Electronic Structure and Optical Properties of Cu2ZnSnS4 under Stress Effect
Abstract
1. Introduction
2. Methods and Calculations
3. Results and Discussion
3.1. Geometry Optimization
3.2. Electronic Structure
3.2.1. Band Structure
3.2.2. Density of Electronic States
3.3. Optical Properties
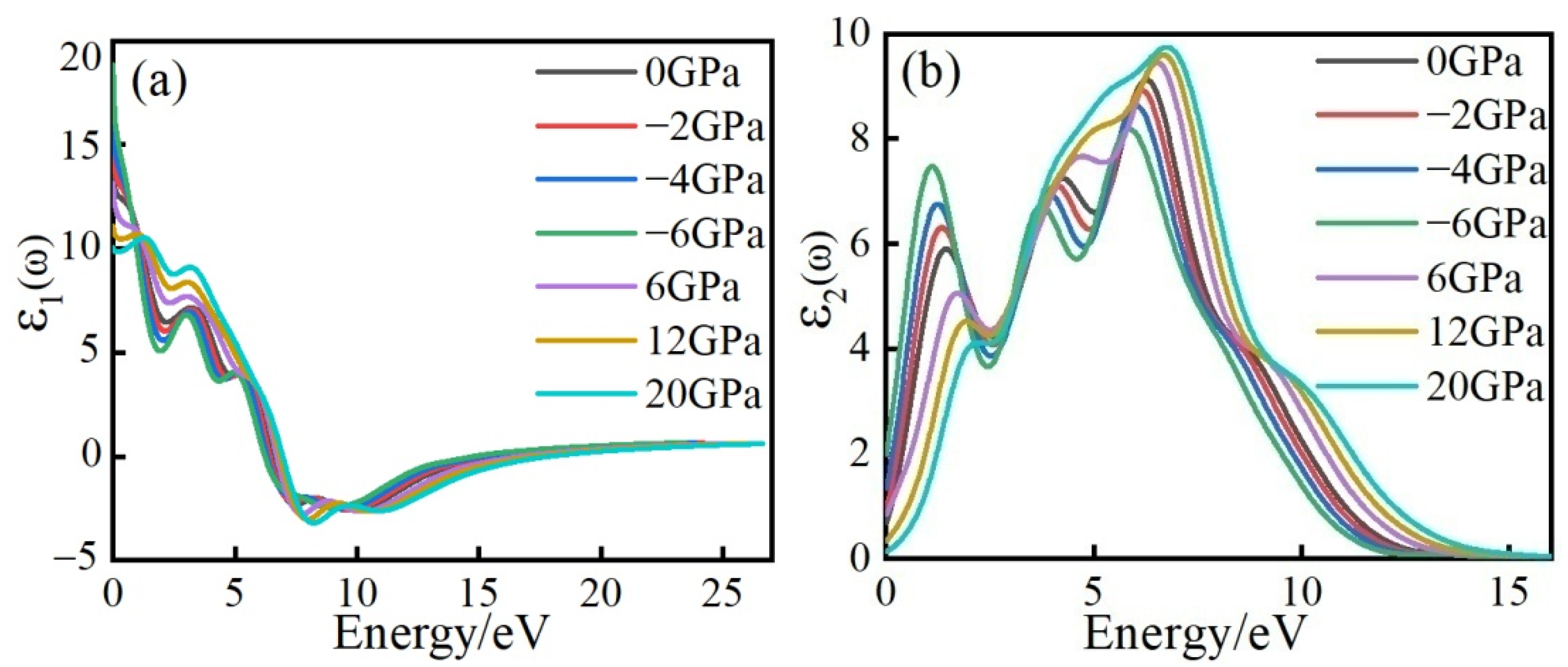
3.3.1. Complex Dielectric Function
3.3.2. Absorption and Reflection Spectra
3.3.3. Complex Refractive Index
3.3.4. Complex Conductivity
3.3.5. The Energy Loss Function
4. Conclusions
Author Contributions
Funding
Institutional Review Board Statement
Informed Consent Statement
Data Availability Statement
Acknowledgments
Conflicts of Interest
References
- Yue, Q.; Liu, W.; Zhu, X. N-Type Molecular Photovoltaic Materials: Design Strategies and Device Applications. J. Am. Chem. Soc. 2020, 142, 11613–11628. [Google Scholar] [CrossRef] [PubMed]
- Sun, J.M.; Zhao, E.; Liang, J.; Li, H.; Zhao, S.; Wang, G.; Gu, X.; Tang, B.Z. Diradical-Featured Organic Small-Molecule Photothermal Material with High-Spin State in Dimers for Ultra-Broadband Solar Energy Harvesting. Adv. Mater. 2022, 34, 2108048. [Google Scholar] [CrossRef] [PubMed]
- Harijan, D.; Gupta, S.; Ben, S.K.; Srivastava, A.; Singh, J.; Chandra, V. High photocatalytic efficiency of α-Fe2O3-ZnO composite using solar energy for methylene blue degradation. Phys. B Condens. Matter 2022, 627, 413567. [Google Scholar] [CrossRef]
- Hu, Y.-H.; Li, M.-J.; Zhou, Y.-P.; Xi, H.; Hung, T.-C. Multi-physics investigation of a GaAs solar cell based PV-TE hybrid system with a nanostructured front surface. Sol. Energy 2021, 224, 102–111. [Google Scholar] [CrossRef]
- Celline, A.C.; Subagja, A.Y.; Suryaningsih, S.; Aprilia, A.; Safriani, L. Synthesis of TiO2-rGO Nanocomposite and its Application as Photoanode of Dye-Sensitized Solar Cell (DSSC). Mater. Sci. Forum 2021, 1028, 151–156. [Google Scholar] [CrossRef]
- Guo, W.H.; Zhu, Y.H.; Zhang, M.; Du, J.; Cen, Y.; Liu, S.; He, Y.; Zhong, H.; Wang, X.; Shi, J. The Dion–Jacobson perovskite CsSbCl4: A promising Pb-free solar-cell absorber with optimal bandgap 1.4 eV, strong optical absorption 105 cm−1, and large power-conversion efficiency above 20%. J. Mater. Chem. A 2021, 9, 16436–16446. [Google Scholar] [CrossRef]
