Plasticizer Enhancement on the Miscibility and Thermomechanical Properties of Polylactic Acid-Chitin-Starch Composites
Abstract
1. Introduction
2. Materials and Methods
2.1. Materials
2.2. Composite Preparation
2.3. Characterization
2.3.1. Tensile Test
2.3.2. Impact test
2.3.3. Thermogravimetry analysis (TGA)–FTIR Test
2.3.4. Differential Scanning Calorimetry Analysis
2.3.5. Abrasive Wear Test
2.3.6. Water Absorption Test
3. Results
3.1. Tensile Properties
3.2. Impact and Morphological Properties
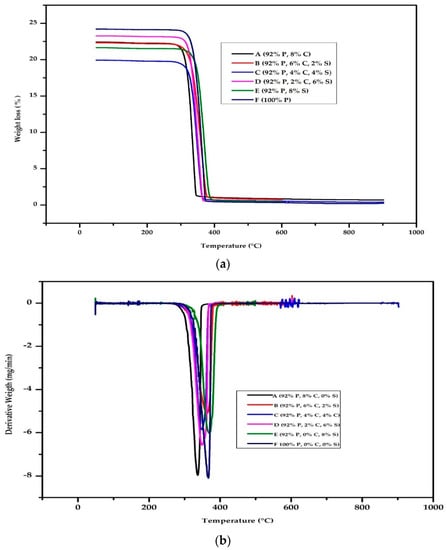
3.3. Thermogravimetry Analysis Result
3.4. FTIR Properties
3.5. Differential Scanning Calorimetry
3.6. Wear Properties
3.7. Water Absorption
4. Conclusions
Author Contributions
Funding
Acknowledgments
Conflicts of Interest
References
- Vince, J.; Hardesty, B.D. Plastic pollution challenges in marine and coastal environments: From local to global governance. Restor. Ecol. 2016, 25, 123–128. [Google Scholar] [CrossRef]
- Gall, S.C.; Thompson, R.C. The impact of debris on marine life. Mar. Pollut. Bull. 2015, 92, 170–179. [Google Scholar] [CrossRef] [PubMed]
- Do Sul, I.; Costa, M.F. The present and future of microplastic pollution in the marine environment. Environ. Pollut. 2014, 185, 352–364. [Google Scholar] [CrossRef] [PubMed]
- Marine Plastic Waste Solution Research Objectives. Association of Commonwealth Universities Early Research Fellowship Report. Available online: https://www.acu.ac.uk/news/view?id=274 (accessed on 15 October 2018).
- Birnin-Yauri, A.; Ibrahim, N.; Zainuddin, N.; Abdan, K.; Then, Y.; Chieng, B. Effect of Maleic Anhydride-Modified Poly (lactic acid) on the Properties of Its Hybrid Fiber Biocomposites. Polymers 2017, 9, 165. [Google Scholar] [CrossRef] [PubMed]
- Gonçalves, C.; Gonçalves, I.; Magalhães, F.; Pinto, A. Poly (lactic acid) Composites Containing Carbon-Based Nanomaterials: A Review. Polymers 2017, 9, 269. [Google Scholar] [CrossRef]
- Scaffaro, R.; Maio, A.; Sutera, F.; Gulino, E.F.; Morreale, F. Degradation and Recycling of Films Based on Biodegradable Polymers: A Short Review. Polymers 2019, 11, 651. [Google Scholar] [CrossRef]
- Sousa, S.; Costa, A.; Silva, A.; Simões, R. Poly (lactic acid)/Cellulose Films Produced from Composite Spheres Prepared by Emulsion-Solvent Evaporation Method. Polymers 2019, 11, 66. [Google Scholar] [CrossRef]
- Su, S.; Kopitzky, R.; Tolga, S.; Kabasci, S. Polylactide (PLA) and Its Blends with Poly(butylene succinate) (PBS): A Brief Review. Polymers 2019, 11, 1193. [Google Scholar] [CrossRef]
- Abdul Khalil, H.P.S.; Saurabh, C.K.; Tye, Y.Y.; Lai, T.K.; Easa, A.M.; Rosamah, E.; Fazita, M.R.N.; Syakir, M.I.; Adnan, A.S.; Fizree, H.M. Seaweed based sustainable films and composites for food and pharmaceutical applications: A review. Renew. Sustain. Energy Rev. 2017, 77, 353–362. [Google Scholar] [CrossRef]
