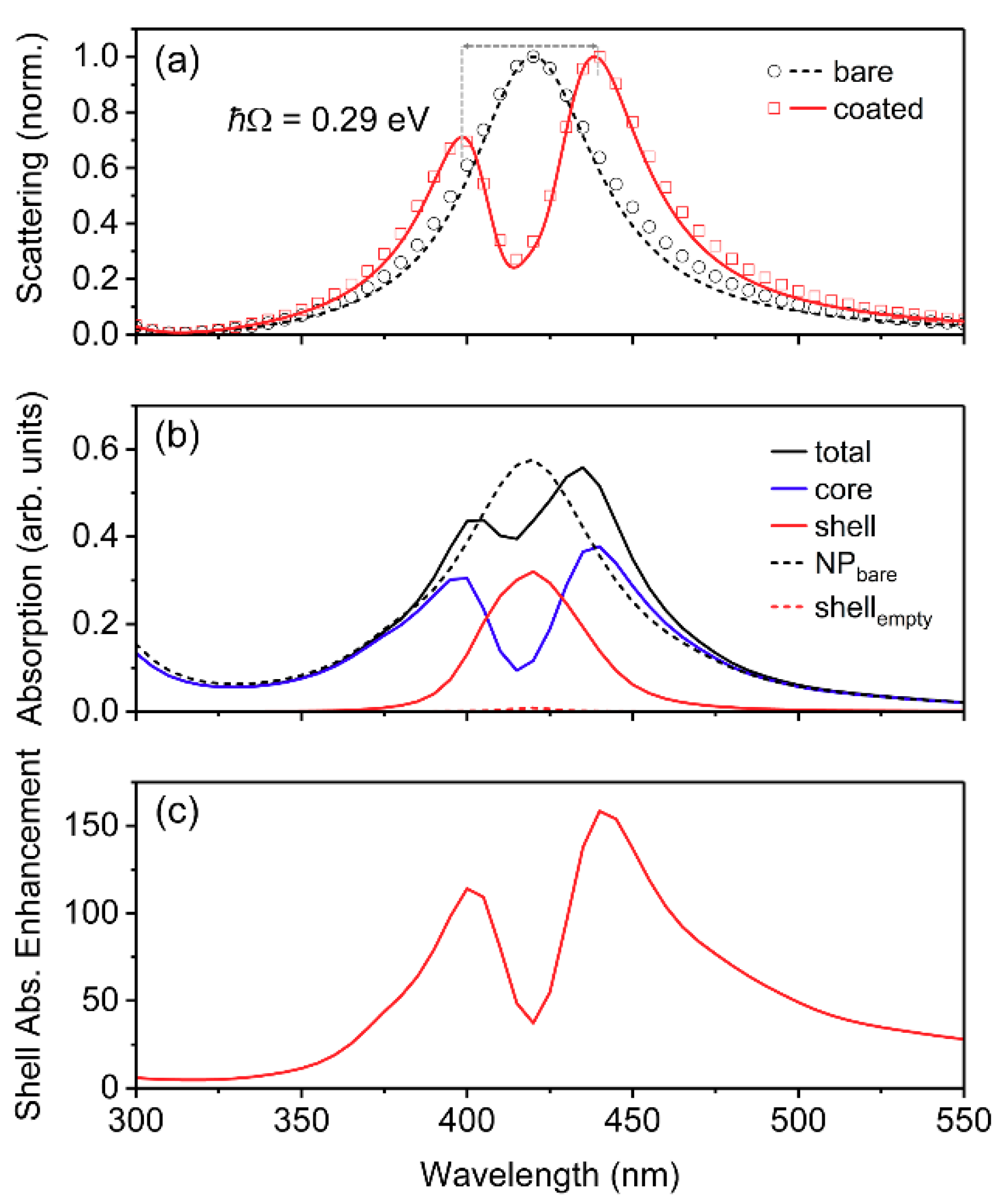
3.3. Single Lorentzian Oscillator Excitons
3.4. Vibrationally-Dressed Excitonic States
4. Conclusions
Supplementary Materials
Author Contributions
Funding
Acknowledgments
Conflicts of Interest
Abbreviations
References
- Hide, F.; Díaz-García, M.A.; Schwartz, B.J.; Andersson, M.R.; Pei, Q.; Heeger, A.J. Semiconducting polymers: A new class of solid-state laser materials. Science 1996, 273, 1833–1836. [Google Scholar] [CrossRef]
- Kozlov, V.G.; Bulović, V.; Burrows, P.E.; Forrest, S.R. Laser action in organic semiconductor waveguide and double-heterostructure devices. Nature 1997, 389, 362–364. [Google Scholar] [CrossRef]
- Plumhof, J.D.; Stöferle, T.; Mai, L.; Scherf, U.; Mahrt, R.F. Room-temperature Bose-Einstein condensation of cavity exciton-polaritons in a polymer. Nature Mater. 2014, 13, 247–252. [Google Scholar] [CrossRef] [PubMed]
- Lidzey, D.G.; Bradley, D.D.C.; Skolnick, M.S.; Virgil, T.; Walker, S.; Whittaker, D.M. Strong exciton-photon coupling in an organic semiconductor microcavity. Nature 1998, 395, 53–55. [Google Scholar] [CrossRef]
- Kéna-Cohen, S.; Davanço, M.; Forrest, S.R. Strong exciton-photon coupling in an organic single crystal microcavity. Phys. Rev. Lett. 2008, 101, 116401. [Google Scholar] [CrossRef] [PubMed]
- Oulton, R.F.; Takada, N.; Koe, J.; Stavrinou, P.N.; Bradley, D.D.C. Strong coupling in organic semiconductor microcavities. Semicond. Sci. Technol. 2003, 18, S419–S427. [Google Scholar] [CrossRef]
- Tischler, J.R.; Bradley, M.S.; Zhang, Q.; Atay, T.; Nurmikko, A.; Bulović, V. Solid state cavity QED: Strong coupling in organic thin films. Organic Electr. 2007, 8, 94–113. [Google Scholar] [CrossRef]
- Khitrova, G.; Gibbs, H.M.; Kira, M.; Koch, S.W.; Scherer, A. Vacuum Rabi splitting in semiconductors. Nat. Phys. 2006, 2, 81–90. [Google Scholar] [CrossRef]
- Michetti, P.; Mazza, L.; La Rocca, G.C. Strongly coupled organic microcavities. In Organic Nanophotonics; Zhao, Y.S., Ed.; Springer: Berlin/Heidelberg, Germany, 2015. [Google Scholar] [CrossRef]
- Hranisavljevic, J.; Dimitrijevic, N.M.; Wurtz, G.A.; Wiederrecht, G.P. Photoinduced charge separation reactions of J-aggregates coated on silver nanoparticles. J. Am. Chem. Soc. 2002, 124, 4536–4537. [Google Scholar] [CrossRef]
