Next Article in Journal
Mineralogical Characteristics and Color Origin of Nephrite Containing Pink Minerals
Previous Article in Journal
Additive Manufacturing of High-Performance Ti-Mo Alloys Used on a Puncture Needle: The Role of Linear Energy Density in Microstructure Evolution and Mechanical Properties
Previous Article in Special Issue
Optical Absorption, Photocarrier Recombination Dynamics and Terahertz Dielectric Properties of Electron-Irradiated GaSe Crystals
 
 
Font Type:
Arial Georgia Verdana
Font Size:
Aa Aa Aa
Line Spacing:
Column Width:
Background:
Article

Nonlinear Optical Bistability in a Bragg Reflector Multilayered Structure with MoS2

1
School of Intelligent Manufacturing and Electronic Engineering, Wenzhou University of Technology, Wenzhou 325035, China
2
School of Physics and Electronics, Hunan Normal University, Changsha 410081, China
*
Authors to whom correspondence should be addressed.
These authors contributed equally to this work.
Crystals 2025, 15(2), 150; https://doi.org/10.3390/cryst15020150
Submission received: 13 December 2024 / Revised: 24 January 2025 / Accepted: 26 January 2025 / Published: 31 January 2025
(This article belongs to the Special Issue Advances of Nonlinear Optical Materials)

Abstract

The special band structure of bilayer MoS2 makes it show strong nonlinear optical characteristics in the visible band, which provides a new way to develop visible nonlinear devices. In this paper, we present a theoretical analysis of the optical bistability (OB) in a silver–Bragg reflector structure by embedding bilayer MoS2 at the visible band. The nonlinear OB phenomenon is achieved due to the nonlinear conductivity of the bilayer MoS2 and the excitation of the optical Tamm state at the interface between the silver and the Bragg reflector. It is found that the hysteresis behavior and the threshold width of the OB can be effectively tuned by varying the incident light wavelength. In addition, the optical bistable behavior of the structure can be adjusted by varying the position of the MoS2 inset in the defect layer, the incident angle, and the structural parameters of the spacer layer. We believe the above results can provide a new paradigm for the construction of controllable bistable devices.

1. Introduction

Optical bistability (OB) is a nonlinear optical phenomenon in which two different stable output states are produced for a given input state in an optical system [1]. The characteristic curve of OB shows a distinct hysteresis loop relationship with a delay and abrupt change, and therefore, it is widely used in all-optical switches [2,3], all-optical logic gates [4,5], biosensors [6], optical storage [7], computing [8], etc. Although OB has been around for decades since its theoretical proposal, there is still no fully commercialized all-optical bistability device because there are still gaps between two key indicators and commercialization: first, the driving optical field power required to achieve OB is in the milliwatt range or below, and to achieve such a low threshold optical bistability, the nonlinear material used needs to have a large nonlinear coefficient; The second requirement is that the state transition response time of OB should be in the picosecond range or below, which also puts higher demands on the response time of nonlinear materials. On this basis, the preparation should meet the requirements of simplicity, ease of integration, low insertion loss, and stable performance as much as possible. Due to the relatively low requirements for the steady-state conversion speed (switching speed) of OB in current optical communication networks, reducing the optical power driving the OB conversion has become the core goal of research on OB and its applications. In recent years, micro and nano technologies have become increasingly mature and developed rapidly, people start to seek OB phenomena in micro and nano structures, based on photonic crystals [9,10], the Fabry–Perot cavity [11,12], hyper-bolic metamaterials [13], and nonlinear ring resonator structures [14], and a series of OB phenomena in micro and nano structures have been proposed one after another. We know that there is a positive correlation between the threshold of OB and the nonlinear coefficient of the material, and the higher the nonlinear coefficient of the material the lower the threshold in achieving OB. In recent years, The two-dimensional materials graphene and three-dimensional Dirac semimetals stand out among the many materials due to their large nonlinear coefficients in the terahertz band [15,16], and OB studies based on graphene and Dirac semimetals have been successively proposed. For example, OB in the graphene-on-Kerr nonliner surface [17], OB in the graphene–Bragg reflector structure [18], and OB in one-dimensional photonic crystal heterostructures based on Dirac semimetals [19] have been reported. Although OB phenomena based on graphene and Dirac semimetals have been studied extensively, the research has been mostly limited to the terahertz band. In addition, it is not difficult to see that the core starting point of the above work is to combine two-dimensional materials with excellent third-order nonlinear conductivity characteristics with micro nano structures with local field enhancement, in order to seek OB schemes with the lowest possible threshold [20,21]. At present, OB research in the visible band is still in its infancy. Therefore, the search for new ways to tune OB in the visible band is being tried by researchers.
Recently, it has been found that the bilayer MoS2 has a high third-order nonlinear coefficient in the visible band, which has attracted attention. It was found that the monolayer MoS2 has a linear electro-optical effect (Pockels effect) [22,23] and the bilayer MoS2 has a secondary electro-optical effect (Kerr effect) [22]. The bilayer MoS2 gives a large nonlinear coefficient in the visible band based on the Kerr effect [24], which provides nonlinear conditions to achieve OB. Also, we know that the wave vector in a vacuum can be tuned by changing the wavelength of the incident light, thereby changing the third-order nonlinear conductivity of MoS2, which provides the possibility for the implementation of tunable OB. Compared to terahertz-band-based graphene and 3D Dirac semimetal OB studies, this study provides a way to tune OB in the visible band based on MoS2, which makes this work meaningful. Optical Tamm states (OTSs) are lossless interface modes localized at two interfaces with different media [25]. They have strong localization, are easily excited, and surface-constrained properties [26]. Current studies on OTS are mainly based on the metal–Bragg reflector structure [27,28] and one-dimensional photonic crystal heterostructure [29,30]. We know that local field enhancement contributes positively to the threshold reduction of OB, which is beneficial for achieving OB [31].
In this paper, we theoretically analyze the OB phenomenon in a silver–Bragg reflector structure based on bilayer nonlinear MoS2. The results show that OTS is generated at the interface between the silver and the spacer layer, which leads to an enhancement of the local field. Furthermore, inserting the bilayer of MoS2 into the multilayer structure provides a nonlinear condition for the generation of OB. At the same time, we can dynamically tune the hysteresis behavior and threshold width of the OB by varying the wavelength of the incident light. This OB scheme has the properties of a simple structure, easy preparation, and OB realization in the visible band, for which we believe this scheme can provide a new idea for the manipulation of OB in optical fields, such as all-optical switches and other nonlinear optical bistable devices, in the future.

