Ferroelectric, Magnetic and Dielectric Properties of SrCo0.2Zn0.2Fe11.6O18.8 Hexaferrite Obtained by “One-Pot” Green Sol-Gel Synthesis Utilizing Citrus reticulata Peel Extract
Abstract
:1. Introduction
2. Materials and Methods
2.1. Powder Synthesis
2.2. Characterization
3. Results and Discussion
3.1. Phase Analysis
3.2. Microstructural Analysis
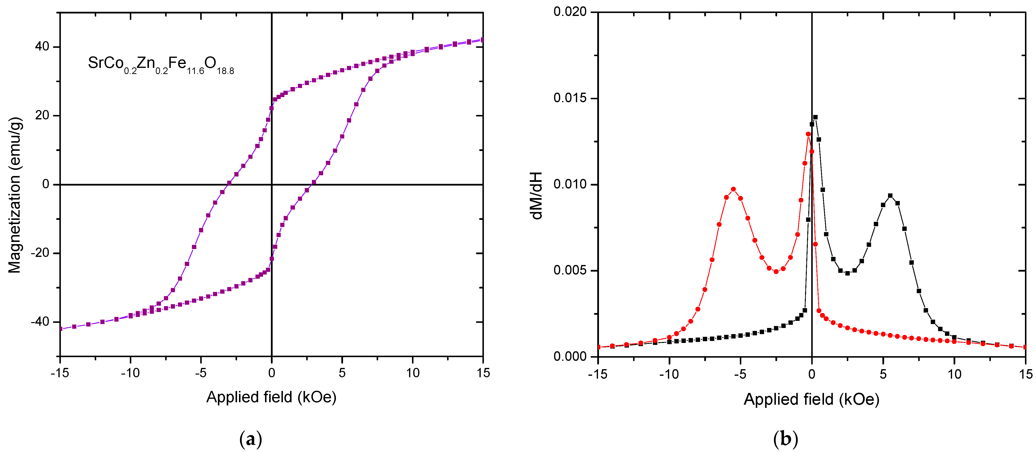
3.3. Magnetic Properties
3.4. Ferroelectric Properties
3.5. Dielectric Properties
4. Conclusions
Author Contributions
Funding
Data Availability Statement
Acknowledgments
Conflicts of Interest
References
- Kumar, H.; Bhardwaj, K.; Sharma, R.; Nepovimova, E.; Kuca, K.; Dhanjal, D.S.; Verma, R.; Bhardwaj, P.; Shrama, S.; Kumar, D. Fruit and vegetable peels: Utilization of high value horticultural waste in novel industrial applications. Molecules 2020, 5, 2812. [Google Scholar] [CrossRef] [PubMed]
- Kagdi, A.; Pullar, R.C.; Meena, S.S.; Jotania, R.B.; Batoo, K.M. Studies of structural, magnetic and dielectric properties of X-type barium zinc hexaferrite Ba2Zn2Fe28O46 powder prepared by combustion treatment method using ginger root extract as a green reducing agent. J. Alloys Compd. 2020, 842, 155120. [Google Scholar] [CrossRef]
- Gao, Y.; Xu, D.; Ren, D.; Zeng, K.; Wu, X. Green synthesis of zinc oxide nanoparticles using Citrus sinensis peel extract and application to strawberry preservation: A comparison study. LWT Food Sci. Technol. 2020, 126, 109297. [Google Scholar] [CrossRef]
- Hamarawf, R.F.; Tofiq, D.I.; Omer, K.M. Green synthesis of M-type manganese-substituted strontium hexaferrite SrMnxFe12-xO19 nanoparticles with intrinsic antibacterial activity against human pathogenic bacteria. New J. Chem. 2023, 47, 15236–15249. [Google Scholar] [CrossRef]
- Narayanam, K.B.; Sakhtivel, N. Green synthesis of biogenic metal nanoparticles by terrestrial and aquatic phototrophic and heterotrophic eukaryotes and biocompatible agents. Adv. Colloid Interface Sci. 2011, 169, 59–79. [Google Scholar] [CrossRef]
- Amiri, M.; Pardakhti, A.; Ahmadi-Zeidabadi, M.; Akbari, A.; Salavati-Niasari, M. Magnetic nickel ferrite nanoparticles: Green synthesis of Urtica and therapeutic effect of frequency magnetic field on creating cytotoxic response in neural cell lines. Colloids Surf. B 2018, 172, 244–253. [Google Scholar] [CrossRef]
- Zamani, M.; Aghajanzadeh, M.; Jashnani, S.; Shahangian, S.S.; Shirini, F. Hyaluronic acid coated spinel ferrite for combination of chemo and photodynamic therapy: Green synthesis, characterization in an in vitro and in vivo biocompatibility study. Int. J. Biol. Macromol. 2022, 219, 709–720. [Google Scholar] [CrossRef]
- Proveti, J.R.C.; Porto, P.S.S.; Muniz, E.P.; Pereiro, R.D.; Araujo, D.R.; Solveira, M.B. Sol-gel proteic method using orange albedo pectin for obtaining cobalt ferrite particles. J. Sol-Gel Sci. Tehnol. 2015, 75, 31–37. [Google Scholar] [CrossRef]
