Next Article in Journal
The Complete Series of Lanthanoid-Chloranilato Lattices with Dimethylsulfoxide: Role of the Lanthanoid Size on the Coordination Number and Crystal Structure
Previous Article in Journal
Interpretable Machine Learning Models for Punching Shear Strength Estimation of FRP Reinforced Concrete Slabs
 
 
Font Type:
Arial Georgia Verdana
Font Size:
Aa Aa Aa
Line Spacing:
Column Width:
Background:
Article

Computational Analysis of Strain-Induced Effects on the Dynamic Properties of C60 in Fullerite

by
Aleksandr V. Lun-Fu
1,
Alexey M. Bubenchikov
2,
Mikhail A. Bubenchikov
2 and
Vyacheslav A. Ovchinnikov
3,*
1
LLC “Gazprom Transgaz Tomsk”, 9 Frunze St., 634029 Tomsk, Russia
2
Department of Theoretical Mechanics, National Research Tomsk State University, 36 Lenin Ave., 634050 Tomsk, Russia
3
Department of Physical and Computational Mechanics, National Research Tomsk State University, 36 Lenin Ave., 634050 Tomsk, Russia
*
Author to whom correspondence should be addressed.
Crystals 2022, 12(2), 260; https://doi.org/10.3390/cryst12020260
Submission received: 30 January 2022 / Revised: 9 February 2022 / Accepted: 12 February 2022 / Published: 14 February 2022

Abstract

A hybrid discrete-continuous physical and mathematical model is used to study what deformation characteristics cause the rolling effect of C60 fullerene in a fullerite crystal. The interaction of fullerene atoms with surrounding molecules is described using a centrally symmetric interaction potential, in which the surrounding molecules are considered as a spherical surface of uniformly distributed carbon atoms. The rotational motion of fullerene is described by the Euler dynamic equations. The results of a numerical study of the influence of the rate, magnitude, and direction of strain on the dynamic characteristics of the rotational and translational motion of C60 fullerene in a crystalline fragment are presented.

1. Introduction

Interest in fullerene-containing materials is due to a wide variety of properties that are widely used in biology, medicine, chemistry, electronics, and materials science [1,2,3,4,5,6,7]. Fullerenes are a family of molecules containing from 20 to 980 carbon atoms [8,9]. Fullerenes represent a dense closed structure in the form of a convex polyhedron. Currently, the most common fullerene is the C60 molecule, which is an icosahedral hollow structure consisting of 60 sp2 hybridized carbon atoms lying on the surface of a sphere [9,10,11]. The C60 molecules have high mechanical rigidity, stability, and strength but a fullerite crystal consisting of the C60 molecules is a fairly soft material [12,13,14,15]. Fullerite in the face-centered cubic (fcc) phase has the lowest density (1.6 g/cm3) compared to graphite and diamond. Due to intermolecular forces caused by van der Waals forces, fullerenes at nodes of the fullerite crystal lattice at room temperature perform the rotational motions in the gigahertz frequency range [16,17,18,19,20]. The rotation frequency of fullerenes can be increased using an external magnetic field [21] and high-power pulsed laser radiation [22]. The addition of even a small amount of fullerenes can significantly change the properties of existing materials [23]. Fullerite is also subjected to high temperatures, laser radiation, high pressure, and shear deformation to produce materials with new properties [24,25,26]. The resulting materials have a wide range of physicochemical and mechanical properties [27,28]. However, the synthesized samples are mechanical mixtures of different phases of the C60 polymers. Fullerenes are also used in tribological compositions to reduce aging and wear of parts in frictional interaction [29,30,31,32]. In this regard, it is of great interest to study the properties of fullerenes under conditions of force action on the material.
In this article, we study the effect of the simplest deformation of a fullerite crystalline fragment on the dynamic characteristics of the C60 molecule using the methods of classical mechanics [33,34,35,36,37]. A computational analysis of the behavior of the fullerene molecule depending on the speed, direction, and magnitude of the indentation deformation has been carried out.

2. Physical Statement of the Problem

A fullerite fragment consisting of 63 fullerene molecules is considered (see Figure 1). At room temperature, the C60 molecules form a face-centered cubic lattice with a lattice parameter of d = 1.417 nm [38]. A fragment of the fcc crystal structure is a cube, the opposite faces of which are at a distance of 2d. The central fullerene molecule is composed of 60 carbon atoms (C60, 720 am). The dynamic state of the central molecule is determined by the nature of the interaction with all surrounding fullerenes. Therefore, it plays a special role in the presented model. The remaining 62 molecules are modeled as spherical particles. At the initial moment of time, the distance between the centers of the two nearest molecules is around 1.002 nm [38,39]. The interaction of the central molecule with smoothed C60 is described using interatomic interaction potentials based on the Lennard–Jones potential [40,41]. Thus, in this article, the interaction of any carbon atom of the central fullerene with any smoothed fullerene depends only on their mutual position but does not depend on the position of any other particles, as in many-particle potentials [42,43,44]. At a certain point in time, a fullerite fragment is deformed by moving a group of molecules towards the central fullerene at a given speed. For simplicity, we do not take into account the influence of intramolecular vibrational modes, i.e., the central molecule is a set of material points (atoms) rigidly interconnected. With this assumption in mind, the central molecule has three degrees of freedom of translational motion and three degrees of freedom of rotational motion.