2. Theoretical Model and Method

We consider a one-dimensional multilayer structure with a silver–Bragg reflector and bilayer MoS2. As shown in Figure 1, Figure 1a shows the visual view and Figure 1b shows the side view. In this structure, the Bragg reflector consists of alternating periodic arrangements of dielectric A (SiO2) and dielectric B (Si), and the period is set to T = 10 . The refractive index of medium A is n A = 1.46 , and that of medium B is n B = 2.82 . In this Bragg reflector, the central wavelength is set to λ c = 660   nm , the thickness of medium A is d A = λ c / 4 n A , and the thickness of medium B is d B = λ c / 4 n B . The bilayer of MoS2 is embedded between the spacer layer and the Bragg reflector. The silver placed at the top of the structure and the relative permittivity and refractive index of sliver can be expressed as follows [32]:
ε A g ( ω ) = ε 1 ω p A g 2 / ( ω 2 + i τ ω ) , n A g ( ω ) = ε A g ω ,
where ω is the angular frequency, ε 1 is the limit value when its angular frequency tends towards infinity, ω p A g is the plasma frequency of Ag, and τ is the damping coefficient. Here we set ε 1 = 5 , ω p A g = 9   eV , τ = 18   eV , where is the reduced Planck constant. In addition, we set the thickness of silver to d Ag = 30   nm . The refractive index of the spacer layer HfO2 is set to n s = 1.95 , and the thickness is designed to be d s = 70   nm . Each monolayer MoS2 has a thickness of Λ = 0.65   nm .
Based on the current mature micro and nano fabrication technology, structures with the above structural parameters can be easily manufactured. Meanwhile, the bilayer MoS2 molecule has a strong Kerr effect in the visible band. Here, we describe MoS2 using a dielectric constant. Neglecting the effect of external magnetic fields under random phase conditions, the linear dielectric constant of the MoS2 molecule can be expressed as follows [33]:
ε ( ω ) ( 1 ) = ε 2 + i = 0 5 a i ω p 2 ω i 2 ω 2 i b i ω 2 α π D a w s o n F ( μ ω 2 σ ) + α exp ( ( ω μ ) 2 2 σ 2 )
where ε 2 = 4.44 is the direct-current dielectric constant, a j represents the oscillator strength (specific value is a 0 = 2.00 × 10 5 ,   a 1 = 5.75 × 10 4 ,   a 2 = 8.14 × 10 4 ,   a 3 = 8.22 × 10 4 ,   a 4 = 3.31 × 10 5 ,   a 5 = 4.39 × 10 4 ). b j represents the damping coefficient (specific value is b 0 = 1.63 × 10 13 rad / s ,   b 1 = 8.92 × 10 13 rad / s ,   b 2 = 1.70 × 10 14 rad / s ,   b 3 = 1.80 × 10 14 rad / s ,   b 4 = 4.27 × 10 14 rad / s ,   b 5 = 1.18 × 10 15 rad / s ). ω j represents the response frequency (specific value is ω 0 = 0 rad / s ,   ω 1 = 2.85 × 10 15 rad / s ,   ω 2 = 3.06 × 10 15 rad / s ,   ω 3 = 4.19 × 10 15 rad / s ,   ω 4 = 4.39 × 10 15 rad / s ,   ω 5 = 6.50 × 10 15 rad / s ). ω p = 7 × 10 12 rad / s , is the plasma frequency [34]. DawsonF represents Dawson’s Function. α , μ , and σ represent the maximum value, mean, and variance of a typical Gaussian distribution function, respectively. Their values are α = 23.224 ,   μ = 2.7723 e V , and σ = 0.3089 e V , respectively. The first-order linear conductivity ( ε ( ω ) ( 1 ) ) of MoS2 is as follows:
σ ( ω ) ( 1 ) = Λ k 0 i η 0 ( ε ( ω ) ( 1 ) 1 ) ,
where η 0 = 377   Ω is the vacuum resistivity, and k 0 = ω / c is the wave vector in a vacuum. The third-order nonlinear conductivity of double-layer MoS2 can be expressed:
σ ( ω ) ( 3 ) = 2 Λ k 0 i η 0 3 m e ω 0 2 ε 3 d 2 N 3 e 4 ( ε ( ω ) ( 1 ) 1 ) 3 ε ( ω ) ( 1 ) 1 ,
where m e is the mass of an electron, ω 0 is the centrality frequency with ω 0 = 4.21 × 10 15   rad / s , d is of the order of the dimensions of an atom ( d = 3 Å ), N is the atomic number density with N = 10 28 m 3 , ε 0 is the permittivity of vacuum, and e is the electron charge [24]. Based on the above linear and nonlinear conductivity, the total conductivity of MoS2 can be expressed as follows:
σ ( ω ) = σ ( ω ) ( 1 ) + σ ( ω ) ( 3 ) E 2 y ( z = d A g + d s ) 2
where E 2 y is the local electric field at the double-layer MoS2. The equations of σ ( ω ) ( 1 ) , σ ( ω ) ( 3 ) , and σ ( ω ) show that the electrical conductivity of MoS2 has an important relationship with the wave vector in a vacuum. We assume that the electromagnetic wave propagates along the z-axis, the surface on which the silver is located is z = 0 , and the MoS2 is parallel to the plane of the x-axis and y-axis. Considering only TE polarization, the electromagnetic field incident on the surface of the silver layer from the air according to the Maxwell equation can be expressed as follows:
E i y = E i e i k i z z e i k x x + E r e i k i z z e i k x x , H i x = k i z μ 0 ω E i e i k i z z e i k x x + k i z μ 0 ω E r e i k i z z e i k x x , H i z = k x μ 0 ω E i e i k i z z e i k x x + k x μ 0 ω E r e i k i z z e i k x x ,
where k 0 z = k 0 c o s ( θ ) ,   k 0 x = k 0 s i n ( θ ) ,   μ 0 denotes the vacuum permeability, Ei denotes the incident electric field, Er denotes the reflected electric field, and E t denotes the transmitted electric field. Fm denotes the forward electric field, and Bm denotes the reverse electric field in the m-layer of the dielectric.
Similarly, the electric and magnetic fields in the silver layer can be expressed as follows:
E 1 y = F 1 e i k 1 z z e i k x x + B 1 e - i k 1 z z e i k x x , H 1 x = k 1 z u 0 ω F 1 e i k 1 z z e i k x x + k 1 z u 0 ω B 1 e - i k 1 z z e i k x x , H 1 z = k x u 0 ω F 1 e i k 1 z z e i k x x + k x u 0 ω B 1 e - i k 1 z z e i k x x ,
The electric and magnetic fields in the HfO2 layer can be represented as follows:
E 2 y = F 2 e i k 2 z ( z d A g ) e i k x x + B 2 e - i k 2 z ( z d A g ) e i k x x , H 2 x = k 2 z u 0 ω F 2 e i k 2 z ( z d A g ) e i k x x + k 2 z u 0 ω B 2 e - i k 2 z ( z d A g ) e i k x x , H 2 z = k x u 0 ω F 2 e i k 2 z ( z d A g ) e i k x x + k x u 0 ω B 2 e - i k 2 z ( z d A g ) e i k x x ,
For a medium m (m = 3,4,5,6, …, 22), the electric and magnetic fields can be expressed as follows:
E m y = F m e i k j z [ z ( d A g + d s + α d A + β d B ) ] e i k x x + B m e - i k j z [ z ( d A g + d s + α d A + β d B ) ] e i k x x , H m x = k j z u 0 ω F m e i k j z [ z ( d A g + d s + α d A + β d B ) ] e i k x x + k j z u 0 ω B m e - i k j z [ z ( d A g + d s + α d A + β d B ) ] e i k x x , H m z = k x u 0 ω F m e i k j z [ z ( d A g + d s + α d A + β d B ) ] e i k x x + k x u 0 ω B m e - i k j z [ z ( d A g + d s + α d A + β d B ) ] e i k x x ,
in the above equation. If m is an odd number, j = a , α = ( m 1 ) / 2 , and β = ( m 3 ) / 2 . However, if m is an even number, j = b ,   α = m / 2 1 ,   β = m / 2 1 ,   k j z = k 0 2 n j 2 k x 2 , and j = s , a , b . Finally, the electric and magnetic fields in the substrate media can be expressed as follows:
E ( n + 1 ) y = E t e i k o z [ z ( d A g + d s + 10 d A + 10 d B ) ] e i k x x , H ( n + 1 ) x = k o z u 0 ω E t e i k o z [ z ( d A g + d s + 10 d A + 10 d B ) ] e i k x x , H ( n + 1 ) z = k x u 0 ω E t e i k o z [ z ( d A g + d s + 10 d A + 10 d B ) ] e i k x x ,
According to the boundary conditions at z = 0 , the electric field and the magnetic field are continuous, and there are E i y ( z = 0 ) = E 1 y ( z = 0 ) and H i x ( z = 0 ) = H 1 x ( z = 0 ) . At z = d A g , there are E 1 y ( z = 0 ) = E 2 y ( z = 0 ) and H 1 x ( z = 0 ) = H 2 x ( z = 0 ) . At z = d A g + d s , the electric field is continuous and the magnetic field is discontinuous, and there are H 2 x ( z = d A + d s ) H 3 x ( z = d A + d s ) = σ E 2 y ( z = d A + d s ) and E 2 y ( z = d A + d s ) = E 3 y ( z = d A + d s ) . At z = d A g + d s + α d A + β d B , the electric field is continuous and the condition is satisfied E m y ( z = d A g + d s + α d A + β d B ) = E ( m + 1 ) y ( z = d A g + d s + α d A + β d B ) , and the magnetic field is continuous H m x ( z = d A g + d s + α d A + β d B ) = H ( m + 1 ) x ( z = d A g + d s + α d A + β d B ) . Where m = 1, 2, 3, 4, …, 22. After all, the electric field versus incident electric field and the reflectance versus the incident electric field curves for the whole structure can be obtained indirectly by substituting Equations (6)–(10) into the above boundary conditions.
It needs to be clarified that although the classical transfer matrix method can intuitively display the relationship between the incident light field and the reflected light field, the transfer matrix itself appears exceptionally complex for the multilayered structure presented in Figure 1. This will make the analytical model in matrix form more complex. Generally speaking, for layered structures, the bistable relationship between the incident light field and the reflected light field (or transmitted light field) is closely related to the number of layers in the structure. If the number of layers in the entire structure is less than three, the functional relationship between the incident light field and the reflected light field can be achieved through precise analytical expressions. However, if the number of layers in this layered structure is more than three, the functional relationship between the incident light field and the reflected light field will become exceptionally complex and therefore not suitable for expression through analytical formulas or matrix forms. At this point, starting from Maxwell’s equations, the relationship between adjacent electromagnetic fields is recursively deduced layer by layer, indirectly obtaining the corresponding concern between the incident electric field and the reflected electric field. This is also a common practice adopted for structures with multiple layers.