- Wiederrecht, G.P.; Wurtz, G.A.; Hranisavljevic, J. Coherent coupling of molecular excitons to electronic polarizations of noble metal nanoparticles. Nano Lett. 2004, 4, 2121–2125. [Google Scholar] [CrossRef]
- Kometani, N.; Tsubonishi, M.; Fujita, T.; Asami, K.; Yonezawa, Y. Preparation and optical absorption spectra of dye-coated Au, Ag, and Au/Ag colloidal nanoparticles in aqueous solutions and in alternate assemblies. Langmuir 2001, 17, 578–580. [Google Scholar] [CrossRef]
- Fofang, N.T.; Park, T.-H.; Neumann, O.; Mirin, N.A.; Nordlander, P.; Halas, N.J. Plexcitonic nanoparticles: Plasmon-exciton coupling in nanoshell-J-aggregate complexes. Nano Lett. 2008, 8, 3481–3487. [Google Scholar] [CrossRef] [PubMed]
- Wu, J.L.; Chen, F.C.; Hsiao, Y.S.; Chien, F.C.; Chen, P.; Kuo, C.H.; Huang, M.H.; Hsu, C.S. Surface plasmonic effects of metallic nanoparticles on the performance of polymer bulk heterojunction solar cells. ACS Nano 2011, 5, 959–967. [Google Scholar] [CrossRef] [PubMed]
- Kongsuwan, N.; Demetriadou, A.; Chikkaraddy, R.; Benz, F.; Turek, V.A.; Keyser, U.F.; Baumberg, J.J.; Hess, O. Suppressed quenching and strong-coupling of purcell-enhanced single-molecule emission in plasmonic nanocavities. ACS Photonics 2017, 5, 186–191. [Google Scholar] [CrossRef]
- Pérez-González, O.; Aizpurua, J.; Zabala, N. Optical transport and sensing in plexcitonic nanocavities. Opt. Express 2013, 21, 15847–15858. [Google Scholar] [CrossRef]
- Schwartz, T.; Hutchison, J.A.; Genet, C.; Ebbesen, T.W. Reversible switching of ultrastrong light-molecule coupling. Phys. Rev. Lett. 2011, 106, 196405. [Google Scholar] [CrossRef]
- Feist, J.; Galego, J.; Garcia-Vidal, F.J. Polaritonic chemistry with organic molecules. ACS Photonics 2017, 5, 205–216. [Google Scholar] [CrossRef]
- Martínez-Martínez, L.A.; Ribeiro, R.F.; Campos-González-Angulo, J.; Yuen-Zhou, J. Can ultrastrong coupling change ground-state chemical reactions? ACS Photonics 2017, 5, 167–176. [Google Scholar] [CrossRef]
- Cotta, E.A.; Roma, P.M.S. Determination of oscillator strength of confined excitons in a semiconductor microcavity. Condens. Matter Phys. 2014, 17, 23702. [Google Scholar] [CrossRef][Green Version]
- Uemoto, M.; Ajiki, H. Large and well-defined Rabi splitting in a semiconductor nanogap cavity. Opt. Express 2014, 22, 22470–22478. [Google Scholar] [CrossRef]
- Törmä, P.; Barnes, W.L. Strong coupling between surface plasmon polaritons and emitters: A review. Rep. Prog. Phys. 2015, 78, 013901–013934. [Google Scholar] [CrossRef] [PubMed]
