Tailoring of Durable Conductive and UV-Shielding Properties on Cotton and Polyester Fabrics by PEDOT:PSS Screen-Printing
Abstract
1. Introduction
2. Materials and Methods
2.1. Materials
2.2. Preparation of Conductive Fabrics
2.3. Washing Durability and Abrasion Resistance
2.4. Hydrophilic/Hydrophobic Features
2.5. UV-Shielding Ability
2.6. Mechanical Properties
2.7. Optical Microscopy (OM)
2.8. Fourier Transform Infrared Spectroscopy (FTIR)
2.9. Electrical Resistivity
3. Results and Discussion
3.1. Characterisation of Screen-Printed Co and PES Fabrics
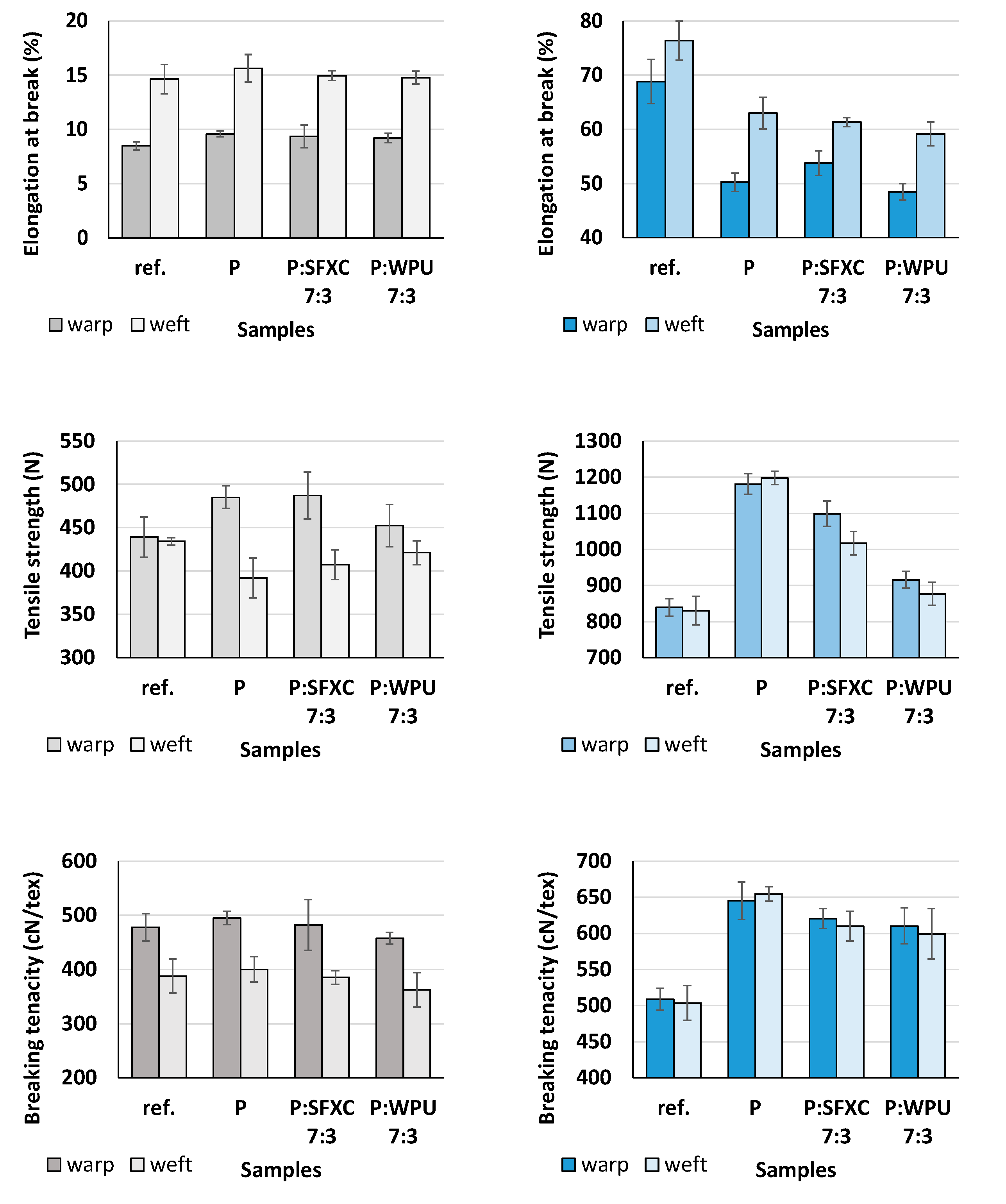
3.1.1. Mechanical Properties
3.1.2. Chemical Analysis
3.2. Functional Assessment of Fabrics
3.2.1. Hydrophilic/Hydrophobic Features
3.2.2. UV-Blocking Ability of Coatings
3.3. Durability
3.3.1. Washing Durability
3.3.2. Rubbing Durability
4. Conclusions
Author Contributions
Funding
Acknowledgments
Conflicts of Interest
References
- Wu, B.; Zhang, B.; Wu, J.; Wang, Z.; Ma, H.; Yu, M.; Li, L.; Li, J. Electrical Switchability and Dry-Wash Durability of Conductive Textiles. Sci. Rep. 2015, 5, 11255. [Google Scholar] [CrossRef] [PubMed]
- Chatterjee, K.; Tabor, J.; Ghosh, T.K. Electrically Conductive Coatings for Fiber-Based E-Textiles. Fibres 2019, 7, 51. [Google Scholar] [CrossRef]
- Tadesse, M.G.; Mengistie, D.A.; Chen, Y.; Wang, L.; Loghin, C.; Nierstrasz, V. Electrically conductive highly elastic polyamide/lycra fabric treated with PEDOT:PSS and polyurethane. J. Mat. Sci. 2019, 54, 9591–9602. [Google Scholar] [CrossRef]
- Ojstrsek, A.; Virant, N.; Fox, D.; Krishnan, L.; Cobley, A. The Efficacy of Polymer Coatings for the Protection of Electroless Copper Plated Polyester Fabric. Polymers 2020, 12, 1227. [Google Scholar] [CrossRef] [PubMed]
- Stoppa, M.; Chiolerio, A. Wearable electronics and smart textiles: A critical review. Sensors 2014, 14, 11957–11992. [Google Scholar] [CrossRef]
- Tang, Z.; Yao, D.; Hu, S.; Du, D.; Shao, W.; Tang, B.; Fan, J.-M.; Tang, X.-G.; Gao, J. Highly conductive, washable and super-hydrophobic wearable carbon nanotubes e-textile for vacuum pressure sensors. Sens. Actuators A 2020, 303, 111710. [Google Scholar] [CrossRef]
- Otley, M.T.; Alamer, F.A.; Guo, Y.; Santana, J.; Eren, E.; Li, M.; Lombardi, J.; Sotzing, G.A. Phase Segregation of PEDOT:PSS on Textile to Produce Materials of >10 A mm−2Current Carrying Capacity. Macromol. Mater. Eng. 2017, 302, 1600348. [Google Scholar] [CrossRef]
