Spray-Deposited TiO2 Layers on Aluminum Foil for Sustainable Water Remediation
Abstract
1. Introduction
2. Materials and Methods
2.1. Chemicals and Solutions
2.2. Synthesis of Samples
2.3. Characterization Methods
2.4. Photodegradation Experiments
2.5. Analytical Procedures
2.5.1. Spectrophotometric Measurements
2.5.2. COD Measurements
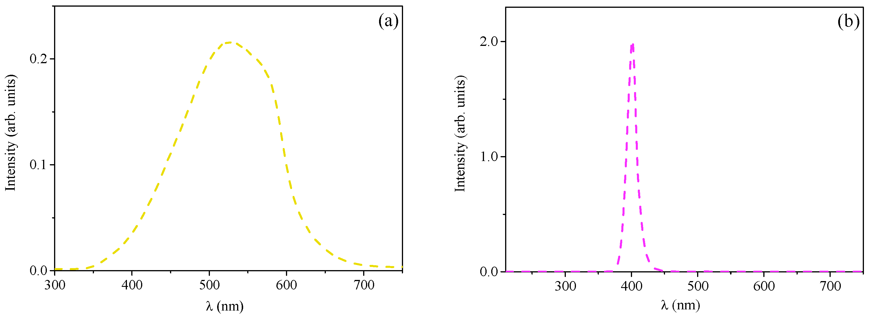
2.5.3. Emission Spectra Measurements
2.5.4. Energy Flux Measurements
2.6. Computational Details
3. Results and Discussion
3.1. SEM and EDS Measurements
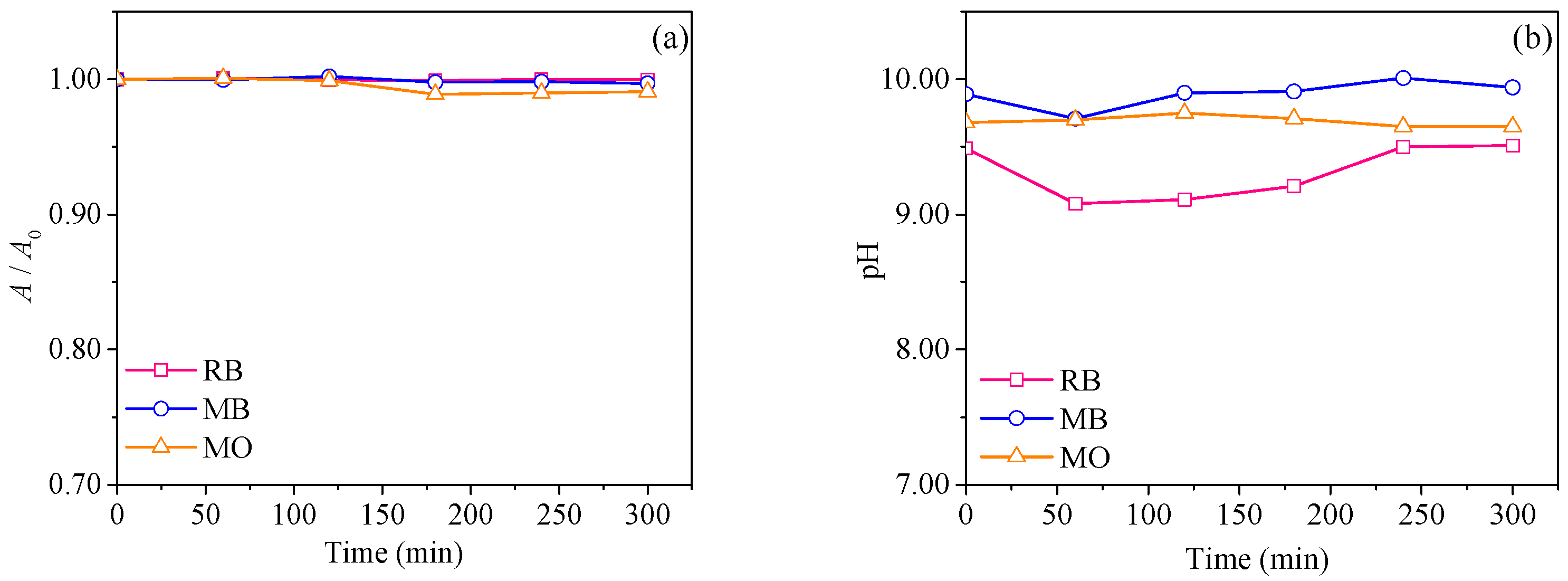
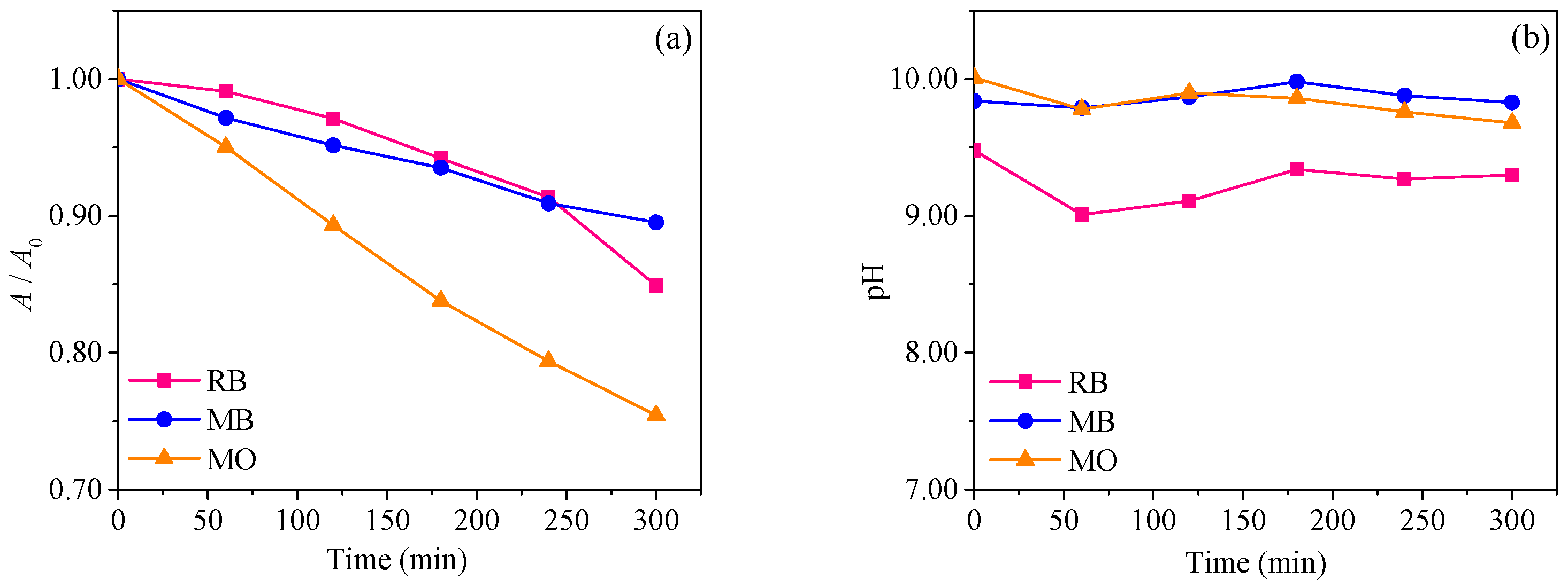
3.2. Photocatalytic Degradation of RB and Surface Reusability
3.3. Influence of Different Irradiation Types
3.4. Photodegradation of Various Dyes
3.5. Computational Study
4. Conclusions
Author Contributions
Funding
Data Availability Statement
Acknowledgments
Conflicts of Interest
References
- Uddin, F. Environmental Hazard in Textile Dyeing Wastewater from Local Textile Industry. Cellulose 2021, 28, 10715–10739. [Google Scholar] [CrossRef]
- Khattab, T.A.; Abdelrahman, M.S.; Rehan, M. Textile Dyeing Industry: Environmental Impacts and Remediation. Environ. Sci. Pollut. Res. 2020, 27, 3803–3818. [Google Scholar] [CrossRef] [PubMed]
- Adegoke, K.A.; Bello, O.S. Dye Sequestration Using Agricultural Wastes as Adsorbents. Water Resour. Ind. 2015, 12, 8–24. [Google Scholar] [CrossRef]
- Khan, W.U.; Ahmed, S.; Dhoble, Y.; Madhav, S. A Critical Review of Hazardous Waste Generation from Textile Industries and Associated Ecological Impacts. J. Indian Chem. Soc. 2023, 100, 100829. [Google Scholar] [CrossRef]
- Alsukaibi, A.K.D. Various Approaches for the Detoxification of Toxic Dyes in Wastewater. Processes 2022, 10, 1968. [Google Scholar] [CrossRef]
- Ardila-Leal, L.D.; Poutou-Piñales, R.A.; Pedroza-Rodríguez, A.M.; Quevedo-Hidalgo, B.E. A Brief History of Colour, the Environmental Impact of Synthetic Dyes and Removal by Using Laccases. Molecules 2021, 26, 3813. [Google Scholar] [CrossRef]
- Islam, T.; Repon, M.R.; Islam, T.; Sarwar, Z.; Rahman, M.M. Impact of Textile Dyes on Health and Ecosystem: A Review of Structure, Causes, and Potential Solutions. Environ. Sci. Pollut. Res. 2022, 30, 9207–9242. [Google Scholar] [CrossRef]
- Sharma, J.; Sharma, S.; Soni, V. Classification and Impact of Synthetic Textile Dyes on Aquatic Flora: A Review. Reg. Stud. Mar. Sci. 2021, 45, 101802. [Google Scholar] [CrossRef]