3. Results and Discussions

In the section, we first discuss the variation in reflectance with an incident light wavelength using the transfer matrix method. Figure 2a shows the plot when the incident light is incident vertically ( θ = 0 0 ) on the multilayer structure. Both the black solid line and the red dashed line in the figure show the reflectance versus incident light wavelength curve. The black solid line shows the reflectance versus incident wavelength without the addition of MoS2 in the multilayer structure. As can be seen from the graph, the black curve at λ = 696.7   nm shows a significant decrease in the reflectance peak. It is known that the OTS needs to satisfy r A g r D B R e x p ( 2 i ϕ ) 1 when excited [35], where r A g and r D B R represent the reflected coefficient of the electromagnetic wave at the silver interface and the surface of the Bragg reflector, respectively. ϕ is the phase change of the electromagnetic wave as it propagates through the top layer. After simplifying the equations, the OTS excitation conditions can be expressed as | r A g | | r D B R | 1 , A r g ( r A g r D B R e x p ( 2 i ϕ ) ) 0 . Keeping the original structural parameters in Figure 1 unchanged, the reflected coefficient of the silver surface and the Bragg reflector surface were calculated, and there are r A g = 0.5604 0.7506 i and r D B R = 0.8677 0.4970 i , which can be seen that the black solid line reflection anomaly in Figure 2a is due to the excitation of the OTS. The red dashed line in Figure 2b shows the reflectance versus incident light wavelength with the addition of MoS2 in the structure. It is easy to see that there is a significant deepening of the decrease and the minimum value of reflectance near 0.1. To better show the Tamm plasmon in the silver–Bragg reflector structure. We are set to the incident light wavelength λ = 696.7   nm . In Figure 2b,c, the normalized field distribution for the whole structure were plotted based on the original structure parameters in Figure 1. In Figure 2b, we have divided the entire structure zones according to the proportion of the thickness of the material. In combination with the multi-color Figure 2c, it is found that the electric field shows a clear field enhancement effect at the interface between the defect layer and the Bragg reflector. By using the calculation method in the second part, we obtain the relationship between the incident electric field and reflected electric field in Figure 2d. In order to obtain a suitable reflectance, the incident light wavelength was set to 664.5   nm , and the other structural parameters were kept the same as the original parameters in Figure 1 during the calculation. The resulting curve is the solid black line in Figure 2d and shows a hysteresis line relationship. With the MoS2 removed, the reflectance of the structure is approximately 1. As the incident electric field changes, the reflectance is almost unchanged, and there is no hysteresis curve relationship between the reflectance and the incident electric field Ei. This is because the bilayer MoS2 has a high third-order nonlinear conductivity in the visible band. However, under the nonlinear conditions provided by the MoS2, the reflectance and the incident electric field E i exhibit a hysteresis relationship. With the Bragg reflector removed, the OB precursor between the reflectance and the incident electric field is starting to emerge, but it corresponds to the incident electric field of about 10 9   V / m . Comparing the incident electric field 10 8   V / m with the Bragg reflector, it is clear that the excitation of OTS has a very positive effect on the reduction of the OB threshold. Objectively speaking, the model proposed here has significant advantages in realizing optical bistable devices in the visible light band, such as a simple structure, easy preparation, and insensitivity to the polarization of incident light. However, the limitations of this model also exist. The biggest limitation of this scheme is that although it can achieve a typical OB phenomenon in the visible light band, the threshold is always too high to be lowered to a practical low threshold level. Although the excitation of the optical Tamm state has a positive effect on reducing the threshold, there is still a certain gap from the practical threshold.
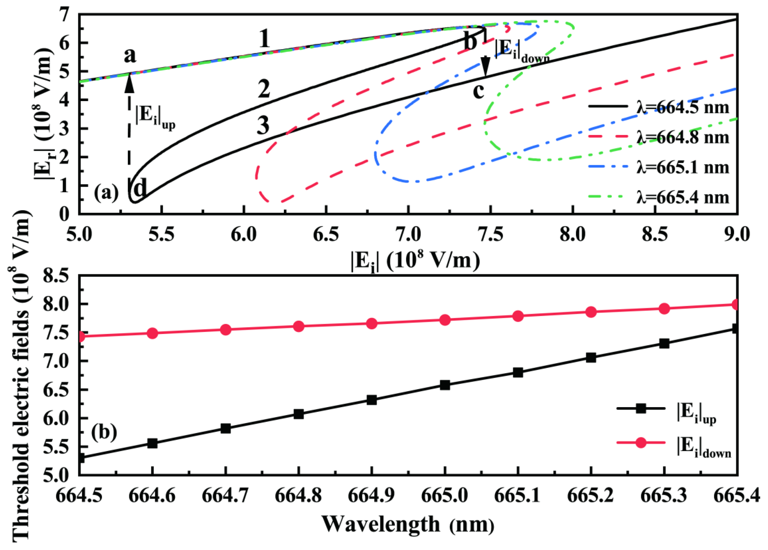
From Equations (3) and (4), we know that changing the wavelength of the incident light can change the wave vector in the vacuum k 0 , which can indirectly change the first-order linear conductivity ( σ ( ω ) ( 1 ) ) and the third-order nonlinear conductivity ( σ ( ω ) ( 3 ) ) of MoS2. It can be clearly found that changing the wavelength of the incident light can obviously change the total conductivity of the MoS2 from Equation (5). Based on the above theoretical analysis, we can use the incident light wavelength as a tool to regulate this OB. Next, we explore the effect of varying the wavelength of the incident light on the OB. Keeping the structural parameters of Figure 1 constant and varying only the incident light wavelength, the reflected electric field was simulated numerically with the variation of the incident electric field. By calculation, we obtain the relationship between the reflected electric field E r and the incident electric field E i , as shown in Figure 3a. For example, taking the OB curve at the incident light wavelength of λ = 664.5   nm , connecting the markers gives the S-curve a-1-b-2-d-3-c. When E i is small, E r increases with E i increases, which corresponds to the a-1-b process, which is a steady state. As the incident electric field E i continues to increases until | E i | down = 7.43 × 10 8   V / m , E r jumps to another stable state, corresponding to the c-3-d process. At this point, even if E i continues to decrease, E r does not immediately return to the stable state of a-1-b. Conversely, when E i is large, the system is in the second steady state, E r decreases as E i decreases, and when E i decreases to | E i | up = 5.30 × 10 8   V / m , E r jumps from the second steady state c-3-d to the first steady state a-1-b. The b-2-d process is unstable, and E r increases as E i increases, but the increase is unstable and the curve is not observed in the experiment. Thus, this creates two jump points b and d and a bistable loop. The OB of this multilayer structure operates in the a-b interval and the c-d interval, where one E i corresponds to two E r values. This leads to a hysteresis width Δ | E i | = | E i | down | E i | up = 2.13 × 10 8   V / m . Clearly, this is the OB phenomenon that we are looking for, in which the nonlinear properties of MoS2 play a decisive role in obtaining this OB. Furthermore, the controlled conductivity of MoS2 in the visible band offers the nonlinear condition to achieve a tunable OB. It is generally believed that when the threshold light intensity of OB reaches or falls below 106 V/m, it can be considered as a low threshold. Although similar research by us or our peers can achieve relatively low thresholds (usually around 106 V/m), the implementation of these thresholds is mainly in the terahertz band (the selection of the terahertz band is mainly to make nonlinear materials have the largest possible nonlinear coefficients in this band). There is still a significant gap in practicality between this and optical bistable devices that can achieve low threshold OB in the infrared and even visible light bands. Here, the core innovation of this work is to combine nonlinear materials with high nonlinear conductivity in the visible light band to achieve optical bistable phenomena in the visible light band. On this basis, the excitation of the optical Tamm state also played a positive role in reducing the threshold. To be honest, the threshold of this work is not low compared to the previous approach, but it is a real OB in the visible light band. Of course, our next step will focus on how to further reduce the threshold while achieving OB in the visible light band.