3. Mathematical Statement of the Problem

Let us place the global Cartesian coordinate system (xyz) in the initial symmetrical position of the center of mass of the central fullerene. The local Cartesian coordinate system (ξηζ) is fixed on the rotating central fullerene and its oscillating center of mass.
The interaction potential between a carbon atom of the central C60 and a smoothed spherical fullerene has the following form [33,34,40,41]
Φ ( r i k ) = 4 ε a π r i k S [ σ 12 5 ( ( r i k a ) 10 ( r i k + a ) 10 ) σ 6 2 ( ( r i k a ) 4 ( r i k + a ) 4 ) ] .
Here S is the area per carbon atom; a is the radius of the fullerene; ε, σ are the Lennard–Jones parameters [33]; rik is the distance from the center of the kth carbon atom of the central C60 molecule to the center of the ith smoothed fullerene, k = 1 , n ¯ , i = 1 , N ¯ , n = 60 is the number of carbon atoms in the C60 molecule; N = 62 is the number of smoothed fullerenes.
Potential (4), based on the Lennard–Jones potential, assumes a uniform distribution of potential energy over the surface area of the sphere. We use potential (4) because it allows us to simplify the analysis of the behavior of fullerenes due to the exclusion of high-frequency oscillations from the solution.
The Euler dynamic equations are used to describe the rotational motion of the central fullerene molecule around its center of mass [33,34]:
J 1 d ω ξ d t + ( J 3 J 2 ) ω η ω ζ = M ξ ,
J 2 d ω η d t + ( J 1 J 2 ) ω ζ ω ξ = M η ,
J 3 d ω ζ d t + ( J 2 J 1 ) ω ξ ω η = M ζ .
Here ωξ, ωη, ωζ are the components of the angular velocity relative to the principal axes; J1, J2, J3 are the principal moments of inertia of the molecule for its center of mass.
The projections of the moments of external forces on the ξ-, η- and ζ-axes acting on the central fullerene are determined as follows
M ξ = a 11 M x + a 12 M y + a 13 M z ,
M η = a 21 M x + a 22 M y + a 23 M z ,
M ζ = c 31 M x + c 32 M y + c 33 M z .
where aij ( i , J = 1 , 3 ¯ ) are the components of the matrix of direction cosines, which connects the systems of Cartesian coordinates xyz and ξηζ.
The projections of the moment of external forces on the x-, y-, z-axes are determined from the following formulas:
M = k = 1 n i = 1 N M i k ,   M i k = [ r k c , F i k ] = | i j k x k c y k c z k c X i k Y i k Z i k |
Here Mik is the moment of external force Fik, taken relative to the center of mass of the molecule; Xik, Yik, Ζik are the projections of force Fik on the x-, y-, z-axes; rkc = (xkc, ykc, zkc) is the radius vector of the atom relative to the center of mass of the molecule; i, j, k are the unit vectors of the fixed body coordinate system.
The force effect from the side of the ith smoothed fullerene on the kth atom of the rotating C60 molecule is determined by the following formulas:
X i k = Φ ( r i k ) x ,   Y i k = Φ ( r i k ) y ,   Z i k = Φ ( r i k ) z .
The angular velocity components can be written in terms of the Euler angles φ, ψ, θ in the following form:
ω ξ = ψ ˙ sin θ sin ϕ + θ ˙ cos ϕ ,
ω η = ψ ˙ sin θ cos ϕ θ ˙ sin ϕ ,
ω ζ = ψ ˙ cos ϕ + ϕ ˙ ,
where the dot above the function name corresponds to the time derivative.
The dynamic state of the central fullerene is determined by the nature of the interaction of sixty carbon atoms with all smoothed fullerenes. Consequently, the movement of the center of mass of the central fullerene obeys the following law:
M f d V c d t = k = 1 n i = 1 N grad Φ ( r i k ) ,   V c = d r c d t ,
where Mf is the mass of the fullerene; VC is the velocity of the center of mass of the central fullerene; r C is the position vector of the point of the center of mass of the central fullerene.
The initial conditions for solving the system of differential Equations (2)–(4) and (10)–(13) are given in the following form
t = 0 : ψ = ψ 0 , θ = θ 0 , ϕ = ϕ 0 , ω ξ = ω ξ 0 , ω η = ω η 0 , ω ζ = ω ζ 0 ,
V c = 0 , r c = 0 , v i = 0 , r i = r i 0 , i = 1 , N ¯ ,
where the subscript i refers the ith smoothed fullerene, the superscript 0 refers to initial value.
Thus, we use a hybrid discrete-continuous mathematical model in which the central fullerene has icosahedral symmetry, and the surrounding fullerenes are described as hollow rigid spheres. The system of first-order evolution Equations (2)–(4) and (10)–(13) with initial conditions (14) and (15) is solved using the Runge–Kutta fourth-order method [45,46], which makes it possible to determine the characteristics of the translational and rotational motion of the central fullerene surrounded by smoothed fullerenes.

4. Results and Discussion

We will carry out the following computational experiment to study the influence of deformation on the behavior of fullerenes in a molecular crystal. We consider the central fullerene C60, which is at rest at the initial moment of time. In reality, the deformation force will most likely have non-zero magnitudes of projections along the ξ-, η-, ζ-axes. However, for the convenience of analyzing the force action, we introduce some simplifications to identify causal effects. We place this C60 fullerene in such a way that the vector of the angular velocity of rotation caused by the action of the surrounding fullerenes in the absence of deformation is directed along the ξ- and x-axes (see Figure 2), which coincide at the initial moment of time. In this position, the center of mass of the central fullerene in the absence of deformation (Δx = Δy = 0) must retain its original position.
Figure 2 shows that ωξ(t) is a periodic and sign-changing function. This suggests that the fullerene rotates in one direction and then in the opposite direction. The angular velocity components ωη and ωζ are close to zero. The average absolute value of the angular velocity is 408 rad/ns. This result qualitatively agrees with the experimental data according to which the frequency of rotation of the C60 molecule in fullerite at room temperature is about 1011 Hz [16,17,18,19,20].

