Nanosheet-Assembled MnO2-Integrated Electrode Based on the Low-Temperature and Green Chemical Route
Abstract
:1. Introduction
2. Materials and Methods
2.1. Sample Synthesis
2.2. Materials Characterization
2.3. Electrochemical Measurements
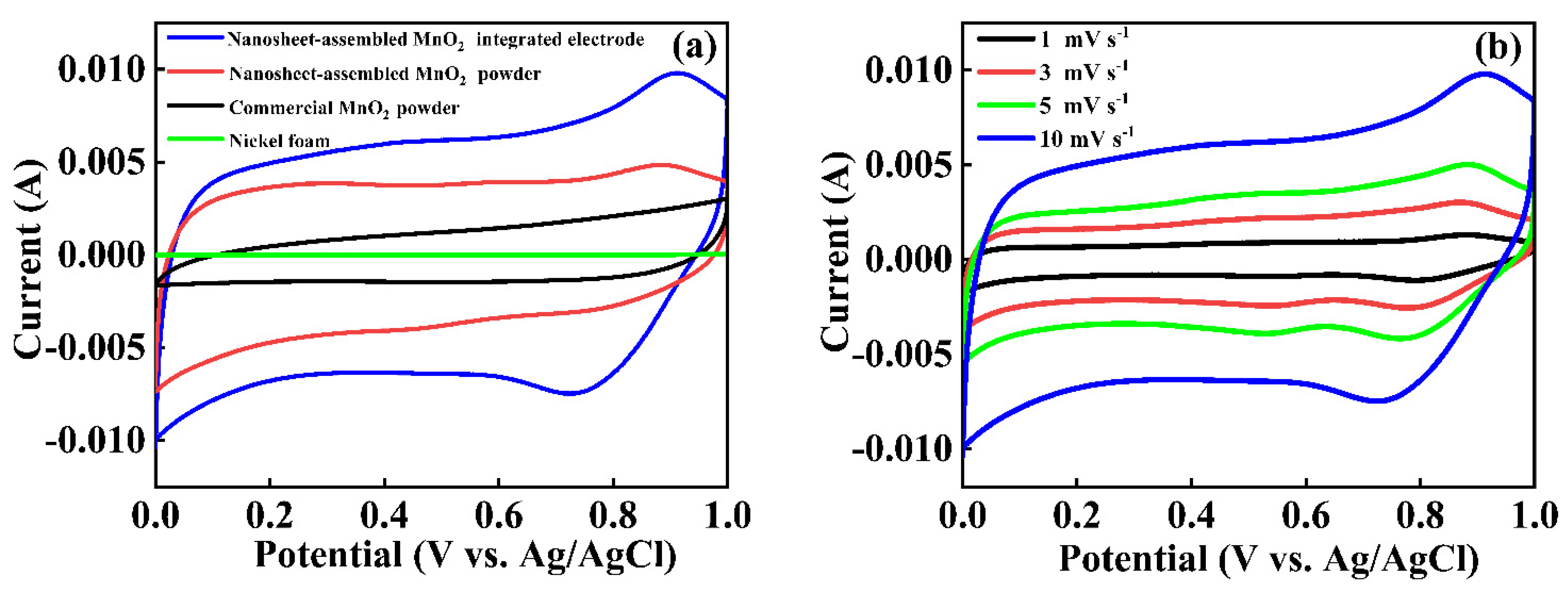
3. Results
4. Conclusions
Supplementary Materials
Author Contributions
Funding
Institutional Review Board Statement
Informed Consent Statement
Data Availability Statement
Acknowledgments
Conflicts of Interest
References
- El-Kady, M.F.; Strong, V.; Dubin, S.; Kaner, R.B. Laser scribing of high-performance and flexible graphene-based electrochemical capacitors. Science 2012, 335, 1326–1330. [Google Scholar] [CrossRef] [PubMed] [Green Version]
- Liu, J.H.; Ji, L.; Wang, X.; Duan, L.M.; Zhou, J.Q.; Jia, Y.F.; Zeng, S.M.; Huang, K.K.; Geng, Z.B.; Wang, X.Y.; et al. Commercial-level energy storage via free-standing stacking electrodes. Matter 2019, 1, 1–16. [Google Scholar] [CrossRef] [Green Version]
- Jia, X.X.; Liu, C.F.; Neale, Z.G.; Yang, J.H.; Cao, G.Z. Active materials for aqueous zinc ion batteries: Synthesis, crystal structure, morphology, and electrochemistry. Chem. Rev. 2020, 120, 7795–7866. [Google Scholar] [CrossRef]
- Simon, P.; Gogotsi, Y. Materials for electrochemical capacitors. Nat. Mater. 2008, 7, 845–854. [Google Scholar] [CrossRef] [PubMed] [Green Version]
- Wang, X.; Li, X.Y.; Li, Q.; Li, H.S.; Xu, J.; Wang, H.; Zhao, G.X.; Lu, L.S.; Lin, X.Y.; Li, H.L.; et al. Improved electrochemical performance based on nanostructured SnS2@CoS2–rGO composite anode for sodium-ion batteries. Nano-Micro Lett. 2018, 10, 46–57. [Google Scholar] [CrossRef] [Green Version]
- Zhong, C.; Deng, Y.D.; Hu, W.B.; Qiao, J.L.; Zhang, L.; Zhang, J.J. A review of electrolyte materials and compositions for electrochemical supercapacitors. Chem. Soc. Rev. 2015, 44, 7484–7539. [Google Scholar] [CrossRef]
- Huang, M.; Li, F.; Dong, F.; Zhang, Y.X.; Zhang, L.L. MnO2-based nanostructures for high-performance supercapacitors. J. Mater. Chem. A 2015, 3, 21380–21423. [Google Scholar] [CrossRef]
- Huang, Z.H.; Song, Y.; Feng, D.Y.; Sun, Z.; Sun, X.Q.; Liu, X.X. High mass loading MnO2 with hierarchical nanostructures for supercapacitors. ACS Nano 2018, 12, 3557–3567. [Google Scholar] [CrossRef] [PubMed]
- Lang, X.; Hirata, A.; Fujita, T.; Chen, M.W. Nanoporous metal/oxide hybrid electrodes for electrochemical supercapacitors. Nat. Nanotechnol. 2011, 6, 232–236. [Google Scholar] [CrossRef]
- Sheberla, D.; Bachman, J.C.; Elias, J.S.; Sun, C.J.; Shao-Horn, Y.; Dincă, M. Conductive MOF electrodes for stable supercapacitors with high areal capacitance. Nat. Mater. 2017, 16, 220–224. [Google Scholar]