- Das, B.; Hossain, S.M.; Nandi, A.; Samanta, D.; Pramanick, A.K.; Chapa, S.O.M.; Ray, M. Spectral conversion by silicon nanocrystal dispersed gel glass: Efficiency enhancement of silicon solar cell. J. Phys. D Appl. Phys. 2021, 55, 025106. [Google Scholar] [CrossRef]
- Yan, F.R.; Yang, P.Z.; Li, J.B.; Guo, Q.; Zhang, Q.; Zhang, J.; Duan, Y.; Duan, J.; Tang, Q. Healing soft interface for stable and high-efficiency all-inorganic CsPbIBr2 perovskite solar cells enabled by S-benzylisothiourea hydrochloride. Chem. Eng. J. 2021, 430, 132781. [Google Scholar] [CrossRef]
- Bi, P.; Zhang, S.; Chen, Z.; Xu, Y.; Cui, Y.; Zhang, T.; Ren, J.; Qin, J.; Hong, L.; Hao, X.; et al. Reduced non-radiative charge recombination enables organic photovoltaic cell approaching 19% efficiency. Joule 2021, 5, 2408–2419. [Google Scholar] [CrossRef]
- Khataee, A.; Azevedo, J.; Dias, P.; Ivanou, D.; Dražević, E.; Bentien, A.; Mendes, A. Integrated design of hematite and dye-sensitized solar cell for unbiased solar charging of an organic-inorganic redox flow battery. Nano Energy 2019, 62, 832–843. [Google Scholar] [CrossRef]
- Shen, L.; Li, H.; Meng, X.; Li, F. Transfer printing of fully formed microscale InGaP/GaAs/InGaNAsSb cell on Ge cell in mechanically-stacked quadruple-junction architecture. Sol. Energy 2020, 195, 6–13. [Google Scholar] [CrossRef]
- Lin, S.; Xie, S.; Lei, Y.; Gan, T.; Wu, L.; Zhang, J.; Yang, Y. Betavoltaic battery prepared by using polycrystalline CdTe as absorption layer. Opt. Mater. 2022, 127, 112265. [Google Scholar]
- Yeojun, Y.; Sunghyun, M.; Sangin, K.; Jaejin, L. Flexible fabric-based GaAs thin-film solar cell for wearable energy harvesting applications. Sol. Energy Mater. Sol. Cells 2022, 246, 111930. [Google Scholar]
- Fatemeh, G.Y.; Ali, F. Performance enhancement of CIGS solar cells using ITO as buffer layer. Micro Nanostruct. 2022, 168, 207289. [Google Scholar]
- Minemoto, T.; Matsui, T.; Takakura, H.; Hamakawa, Y.; Negami, T.; Hashimoto, Y.; Uenoyama, T.; Kitagawa, M. Theoretical analysis of the effect of conduction band offset of window/CIS layers on performance of CIS solar cells using device simulation. Sol. Energy Mater. Sol. Cells 2001, 67, 83–88. [Google Scholar]
- Pan, B.; Wei, M.; Liu, W.; Jiang, G.; Zhu, C. Fabrication of Cu2ZnSnS4 absorber layers with adjustable Zn/Sn and Cu/Zn+Sn ratios. J. Mater. Sci. Mater. Electron. 2014, 25, 3344–3352. [Google Scholar] [CrossRef]
