Next Article in Journal
Annealing-Driven Recrystallization of Mechanically Deformed Ce-Doped ZrO2 Ceramics
Previous Article in Journal
Janus Ga2SSe-Based van der Waals Heterojunctions as a Class of Promising Candidates for Photocatalytic Water Splitting: A DFT Investigation
 
 
Font Type:
Arial Georgia Verdana
Font Size:
Aa Aa Aa
Line Spacing:
Column Width:
Background:
Article

Synthesis and Characterization of [Co(tta)2(4,4′-bipy)2.CHCl3]n: A Coordination Polymer with Sulfur–Sulfur Interactions

1
Department of Chemistry, Faculty of Sciences, Applied Science Private University, P.O. Box 166, Amman 11931, Jordan
2
Chemistry Department, The University of Jordan, Amman 11942, Jordan
3
Institute of Inorganic Chemistry of the Czech Academy of Sciences, Husinec-Rez 1001, 25068 Rez, Czech Republic
4
College of Engineering, University of Business and Technology, Jeddah 23435, Saudi Arabia
5
Department of Mathematical Engineering, Faculty of Engineering, Alexandria University, Alexandria 21544, Egypt
6
Research Center for Materials, Architectures and Integration of Nanomembranes (MAIN), Research Group Organometallic Chemistry, Technische Universität Chemnitz, Rosenbergstraße 6, D-09126 Chemnitz, Germany
*
Author to whom correspondence should be addressed.
Crystals 2025, 15(8), 729; https://doi.org/10.3390/cryst15080729
Submission received: 22 July 2025 / Revised: 9 August 2025 / Accepted: 13 August 2025 / Published: 16 August 2025
(This article belongs to the Section Inorganic Crystalline Materials)

Abstract

Coordination polymer [{Co(tta)2(4,4′-bipy)}n] (1) (tta = 4,4,4 trifluoro-1-(2-thienyl)-1,3-butanedionate; 4,4′-bipy = 4,4′-bipyridine) was synthesized by reacting [Co(tta)2-(H2O)2] with equivalent of 4,4′-bipy, whereby the aqua ligands in [Co(tta)2-(H2O)2] were replaced by 4,4′-bipy ligand. Thermal behavior, investigated via thermogravimetric analysis (TGA), revealed that 1 decomposes between 290 and 400 °C. The solid-state structure of 1 was confirmed by single-crystal X-ray diffraction, which established its polymeric nature of 1. Each monomer unit of 1 features a cobalt center in an octahedral coordination environment, with two equatorially chelating tta ligands and one axially oriented 4,4′-bipy ligand. Sulfur–sulfur interactions lead to the formation of a two-dimensional supramolecular network. In addition, compound 1 is stabilized by various intermolecular interactions, including C-H···π, C-F···F-C, and C-H···F-C contacts. Hirshfeld surface analysis and 2D-fingerprint plots were employed to further investigate the non-covalent intermolecular interactions in the solid state, providing strong evidence for their role in stabilizing the crystal structure.

1. Introduction

Due to their unique properties and multi-functionality, there is a growing interest in supramolecular chemistry and crystal engineering in metal–organic frameworks (MOFs) and coordination polymers as advanced materials [1,2,3,4,5,6,7,8,9,10,11,12,13,14]. The 1D-coordination polymeric structures arise from, for example, the coordination of rod-like bridging ligands, such as pyrazine [15,16] or 4,4′-bipyridine [17,18,19], binding to metal atoms or metal complex fragments. Self-assembled coordination polymers, exhibiting specific network topologies, show, in general, highly ordered networks with varying dimensionalities, particularly 2D- and 3D-network structures [20,21,22,23]. Polymer stacking through non-covalent interactions allows to formation of layers with distinctive features [24,25]. In addition to reported factors influencing these features [26,27,28,29], the type of non-covalent interactions among the formation of stacks also shows a significant impact on the properties [30,31]. Therefore, alterations in non-covalent interactions between stacking polymeric chains led to changes in the architectures and applications of supramolecular structures [32,33,34]. Several metal–organic supramolecular structures, including 1D-coordination polymers, have been documented [35,36,37,38,39,40,41,42,43,44,45,46], which are accessible, for example, by the reaction of cobalt salts with 4,4′-bipyridine (bipy) or pyrazine (pz) [17,47,48,49].
In this respect, three isomorphic 1D-coordination polymers [Co(OAc)2(4,4′-bipy)]n (OAc = CH3CO2), [Co(H2O)3(4,4′-bipy)SO4]n.2H2O, and [Co(H2O)3(4,4′-bipy)Cl2]n.2H2O, were synthesized and structurally characterized [17]. The structures of these species in the solid state are characterized by repeating -Co-bipy- units, thus forming a one-dimensional chain. In addition, polymeric [Co(H2O)3(4,4′-bipy)SO4]n.2H2O forms a 2D-supramolecular network by self-assembling through hydrogen bridge formation [33]. Similarly, [Co(OAc)2(4,4′-bipy)]n features linear double-Co-bipy chains, which are linked by OAc groups [17]. Furthermore, the constitution of [Co(acac)(4,4′-bipy)]n [47] and [Co(acac)¬(pz)]n (acac = acetylacetonate) [47] were studied, showing that in these coordination polymers, the Co atoms possess a somewhat distorted octahedral geometry, with non-coplanar of 4,4′-bipyridine rings and weak van der Waals interactions between the chains, classifying it as a 1D-chain structure rather than a 2D network. Additionally, an isomorphous structure to [Co(acac)(4,4′-bipy)]n [47] was reported, i.e., [Cu(acac)(4,4′-bipy)]n [50].
Additionally, β-diketonates, including 4,4,4-trifluoro-1-(2-thienyl)-1,3-butanedionate (tta), could successfully be introduced as building blocks in coordination polymers with a significant impact on the structure and properties of the respective polymers [51,52,53]. Recently, complexes of type [Co(tta)]n, [Co(tta)2(H2O)2]n, and [Co(tta)2(HOMe)2]n were discussed [54] in which the β-diketonate units built intermolecular MeO−H···O-diketonate hydrogen bridges resulting in a 1D chain geometry. Additional π-π interactions between the appropriate thiophene rings of individual chains generate a 2D network [55,56,57].
Within this study, we extend the supramolecular structure of [Co(tta)2(H2O)2]n to a coordination polymer [{Co(tta)2(4,4′-bipy)]n (3). The synthesis and chemical and physical properties of this compound, including its structure in the solid state, are reported.

2. Materials and Methods

2.1. General Remarks

Complex 1 was synthesized according to a method reported elsewhere [54]. All other chemicals were purchased from commercial providers and were used as received.

2.2. Physical Measurements

Infrared spectra were recorded using a Perkin-Elmer FTIR 1000 spectrometer. Melting points were determined using analytically pure samples with a Gallenkamp MFB 595 010M melting point apparatus. Microanalyses were performed with a Thermo FLASHEA 1112 Series instrument. Thermogravimetric analysis (TGA) was carried out with the Perkin-Elmer System Pyris TGA 6 with a constant heating rate of 8 K min−1 under an atmosphere of N2 (20.0 dm3 h−1).