- Sir Elkhatim, K.A.; Elagib, R.A.A.; Hassan, A.B. Content of phenolic compounds and Vitamin C and antioxidant activity in wasted parts of Sudanese citrus fruit. Food Sci. Nutr. 2018, 6, 1214–1219. [Google Scholar] [CrossRef]
- Thi, T.U.D.; Nguyen, T.T.; Thi, Y.D.; Thi, K.H.T.; Phan, B.T.; Pham, K.N. Green synthesis of ZnO nanoparticles using orange fruit peel extract for antibacterial activities. RSC Adv. 2020, 10, 23899–23907. [Google Scholar] [CrossRef]
- Muniz, E.P.; de Assuncao, L.S.D.; de Souza, L.M.; Ribeiro, J.J.K.; Marqes, W.P.; Pereira, R.D.; Porto, P.S.S.; Proveti, J.R.C.; Passamani, E.C. On cobalt ferrite production by sol-gel from orange fruit residue by three related procedures and its application in oil removal. J. Clean. Prod. 2020, 265, 121712. [Google Scholar] [CrossRef]
- Liu, C.; Kan, X.; Hu, F.; Liu, X.; Feng, S.; Wu, J.; Wang, W.; Rehman, U.; Shezad, M.; Zhang, C.; et al. Investigations of Ce-Zn co-substitution on crystal structure and ferromagnetic properties of M-type strontium hexaferrite Sr1-xCexFe12-xZnxO19 compounds. J. Alloys Compd. 2019, 785, 452–459. [Google Scholar] [CrossRef]
- Alamolhoda, S.; Seyyed Ebrahimi, S.A.; Badiei, A. A study on the formation of strontium hexaferritenanopowder by a sol-gel auto-combustion method in the presence of a surfactant. J. Magn. Magn. Mater. 2006, 303, 69–72. [Google Scholar] [CrossRef]
- Kiani, E.; Rozatian, A.S.; Yousefi, M.H. Synthesis and characterization of SrFe12O19 nanoparticles produced by a low temperature solid-state reaction method. J. Mater. Sci. Mater. Electron. 2013, 24, 2485–2492. [Google Scholar] [CrossRef]
- Obradors, X.; Collomb, A.; Pernet, M.; Samaras, D.; Joubert, J.C. X-ray analysis of the structural and dynamic properties of BaFe12O19 hexagonal ferrite at room temperature. J. Solid State Chem. 1985, 56, 171–181. [Google Scholar] [CrossRef]
- Dang, T.M.H.; Truh, V.D.; Bui, D.H.; Phan, M.H.; Huynh, D.C. Sol-gel hydrothermal synthesis of strontium hexaferrite nanoparticles and the relation between their crystal structure and high coercivity properties. Adv. Nat. Sci. Nanosci. Nanotechnol. 2012, 3, 025015. [Google Scholar] [CrossRef]
- Almessiere, M.A.; Slimani, Y.; Sertkol, M.; Nawaz, M.; Baykal, A.; Ercan, I. The impact of Zr substituted Srhexaferrites investigation on structure, optic and magnetic properties. Results Phys. 2019, 13, 102244. [Google Scholar] [CrossRef]
- Maramu, N.; Sriramulu, G.; Ramesh, T.; Ravinder, D.; Katlakunta, S.; Anil Babu, T.; Krishna Prasad, N.N. Crystal chemistry, Rietveld analysis, magnetic and microwave properties of Cu-doped strontium hexaferrites. J. Mater. Sci. Mater. Electron. 2021, 32, 10376–10387. [Google Scholar] [CrossRef]