- Kwon, N.H.; Lee, K.G.; Kim, H.K.; Hwang, S.J. MnO2-based nanostructured materials for various energy applications. Mater. Chem. Front. 2021, 5, 3549–3575. [Google Scholar] [CrossRef]
- Zhang, Y.; Yuan, X.M.; Lu, W.B.; Yan, Y.S.; Zhu, J.W.; Chou, T.W. MnO2 based sandwich structure electrode for supercapacitor with large voltage window and high mass loading. Chem. Eng. J. 2019, 368, 525–532. [Google Scholar] [CrossRef]
- Mubarik, S.; Qureshi, N.; Sattar, Z.; Shaheen, A.; Kalsoom, A.; Imran, M.; Hanif, F. Synthetic approach to rice waste-derived carbon-based nanomaterials and their applications. Nanomanufacturing 2021, 1, 109–159. [Google Scholar] [CrossRef]
- Korkmaz, S.; Kariper, I.A. Graphene and graphene oxide based aerogels: Synthesis, characteristics and supercapacitor applications. J. Energy Storage 2020, 27, 101038–101049. [Google Scholar] [CrossRef]
- Ji, H.; Zhao, X.; Qiao, Z.; Jung, J.; Zhu, Y.; Lu, Y.; Zhang, L.L. Capacitance of carbon-based electrical double-layer capacitors. Nat. Commun. 2014, 5, 3317–3323. [Google Scholar] [CrossRef]
- Yu, G.H.; Hu, L.B.; Liu, N.; Wang, H.L.; Vosgueritchian, M.; Yang, Y.; Cui, Y.; Bao, Z.N. Enhancing the supercapacitor performance of graphene/MnO2 nanostructured electrodes by conductive wrapping. Nano Lett. 2011, 11, 4438–4442. [Google Scholar] [CrossRef]
- Li, M.; Xiao, H.; Zhang, T.; Li, Q.; Zhao, Y. Activated carbon fiber derived from sisal with large specific surface area for high-performance supercapacitors. ACS Sustain. Chem. Eng. 2019, 7, 4716–4723. [Google Scholar] [CrossRef]
- Liu, R.; Jiang, R.; Chu, Y.H.; Yang, W.D. Facile fabrication of MnO2/graphene/Ni foam composites for high-performance supercapacitors. Nanomaterials 2021, 11, 2736. [Google Scholar] [CrossRef]
- Zhang, L.; Zhang, X.; Wang, J.; Seveno, D.; Fransaer, J.; Locquet, J.P.; Seo, J.W. Carbon nanotube fibers decorated with MnO2 for wire-shaped supercapacitor. Molecules 2021, 26, 3479. [Google Scholar] [CrossRef]
- Wang, J.G.; Kang, F.Y.; Wei, B.Q. Engineering of MnO2-based nanocomposites for high-performance supercapacitors. Prog. Mater. Sci. 2015, 74, 51–124. [Google Scholar] [CrossRef]
- Xu, P.; Wei, B.Q.; Cao, Z.Y.; Zheng, J.; Gong, K.; Li, F.X.; Yu, J.Y.; Li, Q.W.; Lu, W.B.; Byun, J.H.; et al. Stretchable wire-shaped asymmetric supercapacitors based on pristine and MnO2 coated carbon nanotube fibers. ACS Nano 2015, 9, 6088–6096. [Google Scholar] [CrossRef] [PubMed]
- Jabeen, N.; Xia, Q.Y.; Savilov, S.V.; Aldoshin, S.M.; Yu, Y.; Xia, H. Enhanced pseudocapacitive performance of α-MnO2 by cation preinsertion. ACS Appl. Mater. Interfaces 2016, 8, 33732–33740. [Google Scholar] [CrossRef]