- Abdul Khalil, H.P.S.; Lai, T.K.; Tye, Y.Y.; Paridah, M.T.; Fazita, M.R.N.; Azniwati, A.A.; Dungani, R.; Rizal, S. Preparation and Characterization of Microcrystalline Cellulose from Sacred Bali Bamboo as Reinforcing. Filler in Seaweed-based Composite Film. Fibers Polym. 2018, 19, 423–434. [Google Scholar]
- Koh, J.J.; Zhang, X.; He, C. Fully Biodegradable Poly (lactic acid)/Starch Blends: A Review of Toughening Strategies. Int. J. Biol. Macromol. 2018, 109, 99–113. [Google Scholar] [CrossRef] [PubMed]
- Tu, K.H.; Wang, L.Q.; Wang, Y.B. The Role of Starch Graft Copolymers in Starch/PLA Blends. Polym. Mater. Sci. Eng. 2002, 18, 108–114. [Google Scholar]
- Liao, H.T.; Wu, C.S. Preparation and Characterization of Ternary Blends Composed of Polylactide, Poly (ε-caprolactone) and Starch. Mater. Sci. Eng. A 2009, 515, 207–214. [Google Scholar] [CrossRef]
- Xiong, Z.; Li, C.; Ma, S.; Feng, J.; Yang, Y.; Zhang, R.; Zhu, J. The properties of poly (lactic acid)/starch blends with a functionalized plant oil: Tung oil anhydride. Carbohydr. Polym. 2013, 95, 77–84. [Google Scholar] [CrossRef] [PubMed]
- Shirai, M.A.; Grossmann, M.V.E.; Mali, S.; Yamashita, F.; Garcia, P.S.; Müller, C.M.O. Development of Biodegradable Flexible Films of Starch and Poly (lactic acid) Plasticized with Adipate or Citrate Esters. Carbohydr. Polym. 2013, 92, 19–22. [Google Scholar] [CrossRef]
- Jariyasakoolroj, P.; Chirachanchai, S. Silane modified starch for a compatible reactive blend with poly (lactic acid). Carbohydr. Polym. 2014, 106, 255–263. [Google Scholar] [CrossRef]
- Wu, D.; Hakkarainen, M. Recycling PLA to multifunctional oligomeric compatibilizers for PLA/starch composites. Eur. Polym. J. 2015, 64, 126–137. [Google Scholar] [CrossRef]
- Clasen, S.H.; Müller, C.M.O.; Pires, A.T.N. Maleic Anhydride as a Compatibilizer and Plasticizer in TPS/PLA Blends. J. Braz. Chem. Soc. 2015, 26, 1583–1590. [Google Scholar] [CrossRef]
- Kasinee, H.; Phiriyatorn, S.; Wararat, K.; Prapanee, S.; Kamonnit, I.; Thirawudh, P.; Olgun, G. Enhancing compatibility between poly (lactic acid) and thermoplastic starch using admicellar polymerization. J. Appl. Polym. Sci. 2016, 133, 1–11. [Google Scholar]
- Grande, R.; Pessan, L.A.; Carvalho, A.J.F. Thermoplastic blends of chitosan: A method for the preparation of high thermally stable blends with polyesters. Carbohydr. Polym. 2018, 191, 44–52. [Google Scholar] [CrossRef]
- Maria, R.; Amalia, C.M.; Elisabeta, E.T.; Elena, G.; Paul, P.; Mona, E.P.; Jan, T.R.; Morten, S.; Raluca, N.D.; Cornelia, V. Influence of chitosan on mechanical, thermal, barrier and antimicrobial properties of PLA-biocomposites for food packaging. Compos. Part B 2016, 102, 112–121. [Google Scholar]