- Peter, E.; Senellart, P.; Martrou, D.; Lemaitre, A.; Hours, J.; Gerard, J.M.; Bloch, J. Exciton-photon strong-coupling regime for a single quantum dot embedded in a microcavity. Phys. Rev. Lett. 2005, 95, 067401. [Google Scholar] [CrossRef] [PubMed]
- Schell, A.W.; Kaschke, J.; Fischer, J.; Henze, R.; Wolters, J.; Wegener, M.; Benson, O. Three-dimensional quantum photonic elements based on single nitrogen vacancy-centres in laser-written microstructures. Sci. Rep. 2013, 3, 1577. [Google Scholar] [CrossRef] [PubMed]
- Weisbuch, C.; Nishioka, M.; Ishikawa, A.; Arakawa, Y. Observation of the coupled exciton-photon mode splitting in a semiconductor quantum microcavity. Phys. Rev. Lett. 1992, 69, 3314–3317. [Google Scholar] [CrossRef] [PubMed]
- Cacciola, A.; Di Stefano, O.; Stassi, R.; Savasta, S. Ultrastrong coupling of plasmons and excitons in a nanoshell. ACS Nano 2014, 8, 11483–11492. [Google Scholar] [CrossRef]
- Zengin, G.; Johansson, G.; Johansson, P.; Antosiewicz, T.J.; Kall, M.; Shegai, T. Approaching the strong coupling limit in single plasmonic nanorods interacting with J-aggregates. Sci. Rep. 2013, 3, 3074. [Google Scholar] [CrossRef]
- Antosiewicz, T.J.; Apell, S.P.; Shegai, T. Plasmon–exciton interactions in a core–shell geometry: From enhanced absorption to strong coupling. ACS Photonics 2014, 1, 454–463. [Google Scholar] [CrossRef]
- Chen, H.; Shao, L.; Woo, K.C.; Wang, J.; Lin, H.-Q. Plasmonic–molecular resonance coupling: Plasmonic splitting versus energy transfer. J. Phys. Chem. C 2012, 116, 14088–14095. [Google Scholar] [CrossRef]
- Ni, W.; Ambjornsson, T.; Apell, S.P.; Chen, H.; Wang, J. Observing plasmonic-molecular resonance coupling on single gold nanorods. Nano Lett. 2010, 10, 77–84. [Google Scholar] [CrossRef]
- Uwada, T.; Toyota, R.; Masuhara, H.; Asahi, T. Single particle spectroscopic investigation on the interaction between exciton transition of cyanine dye J-aggregates and localized surface plasmon polarization of gold nanoparticles. J. Phys. Chem. C 2007, 111, 1549–1552. [Google Scholar] [CrossRef]
- Bianchi, R.F.; Balogh, D.T.; Tinani, M.; Faria, R.M.; Irene, E.A. Ellipsometry study of the photo-oxidation of poly[(2-methoxy-5-hexyloxy)-p-phenylenevinylene]. J. Polym. Sci. Part B Polym. Phys. 2004, 42, 1033–1041. [Google Scholar] [CrossRef]