- Tablero, C. Effect of the oxygen isoelectronic substitution in Cu2ZnSnS4 and its photovoltaic application. Thin Solid Films 2012, 520, 5011–5013. [Google Scholar] [CrossRef]
- Su, Z.H.; Liang, G.X.; Fan, P.; Luo, J.; Zheng, Z.; Xie, Z.; Wang, W.; Chen, S.; Hu, J.; Wei, Y.; et al. Device Postannealing Enabling over 12% Efficient Solution-Processed Cu2ZnSnS4 Solar Cells with Cd2+ Substitution. Adv. Mater. 2020, 32, 2000121. [Google Scholar] [CrossRef]
- Andrea, C.; Ole, H. What is the band alignment of Cu2ZnSn(S,Se)4 solar cells. Sol. Energy Mater. Sol. Cells 2017, 169, 177–194. [Google Scholar]
- Bao, W.; Ichimura, M. Prediction of the Band Offsets at the CdS/Cu₂ZnSnS₄ Interface Based on the First-Principles Calculation. Jpn. J. Appl. Phys. 2012, 51, 10NC31. [Google Scholar] [CrossRef]
- Su, Z.; Tan, J.; Li, X.; Zeng, X.; Batabyal, S.K.; Wong, L.H. Cation Substitution of Solution-Processed Cu2ZnSnS4 Thin Film Solar Cell with over 9% Efficiency. Adv. Energy Mater. 2015, 5, 1500682. [Google Scholar] [CrossRef]
- Kim, S.; Kim, K.M.; Tampo, H.; Shibata, H.; Niki, S. Improvement of voltage deficit of Ge-incorporated kesterite solar cell with 12.3% conversion efficiency. Appl. Phys. Express 2016, 9, 102301. [Google Scholar] [CrossRef]
- Chen, S.; Gong, X.G.; Wei, S.H. Band-structure anomalies of the chalcopyrite semiconductors CuGaX2 versus AgGaX2 (X=S and Se) and their alloys. Phys. Rev. B 2007, 75, 205209. [Google Scholar] [CrossRef]
- Walsh, A.; Chen, S.; Wei, S.H.; Gong, X.G. Kesterite Thin-Film Solar Cells: Advances in Materials Modelling of Cu2ZnSnS4. Adv. Energy Mater. 2012, 2, 400–409. [Google Scholar] [CrossRef]
- Tian, Y.; Zheng, Q.; Zhao, J. Tensile Strain-Controlled Photogenerated Carrier Dynamics at the van der Waals Heterostructure Interface. J. Phys. Chem. Lett. 2020, 11, 586–590. [Google Scholar] [CrossRef] [PubMed]
- Fan, L.L.; Chen, S.; Luo, Z.L.; Liu, Q.H.; Wu, Y.F.; Song, L.; Ji, D.X.; Wang, P.; Chu, W.S.; Gao, C.; et al. Strain Dynamics of Ultrathin VO2 Film Grown on TiO2 (001) and the Associated Phase Transition Modulation. Nano Lett. 2014, 14, 4036–4043. [Google Scholar] [CrossRef]
- LYU, L.; Yang, Y.Y.; CEN, W.F.; YAO, B.; OU, J.K. First-principles Study on Optical Properties of Cubic Ca2Ge under Stress Effect. Bull. Chin. Ceram. Soc. 2019, 38, 3788–3795. [Google Scholar]