In order to describe the relationship between E r and E i more intuitively, the curve of the hysteresis width with the incident light wavelength is plotted, as shown in Figure 3b. As can be seen from the figure, different values of the incident light wavelength not only affect the upper and lower thresholds of OB but also have an effect on the hysteresis width. As the incident light wavelength continues to increase, the upper threshold becomes larger and the lower threshold also becomes larger. However, the upper threshold of the reflected electric field increases faster than the lower threshold. Therefore, the hysteresis width becomes progressively narrower as the wavelength of the incident light continues to increase. For example, when the incident wavelength is λ = 664.8   nm , the upper threshold is | E i | up = 6.07 × 10 8   V / m , the lower threshold is | E i | down = 7.61 × 10 8   V / m , and the hysteresis width is Δ | E i | = 1.54 × 10 8   V / m . When the incident wavelength is λ = 665.1   nm , the upper threshold is | E i | up = 6.80 × 10 8   V / m , the lower threshold is | E i | down = 7.79 × 10 8   V / m , and the hysteresis width is Δ | E i | = 0.99 × 10 8   V / m . It is easy to see that increasing the incident wavelength contributes positively to the reduction in the OB threshold. In summary, the incident light wavelength can tune the OB threshold and the hysteresis width, providing a reference method for obtaining dynamically tunable OB devices.
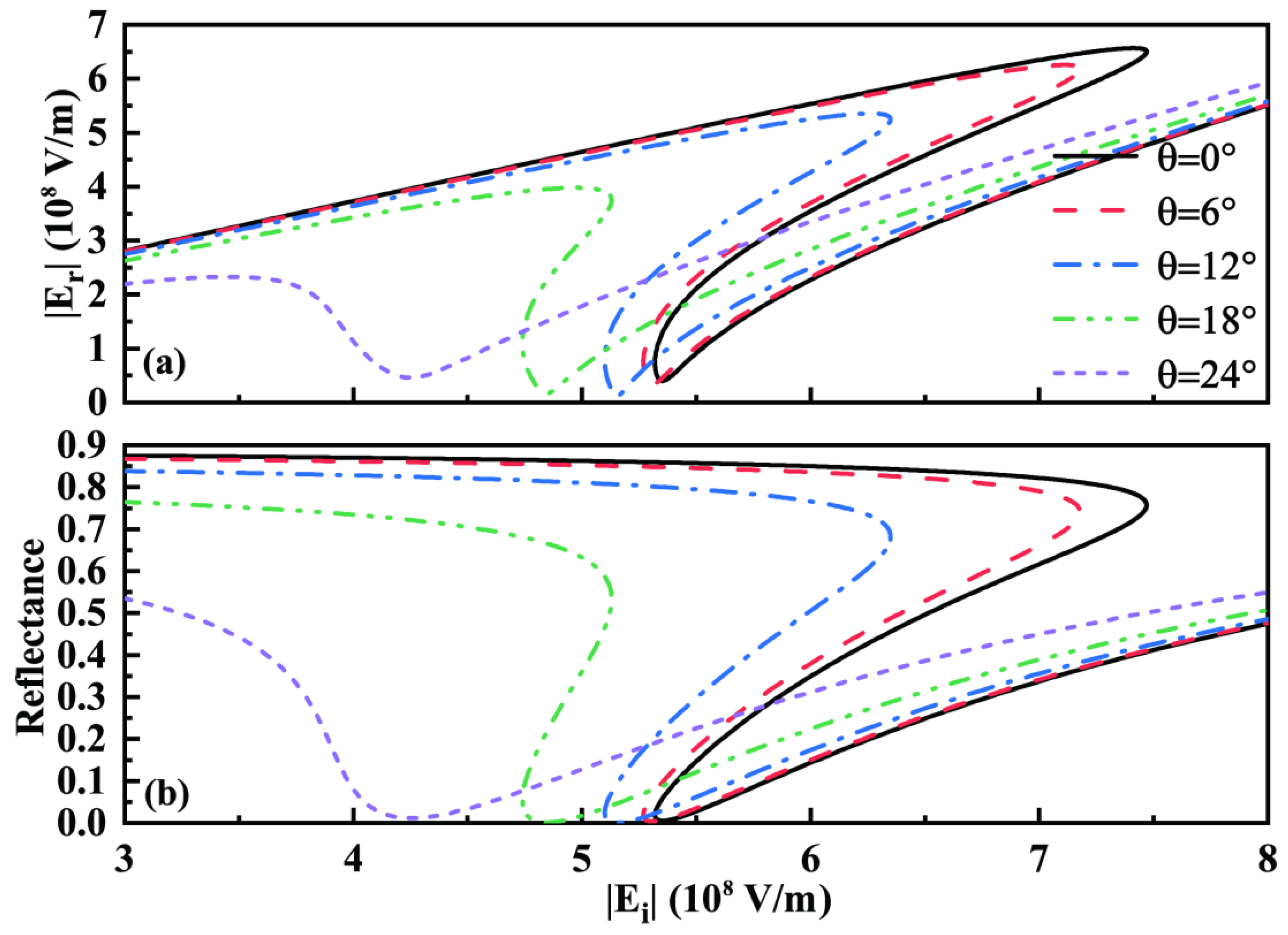
Next, we discuss the effect of the MoS2 in the spacer layer HfO2 at different positions based on the OB phenomenon. Keeping the total thickness of the defect layer HfO2  d s constant, the position of MoS2 embedded in the defect layer HfO2 is changed so that the defect layer HfO2 is divided into an upper part d s 1 and a lower part d s 2 . The incident light wavelength is fixed at λ = 664.5   nm , and the other parameters are the same as those in Figure 2a. From Figure 4, it can be seen that the MoS2 is embedded in the spacer layer HfO2. The effect on the OB at different positions is similar to the effect of changing the wavelength of the incident light on the OB, which is clearly reflected in the changes in the upper and lower threshold and the hysteresis width of the OB. The threshold magnitude and hysteresis width of the reflected electric field curve decrease as the thickness of the defect layer in the lower half d s 2 increases, as shown in Figure 4a. The relationship curve between the reflectance and incident electric field E i follows a similar trend, as shown in Figure 4b. For example, when the thickness of the upper half of the spacer layer HfO2 is d s 1 = 68   nm and the thickness of the lower half is d s 2 = 2   nm , the upper threshold is E i up = 4.96 × 10 8 V / m , the lower threshold is E i down = 5.89 × 10 8 V / m , and the hysteresis width is Δ E i = 0.93 × 10 8 V / m . When the spacer layer HfO2 has an upper half thickness of d s 1 = 66   nm and a lower half thickness of d s 2 = 4   nm , the upper threshold is E i up = 4.44 × 10 8 V / m , the lower threshold is E i down = 4.57 × 10 6 V / m , and the hysteresis width is Δ E i = 0.13 × 10 6 V / m . We found that the OB threshold and hysteresis width slowly decrease as the thickness of the lower half of the defect layer increases after inserting MoS2 into the defect layer. However, the OB threshold and hysteresis width do not decrease with an increase in the thickness of the lower half of the spacer layer, and will disappear when the thickness of the spacer layer increases to a certain value. The above results show that the OB threshold can be effectively reduced and the hysteresis width can be controllably adjusted by adjusting the position of the MoS2 inserts in the spacer layer, which provides another feasible method for the fabrication and design of optical bistable devices.
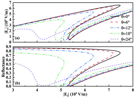
Immediately afterwards, we observe the effect of different angles of incidence on the OB phenomenon. The wavelength of the incident light was fixed at λ = 664.5   nm , and the other parameters were consistent with Figure 1. From Figure 5, we can see that the bistable behavior is sensitive to changes in the angle of incidence θ . In Figure 5a, the upper threshold of the reflected electric field curve becomes smaller and smaller with an increasing incident angle, and the lower threshold also becomes smaller and smaller. However, the lower limit threshold decreases faster than the upper limit threshold, which can lead to a decrease in the hysteresis width. For example, when θ = 6 ° , there are E i up = 5.26 × 10 8 V / m and E i down = 7.17 × 10 6 V / m , thus the hysteresis width is Δ E i = 1.91 × 10 8 V / m . When θ = 12 ° , the upper threshold is E i up = 5.10 × 10 8 V / m and the lower threshold is E i down = 6.34 × 10 8 V / m , and Δ E i = 1.24 × 10 8 V / m . As the angle of incidence increases further to a certain angle, the hysteresis width slowly disappears. The relationship curve between the reflectance and the incident electric field follows the same trend in Figure 5b.The above results show that adjusting the angle of incidence can effectively reduce the threshold of OB while achieving a controlled adjustment of the hysteresis width. Therefore, a reasonable choice of the incident angle is of great practical importance for reducing the OB threshold and achieving the actual required OB hysteresis width.
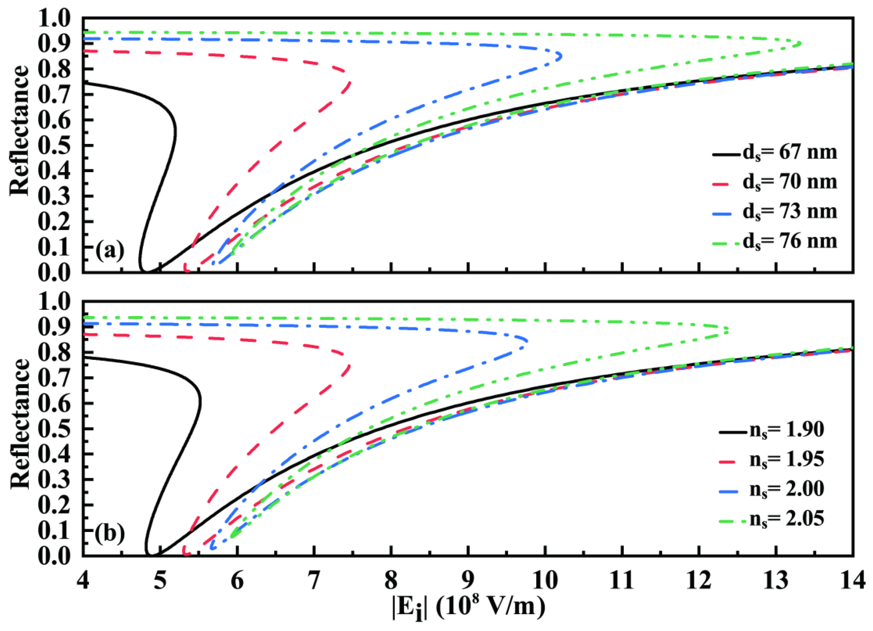
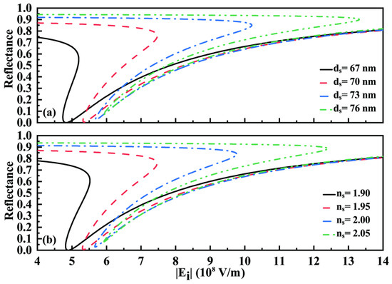
Finally, we discuss the effect of the structural parameters of the spacer layer on the OB phenomenon. The incident light wavelength is fixed at λ = 664.5   nm , and the other parameters remain the same as in Figure 2a. We plot the reflectance versus incident electric field for different spacer layer thicknesses d s and different spacer layer refractive indexes n s . As shown in Figure 6a, the upper threshold and lower threshold of OB become larger as the spacer layer thickness d s becomes larger, but the lower threshold increases faster than the upper threshold, leading to an increase in the hysteresis width. For example, when d s = 73   nm , the upper threshold is E i up = 5.68 × 10 8 V / m and the lower threshold is E i down = 10.18 × 10 8 V / m , and the hysteresis width is Δ E i = 4.50 × 10 8 V / m . When d s = 76   nm , the upper threshold is E i up = 5.90 × 10 8 V / m , the lower threshold is E i down = 13.25 × 10 8 V / m , and the hysteresis width is Δ E i = 7.35 × 10 8 V / m . A similar pattern occurs when changing the refractive index of the defect layer, as shown in Figure 6b. As the refractive index of the defect layer n s becomes progressively larger, the upper threshold value of OB E i up and the lower threshold value E i down also become larger, but the lower threshold value increases faster than the upper threshold value, resulting in an increase in the hysteresis width. Therefore, a reasonable choice of the structural parameters of the defect layer can lead to a more reasonable OB phenomenon.

