Tailoring the Physico-Chemical Properties of Poly(xylitol-dicarboxylate-co-butylene dicarboxylate) Polyesters by Adjusting the Cross-Linking Time
Abstract
1. Introduction
2. Materials and Methods
2.1. Synthesis of Elastomers
2.2. Experimental Methods
2.2.1. Nuclear Magnetic Resonance Spectroscopy (NMR)
2.2.2. Fourier Transform Infrared Spectroscopy (FTIR)
2.2.3. Differential Scanning Calorimetry (DSC)
2.2.4. Mechanical Properties
2.2.5. Hardness
2.2.6. Gel Fraction
2.2.7. Hydrolytic Degradation
2.2.8. Enzymatic Degradation
3. Results and Discussion
3.1. Nuclear Magnetic Resonance Spectroscopy (NMR)
3.2. Fourier Transform Infrared Spectroscopy (FTIR)
3.3. Thermal Properties: Differential Scanning Calorimetry (DSC)
3.4. Gel Fraction
3.5. Mechanical Properties
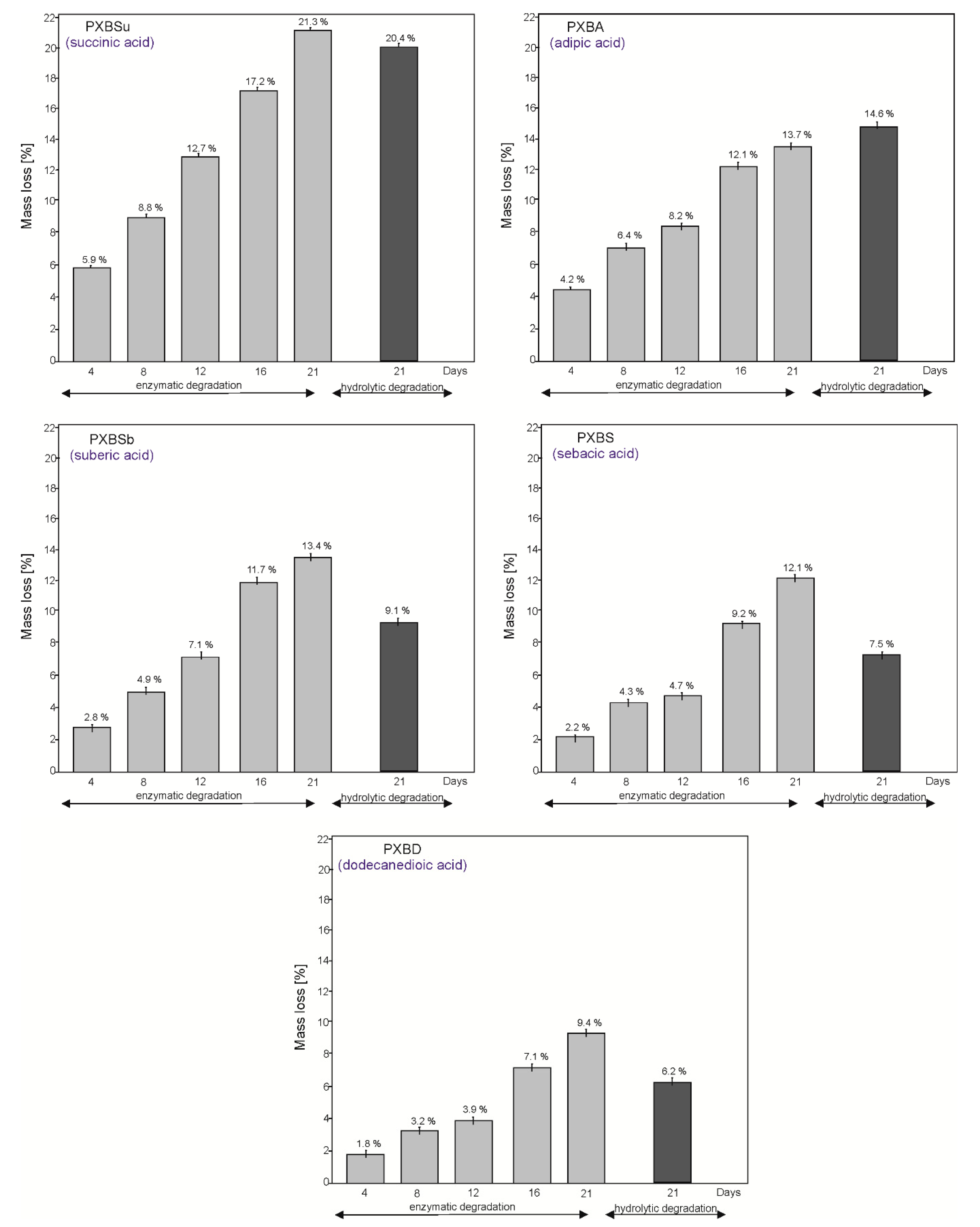
3.6. Hydrolytic and Enzymatic Degradation
4. Conclusions
Author Contributions
Funding
Conflicts of Interest
References
- Bruggeman, J.P.; Bettinger, C.J.; Nijst, C.L.E.; Kohane, D.S.; Langer, R. Biodegradable xylitol-based polymers. Adv. Mater. 2008, 20, 1922–1927. [Google Scholar] [CrossRef]
- Bruggeman, J.P.; Bettinger, C.J.; Langer, R. Biodegradable xylitol-based elastomers: In vivo behavior and biocompatibility. J. Biomed. Mater. Res. Part A 2010, 95, 92–104. [Google Scholar] [CrossRef] [PubMed]
- Bruggeman, J.P.; de Bruin, B.J.; Bettinger, C.J.; Langer, R. Biodegradable poly(polyol sebacate) polymers. Biomaterials 2008, 29, 4726–4735. [Google Scholar] [CrossRef] [PubMed]
- Barrett, D.G.; Luo, W.; Yousaf, M.N. Aliphatic polyester elastomers derived from erythritol and α,ω-diacids. Polym. Chem. 2010, 1, 296–302. [Google Scholar] [CrossRef]
- Dasgupta, Q.; Chatterjee, K.; Madras, G. Combinatorial approach to develop tailored biodegradable poly(xylitol dicarboxylate) polyesters. Biomacromolecules 2014, 15, 4302–4313. [Google Scholar] [CrossRef]
- Ning, Z.Y.; Zhang, Q.S.; Wu, Q.P.; Li, Y.Z.; Ma, D.X.; Chen, J.Z. Efficient synthesis of hydroxyl functioned polyesters from natural polyols and sebacic acid. Chin. Chem. Lett. 2011, 22, 635–638. [Google Scholar] [CrossRef]
- Kavimani, V.; Jaisankar, V. Synthesis and Characterisation of Sorbitol Based Copolyesters for Biomedical Applications. J. Phys. Sci. Appl. 2014, 4, 507–515. [Google Scholar]