- Liu, X.S.; Fernandez-Garcia, L.; Hu, F.; Zhu, D.R.; Suarez, M.; Mendez, J.L. Magneto-optical Kerr spectra and magnetic properties of Co-substituted M-type strontium ferrites. Mater. Chem. Phys. 2012, 133, 961–964. [Google Scholar] [CrossRef]
- Beevers, J.E.; Love, C.J.; Lazarov, V.K.; Cavill, S.A.; Izadkhah, H.; Vittoria, C.; Fan, R.; van der Laan, G.; Dhesi, S.S. Enhanced magnetoelectric effect in M-type hexaferrites by Co substitution into trigonal bi-pyramidal sites. Appl. Phys. Lett. 2018, 112, 082401. [Google Scholar] [CrossRef]
- Almessiere, M.A.; Slimani, Y.; DemirKorkmaz, A.; Guner, S.; Maarouf, A.A.; Baykal, A. Comparative study of sonochemically synthesized Co-Zr and Ni-Zr substituted Sr-hexaferrites: Magnetic and structural investigations. J. Magn. Magn. Mater. 2020, 497, 165996. [Google Scholar] [CrossRef]
- Bai, J.; Lu, X.; Xie, T.; Wei, F.; Yang, Z. The effects of La-Zn substitution on the magnetic properties of Sr-magnetoplumbic ferrite nanoparticles. Mater. Sci. Eng. B 2000, 68, 182–185. [Google Scholar] [CrossRef]
- Kaur, P.; Chawla, S.K.; Meena, S.S.; Yusuf, S.M.; BindraNarang, S. Synthesis of Co-Zr doped nanocrystalline strontium hexaferrites by sol-gel auto-combustion route using sucrose as fuel and study of their structural, magnetic and electrical properties. Ceram. Int. 2016, 42, 14475–14489. [Google Scholar] [CrossRef]
- Hwang, T.Y.; Lee, J.; Lim, H.R.; Jeong, S.J.; An, G.H.; Kim, J.; Choa, Y.H. Synthesis and magnetic properties of La3+-Co2+ substituted strontium ferrite particles using modified spray pyrolysis-calcination method. Ceram. Int. 2017, 43, 3879–3884. [Google Scholar] [CrossRef]
- Mahmood, S.H.; Jaradat, F.S.; Lehlooh, A.F.; Hammoudeh, A. Structural properties and hyperfine interactions in Co-Zn Y-type hexaferrites prepared by the sol-gel method. Ceram. Int. 2014, 40, 5231–5236. [Google Scholar] [CrossRef]
- Bercoff, P.G.; Henue, C.; Jacobo, S.E. The influence of Nd-Co substitution on the magnetic properties of non-stoichiometric strontium hexaferrite nanoparticles. J. Magn. Magn. Mater. 2009, 321, 2245–2250. [Google Scholar] [CrossRef]
- Ghezelbash, S.; Yousefi, M.; Hossainsadr, M.; Baghshahi, S. Structural and magnetic properties of Sn4+ doped strontium hexaferrites prepared via sol-gel auto-combustion method. IEEE Trans. Magn. 2018, 54, 2001306. [Google Scholar] [CrossRef]
- Herme, C.A.; Bercoff, P.G.; Jacobo, S.E. Nd-Co substituted strontium hexaferrite powders with enhanced coercivity. Mater. Res. Bull. 2012, 47, 3881–3887. [Google Scholar] [CrossRef]
- Klug, H.P.; Alexander, L.E. X-ray Diffraction Procedures: For Polycrystalline and Amorphous Materials, 2nd ed.; Wiley: Hoboken, NJ, USA, 1974; p. 992. [Google Scholar]