- Yan, W.J.; Zhang, C.H.; Gui, F.; Zhang, Z. Electronic Structure and Optical Properties of Stressed β-FeSi2. Acta Opt. Sin. 2013, 33, 243–249. [Google Scholar]
- Lazarovits, B.; Kim, K.; Haule, K.; Kotliar, G. Effects of strain on the electronic structure of VO2. Phys. Rev. B 2010, 81, 115117. [Google Scholar] [CrossRef]
- Manyk, T.; Rutkowski, J.; Kopytko, M.; Martyniuk, P. Theoretical Study of the Effect of Stresses on Effective Masses in the InAs/InAsSb Type-II Superlattice. Eng. Proc. 2022, 21, 16. [Google Scholar]
- Schorr, S.; Hoebler, H.J.; Tovar, M. A neutron diffraction study of the stannite-kesterite solid solution series. Eur. J. Mineral. 2007, 19, 65–73. [Google Scholar]
- Segall, M.D.; Lindan, P.; Probert, M.J.; Pickard, C.J.; Hasnip, P.J.; Clark, S.J.; Payne, M.C. First-principles simulation: Ideas, illustrations and the CASTEP code. J. Phys. Condens. Matter 2002, 14, 2717–2744. [Google Scholar] [CrossRef]
- Perdew, J.P.; Burke, K.; Ernzerhof, M. Generalized Gradient Approximation Made Simple. Phys. Rev. Lett. 1996, 77, 3865–3868. [Google Scholar] [CrossRef] [PubMed]
- Vanderbilt, D. Soft self-consistent pseudopotentials in a generalized eigenvalue formalism. Phys. Rev. B 1990, 41, 7892–7895. [Google Scholar] [CrossRef] [PubMed]
- Liu, J. First-Principles Prediction of Structural, Elastic, Mechanical, and Electronic Properties of Cu2ZnSnS4 under Pressure. ECS J. Solid State Sci. Technol. 2022, 11, 073011. [Google Scholar] [CrossRef]
- Kumar, M.; Zhao, H.; Persson, C. Cation vacancies in the alloy compounds of Cu2ZnSn(S1−xSex)4 and CuIn(S1−xSex)2. Thin Solid Films 2013, 535, 318–321. [Google Scholar] [CrossRef]
- Kheraj, V.; Patel, K.K.; Patel, S.J.; Shah, D.V. Synthesis and characterisation of Copper Zinc Tin Sulphide (CZTS) compound for absorber material in solar-cells. J. Cryst. Growth 2013, 362, 174–177. [Google Scholar]
- Zhao, H.; Persson, C. Optical properties of Cu(In,Ga)Se2and Cu2ZnSn(S,Se)4. Thin Solid Films 2011, 519, 7508–7512. [Google Scholar] [CrossRef]
- Hoo, Q.Y.; Xu, Y. Detection of dielectric screening effect by excitons in two-dimensional semiconductors and its application. Acta Phys. Sin. 2022, 71, 124–138. [Google Scholar]
- Prokopidis, K.; Kalialakis, C. Physical interpretation of a modified Lorentz dielectric function for metals based on the Lorentz–Dirac force. Appl. Phys. B 2014, 117, 25–32. [Google Scholar] [CrossRef]