- Fathima, P.E.; Panda, S.K.; Ashraf, P.M.; Varghese, T.O.; Bindu, J. Polylactic acid/chitosan films for packaging of Indian white prawn (Fenneropenaeus indicus). Int. J. Biol. Macromol. 2018, 117, 1002–1010. [Google Scholar] [CrossRef] [PubMed]
- Nasrin, R.; Biswas, S.; Rashid, T.U.; Afrin, S.; Jahan, R.A.; Haque, P.; Rahman, M.M. Preparation of Chitin-PLA laminated composite for implantable application. Bioact. Mater. 2017, 2, 199–207. [Google Scholar] [CrossRef] [PubMed]
- Torres-Hernández, Y.; Ortega-Díaz, G.; Téllez-Jurado, L.; Castrejón-Jiménez, N.; Altamirano-Torres, A.; García-Pérez, B.; Balmori-Ramírez, H. Biological Compatibility of a Polylactic Acid Composite Reinforced with Natural Chitosan Obtained from Shrimp Waste. Materials 2018, 11, 1465. [Google Scholar] [CrossRef]
- Zuo, Y.; Gu, J.; Cao, J.; Wei, S.; Tan, H.; Zhang, Y. Effect of Starch/Polylactic Acid Ratio on the Interdependence of Two-Phase and the Properties of Composites. J. Wuhan Univ. Tech. Mater. Sci. Ed. 2015, 30, 1108–1114. [Google Scholar] [CrossRef]
- Awale, R.; Ali, F.; Azmi, A.; Puad, N.; Anuar, H.; Hassan, A. Enhanced Flexibility of Biodegradable Polylactic Acid/Starch Blends Using Epoxidized Palm Oil as Plasticizer. Polymers 2018, 10, 977. [Google Scholar] [CrossRef]
- Muller, J.; González-Martínez, C.; Chiralt, A. Review Combination of Poly(lactic) Acid and Starch for Biodegradable Food Packaging. Materials 2017, 10, 952. [Google Scholar] [CrossRef]
- Pereira, F.S.; da Silva Agostini, D.L.; Job, A.E.; González, E.R.P. Thermal studies of chitin–chitosan derivatives. J. Therm. Anal. Calorim. 2012, 114, 321–327. [Google Scholar] [CrossRef]
- Mendes, J.F.; Paschoalin, R.; Carmona, V.B.; Sena Neto, A.R.; Marques, A.C.P.; Marconcini, J.M.; Mattosob, L.H.C.; Medeirosd, E.S.; Oliveira, J.E. Biodegradable polymer blends based on corn starch and thermoplastic chitosan processed by extrusion. Carbohydr. Polym. 2016, 137, 452–458. [Google Scholar] [CrossRef]
- Li, H.B.; Huneault, M.A. Comparison of Sorbitol and Glycerol as Plasticizers for Thermoplastic Starch in TPS/PLA Blends. J. Appl. Polym. Sci. 2011, 119, 2439–2448. [Google Scholar] [CrossRef]
- Orozco, V.H.; Brostow, W.; Chonkaew, W.; López, B.L. Preparation and Characterization of Poly (Lactic Acid)-g-Maleic Anhydride + Starch Blends. Macromol. Symp. 2009, 277, 69–80. [Google Scholar] [CrossRef]
- Yew, G.H.; Mohd Yusof, A.M.; Mohd Ishak, U.S.; Ishiaku, Z.A. Water absorption and enzymatic degradation of poly (lactic acid)/rice starch composites. Polym. Degrad. Stab. 2005, 90, 488–500. [Google Scholar] [CrossRef]
- Ayana, B.; Suin, S.; Khatua, B.B. Highly exfoliated eco-friendly thermoplastic starch (TPS)/poly (lactic acid) (PLA)/clay nanocomposites using unmodified nanoclay. Carbohydr. Polym. 2014, 110, 430–439. [Google Scholar]