2.3. Synthesis of [{Co(tta)2(4,4′-bipy)}n] (1)

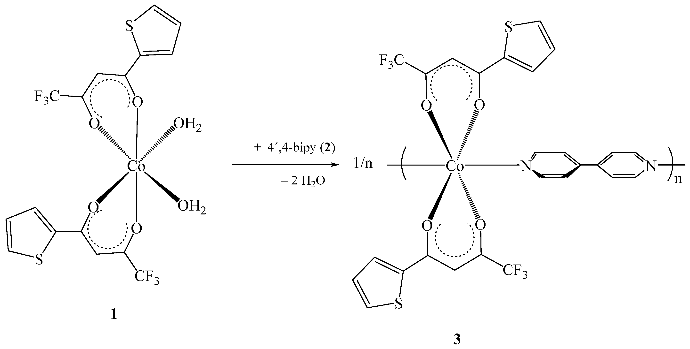
4,4-Bipyridine (70.3 mg, 0.45 mmol) was added in a single portion to a solution of [Co(tta)2(H2O)2] (242.7 mg, 0.45 mmol) in 50 mL of ethanol at 50 °C. The formed reaction mixture was stirred at 50 °C for 24 h, and then 20 mL of water was added in a single portion, whereby polymer 1 precipitated. The obtained solid 1 was filtered through a filter paper and washed with water (3 × 25 mL). The obtained yellow solid was dried under high vacuum for 2 days.
Yield: 170 mg (0.19 mmol, 95% based on [Co(tta)2-(H2O)2]). Mp: 290 °C (decomposition). Anal. Calc. for C26H16F6N2O4S2Co (659.56 g/mol): C, 47.50; H, 2.45; N, 4.26%. Found: C, 47.60; H, 2.53; N, 4.23%. IR (KBr, cm−1): 3068 (m) (C-H), 1602 (vs), 1577 (s, CO), 1538 (vs), 1506 (s, C-C), 1467 (s), 1412 (vs), 1352 (s), 1301 (vs), 1253 (s), 1231 (s) 1189 (vs, C-F), 860 (s), 932 (s) (s, C-H out-plane thienyle); 787 (s), 715 (s, C-CF3).

2.4. Crystal Structure of [Co(tta)2(4,4′-bipy)2.CHCl3]n (1)

Single crystals suitable for X-ray crystallographic analysis were obtained by dissolving 1 in chloroform at ambient temperature. After 5 days, single crystals of 1 precipitated from this saturated solution. Crystal and structure refinement data of 1 are summarized in Table 1. Data were collected with an Oxford Gemini diffractometer at 100 K using Mo Kα radiation (λ = 0.71073 Å). The structure was solved by direct methods using SHELXS-2013 and refined by full-matrix least-squares procedures on F2 with SHELXL-2013 [58]. All non-hydrogen atoms were refined anisotropically, and hydrogen atoms were added to calculate positions. The CHCl3 molecule within the asymmetric unit has been refined disordered on three positions with occupation factors of 0.70 (C14, Cl1–Cl3) and of 0.15 (C14′, Cl1′–Cl3′ and C14”, Cl1”–Cl3”). The thiophene unit is disordered on two positions with split occupancies of 0.86/0.14.

3. Results

Polymeric [{Co(tta)2(4,4′-bipy)}n] (1) was synthesized by reacting equimolar amounts of [Co(tta)2](H2O)2] (tta = 4,4,4 trifluoro-1-(2-thienyl)-1,3-butanedionate) with 4,4′-bipyridine in hot ethanol at 50 °C (Scheme 1, Experimental). Coordination polymer 1 was isolated as pale yellow-brown crystals following an appropriate work-up. Compound 1 is soluble in hot chloroform and tetrahydrofuran but insoluble in water, acetonitrile, dichloromethane, and generally in non-polar solvents. In both the solid state and in solution, polymer 1 is stable to air and moisture.
Coordination polymer 1 was characterized by elemental analysis, FT-IR spectroscopy, thermogravimetric analysis (TGA), differential scanning calorimetry (DSC), and single-crystal X-ray diffraction.

4. Discussion

IR spectroscopy was obtained to investigate the compositions of 1. Characteristic absorptions in the 1253–1538 cm−1 range are attributed to the 4,4′-bipyridine ligand [59]. Vibrations observed between 1412 and 1538 cm−1 correspond to ν(C−C) and ν(C−N) stretching modes of the pyridine rings in 4,4′-bipyridine [60,61]. A band near 1577 cm−1 is assigned to the stretching vibration of the carbonyl group, while peaks in the 1467–932 cm−1 region are attributed to thiophene ring stretching vibrations (Figure S1) [62,63].
To investigate the thermal behavior of 1, thermogravimetric analysis (TGA) was performed over the temperature range of 25–800 °C (Figure 1). The measurements were carried out at atmospheric pressure under a nitrogen atmosphere (1.0 cm3 min−1) with a constant heating rate of 8 °C min−1. Decomposition of 1 begins at 290 °C and is completed at 400 °C (Figure 1). Within this temperature range, the tta and 4,4′-bipy ligands are eliminated in a single step, resulting in a total weight loss of 89.8% (calcd. 91.0%). The remaining residue at 400 °C corresponds closely to the theoretical value expected for the formation of cobalt(II) oxide (CoO), with a calculated residual weight of 11.4% and an observed value of 10.3%. This observation is consistent with the reported thermal decomposition behavior of related coordination polymers, such as [Co2(Hiso)2(4,4′-bipy)2(H2O)4]2(4,4′-bipy)n [64] and [{Co(acac)2(4,4′-bipy)}n] [47].