- Hu, J.; Gao, W.; Kulshrestha, A.; Gross, R.A. “Sweet polyesters”: Lipase-catalyzed condensation-polymerizations of alditols. ACS Symp. Ser. 2006, 999, 275–284. [Google Scholar]
- Kumar, A.; Kulshrestha, A.S.; Gao, W.; Gross, R.A. Versatile route to polyol polyesters by lipase catalysis. Macromolecules 2003, 36, 8219–8221. [Google Scholar] [CrossRef]
- Zaky, S.H.; Lee, K.W.; Gao, J.; Jensen, A.; Verdelis, K.; Wang, Y.; Almarza, A.J.; Sfeir, C. Poly (glycerol sebacate) elastomer supports bone regeneration by its mechanical properties being closer to osteoid tissue rather than to mature bone. Acta Biomater. 2017, 54, 95–106. [Google Scholar] [CrossRef]
- Zaky, S.H.; Lee, K.W.; Gao, J.; Jensen, A.; Close, J.; Wang, Y.; Almarza, A.J.; Sfeir, C. Poly(Glycerol Sebacate) elastomer: A novel material for mechanically loaded bone regeneration. Tissue Eng. Part A 2014, 20, 45–53. [Google Scholar] [CrossRef] [PubMed]
- Chen, Q.Z.; Bismarck, A.; Hansen, U.; Junaid, S.; Tran, M.Q.; Harding, S.E.; Ali, N.N.; Boccaccini, A.R. Characterisation of a soft elastomer poly(glycerol sebacate) designed to match the mechanical properties of myocardial tissue. Biomaterials 2008, 29, 47–57. [Google Scholar] [CrossRef] [PubMed]
- Neeley, W.L.; Redenti, S.; Klassen, H.; Tao, S.; Desai, T.; Young, M.J.; Langer, R. A microfabricated scaffold for retinal progenitor cell grafting. Biomaterials 2008, 29, 418–426. [Google Scholar] [CrossRef] [PubMed]
- Motlagh, D.; Yang, J.; Lui, K.Y.; Webb, A.R.; Ameer, G.A. Hemocompatibility evaluation of poly(glycerol-sebacate) in vitro for vascular tissue engineering. Biomaterials 2006, 27, 4315–4324. [Google Scholar] [CrossRef]
- Sundback, C.A.; Shyu, J.Y.; Wang, Y.; Faquin, W.C.; Langer, R.S.; Vacanti, J.P.; Hadlock, T.A. Biocompatibility analysis of poly(glycerol sebacate) as a nerve guide material. Biomaterials 2005, 26, 5454–5464. [Google Scholar] [CrossRef]
- Kemppainen, J.M.; Hollister, S.J. Tailoring the mechanical properties of 3D-designed poly(glycerol sebacate) scaffolds for cartilage applications. J. Biomed. Mater. Res. Part A 2010, 94, 9–18. [Google Scholar] [CrossRef] [PubMed]
- Sun, Z.J.; Chen, C.; Sun, M.Z.; Ai, C.H.; Lu, X.L.; Zheng, Y.F.; Yang, B.F.; Dong, D.L. The application of poly (glycerol-sebacate) as biodegradable drug carrier. Biomaterials 2009, 30, 5209–5214. [Google Scholar] [CrossRef] [PubMed]