- Pettersson, L.A.A.; Carlsson, F.; Inganäs, O.; Arwin, H. Spectroscopic ellipsometry studies of the optical properties of doped poly(3,4-ethylenedioxythiophene): An anisotropic metal. Thin Solid Films 1998, 313–314, 356–361. [Google Scholar] [CrossRef]
- Al-Attar, H.A.; Al-Alawina, Q.H.; Monkman, A.P. Spectroscopic ellipsometry of electrochemically prepared thin film polyaniline. Thin Solid Films 2003, 429, 286–294. [Google Scholar] [CrossRef]
- Losurdo, M.; Bruno, G.; Irene, E.A. Anisotropy of optical properties of conjugated polymer thin films by spectroscopic ellipsometry. J. Appl. Phys. 2003, 94, 4923. [Google Scholar] [CrossRef]
- Holzer, W.; Penzkofer, A.; Gong, S.-H.; Bleyer, A.; Bradley, D.D.C. Laser action in poly(m-phenylenevinylene-co-2,5-dioctoxy-p-phenylenevinylene). Adv. Mater. 1996, 8, 974–978. [Google Scholar] [CrossRef]
- Scherf, U.; Riechel, S.; Lemmer, U.; Mahrt, R.F. Conjugated polymers: Lasing and stimulated emission. Curr. Opin. Solid State Mater. Sci. 2001, 5, 143–154. [Google Scholar] [CrossRef]
- Clark, J.; Silva, C.; Friend, R.H.; Spano, F.C. Role of intermolecular coupling in the photophysics of disordered organic semiconductors: Aggregate emission in regioregular polythiophene. Phys. Rev. Lett. 2007, 98, 206406. [Google Scholar] [CrossRef]
- Campoy-Quiles, M.; Nelson, J.; Bradley, D.D.C.; Etchegoin, P.G. Dimensionality of electronic excitations in organic semiconductors: A dielectric function approach. Phys. Rev. B 2007, 76, 235206. [Google Scholar] [CrossRef]
- Herrera, F.; Spano, F.C. Theory of nanoscale organic cavities: The essential role of vibration-photon dressed states. ACS Photonics 2017, 5, 65–79. [Google Scholar] [CrossRef]
- Hou, S.; Qu, Y.; Liu, X.; Forrest, S.R. Ultrastrong coupling of vibrationally dressed organic Frenkel excitons with Bloch surface waves in a one-sided all-dielectric structure. Phys. Rev. B 2019, 100. [Google Scholar] [CrossRef]
- Zeb, M.A.; Kirton, P.G.; Keeling, J. Exact states and spectra of vibrationally dressed polaritons. ACS Photonics 2017, 5, 249–257. [Google Scholar] [CrossRef]
- Petoukhoff, C.E.; O’Carroll, D.M. Absorption-induced scattering and surface plasmon out-coupling from absorber-coated plasmonic metasurfaces. Nat. Commun. 2015, 6, 7899. [Google Scholar] [CrossRef] [PubMed][Green Version]