Solid-State Structure of 1

Single crystals of 1 were obtained from a saturated dichloromethane solution of 1 at ambient temperature (see Experimental Section). The coordination polymer 1, [Co(tta)2(4,4′-bipy)2.CHCl3]n, crystallizes in the centro-symmetric triclinic space group P-1. Selected crystal and structural refinement data for 1 are summarized in Table 1, selected bond lengths (Å) and angles (°) are listed in Table 2, and the ORTEP of 1 is given in Figure 2. The Co atom of 1 is located at a crystallographically imposed inversion center.
The cobalt atom adopts a distorted octahedral CoO4N2 coordination setup. Thereby, the four O atoms of the two tta ligands occupy the equatorial positions, forming a planar CoO4 fragment. The bond length of the Co-O1tta and Co-O2tta distances are 2.048(2) and 2.040(2) Å, respectively, which corresponds to other diketonato cobalt(II) transition metal complexes [54]. The atoms O1, O2, S1, C1–C8 of one tta ligand form a plane (r.m.s. deviation from planarity = 0.034 Å, highest deviation from planarity observed for C7 with 0.066 Å), which is tilted concerning the CoO4 fragment by 18.7 (Figure 2). Two N atoms of two different 4,4′-bipy ligands occupy the axial positions. The Co-Nbipy distances are 2.137(2) Å, which are slightly shorter than those found in, i.e., [{Co(acac)2(4,4′-bipy)]n (2.181(6) and 2.217(6) Å), [Co(acac)2pz]n (2.227(2) Å) [47], or [Co(OAc)2(4,4′-bipy)]n (2.168(1) Å) [17].
In the solid state, compound 1 forms a polymeric chain along the crystallographic c-axis, due to the (μ2-4,4′-bipyridine-κ2N:N’) bridging of the 4,4′-bipy ligands. The repeating unit of 1, consisting of {Co(tta)2(4,4′bipy)}, is illustrated in Figure 2. Structurally, the crystal architecture of 1 closely resembles that of the known compound [{Co(acac)2(4,4′-bipy)}n] [47]. Thereby, the (μ2-4,4′-bipyridine-κ2N:N’) unit exhibits a linear coordination mode to Co, similar to [{Co(acac)2(4,4′-bipy)}n], as expressed by the dihedral angle between the two pyridyl (1: 0 °; [{Co(acac)2(4,4′-bipy)}n]: 34.2 °(2) [47]. The closest Co···Co intra-chain separations are similar (1: 11.3624(6) Å; [{Co(acac)2(4,4′-bipy)}n]: 11.482(3) Å [47]. Exchanging the tta ligand in 1 by acac in [{Co(acac)2(4,4′-bipy)}n] results in different closest Co···Co inter-chain separations as expected (1: 10.894(3) Å; [{Co(acac)2(4,4′-bipy)}n]: 7.733(3) Å) [47].
However, two distinctive features in the crystal structure of 1 contrast with those of [{Co(acac)2(4,4′-bipy)}n] [47]. The first and most striking structural difference is that the neighboring polymeric chains in 1 are further connected by sulfur–sulfur (S···S) interactions, generating a two-dimensional layer architecture parallel to the crystallographic bc plane (Figure 3). A side view of the polymer along the bc plane reveals a Co···Co separation of 9.2974(5) Å (Figure 3), and shows that the resulting 2D structure adopts a ‘Z-type’ interaction via S⋅⋅⋅S interactions, resulting in the formation of a rectangular grid network hosting the thiophene molecule [64,65,66]. The S···S contacts in 1 (3.282(3) Å, symmetry code 3-x,-y,1-z) are mostly shorter than those between offset centrosymmetric pairs in related thiophene compounds (3.519–3.3038 Å) [64,65,67,68]. The second notable feature of 1 is the incorporation of CHCl3 guest molecules within the voids between the polymeric chains (Figure 4). In contrast, the structure of [{Co(acac)2(4,4′-bipy)}n] contains empty voids, classifying it as essentially a one-dimensional coordination polymer [47]. The void remains empty, making this complex an essentially one-dimensional chain species. In contrast to 1, [{Co(acac)2(4,4′-bipy)}n], crystallized from H2O, contains only microscopic voids with a diameter of 1.29–2.11 Å, as calculated by the PoreBlazer software 4.0 [69], whereas the void size in 1 ranges from 3.35 to 4.90 Å. No solvent molecules were reported in the structure of [{Co(acac)2(4,4′-bipy)}n], likely due to the difference in void size or strong disorder preventing their detection by X-ray diffraction.
In addition to S···S interactions, complex 1 is further stabilized by several types of short intermolecular interactions, including C-H···π, F···F, and C-H···F-C contacts (Figure 5) [70,71,72,73,74]. The trifluoride moieties of the ligands play a significant role in enhancing the crystal structure’s stability, particularly through the involvement of fluorine atoms F1 and F2 in the formation of a supramolecular architecture via F···F and C-H···F-C interactions (Table 3). A notable feature is the shortest intermolecular contact observed between the pyridine ring and the fluorine group of the trifluoride ligand: C12-H12···F2 (symmetry code: 1-x,1-y,1-z) with a distance of 2.61 Å and an angle of 138.1°, forming a prominent element of the supramolecular framework. Additionally, there is a significant F···F interaction between fluorine atoms F1 and F1 from adjacent complexes [C8–F1···F1–C8, 2.898(3) Å, ∠ = 136.4(2)°, symmetry code: 1-x,1-y,1-z], further contributing to the stability and organization of the structure [75,76]. This arrangement results in a familiar C-H···π bonding between the thiophene and the pyridine [77,78,79]. The F···F, C-H···F-C, and C-H···π interactions fall within the range observed for similar contacts in related compounds [75,76].
Hirshfeld surface analysis was carried out to investigate the intermolecular contacts present in the crystal structure of the co-coordination polymer [78,79]. This analysis is a powerful graphical tool to investigate and quantify different intermolecular interactions in the crystal lattices. The Hirschfeld surface of 1 is mapped with dnorm, curvedness (between −1.1724 (red) and + 1.2215 (blue)), and shape index (−1.0 (red) and + 1.0 (blue)) (Figure 6). The faint red spots observed on the dnorm plot of 1 signify the existence of C-H···π, C-F···F-C, and C-H···F-C contacts, as illustrated in Figure 7. The two-dimensional fingerprint plots and the bar chart showing the relative contributions of different intermolecular contacts on the Hirschfeld surface area of 3 are shown in Figure 8. These results reveal that the crystal packing of 1 is influenced by C-H···π, C-F···F-C and C-H···F-C interactions.

5. Conclusions

Coordination polymer [Co(tta)2(4,4′-bipy)]n (1) (tta = 4,4,4 trifluoro-1-(2-thienyl)-1,3-butanedionate; bipy = bipyridine) could be synthesized by treatment of [Co(tta)2(H2O)2] with 4,4′-bipy in the molar ratio of 1:1. Crystallization of 1 from saturated chloroform solutions resulted in the formation single crystals of [Co(tta)2(4,4′-bipy)2.CHCl3]n. The monomeric unit of 1 exhibits an octahedral coordination sphere around cobalt. The 4,4′-bipy unit effectively acts as a bridge, connecting Co(tta)2 complex fragments and hence adopting a linear coordination mode towards the cobalt metal atoms. Interconnection between adjacent polymeric chains of 1 is facilitated by sulfur–sulfur (S···S) interactions, resulting in a 2D-layer architecture parallel to the crystallographic bc plane. The 2D-layer architecture in 1 demonstrates ‘Z-type’ interactions via S···S interactions, leading to the formation of a rectangular grid network that accommodates CHCl3 guest molecules within its void. Distinguishing features of polymer 1 in comparison to [Co(acac)(4,4′-bipy)]n [47] and [Cu(acac)(4,4′-bipy)]n [50] include (i) the substitution of acac by a chelate ligand tta, (ii) the non-coplanar pyridine rings in the 4,4′-bipy linkers adopting a coplanar arrangement in 1, indicating that the thienyl ring in tta influences the coplanarity of the pyridine rings, and (iii) the formation of a 2D-network layer along the crystallographic b axes through robust S···S interactions facilitated by the thienyl rings. A comprehensive structural analysis of the non-covalent interactions, along with their evaluation using Hirshfeld surface analysis, is also provided. This analysis highlights the significance of C-H···π, C-F···F-C, and C-H···F-C interactions in forming and stabilizing the coordination polymer. The supramolecular structure of 1 exhibits remarkable thermal stability up to 290 °C, with a decomposition step occurring between 300 and 400 °C, resulting in the subsequent formation of cobalt oxide, which is in agreement with compounds [Co(acac)(4,4′-bipy)]n [47] and [Cu(acac)(4,4′-bipy)]n [50].

Supplementary Materials

The following supporting information can be downloaded at: https://www.mdpi.com/article/10.3390/cryst15080729/s1. Crystallographic data (excluding structure factors) have been deposited with the Cambridge Crystallographic Data Centre as supplementary publication CCDC-2396759 for 1. Copies of the data can be obtained free of charge on application to CCDC, 12 Union Road, Cambridge CB2 1EZ, UK [E-mail: deposit@ccdc.cam.ac.uk].

Author Contributions

M.A.A.-A., conceptualization, writing the manuscript with input from all authors, funding, acquisition, resources, supervision, investigation, data curation, and validation; D.T., formal analysis, investigation, designed the model and the computational framework, and analyzed the data; P.E. and M.K., single-crystal X-ray diffraction; Y.M.A., data curation; H.L., conceptualization, funding, acquisition, resources, and supervision. All authors have read and agreed to the published version of the manuscript.