- Aranda-García, F.J.; González-Núñez, R.; Jasso-Gastinel, C.F.; Mendizábal, E. Water Absorption and Thermomechanical Characterization of Extruded Starch/Poly (lactic acid)/Agave Bagasse Fiber Bioplastic Composites. Int. J. Polym. Sci. 2015. [Google Scholar] [CrossRef]
- Moczo, J.; Kun, D.; Fekete, E. Desiccant effect of starch in polylactic acid composites. Express Polym. Lett. 2018, 12, 1014–1024. [Google Scholar] [CrossRef]
- Rizal, S.; Ikramullah; Gopakumar, D.; Thalib, S.; Huzni, S.; Abdul Khalil, H. Interfacial Compatibility Evaluation on the Fiber Treatment in the Typha Fiber Reinforced Epoxy Composites and Their Effect on the Chemical and Mechanical Properties. Polymers 2018, 10, 1316. [Google Scholar] [CrossRef]








| Samples | Mass | Glass Temp. | Crystallization | Melting | ||||
|---|---|---|---|---|---|---|---|---|
| (g) | °C | Peak Temp. °C | Crys. Temp. °C | Heat of Crys. J/g | Peak Temp. °C | Melting Temp. °C | Heat of Melting J/g | |
| A | 5.67 | 58.04 | 128.53 | 113.55 | 1.77 | 146.13 | 141.35 | 1.56 |
| B | 6.80 | 62.30 | 104.31 | 96.37 | 30.45 | 167.23 | 161.73 | 38.69 |
| C | 6.63 | 57.33 | 108.30 | 99.65 | 4.209 | 141.98 | 131.25 | 4.368 |
| D | 5.51 | 59.20 | 125.90 | 109.77 | 6.233 | 147.52 | 141.86 | 7.761 |
| E | 5.70 | 62.20 | 107.58 | 98.07 | 28.06 | 167.5 | 162.17 | 36.41 |
| F | 5.60 | 59.96 | 107.37 | 97.56 | 27.49 | 167.43 | 162.12 | 32.32 |
© 2020 by the authors. Licensee MDPI, Basel, Switzerland. This article is an open access article distributed under the terms and conditions of the Creative Commons Attribution (CC BY) license (http://creativecommons.org/licenses/by/4.0/).
Share and Cite
Surya, I.; Olaiya, N.G.; Rizal, S.; Zein, I.; Sri Aprilia, N.A.; Hasan, M.; Yahya, E.B.; Sadasivuni, K.K.; Abdul Khalil, H.P.S. Plasticizer Enhancement on the Miscibility and Thermomechanical Properties of Polylactic Acid-Chitin-Starch Composites. Polymers 2020, 12, 115. https://doi.org/10.3390/polym12010115
Surya I, Olaiya NG, Rizal S, Zein I, Sri Aprilia NA, Hasan M, Yahya EB, Sadasivuni KK, Abdul Khalil HPS. Plasticizer Enhancement on the Miscibility and Thermomechanical Properties of Polylactic Acid-Chitin-Starch Composites. Polymers. 2020; 12(1):115. https://doi.org/10.3390/polym12010115
Chicago/Turabian StyleSurya, Indra, N. G. Olaiya, Samsul Rizal, Ikramullah Zein, N. A. Sri Aprilia, M. Hasan, Esam Bashir Yahya, K. K. Sadasivuni, and H. P. S. Abdul Khalil. 2020. "Plasticizer Enhancement on the Miscibility and Thermomechanical Properties of Polylactic Acid-Chitin-Starch Composites" Polymers 12, no. 1: 115. https://doi.org/10.3390/polym12010115
APA StyleSurya, I., Olaiya, N. G., Rizal, S., Zein, I., Sri Aprilia, N. A., Hasan, M., Yahya, E. B., Sadasivuni, K. K., & Abdul Khalil, H. P. S. (2020). Plasticizer Enhancement on the Miscibility and Thermomechanical Properties of Polylactic Acid-Chitin-Starch Composites. Polymers, 12(1), 115. https://doi.org/10.3390/polym12010115