- Shen, Z.; O’Carroll, D.M. Nanoporous silver thin films: Multifunctional platforms for influencing chain morphology and optical properties of conjugated polymers. Adv. Funct. Mater. 2015, 25, 3302–3313. [Google Scholar] [CrossRef]
- Yu, B.; Woo, J.; Kong, M.; O’Carroll, D.M. Mode-specific study of nanoparticle-mediated optical interactions in an absorber/metal thin film system. Nanoscale 2015, 7, 13196–13206. [Google Scholar] [CrossRef]
- Dalsania, A.K.; Kohl, J.; Kumah, C.E.; Shen, Z.; Petoukhoff, C.E.; Carter, C.M.; O’Carroll, D.M. Effects of metal film thickness and gain on the coupling of organic semiconductor exciton emission to surface plasmon polaritons. J. Mater. Chem. C 2016. [Google Scholar] [CrossRef]
- Ferry, V.E.; Polman, A.; Atwater, H.A. Modeling light trapping in nanostructured solar cells. ACS Nano 2011, 5, 10055–10064. [Google Scholar] [CrossRef] [PubMed]
- Niesen, B.; Rand, B.P.; Dorpe, P.V.; Cheyns, D.; Tong, L.; Dmitriev, A.; Heremans, P. Plasmonic efficiency enhancement of high performance organic solar cells with a nanostructured rear electrode. Adv. Energy Mater. 2013, 3, 145–150. [Google Scholar] [CrossRef]
- Chen, H.-C.; Chou, S.-W.; Tseng, W.-H.; Chen, I.W.P.; Liu, C.-C.; Liu, C.; Liu, C.-L.; Chen, C.-h.; Wu, C.-I.; Chou, P.-T. Large AuAg alloy nanoparticles synthesized in organic media using a one-pot reaction: Their applications for high-performance bulk heterojunction solar cells. Adv. Funct. Mater. 2012, 22, 3975–3984. [Google Scholar] [CrossRef]
- Wadams, R.C.; Yen, C.-w.; Butcher, D.P.; Koerner, H.; Durstock, M.F.; Fabris, L.; Tabor, C.E. Gold nanorod enhanced organic photovoltaics: The importance of morphology effects. Org. Electron. 2014, 15, 1448–1457. [Google Scholar] [CrossRef]
- Wang, D.H.; Park, K.H.; Seo, J.H.; Seifter, J.; Jeon, J.H.; Kim, J.K.; Park, J.H.; Park, O.O.; Heeger, A.J. Enhanced power conversion efficiency in PCDTBT/PC70BM bulk heterojunction photovoltaic devices with embedded silver nanoparticle clusters. Adv. Energy Mater. 2011, 1, 766–770. [Google Scholar] [CrossRef]
- Wu, B.; Wu, X.; Guan, C.; Fai Tai, K.; Yeow, E.K.; Jin Fan, H.; Mathews, N.; Sum, T.C. Uncovering loss mechanisms in silver nanoparticle-blended plasmonic organic solar cells. Nat. Commun. 2013, 4, 2004. [Google Scholar] [CrossRef] [PubMed]
- FDTD Solutions; 7.5.7; Lumerical Solutions, Inc.: Vancouver, BC, Canada, 2011.