- Guo, Y.; Otley, M.T.; Li, M.; Zhang, X.; Sinha, S.K.; Treich, G.M.; Sotzing, G.A. PEDOT:PSS “Wires” Printed on Textile for Wearable Electronics. ACS Appl. Mater. Interfaces 2016, 8, 26998–27005. [Google Scholar] [CrossRef]
- Bajgar, V.; Penhaker, M.; Martinkova, L.; Pavlovic, A.; Bober, P.; Trchova, M.; Stejskal, J. Cotton Fabric Coated with Conducting Polymers and its Application in Monitoring of Carnivorous Plant Response. Sensors 2016, 16, 498. [Google Scholar] [CrossRef]
- Azar, G.T.P.; Fox, D.; Fedutik, Y.; Krishnan, L.; Cobley, A.J. Functionalised copper nanoparticle catalysts for electroless copper plating on textiles. Surf. Coat. Techol. 2020, 396, 125971. [Google Scholar] [CrossRef]
- Alamer, F.A. The effects of temperature and frequency on the conductivity and dielectric properties of cotton fabric impregnated with doped PEDOT:PSS. Cellulose 2018, 25, 6221–6230. [Google Scholar] [CrossRef]
- Alamer, F.A. A simple method for fabricating highly electrically conductive cotton fabric without metals or nanoparticles, using PEDOT:PSS. J. Alloys Compd. 2017, 702, 266–273. [Google Scholar] [CrossRef]
- Åkerfeldt, M.; Strååt, M.; Walkenström, P. Electrically conductive textile coating with a PEDOT-PSS dispersion and a polyurethane binder. Text. Res. J. 2012, 83, 618–627. [Google Scholar] [CrossRef]
- Skrifvars, M.; Rehnby, W.; Gustafsson, M. Coating of textile fabrics with conductive polymers for smart textile applications. In Proceedings of the Ambience 08, Borås, Sweden, 2–3 June 2008. [Google Scholar]
- Weiser, M.; Pohlers, S.; Neudeck, A.J.M.I. Application of intrinsic conductive polymers (ICP) on textile materials. Tech. Text. 2010, 16, 226–228. [Google Scholar]
- Banaszczyk, J.; Rybak, A.; Odziomek, M.J.F.; Europe, T.i.E. Aging of Polypyrrole Coated Fabrics Potted in Epoxy. Fibres Text. East. Eur. 2015, 23, 9–83. [Google Scholar]
- Wu, Q.; Hu, J. Waterborne polyurethane based thermoelectric composites and their application potential in wearable thermoelectric textiles. Compos. Part B 2016, 107, 59–66. [Google Scholar] [CrossRef]
- Filipič, J.; Glažar, D.; Jerebic, Š.; Kenda, D.; Modic, A.; Roškar, B.; Vrhovski, I.; Štular, D.; Golja, B.; Smolej, S.; et al. Tailoring of Antibacterial and UV-Protective Cotton Fabric by an In Situ Synthesis of Silver Particles in the Presence of a Sol-gel Matrix and Sumac Leaf Extract. Tekstilec 2020, 63, 4–13. [Google Scholar] [CrossRef]
- Bulut, Y.; Sariişik, M.; Sülar, V. Effects of process parameters on mechanical properties of coated fabrics. Int. J. Cloth Sci. Technol. 2011, 23, 205–221. [Google Scholar] [CrossRef]