4.1. Strain Magnitude and Direction Effect on the Central C60

We consider the deformation of a fragment of a molecular crystal along the positive x-axis (the red arrow in Figure 1). Let the extreme row (x = −d), consisting of 13 smoothed molecules, move towards the central fullerene with the absolute strain rate vdef = v*, where v* = 0.5d/(tzt0) is specific speed, d = 1.417 nm is lattice parameter, t0 = 0, tz = 10 ps are start and end time of simulation. To analyze the external force acting on the central fullerene, we determine the position to which the central fullerene passes by finding the average value of the coordinate functions of time (xavg, yavg, zavg) and the maximum amplitude of oscillations around this position Amax. The calculations of these parameters are carried out from the moment of time at which the deformation stops to the final time of the simulation.
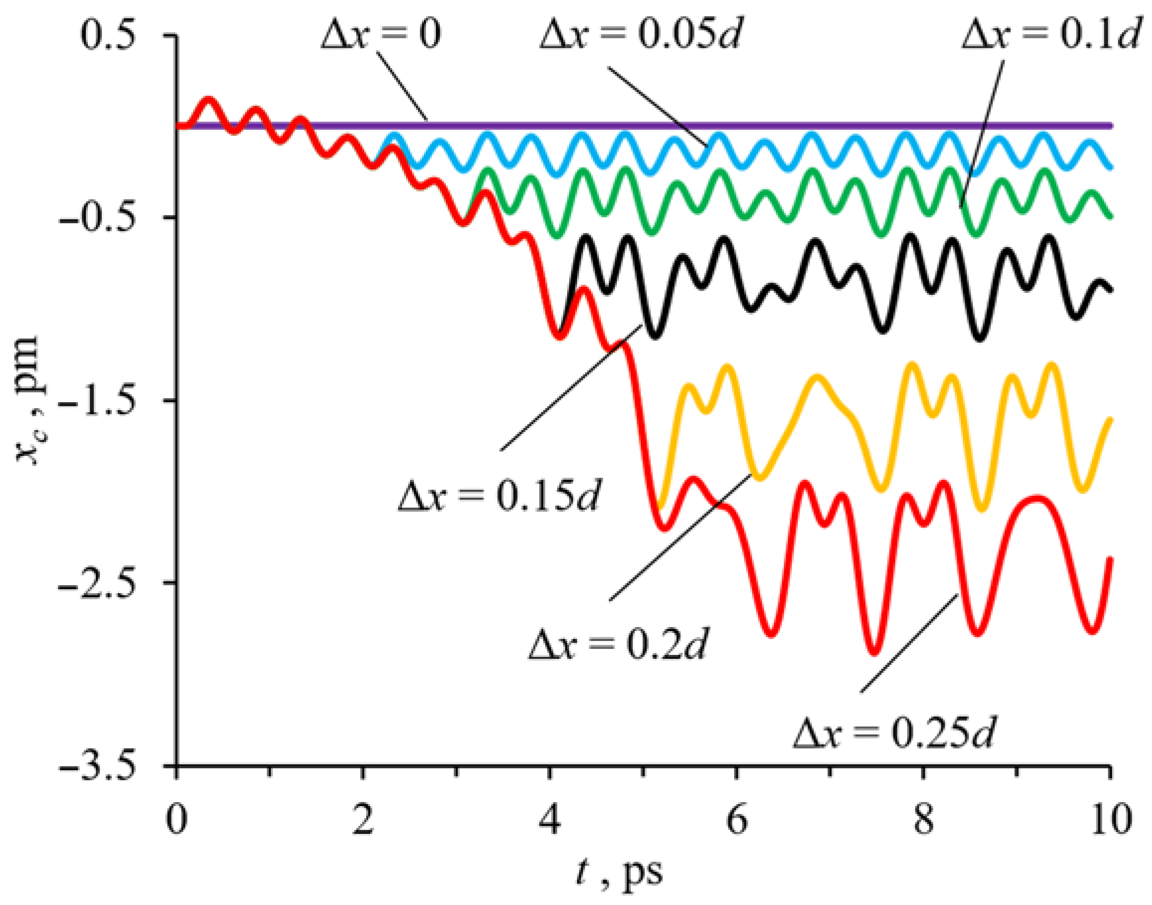
Figure 3 shows the curves corresponding to the displacement of these molecules by a distance Δx in the range from 0 to 0.25d. Changes in other coordinates of the center of mass are not given because in this case, there is a rectilinear motion of the central molecule. As can be seen from Figure 3, the stronger the indentation deformation of the crystalline fragment along the x-axis (x-deformation), the stronger the average deviation of the central molecule from its initial position and the greater the amplitude of oscillations relative to the average position.
Thus, the central fullerene settles into average positions xavg = −0.15, −0.85, −2.34 pm with a maximum amplitudes Amax = 0.12, 0.31, 0.55 pm at Δx = 0.05d, 0.15d, 0.25d, respectively. A negative value of x(t) indicates that the molecule is moving against vdef. This is due to the fact that the movement of the most distant smoothed molecules leads to the appearance of an attractive force-directed, opposite to the direction of deformation.
If the deformations involve two adjacent rows, including 25 molecules, then the nature of the movement of the central molecule will change somewhat (see Figure 4). The central molecule will move in the direction of vdef. In this case, an increase in the magnitude of the deformation leads to a decrease in the amplitude, an increase in the displacement of the molecule, and an increase in the oscillation frequency. The average positions of the molecule xavg = 35.7, 71.2, 106.3 pm, and the amplitude Amax = 20.66, 9.89, 8.76 pm for Δx = 0.05d, 0.1d, 0.15d, respectively. It can be seen from Figure 4 that the positions of the central C60 is 1–2 orders of magnitude larger than in the case of 13 molecules. With all the differences in the results presented in Figure 3 and Figure 4, the movement of the central molecule retains its straightness in both cases. A number of differences are due to the direction and magnitude of the force that arises during deformation along the x-axis and acts on the molecule under consideration. Therefore, for simplicity of analysis, we will further consider the case with 13 molecules, which (taking into account some features and up to certain values of the force impact) qualitatively reflects the effect of deformation on the dynamics of the movement of the central fullerene.
The problem considered above, when the direction of deformation is collinear to the vector of the angular velocity of rotation of the central fullerene, occurs extremely rarely in practice. Therefore, we also consider the problem when vdef and ω are non-collinear vectors.
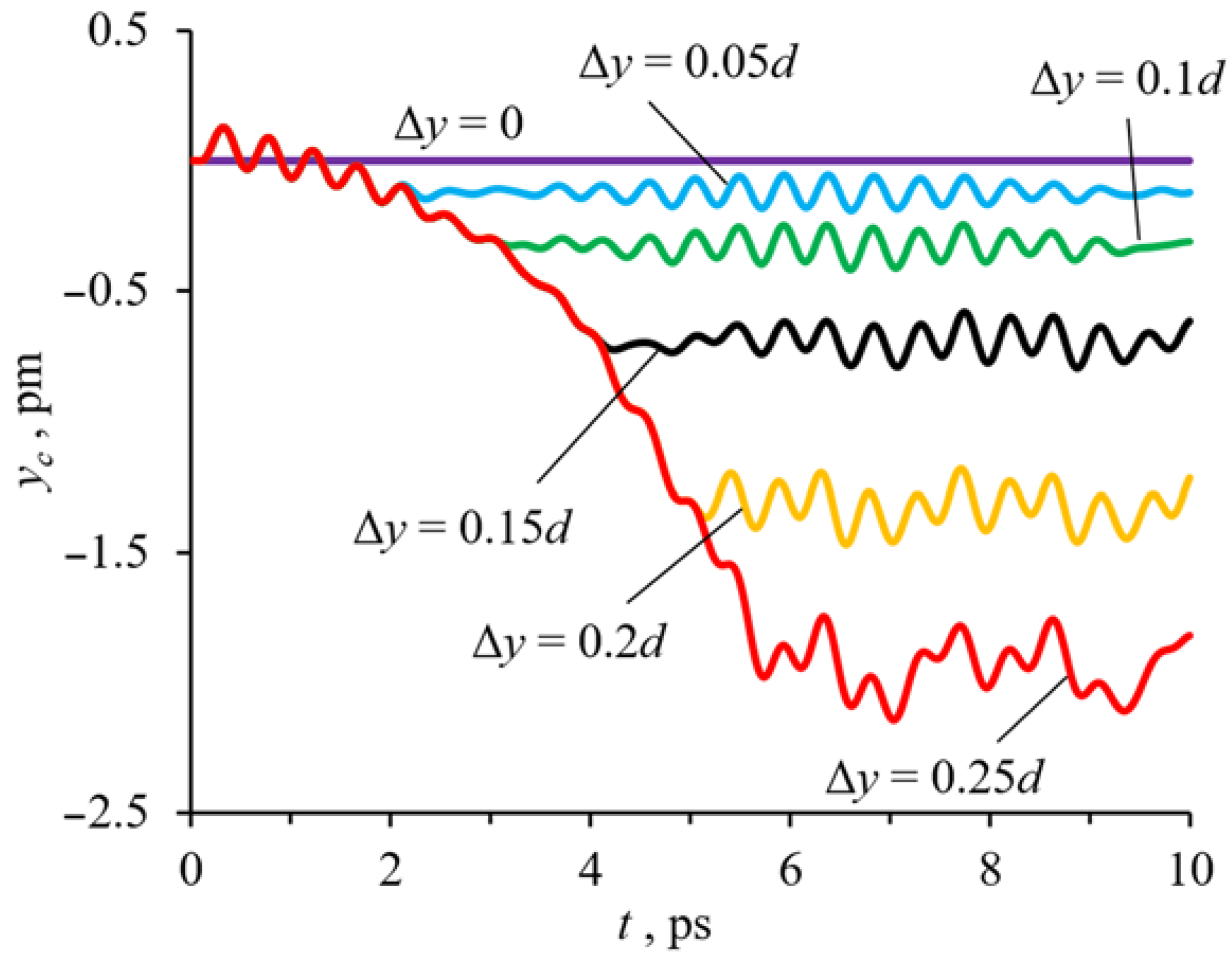
