Time-Resolved Radiation-Induced Conductivity of Polyimide and Its Description Using the Multiple Trapping Formalism
Abstract
1. Introduction
2. Materials, Methods, and Problem Formulation
2.1. Materials
2.2. Methods
Measuring Method
2.3. Problem Formulation
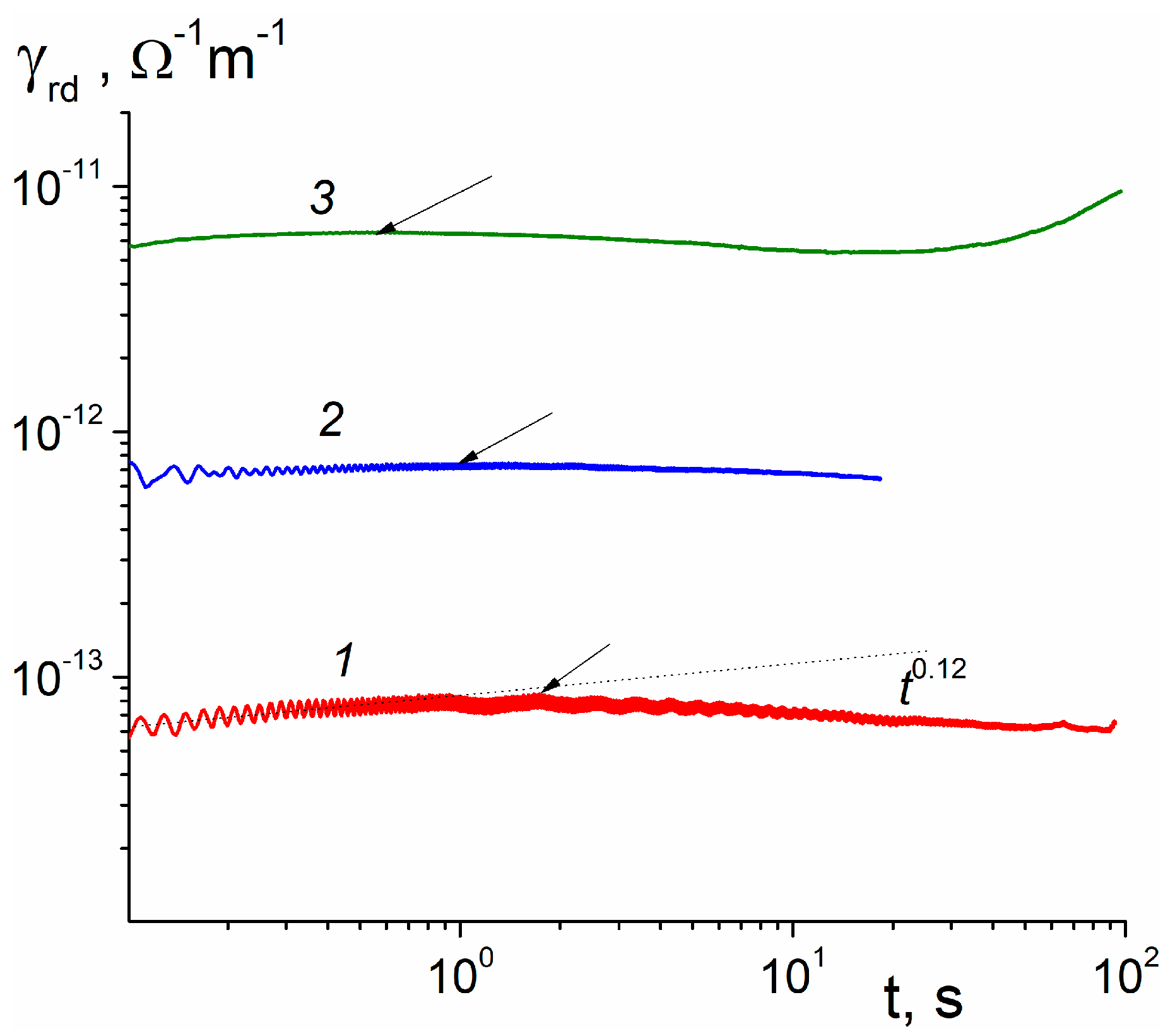
3. Results
4. Discussion
5. Conclusions
Author Contributions
Funding
Acknowledgments
Conflicts of Interest
References
- Fowler, J.F. X-ray induced conductivity in insulating materials. R. Soc. Lond. 1956, 150, 464–480. [Google Scholar] [CrossRef]
- Rose, A. An outline of photoconductivity in semiconductors. RCA Rev. 1951, 12, 362–414. [Google Scholar]
- Arkhipov, V.I.; Iovu, M.S.; Rudenko, A.I.; Shutov, S.D. An analysis of the dispersive charge transport in vitrous 0.55 As2Se3. Phys. Status Solidi 1979, 45, 67–77. [Google Scholar] [CrossRef]
- Tiedje, T.; Rose, A. A physical interpretation of dispersive transport in disordered semiconductors. Solid State Commun. 1981, 37, 49–52. [Google Scholar] [CrossRef]
- Pope, M.; Swenberg, C.E. Electronic Processes in Organic Crystals and Polymers; Oxford University Press: New York, NY, USA, 1999; p. 1360. [Google Scholar]
- Gross, B. Radiation-induced charge storage and polarization effects. In Electrets; Sessler, G.M., Ed.; Springer: Berlin, Germany; New York, NY, USA, 1980; pp. 217–284. [Google Scholar]
- Tyutnev, A.P.; Saenko, V.S.; Pozhidaev, E.D.; Kolesnikov, V.A. Charge carrier transport in polyvinylcarbazole. J. Phys. Condens. Matter 2006, 18, 6365–6377. [Google Scholar] [CrossRef]
- Tyutnev, A.P.; Weiss, D.S.; Dunlap, D.H.; Saenko, V.S. Time-of-flight current shapes in molecularly doped polymers: Effects of sample thicknessand irradiation side and carrier generation width. J. Phys. Chem. C 2014, 118, 5150–5158. [Google Scholar] [CrossRef]
- Tyutnev, A.P.; Saenko, V.S.; Pozhidaev, E.D.; Akkerman, A.F. Transient radiation-induced conductivity in polymers. Phys. Status Solidi A 1982, 73, 81–89. [Google Scholar] [CrossRef]
- Mingaleev, G.S.; Tyutnev, A.P.; Gerasimov, B.P.; Kulchitskaya, I.A. Numerical analysis of the transient radiation-induced conductivity in the framework of the Rose-Fowler-Vaisberg formalism. Phys. Status Solidi A 1986, 93, 251–262. [Google Scholar] [CrossRef]
- Ikhsanov, R.S.; Tyutnev, A.P.; Saenko, V.S.; Pozhidaev, E.D. Analysis of dispersive carrier transport based on numerical solution of multiple trapping equations. Polym. Sci. A 2009, 51, 1032–1039. [Google Scholar] [CrossRef]
- Arkhipov, V.I. An adiabatic model of trap-controlled dispersive transport and recombination. J. Non-Cryst. Solids 1993, 163, 274–282. [Google Scholar] [CrossRef]