- Pereira, L.; Alves, M. Dyes—Environmental Impact and Remediation. In Environmental Protection Strategies for Sustainable Development; Malik, A., Grohmann, E., Eds.; Springer: Dordrecht, The Netherlands, 2012; pp. 111–162. ISBN 978-94-007-1590-5. [Google Scholar]
- Talaiekhozani, A.; Rezania, S. Application of Photosynthetic Bacteria for Removal of Heavy Metals, Macro-Pollutants and Dye from Wastewater: A Review. J. Water Process Eng. 2017, 19, 312–321. [Google Scholar] [CrossRef]
- Monisha, B.; Sridharan, R.; Kumar, P.S.; Rangasamy, G.; Krishnaswamy, V.G.; Subhashree, S. Sensing of Azo Toxic Dyes Using Nanomaterials and Its Health Effects—A Review. Chemosphere 2023, 313, 137614. [Google Scholar] [CrossRef]
- Gičević, A.; Hindija, L.; Karačić, A. Toxicity of Azo Dyes in Pharmaceutical Industry. In CMBEBIH 2019; Badnjevic, A., Škrbić, R., Gurbeta Pokvić, L., Eds.; IFMBE Proceedings; Springer International Publishing: Cham, Switzerland, 2020; Volume 73, pp. 581–587. ISBN 978-3-030-17970-0. [Google Scholar]
- Ou, W.; Xu, Y.; Zhou, H.; Su, C. Harnessing Photoexcited Redox Centers of Semiconductor Photocatalysts for Advanced Synthetic Chemistry. Sol. RRL 2021, 5, 2000444. [Google Scholar] [CrossRef]
- Zhang, D.; Li, G.; Yu, J.C. Inorganic Materials for Photocatalytic Water Disinfection. J. Mater. Chem. 2010, 20, 4529. [Google Scholar] [CrossRef]
- Serpone, N.; Emeline, A.V. Semiconductor Photocatalysis—Past, Present, and Future Outlook. J. Phys. Chem. Lett. 2012, 3, 673–677. [Google Scholar] [CrossRef]
- Nam, Y.; Lim, J.H.; Ko, K.C.; Lee, J.Y. Photocatalytic Activity of TiO2 Nanoparticles: A Theoretical Aspect. J. Mater. Chem. A 2019, 7, 13833–13859. [Google Scholar] [CrossRef]
- Bhatia, S.; Verma, N. Photocatalytic Activity of ZnO Nanoparticles with Optimization of Defects. Mater. Res. Bull. 2017, 95, 468–476. [Google Scholar] [CrossRef]
- Fu, H.; Zhang, L.; Yao, W.; Zhu, Y. Photocatalytic Properties of Nanosized Bi2WO6 Catalysts Synthesized via a Hydrothermal Process. Appl. Catal. B Environ. 2006, 66, 100–110. [Google Scholar] [CrossRef]
- Carcel, R.A.; Andronic, L.; Duta, A. Photocatalytic Activity and Stability of TiO2 and WO3 Thin Films. Mater. Charact. 2012, 70, 68–73. [Google Scholar] [CrossRef]
- Luo, Z.; Meng, L.; How, Z.T.; Chelme-Ayala, P.; Yang, L.; Benally, C.; Gamal El-Din, M. Treatment of Oil Sands Process Water by the Ferric Citrate under Visible Light Irradiation. Chem. Eng. J. 2022, 429, 132419. [Google Scholar] [CrossRef]