Let the deformation be directed along the y-axis (Δy > 0, Δx = Δz = 0) (y-deformation), i.e., vdef (purple arrow in Figure 1) perpendicular to the angular velocity of rotation. Then the displacement of the central fullerene is described in Figure 5. It can be seen that the change in the y-coordinate in Figure 5 is similar to the change in the x-coordinate in Figure 3. However, as can be seen from Figure 5, the y-deformation causes a smaller displacement of the central fullerene than the x-deformation since the y-deformation leads to a qualitative change in the dynamics of the movement of the central fullerene. The central fullerene settles into yavg = −0.12, −0.69, −1.94 pm with Amax = 0.07, 0.11, 0.2 pm at Δy = 0.05d, 0.15d, 0.25d, respectively. The average positions along the deformation axis decreased by 16.9–18.6%, and the maximum amplitude Amax decreased by 40.8–67.2% compared to the x-strain (Figure 3).
This result is explained by the fact that the motion of the central fullerene during y-deformation is not rectilinear. The y-deformation causes the central fullerene to move in the yz-plane, i.e., its movement is perpendicular to the vector of the angular velocity of rotation (see Figure 6). In this case, the amount of displacement along the z-axis increases with an increase in the amount of y-deformation. The central fullerene settles into a positions zavg = −0.09, −0.47, −1.28 pm with Amax = 0.75, 1.27, 2.55 pm at Δy = 0.05d, 0.15d, 0.25d, respectively. Note that the y-deformation, which affects 25 smoothed molecules, also forces the central molecule to move in the yz-plane. However, in this case, the indentation deformation can strongly affect the angular velocity of the central fullerene thus the analysis of the numerical solution becomes very difficult.
The effects of rolling and force reduction are shown schematically in Figure 7. Figure 7a describes the rectilinear motion that occurs when the angular velocity ω and the force F lie on the same straight line passing through the center of mass of the C60 molecule or when ω = 0. Figure 7b schematically shows the motion that occurs when the angular velocity ω and the force F are perpendicular vectors. We can see the effects of the angular velocity direction because we used the hybrid discrete-continuous mathematical model. The calculation results show that the models of smoothed molecules [40,41,47,48] applied to all fullerenes, including the central fullerene, will give a qualitatively incorrect result when the axis of rotation does not coincide with the direction of deformation (see Figure 7). Because the rotation of fullerenes is not present in these models (ω = 0). Thus, there will be no movement of fullerenes along the z-axis under the conditions of the computational experiment presented in this article (see Figure 7). At the same time, these models are useful for quick calculations and for isolating the various physical effects from high-frequency oscillations.
It should be noted that the described movement of the central fullerene in the z-direction (see Figure 7b) is due to the gyroscopic effect [33,37,49,50,51], which occurs when the projection of an external force on the plane of motion of carbon atoms is non-zero. Since this feature of fullerene motion is determined by its geometry, it can be used in other molecular environments to reduce the force effect on the material. We assume that these calculation results can partly provide an additional explanation for the sliding or rolling effect [29], according to which the friction coefficient decreases with an increase in external loads or sliding speed. In this regard, we will also conduct a numerical study to test the influence of the strain rate on the gyrodynamics of the central fullerene to try to explain why the sliding speed can reduce the coefficient of friction (the force reduction effect).