- Gross, B.; von Seggern, H.; Berkley, D.A. Long term behavior of radiation-induced currents in fluorinated ethylene propylene copolymer. Phys. Status Solidi A 1983, 79, 607–615. [Google Scholar] [CrossRef]
- Faria, F.M.; Gross, B.; Filho, R.G. Radiation-induced conductivity of polymers in different gases. J. Appl. Phys. 1987, 62, 1420–1424. [Google Scholar] [CrossRef]
- Hanna, R.; Paulmier, T.; Molinie, P.; Belhaj, M.; Dirassen, B.; Payan, D.; Balcon, N. Radustion-induced conductivity in space dialectric materials. J. Appl. Phys. 2014, 115, 033713. [Google Scholar] [CrossRef]
- Gross, B.; Sessler, G.M.; West, J.E. Charge dynamics for electron-irradiated polymer-foil electrets. J. Appl. Phys. 1974, 45, 2841–2851. [Google Scholar] [CrossRef]
- Gross, B.; Giacometti, J.A.; Ferreira, G.F.L. Charge storage and transport in electron-irradiated and corona-charged dielectrics. IEEE Trans. Nucl. Sci. 1981, 28, 4513–4522. [Google Scholar] [CrossRef]
- Tyutnev, A.P.; Saenko, V.S.; Pozhidaev, E.D.; Ikhsanov, R.S. Experimental and theoretical studies of radiation-induced conductivity in spacecraft polymers. IEEE Trans. Plasma Sci. 2015, 43, 2915–2924. [Google Scholar] [CrossRef]
- Kurtz, S.R.; Hughes, R.C. Radiation-induced photoconductivity in polymers: Polyvinylfluoride compared with polyethylene terephthalate. J. Appl. Phys. 1983, 54, 229–237. [Google Scholar] [CrossRef]
- Tyutnev, A.P.; Saenko, V.S.; Ikhsanov, R.S.; Krouk, E.A. Radiation-induced conductivity in polymers under pulsed and long-time small-signal irradiations combined to determine their step-function response. J. Appl. Phys. 2019, 126, 095501. [Google Scholar] [CrossRef]
- Tyutnev, A.P.; Saenko, V.S.; Zhadov, A.D.; Pozhidaev, E.D. Radiation-induced conductivity in Kapton-like polymers featuring conductivity rising with an accumulating dose. IEEE Trans. Plasma Sci. 2019, 47, 3739–3745. [Google Scholar] [CrossRef]
- Beecken, B.P.; Englund, J.T.; Lake, J.J.; Wallin, B.M. Application of AF-NUMIT2 to the modeling of deep-dielectric spacecraft charging in the space environment. IEEE Trans. Plasma Sci. 2015, 43, 2817–2827. [Google Scholar] [CrossRef]
- Hummel, A. Ionization in Nonpolar Molecular Liquids by High Energy Electrons. Adv. Rad. Chem. 1974, 4, 1–102. [Google Scholar]
- van Lint, V.A.J. Mechanisms of transient radiation effects. IEEE Trans. Nucl. Sci. 1963, 10, 11–27. [Google Scholar] [CrossRef]
- Compton, D.M.J.; Cheney, G.T.; Poll, R.A. Radiation induced conductivity in plastic films at high dose rates. J. Appl. Phys. 1965, 36, 2434–2443. [Google Scholar] [CrossRef]
- van Lint, V.A.J.; Harrity, J.W.; Flanagan, T.M. Scaling laws for irradiation effects in insulators. IEEE Trans. Nucl. Sci. 1968, 15, 194–204. [Google Scholar] [CrossRef]
- Ahrens., T.J.; Wooten., F. Electrical conductivity induced in insulators by pulsed radiation. IEEE Trans. Nucl. Sci. 1976, 13, 1268–1272. [Google Scholar] [CrossRef][Green Version]