- Grote, F.; Kühnel, R.S.; Balducci, A.; Lei, Y. Template assisted fabrication of free-standing MnO2 nanotube and nanowire arrays. Appl. Phys. Lett. 2014, 104, 53904–53907. [Google Scholar] [CrossRef] [Green Version]
- Pang, M.J.; Long, G.H.; Jiang, S.; Ji, Y.; Han, W.; Wang, B.; Liu, X.L.; Xi, Y.L. One pot low-temperature growth of hierarchical δ-MnO2 nanosheets on nickel foam for supercapacitor applications. Electrochim. Acta 2015, 161, 297–304. [Google Scholar] [CrossRef]
- Wang, P.; Zhao, Y.J.; Wen, L.X.; Chen, J.F.; Lei, Z.G. Ultrasound-microwave-assisted synthesis of MnO2 supercapacitor electrode materials. Ind. Eng. Chem. Res. 2014, 53, 20116–20123. [Google Scholar] [CrossRef]
- Wang, D.T.; Wang, K.; Sun, L.; Wu, H.C.; Wang, J.; Zhao, Y.X.; Yan, L.J.; Luo, Y.F.; Jiang, K.L.; Li, Q.Q.; et al. MnO2 nanoparticles anchored on carbon nanotubes with hybrid supercapacitor-battery behavior for ultrafast lithium storage. Carbon 2018, 139, 145–155. [Google Scholar] [CrossRef]
- Chen, Q.; Meng, Y.N.; Hu, C.G.; Zhao, Y.; Shao, H.B.; Chen, N.; Qu, L.T. MnO2-modified hierarchical graphene fiber electrochemical supercapacitor. J. Power Sources 2014, 247, 32–39. [Google Scholar] [CrossRef]
- Subramanian, V.; Zhu, H.; Wei, B. Nanostructured MnO2: Hydrothermal synthesis and electrochemical properties as a supercapacitor electrode material. J. Power Sources 2006, 159, 361–364. [Google Scholar] [CrossRef]
- Khan, Z.; Park, S.; Hwang, S.M.; Yang, J.; Lee, Y.; Song, H.K.; Kim, Y.; Ko, H. Hierarchical urchin-shaped α-MnO2 on graphene-coated carbon microfibers: A binder-free electrode for rechargeable aqueous Na-air battery. NPG Asia Mater. 2016, 159, 294–302. [Google Scholar] [CrossRef]
- Khan, Z.; Senthilkumar, B.; Park, S.O.; Park, S.; Yang, J.; Lee, J.H.; Song, H.K.; Kim, Y.; Kwak, S.K.; Ko, H. Carambola-shaped VO2 nanostructures: A binder-free air electrode for an aqueous Na-air battery. J. Mater. Chem. A 2017, 5, 2037–2044. [Google Scholar] [CrossRef]
- Du, X.H.; Qin, Z.; Li, Z.J. Free-standing rGO-CNT nanocomposites with excellent rate capability and cycling stability for Na2SO4 aqueous electrolyte supercapacitors. Nanomaterials 2021, 11, 1420. [Google Scholar] [CrossRef]
- Wang, X.L.; Zhao, X.Y.; Wang, Y. A Nanosheet-assembled SnO2-integrated anode. Molecules 2021, 26, 6108. [Google Scholar] [CrossRef]
- Huang, Y.L.; Bian, S.W. Vacuum-filtration assisted layer-by-layer strategy to design MXene/carbon nanotube@MnO2 all-in-one supercapacitors. J. Mater. Chem. A 2021, 9, 21347–21356. [Google Scholar] [CrossRef]