- Zahid, M.; Papadopoulou, E.L.; Athanassiou, A.; Bayer, I.S. Strain-responsive mercerized conductive cotton fabrics based on PEDOT:PSS/graphene. Mater. Des. 2017, 135, 213–222. [Google Scholar] [CrossRef]
- Ojstrsek, A.; Hribernik, S.; Fakin, D. Thermal, Mechanical and Optical Features of Aluminosilicate-Coated Cotton Textiles via the Crosslinking Method. Polymers 2018, 10, 57. [Google Scholar] [CrossRef]
- Peets, P.; Kaupmees, K.; Vahur, S.; Leito, I. Reflectance FT-IR spectroscopy as a viable option for textile fiber identification. Herit. Sci. 2019, 7, 93. [Google Scholar] [CrossRef]
- Rattan, S.; Singhal, P.; Verma, A.L. Synthesis of PEDOT:PSS (poly(3,4-ethylenedioxythiophene))/poly(4-styrene sulfonate))/ngps (nanographitic platelets) nanocomposites as chemiresistive sensors for detection of nitroaromatics. Polym. Eng. Sci. 2013, 53, 2045–2052. [Google Scholar] [CrossRef]
- Trovati, G.; Sanches, E.A.; Neto, S.C.; Mascarenhas, Y.P.; Chierice, G.O. Characterization of polyurethane resins by FTIR, TGA, and XRD. J. Appl. Polym. Sci. 2010, 115, 263–268. [Google Scholar] [CrossRef]
- Fakin, D.; Kleinschek, K.S.; Kurečič, M.; Ojstršek, A. Effects of nanoTiO2–SiO2 on the hydrophilicity/dyeability of polyester fabric and photostability of disperse dyes under UV irradiation. Surf. Coat. Technol. 2014, 253, 185–193. [Google Scholar] [CrossRef]
- Li, M.; Liu, F.; Li, Y.; Qiang, X. Synthesis of stable cationic waterborne polyurethane with a high solid content: Insight from simulation to experiment. RSC Adv. 2017, 7, 13312–13324. [Google Scholar] [CrossRef]
- Honarkar, H. Waterborne polyurethanes: A review. J. Dispers. Sci. Technol. 2017, 39, 507–516. [Google Scholar] [CrossRef]
- Ojstršek, A.; Kleinschek, K.S.; Fakin, D. Characterization of nano-sized TiO2 suspensions for functional modification of polyester fabric. Surf. Coat. Technol. 2013, 226, 68–74. [Google Scholar] [CrossRef]
- Tian, M.; Hu, X.; Qu, L.; Zhu, S.; Sun, Y.; Han, G. Versatile and ductile cotton fabric achieved via layer-by-layer self-assembly by consecutive adsorption of graphene doped PEDOT: PSS and chitosan. Carbon 2016, 96, 1166–1174. [Google Scholar] [CrossRef]
- Sedighi, A.; Montazer, M.; Mazinani, S. Fabrication of electrically conductive superparamagnetic fabric with microwave attenuation, antibacterial properties and UV protection using PEDOT/magnetite nanoparticles. Mater. Des. 2018, 160, 34–47. [Google Scholar] [CrossRef]