- Tyutnev, A.P.; Abramov, V.N.; Dubenskov, P.I.; Saenko, V.S.; Vannikov, A.V.; Pozhidaev, E.D. Time-resolved nanosecond radiation-induced conductivity in polymers. Acta Polym. 1986, 37, 336–342. [Google Scholar] [CrossRef]
- Williams, F. Kinetics of ionic processes in the radiolysis of liquid cyclohexane. J. Am. Chem. Soc. 1964, 86, 3954–3957. [Google Scholar] [CrossRef]
- Tyutnev, A.P.; Ikhsanov, R.S.; Saenko, V.S.; Pozhidaev, E.D. A theoretical description of geminate recombination in polymers in the approximation of probability of survival of ionic pairs. Russ. J. Phys. Chem. B 2007, 1, 661–669. [Google Scholar] [CrossRef]
- Ikhsanov, R.S.; Tyutnev, A.P.; Saenko, V.S.; Pozhidaev, E.D. A theoretical description of geminal electrical conductivity in polymers in the approximation of isolated ion pairs on the basis of solution of the Smoluchowski equation. Russ. J. Phys. Chem. B 2008, 2, 309–314. [Google Scholar] [CrossRef]
- Tyutnev, A.P.; Saenko, V.S.; Karpechin, A.I.; Mingaleev, G.S.; Arkhipov, V.I.; Rudenko, A.I.; Vannikov, A.V. Radiation-induced conductivity in polymers under continuous irradiation. Phys. Status Solidi A 1984, 83, 365–373. [Google Scholar] [CrossRef]
- Gross., B.; Faria, R.M.; Ferreira, G.F.L. Radiation-induced conductivity in Teflon irradiated by X-rays. J. Appl. Phys. 1981, 52, 571–577. [Google Scholar] [CrossRef]
- Filho, R.G.; Gross, B. Time-resolved x-ray conductivity in polyethyleneterephthalate. J. Appl. Phys. 1989, 68, 5478–5483. [Google Scholar] [CrossRef]
- Tyutnev, A.P.; Karpechin, A.I.; Boev, S.G.; Saenko, V.S.; Pozhidaev, E.D. Current overshoot in polymers under continuous irradiation. Phys. Status Solidi A 1992, 132, 3163–3170. [Google Scholar] [CrossRef]
- Tyutnev, A.P.; Saenko, V.S.; Smirnov, I.A.; Pozhidaev, E.D. Radiation-induced conductivity in polymers during long-term irradiation. High Energy Chem. 2006, 40, 319–330. [Google Scholar] [CrossRef]
- Molinie, P.; Dessante, P.; Hanna, R.; Paulmier, T.; Dirassen, B.; Belhaj, M.; Payan, D.; Balcon, N. Polyimide and FEP charging behavior under multienergetic electron-beam irradiation. IEEE Trans. Dielectr. Electr. Insul. 2012, 19, 1215–1220. [Google Scholar] [CrossRef]
- Paulmier, T.; Dirassen, B.; Payan, D.; Arnaout, M. Analysis of charge transport and ionization effect in space used polymers under high energy electron irradiation. IEEE Trans. Plasma Sci. 2017, 45, 1933–1937. [Google Scholar] [CrossRef]
- Pacaud, R.; Paulmier, T.; Sarrailh, P. 1-D physical model of charge distribution and transport in dielectric materials under space radiations. IEEE Trans. Plasma Sci. 2017, 45, 1933–1937. [Google Scholar] [CrossRef]