4.2. Strain Rate Effect on Central C60

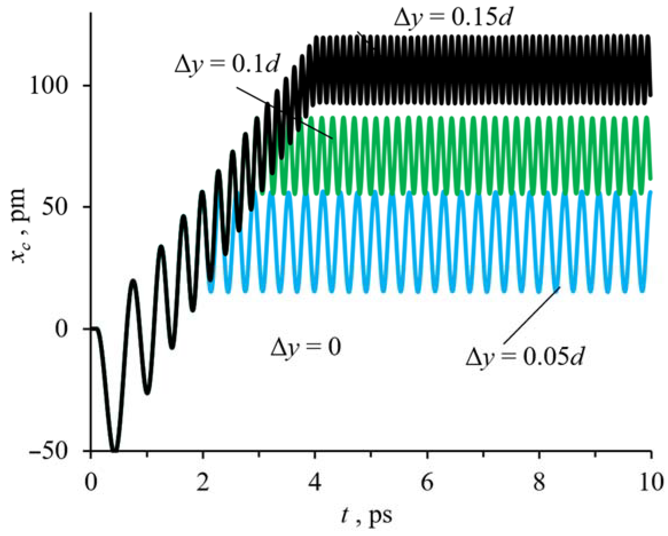
Let the outer row of molecules move in the positive x-direction for a distance Δx = 0.25d with a velocity vdef that varies from 1v* to 5v*. As can be seen from Figure 8, the greater the strain rate, the greater the amplitude of the oscillation. The calculation of the mean value of the x(t) function shows that at Δx = 0.25d the center of the central fullerene shifts to the position xavg = 2.33 ± 0.01 pm for any value of vdef. However, the maximum amplitudes Amax are 0.54, 0.7, 1.28 pm for strain rates vdef = 1v*, 3v*, 5v*, respectively. This suggests that higher values of the strain rate increase the effect on the central fullerene and, consequently, on the fullerite fragment.
Figure 9 shows that at Δy = 0.25d the fullerene assumes the position yavg = 1.937 ± 0.006 nm. As in the previous case (Figure 8), the strain rate has almost no effect on the average position that the fullerene assumes due to deformation. However, Figure 8 shows that xavg is 20.1% larger than yavg (Figure 9). This is due to the fact that there is a non-zero displacement of the central fullerene in the direction of the z-axis, characterized by the average positions zavg = −0.127, −0.134, −0.142 pm and the maximum amplitudes Amax = 0.255, 0.327, 0.423 pm for strain rates vdef = 1v*, 3v*, 5v*, respectively (see Figure 10). Therefore, the greater the strain rate, the greater the displacement of the fullerene in the direction perpendicular to the angular velocity and strain direction. In other words, the rolling effect [29] increases with increasing strain rate. This result suggests that the fullerene gyrodynamics are also sensitive to changes in the strain rate.

5. Conclusions

In this article, classical molecular dynamics calculations have been carried out to study the influence of nanoindentation on the dynamics of a rotating C60 fullerene in a crystalline fullerite using a hybrid discrete-continuous mathematical model. The results of the calculations showed that the behavior of the fullerene depends on the mutual direction of indentation deformation and the angular velocity. Their non-collinearity leads to displacement of the fullerene in the direction perpendicular to the direction of deformation (rolling effect) and a significant decrease in the directed force effect on the C60 fullerene. This displacement is carried out in the plane of motion of the carbon atoms of the fullerene and increases with an increase in the rate and magnitude of deformation.

Author Contributions

Conceptualization, A.M.B.; data curation, A.V.L.-F.; formal analysis, M.A.B.; funding acquisition, M.A.B.; investigation, M.A.B. and V.A.O.; methodology, A.M.B.; project administration, M.A.B.; software, V.A.O.; supervision, A.V.L.-F.; visualization, V.A.O.; writing—original draft, V.A.O.; writing—review and editing, V.A.O. and A.M.B. All authors have read and agreed to the published version of the manuscript.

Funding

This research was funded by Russian Science Foundation, grant number 21-71-10066.

Institutional Review Board Statement

Not applicable.

Informed Consent Statement

Not applicable.

Data Availability Statement

Not applicable.

Conflicts of Interest

The authors declare no conflict of interest.