- Shekhamat, D.; Roy, P.K. Effect of cobalt substitution on physical and electromagnetic properties of SrAl4Fe8O19 hexaferrite. Mater. Chem. Phys. 2019, 229, 183–189. [Google Scholar] [CrossRef]
- Nikolic, P.M.; Zivanov, L.; Aleksic, O.S.; Samaras, D.; Gledhill, G.A.; Collins, J.D. FIR optical properties of single crystal Ba- and Sr-hexaferrite. Infrared Phys. 1990, 20, 265–269. [Google Scholar] [CrossRef]
- Maramu, N.; Ravinder, D.; Babu, T.A.; Reddy, B.R.; Srivamulu, G.; Sadhara, K.; Prasad, N.V.K. Structural and microwave properties of Ag-doped strontium hexaferrite. J. Mater. Sci. Mater. Electron. 2021, 32, 23854–23862. [Google Scholar] [CrossRef]
- Justus, J.S.; Roy, S.D.D.; Raj, A.M.E. Synthesis and characterization of hematite nanopowders. Mater. Res. Express 2016, 3, 105037. [Google Scholar] [CrossRef]
- Auwal, I.A.; Güngünes, H.; Baykal, A.; Guner, S.; Shirsath, S.E.; Sertkol, M. Structural, morphological, optical, cation distribution and Mössbauer analysis of Bi3+ substituted strontium hexaferrite. Ceram. Int. 2016, 42, 8627–8635. [Google Scholar] [CrossRef]
- Iqbal, M.J.; Ashiq, M.N.; Gul, I.H. Physical, electrical and dielectric properties of Ca-substituted strontium hexaferrite (SrFe12O19) nanoparticles synthesized by co-precipitation method. J. Magn. Magn. Mater. 2010, 322, 1720–1726. [Google Scholar] [CrossRef]
- Hu, C.; Cao, H.; Wang, S.; Wu, N.; Qiu, S.; Lyu, H.; Liu, J. Synthesis of strontium hexaferritenanoplates and the enhancement of their electrochemical performance by Zn2+ doping for high-rate and long-life lithium ion batteries. New J. Chem. 2017, 41, 6427–6435. [Google Scholar] [CrossRef]
- Manglam, M.K.; Mallick, J.; Kumari, S.; Pandey, R.; Kar, M. Crystal structure and magnetic properties study on barium hexaferrite (BHF) and cobalt zinc ferrite (CZF) in composites. Solid State Sci. 2021, 113, 106529. [Google Scholar] [CrossRef]
- Için, S.; Öztürk, S.; Çakil, D.D.; Sünbül, S.E.; Ergin, I.; Özçelik, B. Investigation of nano-crystalline strontium hexaferrite magnet powder from mill-scale waste by the mechanochemical synthesis: Effect of the annealing temperature. Mater. Chem. Phys. 2022, 290, 126513. [Google Scholar] [CrossRef]
- Choi, J.Y.; Lee, J.M.; Baek, Y.K.; Lee, J.G.; Kim, Y.K. Effect of sodium addition on structural and magnetic properties of solid state processed SrFe12−xAlxO19 (x ≤ 4). Appl. Phys. A 2022, 128, 1127. [Google Scholar] [CrossRef]
- Sahoo, V.; Bhowmik, R.N.; Khan, S.A. Enhancement of electrical conductivity, optical band gap and ferromagnetic properties by co-doping of Co and Ti ions in canted antiferromagnetic hematite (α-Fe2O3) system. Mater. Chem. Phys. 2023, 296, 127298. [Google Scholar] [CrossRef]
- Kumar, V.; Ahlawat, D.S.; Ul Islam, S.A.; Singh, A. Ce doping induced modifications in structural, electrical and magnetic behaviour of hematite nanoparticles. Mater. Sci. Eng. B 2021, 272, 115327. [Google Scholar] [CrossRef]