- Armaković, S.J.; Savanović, M.M.; Armaković, S. Titanium Dioxide as the Most Used Photocatalyst for Water Purification: An Overview. Catalysts 2022, 13, 26. [Google Scholar] [CrossRef]
- Jeon, J.; Kweon, D.H.; Jang, B.J.; Ju, M.J.; Baek, J. Enhancing the Photocatalytic Activity of TiO2 Catalysts. Adv. Sustain. Syst. 2020, 4, 2000197. [Google Scholar] [CrossRef]
- Basavarajappa, P.S.; Patil, S.B.; Ganganagappa, N.; Reddy, K.R.; Raghu, A.V.; Reddy, C.V. Recent Progress in Metal-Doped TiO2, Non-Metal Doped/Codoped TiO2 and TiO2 Nanostructured Hybrids for Enhanced Photocatalysis. Int. J. Hydrogen Energy 2020, 45, 7764–7778. [Google Scholar] [CrossRef]
- Ma, T.; Inoue, K.; Noma, H.; Yao, K.; Abe, E. Effect of Functional Group on Photochemical Properties and Photosensitization of TiO2 Electrode Sensitized by Porphyrin Derivatives. J. Photochem. Photobiol. Chem. 2002, 152, 207–212. [Google Scholar] [CrossRef]
- Armaković, S.J.; Armaković, S.; Savanović, M.M. Photocatalytic Application of Polymers in Removing Pharmaceuticals from Water: A Comprehensive Review. Catalysts 2024, 14, 447. [Google Scholar] [CrossRef]
- Yan, B.; Lv, X.; Shao, Y.; Zhang, H.; Zhang, H.; Zhu, J. Fabrication of Nano TiO2-Polymer Encapsulated Fluorescent Pigments for Weatherability Improvement of Powder Coating. Coatings 2022, 12, 315. [Google Scholar] [CrossRef]
- Fan, S.-Q.; Yang, G.-J.; Li, C.-J.; Liu, G.-J.; Li, C.-X.; Zhang, L.-Z. Characterization of Microstructure of Nano-TiO2 Coating Deposited by Vacuum Cold Spraying. J. Therm. Spray Technol. 2006, 15, 513–517. [Google Scholar] [CrossRef]
- Chen, D.; Cheng, Y.; Zhou, N.; Chen, P.; Wang, Y.; Li, K.; Huo, S.; Cheng, P.; Peng, P.; Zhang, R.; et al. Photocatalytic Degradation of Organic Pollutants Using TiO2-Based Photocatalysts: A Review. J. Clean. Prod. 2020, 268, 121725. [Google Scholar] [CrossRef]
- Dell’Edera, M.; Lo Porto, C.; De Pasquale, I.; Petronella, F.; Curri, M.L.; Agostiano, A.; Comparelli, R. Photocatalytic TiO2-Based Coatings for Environmental Applications. Catal. Today 2021, 380, 62–83. [Google Scholar] [CrossRef]
- Tomić, J.; Malinović, N. Titanium Dioxide Photocatalyst: Present Situation and Future Approaches. AIDASCO Rev. 2023, 1, 26–30. [Google Scholar] [CrossRef]
- Tao, P.; Li, Y.; Rungta, A.; Viswanath, A.; Gao, J.; Benicewicz, B.C.; Siegel, R.W.; Schadler, L.S. TiO2 Nanocomposites with High Refractive Index and Transparency. J. Mater. Chem. 2011, 21, 18623. [Google Scholar] [CrossRef]