- Selvam, S.; Pithapuram, M.V.; Victor, S.P.; Muthu, J. Injectable in situ forming xylitol-PEG-based hydrogels for cell encapsulation and delivery. Colloids Surfaces B Biointerfaces 2015, 126, 35–43. [Google Scholar] [CrossRef] [PubMed]
- Li, Y.; Thouas, G.A.; Chen, Q. Novel elastomeric fibrous networks produced from poly(xylitol sebacate)2:5 by core/shell electrospinning: Fabrication and mechanical properties. J. Mech. Behav. Biomed. Mater. 2014, 40, 210–221. [Google Scholar] [CrossRef][Green Version]
- Li, Y.; Chen, Q.Z. Fabrication of mechanically tissue-like fibrous poly(xylitol sebacate) using core/shell electrospinning technique. Adv. Eng. Mater. 2015, 17, 324–329. [Google Scholar] [CrossRef]
- Piątek-Hnat, M.; Bomba, K.; Pęksiński, J. Synthesis and selected properties of ester elastomer containing sorbitol. Appl. Sci. 2020, 10, 1628. [Google Scholar] [CrossRef]
- Piatek-Hnat, M.; Bomba, K.; Pęksiński, J. Structure and Properties of Biodegradable Poly (Xylitol Sebacate-Co-Butylene Sebacate) Copolyester. Molecules 2020, 25, 1541. [Google Scholar] [CrossRef] [PubMed]
- Piątek-Hnat, M.; Bomba, K.; Pęksiński, J.; Kozłowska, A.; Sośnicki, J.G.; Idzik, T.J. Effect of E-Beam Irradiation on Thermal and Mechanical Properties of Ester Elastomers Containing Multifunctional Alcohols. Polymers 2020, 12, 1043. [Google Scholar] [CrossRef] [PubMed]
- Piątek-Hnat, M.; Bomba, K. The influence of of cross-linking process on the physicochemical properties of new copolyesters containing xylitol. Mater. Today Commun. 2020, 25, 1541. [Google Scholar] [CrossRef]












| Polymer Sample | Molar Composition [mol] | Molar Composition Determined by 1H NMR [mol] | E_ 50% [MPa] | E_ 100% [MPa] | σr [MPa] | εr [%] | H ShA | |||
|---|---|---|---|---|---|---|---|---|---|---|
| SuA | XL | BG | XL | BG | ||||||
| PXBSu (succinic acid) | 2 | 1 | 1 | 1.0 | 3.95 | 0.469 +/−0.04 | 0.403 +/−0.03 | 0.991 +/−0.13 | 214 +/15.51 | 46.4 +/−0.42 |
| AA | XL | BG | XL | BG | ||||||
| PXBA (adipic acid) | 2 | 1 | 1 | 1.0 | 4.10 | 0.165 +/− 0.04 | 0.148 +/−0.04 | 0.408 +/−0.09 | 248 +/67.55 | 36.8 +/−0.38 |
| SbA | XL | BG | XL | BG | ||||||
| PXBSb (suberic acid) | 2 | 1 | 1 | 1.0 | 3.41 | 0.212 ± 0.082 | 0.188 ± 0.07 | 0.328 ± 0.05 | 196 +/51.73 | 44.9 +/−0.34 |
| SA | XL | BG | XL | BG | ||||||