4. Conclusions

In summary, we have investigated the OB phenomenon in a silver–Bragg reflector structure based on a bilayer of MoS2. Based on this structure, a tunable OB phenomenon in the visible band range was achieved. The results show that the OTS based on the silver and Bragg reflector structure leads to a local electric field enhancement effect, which facilitates the realization of OB. At the same time, the large nonlinear conductivity of the bilayer of MoS2 provides the nonlinear conditions for the appearance of the OB phenomenon. Thereafter, after setting the initial parameters, we calculated the reflected electric field and the reflectance as a function of the incident electric field. The threshold and hysteresis width of the OB were found to be modulated by the wavelength of the incident light. Afterwards, the threshold and hysteresis width of OB were adjusted by adjusting the position of MoS2 embedded in the spacer layer, the incident angle, and the structural parameters of the spacer layer. This scheme achieves the controlled tuning of OB in the visible band, and the structure of the scheme is easy to prepare. We believe that this scheme can provide a new reference for the implementation of OB in optical fields, such as all-optical switches and other optical bistable devices.

Author Contributions

Conceptualization, S.T.; methodology, L.J.; software, S.T.; formal analysis, X.D.; investigation, Z.S.; re-sources, F.Z.; data curation, H.C.; writing—original draft preparation, Y.Z.; writing—review and editing, Y.Y.; visualization, X.D.; All authors have read and agreed to the published version of the manuscript.

Funding

This work was supported by the Wenzhou Major Science and Technology Innovation Project (Grant No. ZZG2024003 and Grant No. ZG2023012), Natural Science Foundation of Hunan Province (Grant Nos. 2022JJ30394), Zhejiang Provincial Natural Science Foundation of China (LQ24F050001), and the Wenzhou Scientific Research Project under grants L2023001.

Data Availability Statement

The original contributions presented in this study are included in the article material. Further inquiries can be directed to the corresponding author(s).

Conflicts of Interest

The authors declare no conflict of interest.