- Guo, C.; Liu, H.M.; Li, J.F.; Hou, Z.G.; Liang, J.W.; Zhou, J.; Zhu, Y.C.; Qian, Y.T. Ultrathin δ-MnO2 nanosheets as cathode for aqueous rechargeable zinc ion battery. Electrochim. Acta 2019, 304, 370–377. [Google Scholar] [CrossRef]
- Xia, H.; Lai, M.; Lu, L. Nanoflaky MnO2/carbon nanotube nanocomposites as anode materials for lithium-ion batteries. J. Mater. Chem. 2010, 20, 6896–6902. [Google Scholar] [CrossRef]
- Jabeen, N.; Hussain, A.; Xia, Q.Y.; Sun, S.; Zhu, J.W.; Xia, H. High-Performance 2.6 V Aqueous Asymmetric Supercapacitors based on In Situ Formed Na0.5MnO2 Nanosheet Assembled Nanowall Arrays. Adv. Mater. 2017, 29, 1700804–1700812. [Google Scholar] [CrossRef]
- Kundu, M.; Liu, L.F. Direct growth of mesoporous MnO2 nanosheet arrays on nickel foam current collectors for high-performance pseudocapacitors. J. Power Sources 2013, 243, 676–681. [Google Scholar] [CrossRef]
- George, G.; Jackson, S.L.; Luo, C.Q.; Fang, D.; Luo, D.; Hu, D.L.; Wen, J.G.; Luo, Z.P. Effect of doping on the performance of high-crystalline SrMnO3 perovskite nanofibers as a supercapacitor electrode. Ceram. Int. 2018, 44, 21982–21992. [Google Scholar] [CrossRef]
- Hu, Q.L.; Yue, B.; Yang, D.T.; Zhang, Z.X.; Wang, Y.; Liu, J.H. Electrochemical and magnetic properties of electrospun SmFeO3 and SmCoO3 nanofibers. J. Am. Ceram. Soc. 2021, 105, 1–10. [Google Scholar]
- Hu, Q.L.; Yue, B.; Yang, F.; Shao, H.Y.; Bao, M.; Wang, Y.; Liu, J.H. Electrochemical and magnetic properties of perovskite type RMnO3 (R = La, Nd, Sm, Eu) nanofibers. J. Alloy. Compd. 2021, 872, 159727–159739. [Google Scholar] [CrossRef]
- Chang, J.; Lee, W.; Mane, R.S.; Cho, B.W.; Han, S.H. Morphology-dependent electrochemical supercapacitor properties of indium oxide. Electrochem. Solid-State Lett. 2008, 11, A9–A11. [Google Scholar] [CrossRef]
- Srinivasan, V.; Weidner, J.W. Studies on the capacitance of nickel oxide films: Effect of heating temperature and electrolyte concentration. J. Electrochem. Soc. 2000, 147, 880–885. [Google Scholar] [CrossRef]
- Wang, J.; Polleux, J.; Lim, J.; Dunn, B. Pseudocapacitive contributions to electrochemical energy storage in TiO2 (Anatase) nanoparticles. J. Phys. Chem. C 2007, 111, 14925–14931. [Google Scholar] [CrossRef]
- Liu, J.L.; Wang, J.; Xu, C.H.; Jiang, H.; Li, C.Z.; Zhang, L.L.; Lin, J.Y.; Shen, Z.X. Advanced energy storage devices: Basic principles, analytical methods, and rational materials design. Adv. Sci. 2018, 5, 1700322–1700340. [Google Scholar] [CrossRef]
- Okhay, O.; Tkach, A. Graphene/reduced graphene oxide-carbon nanotubes composite electrodes: From capacitive to battery-type behavior. Nanomaterials 2021, 11, 1240. [Google Scholar] [CrossRef] [PubMed]