References

  1. Du, Z.; Jannatun, N.; Yu, D.; Ren, J.; Huang, W.; Lu, X. C60-Decorated Nickel–Cobalt Phosphide as an Efficient and Robust Electrocatalyst for Hydrogen Evolution Reaction. Nanoscale 2018, 10, 23070–23079. [Google Scholar] [CrossRef] [PubMed]
  2. Arie, A.A.; Chang, W.; Lee, J.K. Effect of Fullerene Coating on Silicon Thin Film Anodes for Lithium Rechargeable Batteries. J. Solid State Electrochem. 2010, 14, 51–56. [Google Scholar] [CrossRef]
  3. Ginzburg, B.M.; Shibaev, L.A.; Kireenko, O.F.; Shepelevskii, A.A.; Baidakova, M.V.; Sitnikova, A.A. Antiwear Effect of Fullerene C60 Additives to Lubricating Oils. Russ. J. Appl. Chem. 2002, 75, 1330–1335. [Google Scholar] [CrossRef]
  4. Gudkov, S.V.; Simakin, A.V.; Sarimov, R.M.; Kurilov, A.D.; Chausov, D.N. Novel Biocompatible with Animal Cells Composite Material Based on Organosilicon Polymers and Fullerenes with Light-Induced Bacteriostatic Properties. Nanomaterials 2021, 11, 2804. [Google Scholar] [CrossRef] [PubMed]
  5. Mackiewicz, N.; Bark, T.; Cao, B.; Delaire, J.A.; Riehl, D.; Ling, W.L.; Foillard, S.; Doris, E. Fullerene-Functionalized Carbon Nanotubes as Improved Optical Limiting Devices. Carbon 2011, 49, 3998–4003. [Google Scholar] [CrossRef]
  6. Smazna, D.; Rodrigues, J.; Shree, S.; Postica, V.; Neubüser, G.; Martins, A.F.; Sedrine, N.B.; Jena, N.K.; Siebert, L.; Schütt, F.; et al. Buckminsterfullerene Hybridized Zinc Oxide Tetrapods: Defects and Charge Transfer Induced Optical and Electrical Response. Nanoscale 2018, 10, 10050–10062. [Google Scholar] [CrossRef]
  7. Penkova, A.V.; Acquah, S.F.; Piotrovskiy, L.B.; Markelov, D.A.; Semisalova, A.S.; Kroto, H.W. Fullerene Derivatives as Nano-Additives in Polymer Composites. Russ. Chem. Rev. 2017, 86, 530–566. [Google Scholar] [CrossRef]
  8. Prinzbach, H.; Weiler, A.; Landenberger, P.; Wahl, F.; Wörth, J.; Scott, L.T.; Gelmont, M.; Olevano, D.; Issendorff, B.V. Gas-Phase Production and Photoelectron Spectroscopy of the Smallest Fullerene, C20. Nature 2000, 407, 60–63. [Google Scholar] [CrossRef]
  9. Veclani, D.; Tolazzi, M.; Melchior, A. Molecular Interpretation of Pharmaceuticals’ Adsorption on Carbon Nanomaterials: Theory Meets Experiments. Processes 2020, 8, 642. [Google Scholar] [CrossRef]
  10. Krätschmer, W.; Lamb, L.D.; Fostiropoulos, K.; Huffman, D.R. Solid C60: A New Form of Carbon. Nature 1990, 347, 354–358. [Google Scholar] [CrossRef]
  11. Goodarzi, S.; Da Ros, T.; Conde, J.; Sefat, F.; Mozafari, M. Fullerene: Biomedical Engineers Get to Revisit an Old Friend. Mater. Today 2017, 20, 460–480. [Google Scholar] [CrossRef]
  12. Shen, H. The Compressive Mechanical Properties of Cn (n = 20, 60, 80, 180) and Endohedral M@C60 (M = Na, Al, Fe) Fullerene Molecules. Mol. Phys. 2007, 105, 2405–2409. [Google Scholar] [CrossRef]
  13. Ruoff, R.S.; Ruoff, A.L. The Bulk Modulus of C60 Molecules and Crystals: A Molecular Mechanics Approach. Appl. Phys. Lett. 1991, 59, 1553–1555. [Google Scholar] [CrossRef]
  14. Ruoff, R.S.; Ruoff, A.L. Is C60 Stiffer than Diamond? Nature 1991, 350, 663–664. [Google Scholar] [CrossRef]
  15. Ossipyan, Y.A.; Bobrov, V.S.; Grushko, Y.S.; Dilanyan, R.A.; Zharikov, O.V.; Lebyodkin, M.A.; Sheckhtman, V.S. On the Mechanical Properties of C60 Fullerite Crystals. Appl. Phys. Solids Surf. 1993, 56, 413–416. [Google Scholar] [CrossRef]
  16. Tycko, R.; Dabbagh, G.; Fleming, R.M.; Haddon, R.C.; Makhija, A.V.; Zahurak, S.M. Molecular Dynamics and the Phase Transition in Solid C60. Phys. Rev. Lett. 1991, 67, 1886–1889. [Google Scholar] [CrossRef]
  17. Johnson, R.D.; Yannoni, C.S.; Dorn, H.C.; Salem, J.R.; Bethune, D.S. C60 Rotation in the Solid State: Dynamics of a Faceted Spherical Top. Science 1992, 255, 1235–1238. [Google Scholar] [CrossRef]
  18. Johnson, R.D.; Yannoni, C.S.; Vries, M.S. de C60 Solid State Rotational Dynamics and Production and EPR Spectroscopy of Fullerenes Containing Metal Atoms. Nanotechnology 1992, 3, 164–166. [Google Scholar] [CrossRef]
  19. Maniwa, Y.; Mizoguchi, K.; Kume, K.; Kikuchi, K.; Ikemoto, I.; Suzuki, S.; Achiba, Y. NMR Investigation on the CS2- and Benzene-Grown C60 Crystals. Solid State Commun. 1991, 80, 609–612. [Google Scholar] [CrossRef]
  20. Lima, J.R.F.; Brandão, J.; Cunha, M.M.; Moraes, F. Effects of Rotation in the Energy Spectrum of C60. Eur. Phys. J. D 2014, 68, 94. [Google Scholar] [CrossRef]
  21. Wolski, P.; Nieszporek, K.; Panczyk, T. Multimodal, PH Sensitive, and Magnetically Assisted Carrier of Doxorubicin Designed and Analyzed by Means of Computer Simulations. Langmuir 2018, 34, 2543–2550. [Google Scholar] [CrossRef] [PubMed]
  22. Yang, S.; Wei, T.; Scheurell, K.; Kemnitz, E.; Troyanov, S.I. Chlorination-Promoted Skeletal-Cage Transformations of C88 Fullerene by C2 Losses and a C–C Bond Rotation. Chem. Eur. J. 2015, 21, 15138–15141. [Google Scholar] [CrossRef] [PubMed]
  23. Khalid, F.A.; Beffort, O.; Klotz, U.E.; Keller, B.A.; Gasser, P.; Vaucher, S. Study of Microstructure and Interfaces in an Aluminium–C60 Composite Material. Acta Mater. 2003, 51, 4575–4582. [Google Scholar] [CrossRef]
  24. Horikawa, T.; Kinoshita, T.; Suito, K.; Onodera, A. Compressibility Measurement of C60 Using Synchrotron Radiation. Solid State Commun. 2000, 114, 121–125. [Google Scholar] [CrossRef]
  25. Sundqvist, B. Fullerenes under High Pressures. Adv. Phys. 1999, 48, 1–134. [Google Scholar] [CrossRef]
  26. Spitsina, N.G.; Motyakin, M.V.; Bashkin, I.V.; Meletov, K.P. C60 Fullerene and Its Molecular Complexes under Axial and Shear Deformation. J. Phys. Condens. Matter 2002, 14, 11089–11092. [Google Scholar] [CrossRef]
  27. Giacalone, F.; Martín, N. Fullerene Polymers: Synthesis and Properties. Chem. Rev. 2006, 106, 5136–5190. [Google Scholar] [CrossRef]
  28. Makarova, T.L. Electrical and Optical Properties of Pristine and Polymerized Fullerenes. Semiconductors 2001, 35, 243–278. [Google Scholar] [CrossRef]
  29. Ren, S.; Yang, S.; Zhao, Y. Preparation and Tribological Studies of C60 Thin Film Chemisorbed on a Functional Polymer Surface. Langmuir 2004, 20, 3601–3605. [Google Scholar] [CrossRef]
  30. Seo, K.-J.; Kim, D.-E. Molecular Dynamics Investigation on the Nano-Mechanical Behaviour of C60 Fullerene and Its Crystallized Structure. Nanoscale 2020, 12, 9849–9858. [Google Scholar] [CrossRef]
  31. Nisha, M.S.; Mullai Venthan, S.; Senthil Kumar, P.; Singh, D. Tribological Properties of Carbon Nanotube and Carbon Nanofiber Blended Polyvinylidene Fluoride Sheets Laminated on Steel Substrates. Int. J. Chem. Eng. 2022, 2022, 1–6. [Google Scholar] [CrossRef]
  32. Ku, B.-C.; Han, Y.-C.; Lee, J.-E.; Lee, J.-K.; Park, S.-H.; Hwang, Y.-J. Tribological Effects of Fullerene (C60) Nanoparticles Added in Mineral Lubricants According to Its Viscosity. Int. J. Precis. Eng. Manuf. 2010, 11, 607–611. [Google Scholar] [CrossRef]