References

  1. Gibbs, H.M. Optical Bistability Controlling: Light with Light; Academic Press: Cambridge, MA, USA, 1985. [Google Scholar]
  2. Notomi, M.; Shinya, A.; Mitsugi, S.; Kira, G.; Tanabe, T. Optical bistable switching action of si high-q photonic-crystal nanocavities. Opt. Express 2005, 3, 2678–2687. [Google Scholar] [CrossRef] [PubMed]
  3. Nozaki, K.; Lacraz, A.; Shinya, A.; Matsuo, S.; Sato, T.; Takeda, K.; Kuramochi, E.; Noto, M. All-optical switching for 10-Gb/s packet data by using an ultralowpowero-ptical bistability of photonic-crystal nanocavities. Opt. Express 2015, 23, 30379–30392. [Google Scholar] [CrossRef] [PubMed]
  4. Wen, P.Y.; Sanchez, M.; Gross, M.; Esener, S. Vertical-cavity optical AND gate. Opt. Commun. 2003, 219, 383–387. [Google Scholar] [CrossRef]
  5. Zhang, W.L.; Jiang, Y.; Zhu, Y.Y.; Wang, F.; Rao, Y.J. All-optical bistable logic control based on coupled Tamm plasmons. Opt. Lett. 2013, 38, 4092–4095. [Google Scholar] [CrossRef]
  6. Li, J.; Liang, S.; Xiao, S.; He, M.; Liu, L.; Luo, J.; Chen, L. A sensitive biosensor based on optical bistability in a semiconductor quantum dot-DNA nanohybrid. J. Phys. D Appl. Phys. 2018, 52, 035401. [Google Scholar] [CrossRef]
  7. Tanabe, T.; Notomi, M.; Mitsugi, S.; Shinya, A.; Kuramochi, E. Fast bistable all-optical switch and memory on a silicon photonic crystal on-chip. Opt. Lett. 2005, 30, 2575–2577. [Google Scholar] [CrossRef] [PubMed]
  8. Wu, Y.C.; Zhu, Y.; Liao, X.L.; Meng, J.J.; He, J.J. All-optical flip-flop operation based on bistability in V-cavity laser. Opt. Express 2016, 24, 12507–12514. [Google Scholar] [CrossRef] [PubMed]
  9. Shiri, J.; Khalilzadeh, J.; Asadpour, S.H. Optical bistability in reflection of the laser pulse in a 1D photonic crystal doped with four-level InGaN/GaN quantum dots. Laser Phys. 2021, 31, 036202. [Google Scholar] [CrossRef]
  10. Peng, Y.; Xu, J.; Dong, H.; Dai, X.; Jiang, J.; Qian, S.; Jiang, L. Graphene-based low-threshold and tunable optical bistability in one-dimensional photonic crystal Fano resonance heterostructure at optical communication band. Opt. Express 2020, 28, 34948–34959. [Google Scholar] [CrossRef] [PubMed]
  11. Yuan, H.; Jiang, X.; Huang, F.; Sun, X. Ultralow threshold optical bistability in metal/randomly layered media structure. Opt. Lett. 2016, 41, 661–664. [Google Scholar] [CrossRef]
  12. Jiang, L.Y.; Guo, J.; Wu, L.M.; Dai, X.Y.; Xiang, Y.J. Manipulating the optical bistability at terahertz frequency in the Fabry-Perot cavity with graphene. Opt. Express 2015, 23, 31181–31191. [Google Scholar] [CrossRef] [PubMed]
  13. Kim, M.; Kim, S.; Kim, S. Optical bistability based on hyperbolic metamaterials. Opt. Express 2018, 26, 11620–11632. [Google Scholar] [CrossRef] [PubMed]
  14. Wang, Z.P.; Yu, B.L. Optical bistability and multistability in polaritonic materials doped with nanoparticles. Laser Phys. Lett. 2014, 11, 115903. [Google Scholar] [CrossRef]
  15. Mikhailov, S.A.; Ziegler, K. Nonlinear electromagnetic response of graphene: Frequency multiplication and the self-consistent-field effects. J. Phys. Condens. Matter 2008, 20, 384204. [Google Scholar] [CrossRef] [PubMed]
  16. Ooi, K.J.A.; Ang, Y.S.; Zhai, Q.; Tan, D.T.H.; Ang, L.K.; Ong, C.K. Nonlinear Plasmonics of three-dimensional Dirac semimetal. APL Photonics 2019, 4, 034402. [Google Scholar] [CrossRef]
  17. Xiang, Y.; Dai, X.; Guo, J.; Wen, S.; Tang, D. Tunable optical bistability at the graphene-covered nonlinear interface. Appl. Phys. Lett. 2014, 104, 051108. [Google Scholar] [CrossRef]
  18. Jiang, L.Y.; Tang, J.; Xu, J.; Zheng, Z.; Dong, J.; Guo, J.; Qian, S.Y.; Dai, X.Y.; Xiang, Y.J. Graphene tamm plasmone-induced low-threshold optical bistability atterahertz frequencies. Opt. Mater. Express 2019, 9, 139–150. [Google Scholar] [CrossRef]
  19. Long, X.; Bao, Y.; Yuan, X.; Zhang, H.; Dai, X.Y.; Li, Z.; Jiang, L.Y.; Xiang, Y.J. Low threshold optical bistability based on topological edge state in photonic crystal heterostructure with Dirac semimetal. Opt. Express 2022, 30, 20847–20858. [Google Scholar] [CrossRef] [PubMed]
  20. Hernández-Acosta, M.A.; Soto-Ruvalcaba, L.; Martínez-González, C.L.; Trejo-Valdez, M.; Torres-Torres, C. Optical phase-change in plasmonic nanoparticles by a two-wave mixing. Phys. Scr. 2019, 94, 125802. [Google Scholar] [CrossRef]
  21. Pandey, V.; Bhalla, P. Tunable optical bistability of two-dimensional tilted Dirac system. J. Phys. Condens. Matter 2024, 36, 255701. [Google Scholar] [CrossRef] [PubMed]
  22. Wen, X.; Gong, Z.; Li, D. Nonlinear optics of two-dimensional transition metal dichalcogenides. InfoMat 2019, 1, 317–337. [Google Scholar] [CrossRef]
  23. Bosshard, C.; Spreiter, R.; Zgonik, M.; Günter, P. Kerr nonlinearity via cascaded optical rectification and the linear electro-optic effect. Phys. Rev. Lett. 1995, 74, 2816–2819. [Google Scholar] [CrossRef] [PubMed]
  24. Balaei, M.; Karimzadeh, R.; Naseri, T. Introducing a novel approach to linear and nonlinear electrical conductivity of MoS2. Opt. Mater. Express 2021, 11, 2665–2674. [Google Scholar] [CrossRef]
  25. Kavokin, A.V.; Shelykh, I.A.; Malpuech, G. Lossless interface modes at the boundary between two periodic dielectric structures. Phys. Rev. B 2005, 72, 233102. [Google Scholar] [CrossRef]
  26. Brand, S.; Kaliteevski, M.A.; Abram, R.A. Optical Tamm states above the bulk plasma frequency at a Bragg stack/metal interface. Phys. Rev. B 2009, 79, 085416. [Google Scholar] [CrossRef]
  27. Sasin, M.E.; Seisyan, R.P.; Kalitteevski, M.A.; Brand, S.; Abram, R.A.; Chamberlain, J.M.; Egorov, A.Y.; Vasil’ev, A.P.; Mikhrin, V.S.; Kavokin, A.V. Tamm plasmon polaritons: Slow and spatially compact light. Appl. Phys. Lett. 2008, 92, 251112. [Google Scholar] [CrossRef]
  28. Kaliteevski, M.; Iorsh, I.; Brand, S.; Abram, R.A.; Chamberlain, J.M.; Kavokin, A.V.; Shelykh, I.A. Tamm plasmone-polaritons. Possible electromagnetic states at the interface of a metal and a dielectric Bragg mirror. Phys. Rev. B 2007, 76, 165415. [Google Scholar] [CrossRef]