Funding

This research received no external funding.

Acknowledgments

M. Al-Anber is grateful to the Alexander-von-Humboldt Foundation (Germany) for a fellowship award. We thank Tobias Rüffer (TU Chemnitz, Germany) for his help with the refinement of the solid-state structure of 1.

Conflicts of Interest

The authors declare no conflicts of interest.

References

  1. Bourne, S.A.; Lu, J.; Mondal, A.; Moulton, B.; Zaworotko, M.J. Self-Assembly of Nanometer-Scale Secondary Building Units into an Undulating Two-Dimensional Network with Two Types of Hydrophobic Cavity. Angew. Chem. Int. Ed. 2001, 40, 2111–2113. [Google Scholar] [CrossRef]
  2. Holliday, B.J.; Mirkin, C.A. Strategies for the Construction of Supramolecular Compounds through Coordination Chemistry. Angew. Chem. Int. Ed. 2001, 40, 2022–2043. [Google Scholar] [CrossRef]
  3. Yaghi, O.M.; Li, H.; Davis, C.; Richardson, D.; Groy, T.L. Synthetic Strategies, Structure Patterns, and Emerging Properties in the Chemistry of Modular Porous Solids. Acc. Chem. Res. 1998, 31, 474–484. [Google Scholar] [CrossRef]
  4. Zhang, J.-P.; Chen, X.-M. Crystal Engineering of Binary Metal Imidazolate and Triazolate Frameworks. Chem. Commun. 2006, 16, 1689–1699. [Google Scholar] [CrossRef]
  5. Ockwig, N.W.; Delgado-Friedrichs, O.; O’Keeffe, M.; Yaghi, O.M. Reticular Chemistry: Occurrence and Taxonomy of Nets and Grammar for the Design of Frameworks. Acc. Chem. Res. 2005, 38, 176–182. [Google Scholar] [CrossRef] [PubMed]
  6. Rowsell, J.L.C.; Yaghi, O.M. Strategies for Hydrogen Storage in Metal–Organic Frameworks. Angew. Chem. Int. Ed. 2005, 44, 4670–4679. [Google Scholar] [CrossRef]
  7. Kitagawa, S.; Kitaura, R.; Noro, S. Functional Porous Coordination Polymers. Angew. Chem. Int. Ed. 2004, 43, 2334–2375. [Google Scholar] [CrossRef]
  8. Rao, C.N.R.; Natarajan, S.; Vaidhyanathan, R. Metal Carboxylates with Open Architectures. Angew. Chem. Int. Ed. 2004, 43, 1466–1496. [Google Scholar] [CrossRef] [PubMed]
  9. MacGillivray, L.R.; Atwood, J.L. Structural Classification and General Principles for the Design of Spherical Molecular Hosts. Angew. Chem. Int. Ed. 1999, 38, 1018–1033. [Google Scholar] [CrossRef]
  10. Stang, P.J.; Olenyuk, B. Self-Assembly, Symmetry, and Molecular Architecture: Coordination as the Motif in the Rational Design of Supramolecular Metallacyclic Polygons and Polyhedra. Acc. Chem. Res. 1997, 30, 502–518. [Google Scholar] [CrossRef]
  11. Swiegers, G.F.; Malefetse, T.J. New Self-Assembled Structural Motifs in Coordination Chemistry. Chem. Rev. 2000, 100, 3483–3538. [Google Scholar] [CrossRef] [PubMed]
  12. Burrows, A.D. The Chemistry of Metal–Organic Frameworks. Synthesis, Characterization, and Applications, 2 Volumes. Edited by Stefan Kaskel. Angew. Chem. Int. Ed. 2017, 56, 1449. [Google Scholar] [CrossRef]
  13. Kirchon, A.; Feng, L.; Drake, H.F.; Joseph, E.A.; Zhou, H.-C. From Fundamentals to Applications: A Toolbox for Robust and Multifunctional MOF Materials. Chem. Soc. Rev. 2018, 47, 8611–8638. [Google Scholar] [CrossRef]
  14. Kang, Y.-S.; Lu, Y.; Chen, K.; Zhao, Y.; Wang, P.; Sun, W.-Y. Metal–Organic Frameworks with Catalytic Centers: From Synthesis to Catalytic Application. Coord. Chem. Rev. 2019, 378, 262–280. [Google Scholar] [CrossRef]
  15. D’souza, L.R.; Harmalkar, N.N.; Harmalkar, S.S.; Tayade, S.B.; Dhuri, S.N. Construction of Pyrazine-Appended 1D and 3D Cobalt(II) Succinate Coordination Polymers: Influence of Solvent on Architectures and Applications in Gas Adsorption and NAC Detection. ACS Omega 2022, 7, 5698–5712. [Google Scholar] [CrossRef]
  16. Noro, S.; Kitagawa, S.; Akutagawa, T.; Nakamura, T. Coordination Polymers Constructed from Transition Metal Ions and Organic N-Containing Heterocyclic Ligands: Crystal Structures and Microporous Properties. Prog. Polym. Sci. 2009, 34, 240–279. [Google Scholar] [CrossRef]
  17. Lu, J.; Yu, C.; Niu, T.; Paliwala, T.; Crisci, G.; Somosa, F.; Jacobson, A.J. One-Dimensional Coordination Polymers of Cobalt with 4,4′-Bipyridine: Syntheses and Structures. Inorg. Chem. 1998, 37, 4637–4640. [Google Scholar] [CrossRef]
  18. Zhao, Z.; He, X.; Zhao, Y.; Shao, M.; Zhu, S. Coordination Polymer Based on Cu(Ii), Co(Ii) and 4,4′-Bipyridine-2,6,2′,6′-Tetracarboxylate: Synthesis, Structure and Adsorption Properties. Dalton Trans. 2009, 15, 2802–2811. [Google Scholar] [CrossRef]
  19. Sánchez-Férez, F.; Calvet, T.; Font-Bardia, M.; Pons, J. Cu(II) Coordination Polymers with 4,4′-Bipyridine. Synthesis and Crystal Structures. J. Mol. Struct. 2021, 1235, 130219. [Google Scholar] [CrossRef]
  20. Papi, F.; Rosado, A.; Vallcorba, O.; Lanza, A.E.; Gemmi, M.; Portolés-Gil, N.; López-Periago, A.M.; Domingo, C.; Ayllón, J.A. Supramolecular Isomerism in Cobalt(II) Coordination Polymers Built from 3,5-Bis(trifluoromethyl)Benzoate and 4,4′-Bipyridine. Cryst. Growth Des. 2022, 22, 4463–4471. [Google Scholar] [CrossRef]
  21. Parsaei, M.; Akhbari, K.; White, J. Synthesis, Characterization and Comprehensive Study of a 3D Co(II) Coordination Polymer Antibacterial Activity. J. Mol. Struct. 2023, 1283, 135224. [Google Scholar] [CrossRef]
  22. Hu, M.; Zhang, J.; Tian, F.; Yan, W.; Tang, J.; Chen, Z.; Liang, W.; Shi, D.; Chen, D. Cu(I)-4,4′-Bipyridine Coordination Polymer for Photocatalytic H2 Generation. J. Mol. Struct. 2024, 1301, 137332. [Google Scholar] [CrossRef]
  23. Liu, D.; Poon, C.; Lu, K.; He, C.; Lin, W. Self-Assembled Nanoscale Coordination Polymers with Trigger Release Properties for Effective Anticancer Therapy. Nat. Commun. 2014, 5, 4182. [Google Scholar] [CrossRef] [PubMed]
  24. Desiraju, G.R. Supramolecular Synthons in Crystal Engineering—A New Organic Synthesis. Angew. Chem. Int. Ed. Engl. 1995, 34, 2311–2327. [Google Scholar] [CrossRef]
  25. Batten, S.R.; Robson, R. Interpenetrating Nets: Ordered, Periodic Entanglement. Angew. Chem. Int. Ed. 1998, 37, 1460–1494. [Google Scholar] [CrossRef]
  26. Kuroda-Sowa, T.; Horino, T.; Yamamoto, M.; Ohno, Y.; Maekawa, M.; Munakata, M. Structural Control of Copper(I) Coordination Polymers: Construction of One-, Two-, and Three-Dimensional Frameworks of Tetrahedral Copper(I) Ions Bridged by Dicyanobenzene Derivatives. Inorg. Chem. 1997, 36, 6382–6389. [Google Scholar] [CrossRef]
  27. Fujita, M.; Kwon, Y.J.; Washizu, S.; Ogura, K. Preparation, Clathration Ability, and Catalysis of a Two-Dimensional Square Network Material Composed of Cadmium(II) and 4,4′-Bipyridine. J. Am. Chem. Soc. 1994, 116, 1151–1152. [Google Scholar] [CrossRef]