- Ryan, J.D.; Mengistie, D.A.; Gabrielsson, R.; Lund, A.; Muller, C. Machine-Washable PEDOT:PSS Dyed Silk Yarns for Electronic Textiles. ACS Appl. Mater. Interfaces 2017, 9, 9045–9050. [Google Scholar] [CrossRef]
- Škoc, M.S.; Pezelj, E. Abrasion resistance of high performance fabrics. In Abrasion Resistance of Materials; IntechOpen: London, UK, 2012. [Google Scholar]
- Kwiatkowski, K.; Nachman, M. The Abrasive Wear Resistance of the Segmented Linear Polyurethane Elastomers Based on a Variety of Polyols as Soft Segments. Polymers 2017, 9, 705. [Google Scholar] [CrossRef] [PubMed]









| Sample | P | P:SFXC 9:1 | P:SFXC 8:2 | P:SFXC 7:3 |
| Add-on (%) | 10.04 | 9.57 | 9.38 | 8.48 |
| K/S | 1.53 | 1.18 | 1.05 | 0.87 |
| OM | ![]() | ![]() | ![]() | ![]() |
| Sample | P:WPU 9:1 | P:WPU 8:2 | P:WPU 7:3 | |
| Add-on (%) | 10.07 | 10.33 | 10.35 | |
| K/S | 1.17 | 1.14 | 1.09 | |
| OM | ![]() | ![]() | ![]() |
| Sample | P | P:SFXC 9:1 | P:SFXC 8:2 | P:SFXC 7:3 |
| Add-on (%) | 14.41 | 13.68 | 13.04 | 12.95 |
| K/S | 1.68 | 1.49 | 1.33 | 1.21 |
| OM | ![]() | ![]() | ![]() | ![]() |
| Sample | P:WPU 9:1 | P:WPU 8:2 | P:WPU 7:3 | |
| Add-on (%) | 14.21 | 14.18 | 14.57 | |
| K/S | 1.56 | 1.31 | 1.25 | |
| OM | ![]() | ![]() | ![]() |
Publisher’s Note: MDPI stays neutral with regard to jurisdictional claims in published maps and institutional affiliations. |
© 2020 by the authors. Licensee MDPI, Basel, Switzerland. This article is an open access article distributed under the terms and conditions of the Creative Commons Attribution (CC BY) license (http://creativecommons.org/licenses/by/4.0/).
Share and Cite
Ojstršek, A.; Gorgieva, S. Tailoring of Durable Conductive and UV-Shielding Properties on Cotton and Polyester Fabrics by PEDOT:PSS Screen-Printing. Polymers 2020, 12, 2356. https://doi.org/10.3390/polym12102356
Ojstršek A, Gorgieva S. Tailoring of Durable Conductive and UV-Shielding Properties on Cotton and Polyester Fabrics by PEDOT:PSS Screen-Printing. Polymers. 2020; 12(10):2356. https://doi.org/10.3390/polym12102356
Chicago/Turabian StyleOjstršek, Alenka, and Selestina Gorgieva. 2020. "Tailoring of Durable Conductive and UV-Shielding Properties on Cotton and Polyester Fabrics by PEDOT:PSS Screen-Printing" Polymers 12, no. 10: 2356. https://doi.org/10.3390/polym12102356
APA StyleOjstršek, A., & Gorgieva, S. (2020). Tailoring of Durable Conductive and UV-Shielding Properties on Cotton and Polyester Fabrics by PEDOT:PSS Screen-Printing. Polymers, 12(10), 2356. https://doi.org/10.3390/polym12102356