- Mateo-Velez, L.-C.; Paulmier, T.; Sicard, A.; Dirrassen, B.; Payan, D. Experimental investigation of surface potentials of materials under electron spectra representative of GEO and MEO worst case environments. IEEE Trans. Plasma Sci. 2019, 47, 3885–3890. [Google Scholar] [CrossRef]
- Sessler, G.M.; Figueiredo, M.T.; Ferreira, G.F.L. Models of charge transport in electron-beam irradiated insulators. IEEE Trans. Dielectr. Electr. Insul. 2004, 11, 192–202. [Google Scholar] [CrossRef]
- Sadovnichii, D.N.; Tyutnev, A.P.; Milekhin, Y.M. Bulk charging of polymer films under electron irradiation. In Proceedings of the 9th International Symposium on Materials in a Space Environment, Noordwijk, The Netherlands, 16–20 June 2003. [Google Scholar]
- Khatipov, S.A. Radiation-induced electron transport processes in polymeric dielectrics (a review). High Energy Chem. 2001, 35, 291–307. [Google Scholar] [CrossRef]
- Tyutnev, A.P.; Sadovnichii, D.N.; Saenko, V.S.; Pozhidaev, E.D. The effect of molecular motions on the transport of excess charge carriers in polymers. Polym. Sci. A 2000, 42, 10–18. [Google Scholar]
- Tyutnev, A.P.; Weiss, D.S.; Saenko, V.S.; Pozhidaev, E.D. About mobility thickness dependence in molecularly doped polymers. Chem. Phys. 2017, 495, 16–22. [Google Scholar] [CrossRef]
- Tyutnev, A.P.; Ikhsanov, R.S.; Saenko, V.S.; Nikerov, D.V. Numerical analysis of the photo-injection time-of-flight curves in molecularly doped polymers. Chem. Phys. 2018, 503, 65–70. [Google Scholar] [CrossRef]







© 2019 by the authors. Licensee MDPI, Basel, Switzerland. This article is an open access article distributed under the terms and conditions of the Creative Commons Attribution (CC BY) license (http://creativecommons.org/licenses/by/4.0/).
Share and Cite
Tyutnev, A.; Saenko, V.; Zhadov, A.; Pozhidaev, E. Time-Resolved Radiation-Induced Conductivity of Polyimide and Its Description Using the Multiple Trapping Formalism. Polymers 2019, 11, 2061. https://doi.org/10.3390/polym11122061
Tyutnev A, Saenko V, Zhadov A, Pozhidaev E. Time-Resolved Radiation-Induced Conductivity of Polyimide and Its Description Using the Multiple Trapping Formalism. Polymers. 2019; 11(12):2061. https://doi.org/10.3390/polym11122061
Chicago/Turabian StyleTyutnev, Andrey, Vladimir Saenko, Aleksei Zhadov, and Evgenii Pozhidaev. 2019. "Time-Resolved Radiation-Induced Conductivity of Polyimide and Its Description Using the Multiple Trapping Formalism" Polymers 11, no. 12: 2061. https://doi.org/10.3390/polym11122061
APA StyleTyutnev, A., Saenko, V., Zhadov, A., & Pozhidaev, E. (2019). Time-Resolved Radiation-Induced Conductivity of Polyimide and Its Description Using the Multiple Trapping Formalism. Polymers, 11(12), 2061. https://doi.org/10.3390/polym11122061