  28. Lu, J.; Paliwala, T.; Lim, S.C.; Yu, C.; Niu, T.; Jacobson, A.J. Coordination Polymers of Co(NCS)2 with Pyrazine and 4,4′-Bipyridine: Syntheses and Structures. Inorg. Chem. 1997, 36, 923–929. [Google Scholar] [CrossRef]
  29. Munakata, M.; Ning, G.L.; Kuroda-Sowa, T.; Maekawa, M.; Suenaga, Y.; Horino, T. Construction of Copper(I) Coordination Polymers of 1,2,4,5-Tetracyanobenzene with Zigzag Sheet and Porous Frameworks. Inorg. Chem. 1998, 37, 5651–5656. [Google Scholar] [CrossRef]
  30. Liu, B.; Rocca, D.; Yan, H.; Pan, D. Beyond Conformational Control: Effects of Noncovalent Interactions on Molecular Electronic Properties of Conjugated Polymers. JACS Au 2021, 1, 2182–2187. [Google Scholar] [CrossRef] [PubMed]
  31. Novikov, A.S. Non-Covalent Interactions in Polymers. Polymers 2023, 15, 1139. [Google Scholar] [CrossRef]
  32. O’Donnell, A.D.; Salimi, S.; Hart, L.R.; Babra, T.S.; Greenland, B.W.; Hayes, W. Applications of Supramolecular Polymer Networks. React. Funct. Polym. 2022, 172, 105209. [Google Scholar] [CrossRef]
  33. Lundberg, D.J.; Brown, C.M.; Bobylev, E.O.; Oldenhuis, N.J.; Alfaraj, Y.S.; Zhao, J.; Kevlishvili, I.; Kulik, H.J.; Johnson, J.A. Nested Non-Covalent Interactions Expand the Functions of Supramolecular Polymer Networks. Nat. Commun. 2024, 15, 3951. [Google Scholar] [CrossRef] [PubMed]
  34. Buaksuntear, K.; Limarun, P.; Suethao, S.; Smitthipong, W. Non-Covalent Interaction on the Self-Healing of Mechanical Properties in Supramolecular Polymers. Int. J. Mol. Sci. 2022, 23, 6902. [Google Scholar] [CrossRef] [PubMed]
  35. Maverick, A.W.; Fronczek, F.R.; Maverick, E.F.; Billodeaux, D.R.; Cygan, Z.T.; Isovitsch, R.A. Structures of Anhydrous and Hydrated Copper(II) Hexafluoroacetylacetonate. Inorg. Chem. 2002, 41, 6488–6492. [Google Scholar] [CrossRef]
  36. Tabellion, F.M.; Seidel, S.R.; Arif, A.M.; Stang, P.J. Discrete Supramolecular Architecture vs Crystal Engineering: The Rational Design of a Platinum-Based Bimetallic Assembly with a Chairlike Structure and Its Infinite, Copper Analogue. J. Am. Chem. Soc. 2001, 123, 7740–7741. [Google Scholar] [CrossRef] [PubMed]
  37. Soldatov, D.V.; Ripmeester, J.A. Inclusion in Microporous β-Bis(1,1,1-Trifluoro-5,5-Dimethyl-5-Methoxyacetylacetonato)Copper(II), an Organic Zeolite Mimic. Chem. Mater. 2000, 12, 1827–1839. [Google Scholar] [CrossRef]
  38. Horikoshi, R.; Mochida, T.; Moriyama, H. Coordination Polymers from M(Hfac)2 [M = Cu II, Mn II] and 4,4′-Dipyridyldisulfide. Inorg. Chem. 2001, 40, 2430–2433. [Google Scholar] [CrossRef]
  39. Aakeröy, C.B.; Schultheiss, N.; Desper, J. Directed Supramolecular Assembly of Infinite 1-D M(II)-Containing Chains (M = Cu, Co, Ni) Using Structurally Bifunctional Ligands. Inorg. Chem. 2005, 44, 4983–4991. [Google Scholar] [CrossRef]
  40. Yoshida, J.; Nishikiori, S.; Kuroda, R. Construction of Supramolecular Complexes by Use of Planar Bis(β-Diketonato)Cobalt(II) Complexes as Building Blocks. Chem. Lett. 2007, 36, 678–679. [Google Scholar] [CrossRef]
  41. Ahmed, M.A.K.; Fjellvåg, H.; Kjekshus, A.; Dietzel, P.D.C. Mixed Ligand Complexes of Cobalt(II)—Synthesis, Structure, and Properties of Co4(thd)4(OEt)4. Z. Für Anorg. Allg. Chem. 2007, 633, 1371–1381. [Google Scholar] [CrossRef]
  42. Wang, S.; Zheng, J.-C.; Hall, J.R.; Thompson, L.K. Crystal Structure and Magnetic Properties of a Cubane-Type Copper Compound [CuII(2,2,6,6-Tetramethyl-3,5-Heptanedionato)(Ethoxo)]4. Polyhedron 1994, 13, 1039–1044. [Google Scholar] [CrossRef]
  43. Ginsberg, A.P.; Bertrand, J.A.; Kaplan, R.I.; Kirkwood, C.E.; Martin, R.L.; Sherwood, R.C. Magnetic Exchange in Transition Metal Complexes. V. Ferromagnetic Spin Coupling in a Tetranuclear Nickel(II) Cluster. Inorg. Chem. 1971, 10, 240–246. [Google Scholar] [CrossRef]
  44. Berry, J.F.; Cotton, F.A.; Liu, C.Y.; Lu, T.; Murillo, C.A.; Tsukerblat, B.S.; Villagrán, D.; Wang, X. Modeling Spin Interactions in a Cyclic Trimer and a Cuboidal Co4O4 Core with Co(II) in Tetrahedral and Octahedral Environments. J. Am. Chem. Soc. 2005, 127, 4895–4902. [Google Scholar] [CrossRef]
  45. Kessler, V.G.; Gohil, S.; Parola, S. Interaction of Some Divalent Metal Acetylacetonates with Al, Ti, Nb and Ta Isopropoxides. Factors Influencing the Formation and Stability of Heterometallic Alkoxide complexes. Dalton Trans. 2003, 4, 544–550. [Google Scholar] [CrossRef]
  46. Brewer, G.A.; Sinn, E. Heterobinuclear Adducts of Copper Tetradentate Schiff Bases with Metal Hexafluoroacetylacetonates. Inorg. Chem. 1987, 26, 1529–1535. [Google Scholar] [CrossRef]
  47. Ma, B.-Q.; Gao, S.; Yi, T.; Xu, G.-X. One-Dimensional Coordination Polymers [Co(Acac)2pz]n and [Co(Acac)2(4,4′-Bipy)]n (Acac=acetylacetone, Pz=pyrazine, Bipy=4,4′-Bipyridine): Synthesis, Structures and Magnetic Properties. Polyhedron 2001, 20, 1255–1261. [Google Scholar] [CrossRef]
  48. Chen, C.; Xu, D.; Xu, Y.; Cheng, C.; Ling, R. Structure of Catena-Poly[{(2,2’-Bipyridyl)(Diperchlorato)Copper(II)}-μ-4,4′-Bipyridyl]. Acta Crystallogr. C 1992, 48, 1231–1233. [Google Scholar] [CrossRef]
  49. Plater, M.J.; Foreman, M.R.S.J.; Slawin, A.M.Z. One-Dimensional Structures of Manganese(II), Copper(II) and Cobalt(II) Coordination Complexes [MnII(Hfac)2L] (Hfac=hexafluoroacetylacetonate Anion; L=4,4-Bipyridyl), [CuII(Hfac)2L] (L=1,3-Dipyridylpropane or 4,4-Bipyridyl-N,N′-Dioxide) and [CoII(Hfac)2L] (L=4,4-Bipyridyl-N,N′-Dioxide). Inorganica Chim. Acta 2000, 303, 132–136. [Google Scholar] [CrossRef]
  50. Xu, Y.; Shi, S. Study of Spectra and Crystal Structure of Bipyridine Bridging Cu(II) Acetylacetonate Complex[.Mu.-4,4-Bipy-Cu(Acac)2]. Acta Chim. Sin. 1986, 44, 336–342. [Google Scholar]
  51. Vicente, R.; Tubau, À.; Speed, S.; Mautner, F.A.; Bierbaumer, F.; Fischer, R.C.; Massoud, S.S. Slow Magnetic Relaxation and Luminescence Properties in Neodymium(iii)-4,4,4-Trifluoro-1-(2-Naphthyl)Butane-1,3-Dionato Complexes Incorporating Bipyridyl Ligands. New J. Chem. 2021, 45, 14713–14723. [Google Scholar] [CrossRef]
  52. Mara, D.; Artizzu, F.; Laforce, B.; Vincze, L.; Van Hecke, K.; Van Deun, R.; Kaczmarek, A.M. Novel Tetrakis Lanthanide β-Diketonate Complexes: Structural Study, Luminescence Properties and Temperature Sensing. J. Lumin. 2019, 213, 343–355. [Google Scholar] [CrossRef]