- Bennani, J.; Dillert, R.; Gesing, T.M.; Bahnemann, D. Physical Properties, Stability, and Photocatalytic Activity of Transparent TiO2/SiO2 Films. Sep. Purif. Technol. 2009, 67, 173–179. [Google Scholar] [CrossRef]
- Obregón, S.; Rodríguez-González, V. Photocatalytic TiO2 Thin Films and Coatings Prepared by Sol–Gel Processing: A Brief Review. J. Sol-Gel Sci. Technol. 2022, 102, 125–141. [Google Scholar] [CrossRef]
- Gloria, D.C.S.; Brito, C.H.V.; Mendonça, T.A.P.; Brazil, T.R.; Domingues, R.A.; Vieira, N.C.S.; Santos, E.B.; Gonçalves, M. Preparation of TiO2/Activated Carbon Nanomaterials with Enhanced Photocatalytic Activity in Paracetamol Degradation. Mater. Chem. Phys. 2023, 305, 127947. [Google Scholar] [CrossRef]
- Ma, R.; Zhao, S.; Jiang, X.; Qi, Y.; Zhao, T.; Liu, Z.; Han, C.; Shen, Y. Modification and Regulation of Acid-Activated Kaolinite with TiO2 Nanoparticles and Their Enhanced Photocatalytic Activity to Sodium Ethyl Xanthate. Environ. Technol. Rev. 2023, 12, 272–285. [Google Scholar] [CrossRef]
- Al-Mamun, M.R.; Kader, S.; Islam, M.S.; Khan, M.Z.H. Photocatalytic Activity Improvement and Application of UV-TiO2 Photocatalysis in Textile Wastewater Treatment: A Review. J. Environ. Chem. Eng. 2019, 7, 103248. [Google Scholar] [CrossRef]
- Ehlert, S.; Stahn, M.; Spicher, S.; Grimme, S. Robust and Efficient Implicit Solvation Model for Fast Semiempirical Methods. J. Chem. Theory Comput. 2021, 17, 4250–4261. [Google Scholar] [CrossRef]
- Bannwarth, C.; Caldeweyher, E.; Ehlert, S.; Hansen, A.; Pracht, P.; Seibert, J.; Spicher, S.; Grimme, S. Extended Tight-Binding Quantum Chemistry Methods. WIREs Comput. Mol. Sci. 2021, 11, e1493. [Google Scholar] [CrossRef]
- Bannwarth, C.; Ehlert, S.; Grimme, S. GFN2-xTB—An Accurate and Broadly Parametrized Self-Consistent Tight-Binding Quantum Chemical Method with Multipole Electrostatics and Density-Dependent Dispersion Contributions. J. Chem. Theory Comput. 2019, 15, 1652–1671. [Google Scholar] [CrossRef]
- Pracht, P.; Caldeweyher, E.; Ehlert, S.; Grimme, S. A Robust Non-Self-Consistent Tight-Binding Quantum Chemistry Method for Large Molecules. ChemRxiv 2019. [Google Scholar] [CrossRef]
- Grimme, S.; Bannwarth, C.; Shushkov, P. A Robust and Accurate Tight-Binding Quantum Chemical Method for Structures, Vibrational Frequencies, and Noncovalent Interactions of Large Molecular Systems Parametrized for All Spd-Block Elements (Z = 1–86). J. Chem. Theory Comput. 2017, 13, 1989–2009. [Google Scholar] [CrossRef]