  29. Guo, J.; Sun, Y.; Zhang, Y.; Li, H.; Jiang, H.; Chen, H. Experimental investigation of interface states in photonic crystal heterostructures. Phys. Rev. E 2008, 78, 026607. [Google Scholar] [CrossRef] [PubMed]
  30. Chen, Z.; Han, P.; Leung, C.W.; Wang, Y.; Hu, M.; Chen, Y. Study of optical Tamm states based on the phase properties of one-dimensional photonic crystals. Opt. Express 2012, 20, 21618–21626. [Google Scholar] [CrossRef]
  31. Guo, J.; Jiang, L.; Jia, Y.; Dai, X.; Xiang, Y.; Fan, D. Low threshold optical bistability in one-dimensional gratings based on graphene plasmonics. Opt. Express 2017, 25, 5972–5981. [Google Scholar] [CrossRef]
  32. Hu, T.; Wang, Y.; Wu, L.; Zhang, L.; Shan, Y.; Lu, J.; Wang, J.; Luo, S.; Zhang, Z.; Liao, L.; et al. Strong coupling between Tamm plasmon polariton and two dimensional semiconductor excitons. Appl. Phys. Lett. 2017, 110, 051101. [Google Scholar] [CrossRef]
  33. Mukherjee, B.; Tseng, F.; Gunlycke, D.; Amara, K.K.; Eda, G.; Simsek, E. Complex electrical permittivity of the monolayer molybdenum disulfide (MoS2) in near UV and visible. Opt. Mater. Express 2015, 5, 447–455. [Google Scholar] [CrossRef]
  34. Shen, C.C.; Hsu, Y.T.; Li, L.J.; Liu, H.L. Large dynamics and electronic structures of monolayer MoS2 films grown by chemical vapor deposition. Appl. Phys. Lett. 2013, 6, 125801. [Google Scholar]
  35. Zhang, H.; Long, X.; Yuan, H.; Dai, X.; Li, Z.; Jiang, L.; Xiang, Y. Dirac Semimetals Tammplasmons-induced low-threshold optical bistability at terahertz frequencies. Results Phys. 2022, 43, 106054. [Google Scholar] [CrossRef]
Figure 1. Schematic diagram of a silver–Bragg reflector structure by embedding bilayer MoS2. (a) visual view (b) side view, where the incident angle between the incident light and the z-axis is θ. The bilayer of the MoS2 molecule is between the spacer layer HfO2 and the Bragg reflector, Ei is the incident electric field, Er is the reflected electric field, and Et is the transmitted electric field. Fm and Bm represent the forward and reverse electric field in the medium (m = 1, 2, 3, 4, …, 22).
Figure 1. Schematic diagram of a silver–Bragg reflector structure by embedding bilayer MoS2. (a) visual view (b) side view, where the incident angle between the incident light and the z-axis is θ. The bilayer of the MoS2 molecule is between the spacer layer HfO2 and the Bragg reflector, Ei is the incident electric field, Er is the reflected electric field, and Et is the transmitted electric field. Fm and Bm represent the forward and reverse electric field in the medium (m = 1, 2, 3, 4, …, 22).
Crystals 15 00150 g001
Figure 2. (a) Reflectance versus incident wavelength for θ = 0°. (b) One-dimensional line plot (c) Multi-color plot distribution of the field enhancement of the silver–Bragg reflector structure (with the bilayer of MoS2 sandwiched in between). (d) Reflectance versus incident electric field with and without MoS2 and with and without the spacer layer HfO2 for different incident wavelengths.
Figure 2. (a) Reflectance versus incident wavelength for θ = 0°. (b) One-dimensional line plot (c) Multi-color plot distribution of the field enhancement of the silver–Bragg reflector structure (with the bilayer of MoS2 sandwiched in between). (d) Reflectance versus incident electric field with and without MoS2 and with and without the spacer layer HfO2 for different incident wavelengths.
Crystals 15 00150 g002
Figure 3. (a) Reflected electric field E r versus incident electric field E i for different incident light wavelengths. (b) The upper and lower thresholds of the incident electric field E i versus the incident wavelength.
Figure 3. (a) Reflected electric field E r versus incident electric field E i for different incident light wavelengths. (b) The upper and lower thresholds of the incident electric field E i versus the incident wavelength.
Crystals 15 00150 g003
Figure 4. Set the MoS2 in the middle of the defect layer HfO2. Keeping the total thickness of the defect layer HfO2  d s unchanged, the position of MoS2 embedded in the spacer layer HfO2 was changed so that the spacer layer HfO2 was divided into an upper part d s 1 and a lower part d s 2 . (a) Reflected electric field and (b) reflectance versus incident electric field at an incident light wavelength of 664.5 nm.
Figure 4. Set the MoS2 in the middle of the defect layer HfO2. Keeping the total thickness of the defect layer HfO2  d s unchanged, the position of MoS2 embedded in the spacer layer HfO2 was changed so that the spacer layer HfO2 was divided into an upper part d s 1 and a lower part d s 2 . (a) Reflected electric field and (b) reflectance versus incident electric field at an incident light wavelength of 664.5 nm.
Crystals 15 00150 g004
Figure 5. Relationship among the (a) reflectance, (b) reflected electric field, and incident electric field for different incidence angles θ = 0°, θ = 6°, θ = 12°, θ = 18°, and θ = 24°.
Figure 5. Relationship among the (a) reflectance, (b) reflected electric field, and incident electric field for different incidence angles θ = 0°, θ = 6°, θ = 12°, θ = 18°, and θ = 24°.
Crystals 15 00150 g005
Figure 6. (a) Reflectance versus incident electric field for spacer layers at different thicknesses, 67 nm, 70 nm, 73 nm, and 76 nm. (b) Reflectance versus incident electric field for different dielectric constants of 1.90, 1.95, 2.00, and 2.05.
Figure 6. (a) Reflectance versus incident electric field for spacer layers at different thicknesses, 67 nm, 70 nm, 73 nm, and 76 nm. (b) Reflectance versus incident electric field for different dielectric constants of 1.90, 1.95, 2.00, and 2.05.
Crystals 15 00150 g006
Disclaimer/Publisher’s Note: The statements, opinions and data contained in all publications are solely those of the individual author(s) and contributor(s) and not of MDPI and/or the editor(s). MDPI and/or the editor(s) disclaim responsibility for any injury to people or property resulting from any ideas, methods, instructions or products referred to in the content.