  53. Cen, P.; Liu, X.; Zhang, Y.-Q.; Ferrando-Soria, J.; Xie, G.; Chen, S.; Pardo, E. Modulating Magnetic Dynamics through Tailoring the Terminal Ligands in Dy2 Single-Molecule Magnets. Dalton Trans. 2020, 49, 808–816. [Google Scholar] [CrossRef]
  54. Al-Anber, M.; Ecorchard, P.; Rüffer, T.; Lang, H. Layers of a Cobalt(II) Thenoyl-β-Diketonato Complex by Supramolecular Recognition. Main Group Chem. 2012, 11, 205–215. [Google Scholar] [CrossRef]
  55. Huber, R.G.; Margreiter, M.A.; Fuchs, J.E.; Von Grafenstein, S.; Tautermann, C.S.; Liedl, K.R.; Fox, T. Heteroaromatic π-Stacking Energy Landscapes. J. Chem. Inf. Model. 2014, 54, 1371–1379. [Google Scholar] [CrossRef]
  56. Mori, T.; Yamaguchi, Y.; Kawata, S.; Yasuda, T. An S-Shaped Thienoacene Semiconductor Forming Unique Cruciform Lamellar Packing via a 2D Interaction Network of π-Stacking and Chalcogen Bonding. J. Mater. Chem. C 2021, 9, 13090–13093. [Google Scholar] [CrossRef]
  57. Murata, T.; Morita, Y.; Nakasuji, K. Pluri-Dimensional Hydrogen-Bonded Networks of Novel Thiophene-Introduced Oligo(Imidazole)s and Physical Properties of Their Charge-Transfer Complexes with TCNQ. Tetrahedron 2005, 61, 6056–6063. [Google Scholar] [CrossRef]
  58. Sheldrick, G.M. A Short History of SHELX. Acta Crystallogr. A 2008, 64, 112–122. [Google Scholar] [CrossRef] [PubMed]
  59. Taher, D.; Walfort, B.; Van Koten, G.; Lang, H. Thiol End-Capped One-Dimensional Platinum and Palladium Complexes. Inorg. Chem. Commun. 2006, 9, 955–958. [Google Scholar] [CrossRef]
  60. Taher, D.; Wilson, J.R.; Ritch, G.; Zeller, M.; Szymczak, N.K. Late-Stage Ligand Functionalization via the Staudinger Reaction Using Phosphine-Appended 2,2′-Bipyridine. Chem. Commun. 2021, 57, 5718–5721. [Google Scholar] [CrossRef]
  61. Taher, D.; Walfort, B.; Lang, H. A New Approach to Novel Homobimetallic Palladium Complexes. Inorg. Chem. Commun. 2004, 7, 1006–1009. [Google Scholar] [CrossRef]
  62. Taher, D.; Awwadi, F.F.; Speck, J.M.; Korb, M.; Schaarschmidt, D.; Weheabby, S.; Habashneh, A.Y.; Al-Noaimi, M.; El-Khateeb, M.; Abu-Orabi, S.T.; et al. Heterocyclic-Based Ferrocenyl Carboselenolates: Synthesis, Solid-State Structure and Electrochemical Investigations. J. Organomet. Chem. 2017, 845, 55–62. [Google Scholar] [CrossRef]
  63. Taher, D.; Awwadi, F.F.; Speck, J.M.; Korb, M.; Wagner, C.; Hamed, E.M.; Al-Noaimi, M.; Habashneh, A.Y.; El-khateeb, M.; Abu-Orabi, S.T.; et al. Ferrocenyl Thiocarboxylates: Synthesis, Solid-State Structure and Electrochemical Investigations. J. Organomet. Chem. 2017, 847, 59–67. [Google Scholar] [CrossRef]
  64. Wang, Q.; Wallis, J.D.; Wu, Y.; Pilkington, M. A Structural Investigation of Novel Thiophene-Functionalized BEDT-TTF Donors for Application as Organic Field-Effect Transistors. CrystEngComm 2014, 16, 10235–10244. [Google Scholar] [CrossRef]
  65. Short, J.; Blundell, T.J.; Yang, S.; Sahin, O.; Shakespeare, Y.; Smith, E.L.; Wallis, J.D.; Martin, L. Synthesis and Structures of Polyiodide Radical Cation Salts of Donors Combining Tetrathiafulvalene with Multiple Thiophene or Oligo-Thiophene Substituents. CrystEngComm 2020, 22, 6632–6644. [Google Scholar] [CrossRef]
  66. Pfattner, R.; Bromley, S.T.; Rovira, C.; Mas-Torrent, M. Tuning Crystal Ordering, Electronic Structure, and Morphology in Organic Semiconductors: Tetrathiafulvalenes as a Model Case. Adv. Funct. Mater. 2016, 26, 2256–2275. [Google Scholar] [CrossRef]
  67. Van Der Lee, A.; Roche, G.H.; Wantz, G.; Moreau, J.J.E.; Dautel, O.J.; Filhol, J.-S. Experimental and Theoretical Evidence of a Supercritical-like Transition in an Organic Semiconductor Presenting Colossal Uniaxial Negative Thermal Expansion. Chem. Sci. 2018, 9, 3948–3956. [Google Scholar] [CrossRef]
  68. Gholivand, K.; Farshadfar, K.; Roe, S.M.; Hosseini, M.; Gholami, A. Investigation of Structure-Directing Interactions within Copper (i) Thiocyanate Complexes through X-Ray Analyses and Non-Covalent Interaction (NCI) Theoretical Approach. CrystEngComm 2016, 18, 7104–7115. [Google Scholar] [CrossRef]
  69. Sarkisov, L.; Harrison, A. Computational Structure Characterisation Tools in Application to Ordered and Disordered Porous Materials. Mol. Simul. 2011, 37, 1248–1257. [Google Scholar] [CrossRef]
  70. Taher, D.; Klaib, S.; Korb, M.; Assaf, K.I.; Rheinwald, G.; Lang, H. [Ti{η5-1-(SiMe3)-3-(R)-C9H5}Cl2(OEt)] Half-Sandwich Complexes: Synthesis, Solid-State Structure, Hirshfeld Surface Analysis and Theoretical Studies. J. Mol. Struct. 2024, 1312, 138510. [Google Scholar] [CrossRef]
  71. Awwadi, F.F.; Taher, D.; Haddad, S.F.; Turnbull, M.M. Competition between Hydrogen and Halogen Bonding Interactions: Theoretical and Crystallographic Studies. Cryst. Growth Des. 2014, 14, 1961–1971. [Google Scholar] [CrossRef]
  72. Taher, D.; Awwadi, F.F.; Al-Noaimi, M.; Khader, L.K.; Juwhari, H.K.; Amarne, H.; Kailani, M.H.; Ibdah, A. Bis(N,N′-Substituted Oxamate) Zincate(II) Complexes: Synthesis, Spectroscopy, Solid State Structure and DFT Calculations. Inorganica Chim. Acta 2019, 487, 409–418. [Google Scholar] [CrossRef]
  73. Al Khalyfeh, K.; Taher, D.; Helal, W.; Korb, M.; Amarne, H.; Lang, H. Crystal Structure and Hirshfeld Surface Analysis of Bis(3-Thienoyl) Disulfide. J. Chem. Crystallogr. 2022, 52, 113–121. [Google Scholar] [CrossRef]
  74. Amarne, H.; Helal, W.; Taher, D.; Korb, M.; Al-Hunaiti, A. Crystal Structure, Hirshfeld Surface Analysis and Contact Enrichment Ratios of 5,5-Dimethyl-2-(2,4,6-Tris(Trifluoromethyl)Phenyl)-1,3,2-Dioxaborinane. Mol. Cryst. Liq. Cryst. 2022, 743, 77–88. [Google Scholar] [CrossRef]
  75. Hema, M.K.; Arun Renganathan, R.R.; Nanjunda Swamy, S.; Karthik, C.S.; Pampa, K.J.; Mallu, P.; Ravishankar Rai, V.; Lokanath, N.K. 4,4,4-Trifluoro-1-(Thiophen-2-Yl)Butane-1,3-Dione Nickel(II) Complex: Synthesis, Structure, Quantum Chemical and DNA Binding Studies. J. Mol. Struct. 2020, 1202, 127277. [Google Scholar] [CrossRef]
  76. Hema, M.K.; Karthik, C.S.; Pampa, K.J.; Manukumar, H.M.; Mallu, P.; Warad, I.; Lokanath, N.K. Solvent Induced 4,4,4-Trifluoro-1-(2-Naphthyl)-1,3-Butanedione Cu(II) Complexes: Synthesis, Structure, DFT Calculation and Biocidal Activity. Polyhedron 2019, 168, 127–137. [Google Scholar] [CrossRef]
  77. Shotonwa, I.O.; Osifeko, O.L.; Amos, S.F.; Akande, E.O.; Adejare, A.A.; Olaoye, T.R.; Akinwande, B.B.; Adeoluwa, Z.A.; Benjamin, N.F.; Lambo, M.O.; et al. Structural Diversity, Computational Outputs, and Supramolecular Solid-State Assemblies in Sustaining the Coordination Chemistry of Zinc, Cadmium, and Mercury Dithiocarbamates. J. Mol. Struct. 2024, 1310, 138242. [Google Scholar] [CrossRef]