- Li, X.Y.; Han, Z.Y.; Yang, W.H.; Li, Q.; Li, H.S.; Xu, J.; Li, H.L.; Liu, B.; Zhao, H.G.; Li, S.D.; et al. 3D ordered porous hybrid of ZnSe/N-doped carbon with anomalously high Na+ mobility and ultrathin solid electrolyte interphase for sodium-ion batteries. Adv. Funct. Mater. 2021, 31, 2106194–2106206. [Google Scholar] [CrossRef]
- Xu, B.; Yu, L.; Sun, M.; Ye, F.; Zhong, Y.H.; Cheng, G.; Wang, H.; Mai, Y.L. One-pot hydrothermal synthesis of novel 3D starfish-like δ-MnO2 nanosheets on carbon fiber paper for high-performance supercapacitors. RSC Adv. 2017, 7, 14910–14916. [Google Scholar] [CrossRef] [Green Version]
- Li, S.H.; Qi, L.; Lu, L.H.; Wang, H.Y. Carbon spheres-assisted strategy to prepare mesoporous manganese dioxide for supercapacitor applications. J. Solid State Electrochem. 2013, 197, 29–37. [Google Scholar] [CrossRef]
- Chung, Y.C.; Julistian, A.; Saravanan, L.; Chen, P.R.; Xu, B.C.; Xie, P.J.; Lo, A.Y. Hydrothermal synthesis of CuO/RuO2/MWCNT nanocomposites with morphological variants for high efficient supercapacitors. Catalysts 2022, 12, 23. [Google Scholar] [CrossRef]
- Ansari, S.A.; Parveen, N.; Al-Othoum, M.A.S.; Ansari, M.O. Development of binder free interconnected 3D flower of NiZn2O4 as an advanced electrode materials for supercapacitor applications. Crystals 2022, 12, 14. [Google Scholar] [CrossRef]








Publisher’s Note: MDPI stays neutral with regard to jurisdictional claims in published maps and institutional affiliations. |
© 2022 by the authors. Licensee MDPI, Basel, Switzerland. This article is an open access article distributed under the terms and conditions of the Creative Commons Attribution (CC BY) license (https://creativecommons.org/licenses/by/4.0/).
Share and Cite
Wang, X.; Wang, Y.; Zhao, X. Nanosheet-Assembled MnO2-Integrated Electrode Based on the Low-Temperature and Green Chemical Route. Crystals 2022, 12, 115. https://doi.org/10.3390/cryst12010115
Wang X, Wang Y, Zhao X. Nanosheet-Assembled MnO2-Integrated Electrode Based on the Low-Temperature and Green Chemical Route. Crystals. 2022; 12(1):115. https://doi.org/10.3390/cryst12010115
Chicago/Turabian StyleWang, Xiaoli, Yin Wang, and Xinyu Zhao. 2022. "Nanosheet-Assembled MnO2-Integrated Electrode Based on the Low-Temperature and Green Chemical Route" Crystals 12, no. 1: 115. https://doi.org/10.3390/cryst12010115
APA StyleWang, X., Wang, Y., & Zhao, X. (2022). Nanosheet-Assembled MnO2-Integrated Electrode Based on the Low-Temperature and Green Chemical Route. Crystals, 12(1), 115. https://doi.org/10.3390/cryst12010115