- Dudziak, S.; Ruzynska, Z.; Bielan, Z.; Ryl, J.; Klimczuk, T.; Zielinska-Jurek, A. Pseudo-superparamagnetic behavior of barium hexaferrite particles. RSC Adv. 2020, 10, 18784. [Google Scholar] [CrossRef] [PubMed]
- Shezad, M.; Liu, X.; Feng, S.; Kan, X.; Wang, W.; Liu, C.; Shehzad, T.J.; Rehman, K.M.U. Characterizations analysis of magneto-structural transitions in Ce-Co doped SrM based nano Sr1−xCexFe12−xCoxO19hexaferrite crystallites prepared by ceramic route. J. Magn. Magn. Mater. 2020, 497, 166013. [Google Scholar] [CrossRef]
- Turchenko, V.; Kostishin, V.G.; Trukhanov, S.; Damay, F.; Balasoiu, M.; Bozzo, B.; Fina, I.; Burkhovetsky, V.V.; Polosan, S.; Zdorovets, M.V.; et al. Structural features, magnetic, and ferroelectric properties of SrFe10.8In1.2O19 compound. Mater. Res. Bull. 2021, 138, 111236. [Google Scholar] [CrossRef]
- Xu, Y.F.; Ma, Y.Q.; Xu, S.T.; Zan, F.L.; Zheng, G.H.; Dai, Z.X. Effects of vacancy and exchange-coupling between grains on magnetic properties of SrFe12O19 and α-Fe2O3 composites. Mater. Res. Bull. 2014, 57, 13–18. [Google Scholar] [CrossRef]
- Yasmin, N.; Iqbal, M.Z.; Zahid, M.; Gillani, S.F.; Ashiq, M.N.; Inam, I.; Abdulsatar, S.; Safdar, M.; Mirza, M. Structural and magnetic studies of Ce-Zn doped M-type SrFe12O19 hexagonal ferrite synthesized by sol-gel auto-combustion method. Ceram. Int. 2019, 45, 462–467. [Google Scholar] [CrossRef]
- Tan, G.; Chen, X. Synthesis, structures and multiferroic properties of strontium hexaferrite ceramics. J. Electr. Mater. 2013, 42, 906–911. [Google Scholar] [CrossRef]
- Atif, M.; Alvi, M.H.; Ulah, S.; Rehman, A.U.; Nadeem, M.; Khalid, W.; Ali, Z.; Guo, H. Impact of strontium substitution on the structural, magnetic, dielectric and ferroelectric properties of Ba1−xSrxFe11Cr1O19 (x = 0.0–0.8) hexaferrites. J. Magn. Magn. Mater. 2020, 500, 166414. [Google Scholar] [CrossRef]
- Turchenko, V.; Bondyakov, A.S.; Trukhanov, S.; Fina, I.; Korovishkin, V.V.; Balasoiu, M.; Polosan, S.; Bozzo, B.; Lupu, N.; Trukhanov, A. Microscopic mechanism of ferroelectric properties in barium hexaferrites. J. Alloys Compd. 2023, 931, 167433. [Google Scholar] [CrossRef]
- Bhat, B.H.; Samad, R.; Want, B. Dielectric and impedance behavior of neodymium substituted strontium hexaferrite. Appl. Phys. A 2016, 122, 810. [Google Scholar] [CrossRef]
- Nikolic, M.V.; Lukovic, M.D.; Labus, N.J. Influence of humidity on complex impedance and dielectric properties of iron manganite (FeMnO3). J. Mater. Sci. Mater. Electron. 2019, 30, 12399–12405. [Google Scholar] [CrossRef]
- Bondarenko, A.S.; Ragoisha, G. EIS Spectrum Analyzer. Available online: https://www.abc.chemistry.bsu.by (accessed on 25 November 2016).