- Perdew, J.P.; Burke, K.; Ernzerhof, M. Generalized Gradient Approximation Made Simple. Phys. Rev. Lett. 1996, 77, 3865–3868, Erratum in Phys. Rev. Lett. 1997, 78, 1396. [Google Scholar] [CrossRef]
- Smith, D.G.A.; Burns, L.A.; Patkowski, K.; Sherrill, C.D. Revised Damping Parameters for the D3 Dispersion Correction to Density Functional Theory. J. Phys. Chem. Lett. 2016, 7, 2197–2203. [Google Scholar] [CrossRef] [PubMed]
- Grimme, S.; Ehrlich, S.; Goerigk, L. Effect of the Damping Function in Dispersion Corrected Density Functional Theory. J. Comput. Chem. 2011, 32, 1456–1465. [Google Scholar] [CrossRef]
- Grimme, S.; Antony, J.; Ehrlich, S.; Krieg, H. A Consistent and Accurate Ab Initio Parametrization of Density Functional Dispersion Correction (DFT-D) for the 94 Elements H-Pu. J. Chem. Phys. 2010, 132, 154104. [Google Scholar] [CrossRef] [PubMed]
- Müller, M.; Hansen, A.; Grimme, S. ωB97X-3c: A Composite Range-Separated Hybrid DFT Method with a Molecule-Optimized Polarized Valence Double-ζ Basis Set. J. Chem. Phys. 2023, 158, 014103. [Google Scholar] [CrossRef] [PubMed]
- Cao, Y.; Halls, M.D.; Vadicherla, T.R.; Friesner, R.A. Pseudospectral Implementations of Long-Range Corrected Density Functional Theory. J. Comput. Chem. 2021, 42, 2089–2102. [Google Scholar] [CrossRef] [PubMed]
- Jacobson, L.D.; Bochevarov, A.D.; Watson, M.A.; Hughes, T.F.; Rinaldo, D.; Ehrlich, S.; Steinbrecher, T.B.; Vaitheeswaran, S.; Philipp, D.M.; Halls, M.D. Automated Transition State Search and Its Application to Diverse Types of Organic Reactions. J. Chem. Theory Comput. 2017, 13, 5780–5797. [Google Scholar] [CrossRef]
- Cao, Y.; Hughes, T.; Giesen, D.; Halls, M.D.; Goldberg, A.; Vadicherla, T.R.; Sastry, M.; Patel, B.; Sherman, W.; Weisman, A.L.; et al. Highly Efficient Implementation of Pseudospectral Time-Dependent Density-Functional Theory for the Calculation of Excitation Energies of Large Molecules. J. Comput. Chem. 2016, 37, 1425–1441. [Google Scholar] [CrossRef]
- Bochevarov, A.D.; Harder, E.; Hughes, T.F.; Greenwood, J.R.; Braden, D.A.; Philipp, D.M.; Rinaldo, D.; Halls, M.D.; Zhang, J.; Friesner, R.A. Jaguar: A High-Performance Quantum Chemistry Software Program with Strengths in Life and Materials Sciences. Int. J. Quantum Chem. 2013, 113, 2110–2142. [Google Scholar] [CrossRef]
- Berardo, E.; Hu, H.-S.; van Dam, H.J.J.; Shevlin, S.A.; Woodley, S.M.; Kowalski, K.; Zwijnenburg, M.A. Describing Excited State Relaxation and Localization in TiO2 Nanoparticles Using TD-DFT. J. Chem. Theory Comput. 2014, 10, 5538–5548. [Google Scholar] [CrossRef]