  78. Ishtaiwi, Z.; Taher, D.; Korb, M.; Helal, W.; Al-Hunaiti, A.; Juwhari, H.K.; Amarne, H.; Amer, M.W.; YouSef, Y.A.; Klaib, S.; et al. Syntheses, Crystal Structures, DFT Calculation and Solid-State Spectroscopic Properties of New Zincate(II) Complexes with N-(4-Substituted Phenyl)-N’-(4-Nitrophenyl)-Oxamate. Arab. J. Chem. 2022, 15, 104349. [Google Scholar] [CrossRef]
  79. Ishtaiwi, Z.; Taher, D.; Korb, M.; Helal, W.; Juwhari, H.K.; Al-Hunaiti, A.; Amarne, H.; Assaf, K.; Alrawashdeh, L.; Amer, M.W.; et al. Luminescent Materials Based on N-(3-Nitrophenyl)-N’-(4-R-C6H4)Oxamato Zincate(II) Complexes. J. Mol. Struct. 2023, 1288, 135747. [Google Scholar] [CrossRef]
Scheme 1. Synthesis of polymeric [{Co(tta)2(4,4′-bipy)}n] (1) by reacting [Co(tta)2](H2O)2] with 4,4′-bipyridine.
Scheme 1. Synthesis of polymeric [{Co(tta)2(4,4′-bipy)}n] (1) by reacting [Co(tta)2](H2O)2] with 4,4′-bipyridine.
Crystals 15 00729 sch001
Figure 1. TGA result for 1.
Figure 1. TGA result for 1.
Crystals 15 00729 g001
Figure 2. Ellipsoids of the repeating unit of the one-dimensional coordination chains formed by 1 in the solid state. The major component of the thiophene disorder is shown. Symmetry transformations used to generate equivalent atoms: ‘A’: −x + 2, −y + 1, −z.
Figure 2. Ellipsoids of the repeating unit of the one-dimensional coordination chains formed by 1 in the solid state. The major component of the thiophene disorder is shown. Symmetry transformations used to generate equivalent atoms: ‘A’: −x + 2, −y + 1, −z.
Crystals 15 00729 g002
Figure 3. Illustration of the interaction of coordination chains of 1 using inter-chain S⋅⋅⋅S contacts, giving rise to the formation of 2D layers. All hydrogen atoms, as well as packing solvent molecules, are omitted for clarity.
Figure 3. Illustration of the interaction of coordination chains of 1 using inter-chain S⋅⋅⋅S contacts, giving rise to the formation of 2D layers. All hydrogen atoms, as well as packing solvent molecules, are omitted for clarity.
Crystals 15 00729 g003
Figure 4. Graphical illustration of a selected part of the crystal structure of 1, displaying the incorporation of CHCl3 molecules in the void. A major component (70%) of the disordered CHCl3 molecules is shown.
Figure 4. Graphical illustration of a selected part of the crystal structure of 1, displaying the incorporation of CHCl3 molecules in the void. A major component (70%) of the disordered CHCl3 molecules is shown.
Crystals 15 00729 g004
Figure 5. Intermolecular S···S (yellow), C-H···π (black), F···F (purple), and C-H···F (green) interactions in 1, presenting 1D-polymeric chain motifs along with their core.
Figure 5. Intermolecular S···S (yellow), C-H···π (black), F···F (purple), and C-H···F (green) interactions in 1, presenting 1D-polymeric chain motifs along with their core.
Crystals 15 00729 g005
Figure 6. Hirshfeld surfaces of 1 mapped with dnorm (a), shape index (b), curvedness (c), and Fragment Patch (d).
Figure 6. Hirshfeld surfaces of 1 mapped with dnorm (a), shape index (b), curvedness (c), and Fragment Patch (d).
Crystals 15 00729 g006
Figure 7. (a) Hirshfeld surface S···S and C-H···π contacts in 1. (b) Hirshfeld surface C-F···F-C and C-F···H-C contacts in 3.
Figure 7. (a) Hirshfeld surface S···S and C-H···π contacts in 1. (b) Hirshfeld surface C-F···F-C and C-F···H-C contacts in 3.
Crystals 15 00729 g007
Figure 8. Full 2D-fingerprint plot for 1 and (a) the decomposed contacts representing (b) H···F (21.2%), (c) H···H (13.6%), (d) C···H/H···C (13.1%), (e) O···H/H···O (8.4%), (f) C···C (4.5%), (g) S···H/H···S (1.7%), and (h) F···F (1.2%), intermolecular interactions.
Figure 8. Full 2D-fingerprint plot for 1 and (a) the decomposed contacts representing (b) H···F (21.2%), (c) H···H (13.6%), (d) C···H/H···C (13.1%), (e) O···H/H···O (8.4%), (f) C···C (4.5%), (g) S···H/H···S (1.7%), and (h) F···F (1.2%), intermolecular interactions.
Crystals 15 00729 g008
Table 1. Crystal data and structure refinement of 1.
Table 1. Crystal data and structure refinement of 1.
Empirical FormulaC28H18Cl6CoF6N2O4S2
Formula weight896.19
Temperature100 K
Wavelength0.71073 Å
Crystal systemTriclinic
Space groupP-1
Unit cell dimensionsa = 9.2974(5) Å
b = 9.4580(4) Å
c = 11.3624(6) Å
Unit cell anglesα = 78.159(4)°
β = 68.102(5)°
γ = 71.018(4)°
Volume872.63(8) Å3
Z1
Density (calculated)1.705 Mg/m3
Absorption coefficient1.141 mm−1
F(000)447
Crystal size0.2 × 0.05 × 0.03 mm3
2Theta range for data collection5.722 to 52.262 °
Index ranges–11 ≤ h ≤ 11, –11 ≤ k ≤ 11, –14 ≤ l ≤ 14
Reflections collected15,110
Independent reflections3456 [R(int) = 0.0370] a)
Completeness to theta = 26.131°99.1%
Absorption correctionSemi-empirical from equivalents
Max. and min. transmission1.00000 and 0.78280
Refinement methodFull-matrix least-squares on F2
Data/restraints/parameters3457/306/290
Goodness of fit on F2S = 0.978 b)
Final R indices [I > 2σ(I)]R1 = 0.0432, wR2 = 0.1088 c)
R indices (all data)R1 = 0.0695, wR2 = 0.1160 c)
Largest diff. peak and hole0.56 and −0.66 eÅ−3
a) Rint = ∑|Fo2 − Fo2 (mean)|/∑Fo2, where Fo2 (mean) is the average intensity of symmetry equivalent diffractions. b) S = [∑w(Fo2 − Fc2)2]/(np)1/2, where n = number of reflections, p = number of parameters. c) R = [∑(|Fo| − |Fc|)/∑|Fo|); wR = [∑(w(Fo2 − Fc2)2)/∑(wFo4)]1/2.
Table 2. Selected bond lengths [Å] and angles [°] for 1.
Table 2. Selected bond lengths [Å] and angles [°] for 1.
Bond Distances [Å]
Co(1)-O(1)2.048(2)
Co(1)-O(2)2.040(2)
Co(1)-N(1)2.137(2)
Bond Angles [°] 1)
O(1)-Co(1)-O(2)89.18(8)
O(2)-Co(1)-N(1)90.82(9)
O(1)-Co(1)-N(1)91.52(10)
1) Symmetry transformations used to generate equivalent atoms labeled with −x + 2, −y + 1, −z + 1.
Table 3. Intermolecular interactions in 1.
Table 3. Intermolecular interactions in 1.
D-H···A 1D-H/ÅH···A/ÅD···A/Å<D-H···A°Symmetry
C12-H12···F20.952.613.375(4)137.81-x,1-y,1-z
C6-H6···π0.952.763.579(7)144.22-x,1-y,-z
1) D = Donor; A = Acceptor.
Disclaimer/Publisher’s Note: The statements, opinions and data contained in all publications are solely those of the individual author(s) and contributor(s) and not of MDPI and/or the editor(s). MDPI and/or the editor(s) disclaim responsibility for any injury to people or property resulting from any ideas, methods, instructions or products referred to in the content.