| PXBS (sebacic acid) | 2 | 1 | 1 | 1.0 | 2.33 | 0.756 ± 0.04 | 0.605 ± 0.03 | 1.632 ± 0.28 | 339 +/59.18 | 35.3 +/−0.45 |
| DA | XL | BG | XL | BG | ||||||
| PXBD (dodecanedioic acid) | 2 | 1 | 1 | 1.0 | 2:14 | 1.945 ± 0.08 | 1.876 ± 0.05 | 2.995 ± 0.35 | 42 +/24.16 | 28.6 +/−0.31 |
| First Heating | Cooling | Second Heating | ||||||||||||
|---|---|---|---|---|---|---|---|---|---|---|---|---|---|---|
| Cross−Linking Time | Tg1 [°C] | ∆cp [J/g°C] | Tm1 [°C] | ∆Hm1 [J/g] | Tm2 [°C] | ∆Hm2 [J/g] | Tc1 [°C] | ∆Hc1 [J/g] | Tg2 [°C] | ∆cp [J/g°C] | Tm3 [°C] | ∆Hm3 [J/g] | Tm4 [°C] | ∆Hm4 [J/g] |
| PXBSu (succinic acid) | ||||||||||||||
| 0 h | −19.9 | 0.522 | 46.8 | 15.41 | - | - | −26.4 | 0.84 | −15.7 | 0.57 | - | - | - | - |
| 48 h | −18.6 | 0.533 | 48.4 | 13.92 | -. | - | −24.8 | 0.542 | −18.8 | 0.651 | - | - | - | - |
| 144 h | −17.6 | 0.596 | 48.5 | 12.32 | - | -. | −22.5 | 0.668 | −17.5 | 0.719 | - | - | - | - |
| 192 h | −12.2 | 0.449 | 50.9 | 7.77 | -. | - | −18.9 | 0.897 | −5.2 | 0.475 | - | - | - | - |
| 288 h | −7 | 0.572 | n.o. | n.o. | - | - | −18.6 | 0.624 | −2.8 | 0.543 | - | - | - | - |
| PXBA (adipic acid) | ||||||||||||||
| 0 h | −46.3 | 0.983 | - | - | - | - | - | - | −44.6 | 0.975 | - | - | - | - |
| 48 h | −45.6 | 0.705 | - | - | - | - | - | - | −44.9 | 0.709 | - | - | - | - |
| 144 h | −40.3 | 0.677 | - | - | - | - | - | - | −40.4 | 0.690 | - | - | - | - |
| 192 h | −37.5 | 0.652 | - | - | - | - | - | - | −37.6 | 0.648 | - | - | - | - |
| 288 h | −30.9 | 0.592 | - | - | - | - | - | - | −30.6 | 0.557 | - | - | - | - |
| PXBSb (suberic acid) | ||||||||||||||
| 0 h | −50.8 | 0.676 | 20.4 | 7.32 | 78.8 | 2.41 | - | - | −52.7 | 0.738 | 18.7 | 0.65 | - | - |
| 48 h | −50.1 | 0.740 | 19.3 | 0.95 | 78.9 | 1.13 | - | - | −50.4 | 0.757 | - | - | - | - |
| 144 h | −45.9 | 0.553 | - | - | - | - | - | - | −44.2 | 0.526 | - | - | - | - |
| 192 h | −44.6 | 0.670 | - | - | - | - | - | - | −46.1 | 0.642 | - | - | - | - |
| 288 h | −41.6 | 0.624 | - | - | - | - | - | - | −41.4 | 0.656 | - | - | - | - |
| PXBS (sebacic acid) | ||||||||||||||
| 0 h | - | - | 19 | 24.17 | 44.9 | 50.89 | −3.9 | 65.87 | −13.1 | 0.558 | 22.6 | 61.3 | 50.7 | 3.17 |
| 48 h | - | - | 19.5 | 23.28 | 43.5 | 41.56 | −6.3 | 47.16 | −12.8 | 0.128 | 21.1 | 53.15 | - | - |