- Helmich-Paris, B.; de Souza, B.; Neese, F.; Izsák, R. An Improved Chain of Spheres for Exchange Algorithm. J. Chem. Phys. 2021, 155, 104109. [Google Scholar] [CrossRef]
- Neese, F. An Improvement of the Resolution of the Identity Approximation for the Formation of the Coulomb Matrix. J. Comput. Chem. 2003, 24, 1740–1747. [Google Scholar] [CrossRef] [PubMed]
- Neese, F.; Wennmohs, F.; Hansen, A.; Becker, U. Efficient, Approximate and Parallel Hartree–Fock and Hybrid DFT Calculations. A ‘Chain-of-Spheres’ Algorithm for the Hartree–Fock Exchange. Chem. Phys. 2009, 356, 98–109. [Google Scholar] [CrossRef]
- Neese, F.; Wennmohs, F.; Becker, U.; Riplinger, C. The ORCA Quantum Chemistry Program Package. J. Chem. Phys. 2020, 152, 224108. [Google Scholar] [CrossRef] [PubMed]
- Neese, F. The SHARK Integral Generation and Digestion System. J. Comput. Chem. 2023, 44, 381–396. [Google Scholar] [CrossRef]
- Neese, F. Software Update: The ORCA Program System, Version 4.0. WIRES Comput. Mol. Sci. 2018, 8, e1327. [Google Scholar] [CrossRef]
- Neese, F. The ORCA Program System. WIRES Comput. Mol. Sci. 2012, 2, 73–78. [Google Scholar] [CrossRef]
- Neese, F. Approximate Second-Order SCF Convergence for Spin Unrestricted Wavefunctions. Chem. Phys. Lett. 2000, 325, 93–98. [Google Scholar] [CrossRef]
- Neese, F. Software Update: The ORCA Program System, Version 5.0. WIRES Comput. Mol. Sci. 2022, 12, e1606. [Google Scholar] [CrossRef]
- Armaković, S.; Armaković, S.J. Atomistica.Online—Web Application for Generating Input Files for ORCA Molecular Modelling Package Made with the Anvil Platform. Mol. Simul. 2023, 49, 117–123. [Google Scholar] [CrossRef]
- Armaković, S.; Armaković, S.J. Online and Desktop Graphical User Interfaces for Xtb Programme from Atomistica.Online Platform. Mol. Simul. 2024, 50, 560–570. [Google Scholar] [CrossRef]
- Henning, S.; Adhikari, R. Scanning Electron Microscopy, ESEM, and X-ray Microanalysis. In Microscopy Methods in Nanomaterials Characterization; Elsevier: Amsterdam, The Netherlands, 2017; pp. 1–30. ISBN 978-0-323-46141-2. [Google Scholar]
- Frederichi, D.; Scaliante, M.H.N.O.; Bergamasco, R. Structured Photocatalytic Systems: Photocatalytic Coatings on Low-Cost Structures for Treatment of Water Contaminated with Micropollutants—A Short Review. Environ. Sci. Pollut. Res. 2021, 28, 23610–23633. [Google Scholar] [CrossRef] [PubMed]