  33. Bubenchikov, M.A.; Bubenchikov, A.M.; Lun-Fu, A.V.; Ovchinnikov, V.A. Rotational Dynamics of Fullerenes in the Molecular Crystal of Fullerite. Phys. Status Solidi A 2021, 218, 2000174. [Google Scholar] [CrossRef]
  34. Lun-Fu, A.V.; Bubenchikov, A.M.; Bubenchikov, M.A.; Ovchinnikov, V.A. Numerical Simulation of Interaction between Kr+ Ion and Rotating C60 Fullerene towards for Nanoarchitectonics of Fullerene Materials. Crystals 2021, 11, 1204. [Google Scholar] [CrossRef]
  35. Won Kang, J.; Jung Hwang, H. Fullerene Shuttle Memory Device: Classical Molecular Dynamics Study. J. Phys. Soc. Jpn. 2004, 73, 1077–1081. [Google Scholar] [CrossRef]
  36. Sławianowski, J.J.; Kotowski, R.K. Classical Dynamics of Fullerenes. Z. Für Angew. Math. Phys. 2017, 68, 55. [Google Scholar] [CrossRef]
  37. Lun-Fu, A.V.; Bubenchikov, A.M.; Bubenchikov, M.A.; Ovchinnikov, V.A. Molecular Dynamics Study of Collective Behavior of Carbon Nanotori in Columnar Phase. Crystals 2021, 11, 1197. [Google Scholar] [CrossRef]
  38. Heiney, P.A.; Fischer, J.E.; McGhie, A.R.; Romanow, W.J.; Denenstein, A.M.; McCauley , J.P., Jr.; Smith, A.B.; Cox, D.E. Orientational Ordering Transition in Solid C60. Phys. Rev. Lett. 1991, 66, 2911–2914. [Google Scholar] [CrossRef]
  39. Sivkov, D.V.; Petrova, O.V.; Nekipelov, S.V.; Vinogradov, A.S.; Skandakov, R.N.; Bakina, K.A.; Isaenko, S.I.; Ob’edkov, A.M.; Kaverin, B.S.; Sivkov, V.N. The Formation of Nanoscale Closed Graphene Surfaces during Fullerite C60 Hot Isostatic Pressing. Appl. Sci. 2021, 11, 11646. [Google Scholar] [CrossRef]
  40. Baowan, D.; Hill, J.M. Mathematical Modeling of Interaction Energies between Nanoscale Objects: A Review of Nanotechnology Applications. Adv. Mech. Eng. 2016, 8, 168781401667702. [Google Scholar] [CrossRef]
  41. Thamwattana, N.; Baowan, D.; Hill, J.M. Continuum Modelling for Interactions Between Fullerenes and Other Carbon Nanostructures. J. Comput. Theor. Nanosci. 2009, 6, 972–984. [Google Scholar] [CrossRef]
  42. Gupta, S.S.; Batra, R.C. Elastic Properties and Frequencies of Free Vibrations of Single-Layer Graphene Sheets. J. Comput. Theor. Nanosci. 2010, 7, 2151–2164. [Google Scholar] [CrossRef]
  43. Tersoff, J. New Empirical Approach for the Structure and Energy of Covalent Systems. Phys. Rev. B 1988, 37, 6991–7000. [Google Scholar] [CrossRef] [PubMed]
  44. Kulagina, V.V.; Starostenkov, M.D.; Potekaev, A.I. Multiparticle effective interatomic potentials in computational materials science. Basic Probl. Mater. Sci. 2011, 8, 20–27. [Google Scholar]
  45. Ortega, J.M.; Poole, W.G. An Introduction to Numerical Methods for Differential Equations; Pitman: Marshfield, MA, USA, 1981; ISBN 978-0-273-01686-1. [Google Scholar]
  46. Arora, G.; Joshi, V.; Garki, I.S. Developments in Runge–Kutta Method to Solve Ordinary Differential Equations. In Recent Advances in Mathematics for Engineering; Ram, M., Ed.; CRC Press: Boca Raton, FL, USA , 2020; ISBN 978-0-429-20030-4. [Google Scholar]
  47. Girifalco, L.A. Interaction Potential for Carbon (C60) Molecules. J. Phys. Chem. 1991, 95, 5370–5371. [Google Scholar] [CrossRef]
  48. Girifalco, L.A. Extended Mie-Grüneisen Theory Applied to C60 in the Disordered Fcc Phase. Phys. Rev. B 1995, 52, 9910–9916. [Google Scholar] [CrossRef]
  49. Gray, R.C. Gyroscopic Principles and Applications. Nature 1944, 153, 277–278. [Google Scholar] [CrossRef]
  50. Usubamatov, R. New Analytical Approach for Finding the Gyroscope Forces and Its Properties. Asian J. Sci. Res. 2017, 10, 380–386. [Google Scholar] [CrossRef][Green Version]
  51. Usubamatov, R. Physics of Gyroscope Nutation. AIP Adv. 2019, 9, 105101. [Google Scholar] [CrossRef]
Figure 1. Scheme of a crystalline fragment of fullerite consisting of 63 fullerene molecules.
Figure 1. Scheme of a crystalline fragment of fullerite consisting of 63 fullerene molecules.
Crystals 12 00260 g001
Figure 2. Time dependence of the projection of the instantaneous angular velocity on the ξ-axis.
Figure 2. Time dependence of the projection of the instantaneous angular velocity on the ξ-axis.
Crystals 12 00260 g002
Figure 3. Rectilinear motion of the central molecule at various values of x-strain (13 molecules).
Figure 3. Rectilinear motion of the central molecule at various values of x-strain (13 molecules).
Crystals 12 00260 g003
Figure 4. Rectilinear motion of the central molecule at various values of x-strain (25 molecules).
Figure 4. Rectilinear motion of the central molecule at various values of x-strain (25 molecules).
Crystals 12 00260 g004
Figure 5. Time dependence of the y-coordinate of the center of mass of the central fullerene at various y-deformations.
Figure 5. Time dependence of the y-coordinate of the center of mass of the central fullerene at various y-deformations.
Crystals 12 00260 g005
Figure 6. Time dependence of the z-coordinate of the center of mass of the central fullerene at various y-deformations.
Figure 6. Time dependence of the z-coordinate of the center of mass of the central fullerene at various y-deformations.
Crystals 12 00260 g006
Figure 7. Scheme of motion of a C60 fullerene rotating with an angular velocity directed along the x-axis when the force is directed along (a) the x-axis or (b) the y-axis. The force acting on the material is denoted as F.
Figure 7. Scheme of motion of a C60 fullerene rotating with an angular velocity directed along the x-axis when the force is directed along (a) the x-axis or (b) the y-axis. The force acting on the material is denoted as F.
Crystals 12 00260 g007
Figure 8. Time dependence of the x-coordinate of the center of mass of the central fullerene at different rates of x-deformation of the fullerite.
Figure 8. Time dependence of the x-coordinate of the center of mass of the central fullerene at different rates of x-deformation of the fullerite.
Crystals 12 00260 g008
Figure 9. Time dependence of the y-coordinate of the center of mass of the central fullerene at different rates of y-deformation of the fullerite.
Figure 9. Time dependence of the y-coordinate of the center of mass of the central fullerene at different rates of y-deformation of the fullerite.
Crystals 12 00260 g009
Figure 10. Time dependence of the z-coordinate of the center of mass of the central fullerene at different rates of y-deformation of the fullerite.
Figure 10. Time dependence of the z-coordinate of the center of mass of the central fullerene at different rates of y-deformation of the fullerite.
Crystals 12 00260 g010
Publisher’s Note: MDPI stays neutral with regard to jurisdictional claims in published maps and institutional affiliations.