- Nikolic, M.V.; Sekulic, D.L.; Vasiljevic, Z.Z.; Lukovic, M.D.; Pavlovic, V.B.; Aleksic, O.S. Dielectric properties, complex impedance and electrical conductivity of Fe2TiO5 nanopowder compacts and bulk samples at elevated temperatures. J. Mater. Sci. Mater. Electron. 2017, 28, 4796–4806. [Google Scholar] [CrossRef]
- Anis-ur-Rehman, M.; Kanwal, S.; Khan, Z.; Asif, A.; Hussain, A.N.; Zahid, S. Study of dielectric relaxations in co precipitated Sr-Fe(Cr) nanoferrites. J. Mater. Sci. Mater. Electron. 2015, 26, 6539–6545. [Google Scholar] [CrossRef]
- Aziz, A.; Ahmed, E.; Ali, I.; Athar, M.; Ehsan, M.F.; Ashiq, M.N. Effect of Gd and Cu on the structural, electrical, and dielectric properties of MnFeO3 nanomaterials synthesized by the sol-gel method. J. Electron. Mater. 2015, 44, 4300–4307. [Google Scholar] [CrossRef]






Disclaimer/Publisher’s Note: The statements, opinions and data contained in all publications are solely those of the individual author(s) and contributor(s) and not of MDPI and/or the editor(s). MDPI and/or the editor(s) disclaim responsibility for any injury to people or property resulting from any ideas, methods, instructions or products referred to in the content. |
© 2023 by the authors. Licensee MDPI, Basel, Switzerland. This article is an open access article distributed under the terms and conditions of the Creative Commons Attribution (CC BY) license (https://creativecommons.org/licenses/by/4.0/).
Share and Cite
Nikolic, M.V.; Ammar-Merah, S.; Ilić, N.; Singh, C.; Dojcinovic, M.P.; Jotania, R.B. Ferroelectric, Magnetic and Dielectric Properties of SrCo0.2Zn0.2Fe11.6O18.8 Hexaferrite Obtained by “One-Pot” Green Sol-Gel Synthesis Utilizing Citrus reticulata Peel Extract. Crystals 2023, 13, 1452. https://doi.org/10.3390/cryst13101452
Nikolic MV, Ammar-Merah S, Ilić N, Singh C, Dojcinovic MP, Jotania RB. Ferroelectric, Magnetic and Dielectric Properties of SrCo0.2Zn0.2Fe11.6O18.8 Hexaferrite Obtained by “One-Pot” Green Sol-Gel Synthesis Utilizing Citrus reticulata Peel Extract. Crystals. 2023; 13(10):1452. https://doi.org/10.3390/cryst13101452
Chicago/Turabian StyleNikolic, Maria Vesna, Souad Ammar-Merah, Nikola Ilić, Charanjeet Singh, Milena P. Dojcinovic, and Rajshree B. Jotania. 2023. "Ferroelectric, Magnetic and Dielectric Properties of SrCo0.2Zn0.2Fe11.6O18.8 Hexaferrite Obtained by “One-Pot” Green Sol-Gel Synthesis Utilizing Citrus reticulata Peel Extract" Crystals 13, no. 10: 1452. https://doi.org/10.3390/cryst13101452
APA StyleNikolic, M. V., Ammar-Merah, S., Ilić, N., Singh, C., Dojcinovic, M. P., & Jotania, R. B. (2023). Ferroelectric, Magnetic and Dielectric Properties of SrCo0.2Zn0.2Fe11.6O18.8 Hexaferrite Obtained by “One-Pot” Green Sol-Gel Synthesis Utilizing Citrus reticulata Peel Extract. Crystals, 13(10), 1452. https://doi.org/10.3390/cryst13101452