- Batchu, S.R.; Panditi, V.R.; O’Shea, K.E.; Gardinali, P.R. Photodegradation of Antibiotics under Simulated Solar Radiation: Implications for Their Environmental Fate. Sci. Total Environ. 2014, 470–471, 299–310. [Google Scholar] [CrossRef] [PubMed]
- Chowdhury, P.; Sarathy, S.R.; Das, S.; Li, J.; Ray, A.K.; Ray, M.B. Direct UV Photolysis of Pharmaceutical Compounds: Determination of pH-Dependent Quantum Yield and Full-Scale Performance. Chem. Eng. J. 2020, 380, 122460. [Google Scholar] [CrossRef]












| Sample | EDS Results | |||
|---|---|---|---|---|
| O (wt%) | Ti (wt%) | Al (wt%) | Total (wt%) | |
| TiO2 | 33.81 | 66.19 | - | 100.00 |
| Al | - | - | 100.00 | 100.00 |
| TiO2/Al | 10.79 | 2.96 | 86.25 | 100.00 |
| TiO2/Al after one treatment | 9.54 | 3.20 | 87.26 | 100.00 |
| TiO2/Al after five treatments | 9.62 | 2.77 | 87.61 | 100.00 |
| Complex | ||
|---|---|---|
| AlTiO2 + MB | −91.81 | −3.98 |
| AlTiO2 + MO | −106.98 | −4.64 |
| AlTiO2 + RB | −44.26 | −1.92 |
Disclaimer/Publisher’s Note: The statements, opinions and data contained in all publications are solely those of the individual author(s) and contributor(s) and not of MDPI and/or the editor(s). MDPI and/or the editor(s) disclaim responsibility for any injury to people or property resulting from any ideas, methods, instructions or products referred to in the content. |
© 2024 by the authors. Licensee MDPI, Basel, Switzerland. This article is an open access article distributed under the terms and conditions of the Creative Commons Attribution (CC BY) license (https://creativecommons.org/licenses/by/4.0/).
Share and Cite
Armaković, S.J.; Savanović, M.M.; Armaković, S. Spray-Deposited TiO2 Layers on Aluminum Foil for Sustainable Water Remediation. Crystals 2024, 14, 875. https://doi.org/10.3390/cryst14100875
Armaković SJ, Savanović MM, Armaković S. Spray-Deposited TiO2 Layers on Aluminum Foil for Sustainable Water Remediation. Crystals. 2024; 14(10):875. https://doi.org/10.3390/cryst14100875
Chicago/Turabian StyleArmaković, Sanja J., Maria M. Savanović, and Stevan Armaković. 2024. "Spray-Deposited TiO2 Layers on Aluminum Foil for Sustainable Water Remediation" Crystals 14, no. 10: 875. https://doi.org/10.3390/cryst14100875
APA StyleArmaković, S. J., Savanović, M. M., & Armaković, S. (2024). Spray-Deposited TiO2 Layers on Aluminum Foil for Sustainable Water Remediation. Crystals, 14(10), 875. https://doi.org/10.3390/cryst14100875