Share and Cite

MDPI and ACS Style

Al-Anber, M.A.; Taher, D.; Ecorchard, P.; Kloda, M.; Aboelmagd, Y.M.; Lang, H. Synthesis and Characterization of [Co(tta)2(4,4′-bipy)2.CHCl3]n: A Coordination Polymer with Sulfur–Sulfur Interactions. Crystals 2025, 15, 729. https://doi.org/10.3390/cryst15080729

AMA Style

Al-Anber MA, Taher D, Ecorchard P, Kloda M, Aboelmagd YM, Lang H. Synthesis and Characterization of [Co(tta)2(4,4′-bipy)2.CHCl3]n: A Coordination Polymer with Sulfur–Sulfur Interactions. Crystals. 2025; 15(8):729. https://doi.org/10.3390/cryst15080729

Chicago/Turabian Style

Al-Anber, Mohammed A., Deeb Taher, Petra Ecorchard, Matous Kloda, Yasser Mahmoud Aboelmagd, and Heinrich Lang. 2025. "Synthesis and Characterization of [Co(tta)2(4,4′-bipy)2.CHCl3]n: A Coordination Polymer with Sulfur–Sulfur Interactions" Crystals 15, no. 8: 729. https://doi.org/10.3390/cryst15080729

APA Style

Al-Anber, M. A., Taher, D., Ecorchard, P., Kloda, M., Aboelmagd, Y. M., & Lang, H. (2025). Synthesis and Characterization of [Co(tta)2(4,4′-bipy)2.CHCl3]n: A Coordination Polymer with Sulfur–Sulfur Interactions. Crystals, 15(8), 729. https://doi.org/10.3390/cryst15080729

Note that from the first issue of 2016, this journal uses article numbers instead of page numbers. See further details here.

Article Metrics

Back to TopTop