Share and Cite

MDPI and ACS Style

Lun-Fu, A.V.; Bubenchikov, A.M.; Bubenchikov, M.A.; Ovchinnikov, V.A. Computational Analysis of Strain-Induced Effects on the Dynamic Properties of C60 in Fullerite. Crystals 2022, 12, 260. https://doi.org/10.3390/cryst12020260

AMA Style

Lun-Fu AV, Bubenchikov AM, Bubenchikov MA, Ovchinnikov VA. Computational Analysis of Strain-Induced Effects on the Dynamic Properties of C60 in Fullerite. Crystals. 2022; 12(2):260. https://doi.org/10.3390/cryst12020260

Chicago/Turabian Style

Lun-Fu, Aleksandr V., Alexey M. Bubenchikov, Mikhail A. Bubenchikov, and Vyacheslav A. Ovchinnikov. 2022. "Computational Analysis of Strain-Induced Effects on the Dynamic Properties of C60 in Fullerite" Crystals 12, no. 2: 260. https://doi.org/10.3390/cryst12020260

APA Style

Lun-Fu, A. V., Bubenchikov, A. M., Bubenchikov, M. A., & Ovchinnikov, V. A. (2022). Computational Analysis of Strain-Induced Effects on the Dynamic Properties of C60 in Fullerite. Crystals, 12(2), 260. https://doi.org/10.3390/cryst12020260

Note that from the first issue of 2016, this journal uses article numbers instead of page numbers. See further details here.

Article Metrics

Back to TopTop