- Nainaa, F.Z.; Bekkioui, N.; Abbassi, A.; Ez, Z.H. First principle study of structural, electronic optical and electric properties of Ag2MnSnS4. Comput. Condens. Matter 2019, 22, e00443. [Google Scholar] [CrossRef]
- Scragg, J.J.; Dale, P.J.; Peter, L.M.; Zoppi, G.; Forbes, I. New routes to sustainable photovoltaics: Evaluation of Cu2ZnSnS4 as an alternative absorber material. Phys. Status Solidi 2010, 245, 1772–1778. [Google Scholar] [CrossRef]
- Kahlaoui, S.; Belhorma, B.; Labrim, H.; Boujnah, M.; Regragui, M. Strain effects on the electronic, optical and electrical properties of Cu2ZnSnS4: DFT study. Heliyon 2020, 6, e03713. [Google Scholar] [CrossRef] [PubMed]











| Stress/GPa | a/Å | b/Å | c/Å | V/Å3 |
|---|---|---|---|---|
| −6 | 5.688 | 5.688 | 11.377 | 368.043 |
| −4 | 5.602 | 5.602 | 11.202 | 351.220 |
| −2 | 5.528 | 5.528 | 11.061 | 338.034 |
| 0 | 5.469 | 5.469 | 10.944 | 327.377 |
| Theoretical [36] | 5.469 | 5.469 | 10.921 | 326.647 |
| Experimental [37] | 5.427 | 5.427 | 10.854 | 319.676 |
| 6 | 5.338 | 5.338 | 10.673 | 304.123 |
| 12 | 5.240 | 5.240 | 10.480 | 287.732 |
| 20 | 5.149 | 5.149 | 10.242 | 271.568 |
Publisher’s Note: MDPI stays neutral with regard to jurisdictional claims in published maps and institutional affiliations. |
© 2022 by the authors. Licensee MDPI, Basel, Switzerland. This article is an open access article distributed under the terms and conditions of the Creative Commons Attribution (CC BY) license (https://creativecommons.org/licenses/by/4.0/).
Share and Cite
Yang, X.; Qin, X.; Yan, W.; Zhang, C.; Zhang, D.; Guo, B. Electronic Structure and Optical Properties of Cu2ZnSnS4 under Stress Effect. Crystals 2022, 12, 1454. https://doi.org/10.3390/cryst12101454
Yang X, Qin X, Yan W, Zhang C, Zhang D, Guo B. Electronic Structure and Optical Properties of Cu2ZnSnS4 under Stress Effect. Crystals. 2022; 12(10):1454. https://doi.org/10.3390/cryst12101454
Chicago/Turabian StyleYang, Xiufan, Xinmao Qin, Wanjun Yan, Chunhong Zhang, Dianxi Zhang, and Benhua Guo. 2022. "Electronic Structure and Optical Properties of Cu2ZnSnS4 under Stress Effect" Crystals 12, no. 10: 1454. https://doi.org/10.3390/cryst12101454
APA StyleYang, X., Qin, X., Yan, W., Zhang, C., Zhang, D., & Guo, B. (2022). Electronic Structure and Optical Properties of Cu2ZnSnS4 under Stress Effect. Crystals, 12(10), 1454. https://doi.org/10.3390/cryst12101454