- Tammer, M.; Monkman, A.P. Measurement of the anisotropic refractive indices of spin cast thin poly(2-methoxy-5-(2’-ethyl-hexyloxy)-p-phenylenevinylene) (MEH-PPV) films. Adv. Mater. 2002, 14, 210–212. [Google Scholar] [CrossRef]
- Morfa, A.J.; Barnes, T.M.; Ferguson, A.J.; Levi, D.H.; Rumbles, G.; Rowlen, K.L.; van de Lagemaat, J. Optical characterization of pristine poly(3-hexyl thiophene) films. J. Polym. Sci. Part B Polym. Phys. 2011, 49, 186–194. [Google Scholar] [CrossRef]
- Bernhauser, L. Variable Angle Spectroscopic Ellipsometry (VASE) on Organic Semiconducting Thin Films. Master’s Thesis, Johannes Kepler Universität Linz, Linz, Austria, 2014. [Google Scholar]
- Bradley, M.S.; Tischler, J.R.; Bulović, V. Layer-by-Layer j-aggregate thin films with a peak absorption constant of 106 cm−1. Adv. Mater. 2005, 17, 1881–1886. [Google Scholar] [CrossRef]
- Bohren, C.F.; Huffman, D.R. Absorption and Scattering of Light by Small Particles; WILEY-VCH Verlag GmbH & Co. KGaA: Weinheim, Germany, 2004. [Google Scholar]
- Fales, A.M.; Norton, S.J.; Crawford, B.M.; DeLacy, B.G.; Vo-Dinh, T. Fano resonance in a gold nanosphere with a J-aggregate coating. Phys. Chem. Chem. Phys. 2015, 17, 24931–24936. [Google Scholar] [CrossRef]
- Juluri, B.K.; Lu, M.; Zheng, Y.B.; Huang, T.J.; Jensen, L. Coupling between molecular and plasmonic resonances: Effect of molecular absorbance. J. Phys. Chem. C 2009, 113, 18499–18503. [Google Scholar] [CrossRef]
- Schlather, A.E.; Large, N.; Urban, A.S.; Nordlander, P.; Halas, N.J. Near-field mediated plexcitonic coupling and giant Rabi splitting in individual metallic dimers. Nano Lett. 2013, 13, 3281–3286. [Google Scholar] [CrossRef]
- Turro, N.J.; Ramamurthy, V.; Scaiano, J.C. Principles of Molecular Photochemistry, An Introduction; University Science Books: Sausalito, CA, USA, 2009. [Google Scholar]
- Toutounji, M.; Small, G.J.; Mukamel, S. Optical response functions for condensed systems with linear and quadratic electron-vibration coupling. J. Chem. Phys. 1998, 109, 7949–7960. [Google Scholar] [CrossRef]
- Ambjörnsson, T.; Mukhopadhyay, G.; Apell, S.; Käll, M. Resonant coupling between localized plasmons and anisotropic molecular coatings in ellipsoidal metal nanoparticles. Phys. Rev. B 2006, 73. [Google Scholar] [CrossRef]
- Faucheaux, J.A.; Fu, J.; Jain, P.K. Unified theoretical framework for realizing diverse regimes of strong coupling between plasmons and electronic transitions. J. Phys. Chem. C 2014, 118, 2710–2717. [Google Scholar] [CrossRef]
- Savasta, S.; Saija, R.; Ridolfo, A.; Di Stefano, O.; Denti, P.; Borghese, F. Nanopolaritons: Vacuum rabi splitting with a single quantum dot in the center of a dimer nanoantenna. ACS Nano 2010, 4, 6369–6376. [Google Scholar] [CrossRef] [PubMed]
- Hutchison, J.A.; O’Carroll, D.M.; Schwartz, T.; Genet, C.; Ebbesen, T.W. Absorption-induced transparency. Angew. Chem. 2011, 50, 2085–2089. [Google Scholar] [CrossRef] [PubMed]
- Petoukhoff, C.E.; Shen, Z.; Jain, M.; Chang, A.; O’Carroll, D.M. Plasmonic electrodes for bulk-heterojunction organic photovoltaics: A review. J. Photon. Energy 2015, 5, 057001–057028. [Google Scholar] [CrossRef]