Share and Cite

MDPI and ACS Style

Tang, S.; Dong, X.; Jiang, L.; Chen, H.; Sun, Z.; Zhang, F.; Zhu, Y.; Ye, Y. Nonlinear Optical Bistability in a Bragg Reflector Multilayered Structure with MoS2. Crystals 2025, 15, 150. https://doi.org/10.3390/cryst15020150

AMA Style

Tang S, Dong X, Jiang L, Chen H, Sun Z, Zhang F, Zhu Y, Ye Y. Nonlinear Optical Bistability in a Bragg Reflector Multilayered Structure with MoS2. Crystals. 2025; 15(2):150. https://doi.org/10.3390/cryst15020150

Chicago/Turabian Style

Tang, Songqing, Xilei Dong, Leyong Jiang, Haishao Chen, Zhuoya Sun, Fuping Zhang, Yangbin Zhu, and Yunyang Ye. 2025. "Nonlinear Optical Bistability in a Bragg Reflector Multilayered Structure with MoS2" Crystals 15, no. 2: 150. https://doi.org/10.3390/cryst15020150

APA Style

Tang, S., Dong, X., Jiang, L., Chen, H., Sun, Z., Zhang, F., Zhu, Y., & Ye, Y. (2025). Nonlinear Optical Bistability in a Bragg Reflector Multilayered Structure with MoS2. Crystals, 15(2), 150. https://doi.org/10.3390/cryst15020150

Note that from the first issue of 2016, this journal uses article numbers instead of page numbers. See further details here.

Article Metrics

Back to TopTop