| 144 h | - | - | 17.2 | 34.1 | 41 | 18.18 | −8.8 | 42.77 | −19.3 | 0.426 | 18.3 | 48.41 | - | - |
| 192 h | - | - | 18.9 | 28.67 | 42.9 | 9.76 | −13.3 | 30.3 | −20.5 | 0.264 | 19.9 | 35.52 | - | - |
| 288 h | - | - | 17.5 | 24.01 | 41.2 | 0.66 | −19 | 15.87 | −28 | 0.248 | 17.6 | 23.18 | - | - |
| PXBD (dodecanedioic acid) | ||||||||||||||
| 0 h | - | - | 45.6 | 83.43 | - | - | 24.8 | 65.43 | - | - | 41.8 | 74.92 | - | - |
| 48 h | - | - | 44.2 | 80.80 | - | - | 25.3 | 72.71 | - | - | 41.9 | 65.60 | - | - |
| 144 h | - | - | 46.3 | 75.23 | - | - | 23.5 | 55.16 | - | - | 38.2 | 54.83 | - | - |
| 192 h | - | - | 45.6 | 67.79 | - | - | 21.5 | 52.23 | - | - | 38.7 | 51.73 | - | - |
| 288 h | - | - | 44.7 | 57.92 | - | - | 17.6 | 44.35 | - | - | 40.4 | 40.92 | - | - |
© 2020 by the authors. Licensee MDPI, Basel, Switzerland. This article is an open access article distributed under the terms and conditions of the Creative Commons Attribution (CC BY) license (http://creativecommons.org/licenses/by/4.0/).
Share and Cite
Piątek-Hnat, M.; Sładkiewicz, P.; Bomba, K.; Pęksiński, J.; Kozłowska, A.; Sośnicki, J.G.; Idzik, T.J. Tailoring the Physico-Chemical Properties of Poly(xylitol-dicarboxylate-co-butylene dicarboxylate) Polyesters by Adjusting the Cross-Linking Time. Polymers 2020, 12, 1493. https://doi.org/10.3390/polym12071493
Piątek-Hnat M, Sładkiewicz P, Bomba K, Pęksiński J, Kozłowska A, Sośnicki JG, Idzik TJ. Tailoring the Physico-Chemical Properties of Poly(xylitol-dicarboxylate-co-butylene dicarboxylate) Polyesters by Adjusting the Cross-Linking Time. Polymers. 2020; 12(7):1493. https://doi.org/10.3390/polym12071493
Chicago/Turabian StylePiątek-Hnat, Marta, Paulina Sładkiewicz, Kuba Bomba, Jakub Pęksiński, Agnieszka Kozłowska, Jacek G. Sośnicki, and Tomasz J. Idzik. 2020. "Tailoring the Physico-Chemical Properties of Poly(xylitol-dicarboxylate-co-butylene dicarboxylate) Polyesters by Adjusting the Cross-Linking Time" Polymers 12, no. 7: 1493. https://doi.org/10.3390/polym12071493
APA StylePiątek-Hnat, M., Sładkiewicz, P., Bomba, K., Pęksiński, J., Kozłowska, A., Sośnicki, J. G., & Idzik, T. J. (2020). Tailoring the Physico-Chemical Properties of Poly(xylitol-dicarboxylate-co-butylene dicarboxylate) Polyesters by Adjusting the Cross-Linking Time. Polymers, 12(7), 1493. https://doi.org/10.3390/polym12071493