- Campoy-Quiles, M.; Heliotis, G.; Xia, R.; Ariu, M.; Pintani, M.; Etchegoin, P.; Bradley, D.D.C. Ellipsometric characterization of the optical constants of polyfluorene gain media. Adv. Funct. Mater. 2005, 15, 925–933. [Google Scholar] [CrossRef]
- Balci, S. Ultrastrong plasmon-exciton coupling in metal nanoprisms with J-aggregates. Opt. Lett. 2013, 38, 4498–4501. [Google Scholar] [CrossRef] [PubMed]
- Campoy-Quiles, M.; Alonso, M.I.; Bradley, D.D.C.; Richter, L.J. Advanced ellipsometric characterization of conjugated polymer films. Adv. Funct. Mater. 2014, 24, 2116–2134. [Google Scholar] [CrossRef]
- Anappara, A.A.; De Liberato, S.; Tredicucci, A.; Ciuti, C.; Biasiol, G.; Sorba, L.; Beltram, F. Signatures of the ultrastrong light-matter coupling regime. Phys. Rev. B 2009, 79. [Google Scholar] [CrossRef]
- Gunter, G.; Anappara, A.A.; Hees, J.; Sell, A.; Biasiol, G.; Sorba, L.; de Liberato, S.; Ciuti, C.; Tredicucci, A.; Leitenstorfer, A.; et al. Sub-cycle switch-on of ultrastrong light-matter interaction. Nature 2009, 458, 178–181. [Google Scholar] [CrossRef]
- De Liberato, S. Virtual photons in the ground state of a dissipative system. Nat. Commun. 2017, 8, 1465. [Google Scholar] [CrossRef]
- Jakab, A.; Rosman, C.; Khalavka, Y.; Becker, J.; Trügler, A.; Hohenester, U.; Sönnichsen, C. Highly sensitivie plasmonic silver nanorods. ACS Nano 2011, 5, 6880–6885. [Google Scholar] [CrossRef]
- Chen, H.; Shao, L.; Li, Q.; Wang, J. Gold nanorods and their plasmonic properties. Chem. Soc. Rev. 2013, 42, 2679–2724. [Google Scholar] [CrossRef] [PubMed]
- DeLacy, B.G.; Miller, O.D.; Hsu, C.W.; Zander, Z.; Lacey, S.; Yagloski, R.; Fountain, A.W.; Valdes, E.; Anquillare, E.; Soljacic, M.; et al. Coherent plasmon-exciton coupling in silver platelet-J-aggregate nanocomposites. Nano Lett. 2015, 15, 2588–2593. [Google Scholar] [CrossRef] [PubMed]







© 2020 by the authors. Licensee MDPI, Basel, Switzerland. This article is an open access article distributed under the terms and conditions of the Creative Commons Attribution (CC BY) license (http://creativecommons.org/licenses/by/4.0/).
Share and Cite
Petoukhoff, C.E.; Dani, K.M.; O’Carroll, D.M. Strong Plasmon–Exciton Coupling in Ag Nanoparticle—Conjugated Polymer Core-Shell Hybrid Nanostructures. Polymers 2020, 12, 2141. https://doi.org/10.3390/polym12092141
Petoukhoff CE, Dani KM, O’Carroll DM. Strong Plasmon–Exciton Coupling in Ag Nanoparticle—Conjugated Polymer Core-Shell Hybrid Nanostructures. Polymers. 2020; 12(9):2141. https://doi.org/10.3390/polym12092141
Chicago/Turabian StylePetoukhoff, Christopher E., Keshav M. Dani, and Deirdre M. O’Carroll. 2020. "Strong Plasmon–Exciton Coupling in Ag Nanoparticle—Conjugated Polymer Core-Shell Hybrid Nanostructures" Polymers 12, no. 9: 2141. https://doi.org/10.3390/polym12092141
APA StylePetoukhoff, C. E., Dani, K. M., & O’Carroll, D. M. (2020). Strong Plasmon–Exciton Coupling in Ag Nanoparticle—Conjugated Polymer Core-Shell Hybrid Nanostructures. Polymers, 12(9), 2141. https://doi.org/10.3390/polym12092141

