Thermoplastic Extrusion Additive Manufacturing of High-Performance Carbon Fiber PEEK Lattices
Abstract
:1. Introduction
2. Materials and Methods
2.1. Feedstock Material
2.2. Printing Process
2.3. X-ray Computed Tomography (CT Scan) for Geometry Compliance
2.4. Mechanical Testing Coupons and Methods
2.5. Mechanical Modeling
3. Results and Discussion
3.1. Computer Tomography to Evaluate Geometrical Compliance
3.2. Mechanical Properties
3.3. Simulation Results of Carbon Fiber PEEK
4. Conclusions
- A soluble sacrificial support was used to print octet and hexagonal lattices and support compatibility was demonstrated with high-temperature PEEK/PEKK polymers.
- A CT scan analysis showed that printed lattices without support material resulted in overhanging sections with defects. In contrast, the incorporation of sacrificial supporting material resulted in lattice structures without defects and with well-defined dimensional accuracies.
- The carbon fiber PEEK material has shown a distinctive ductile performance. The system did not present signs of fracture under compression even at displacements beyond the densification region. The preliminary impact testing results suggest this material can have potential applications in the field of blast and ballistics.
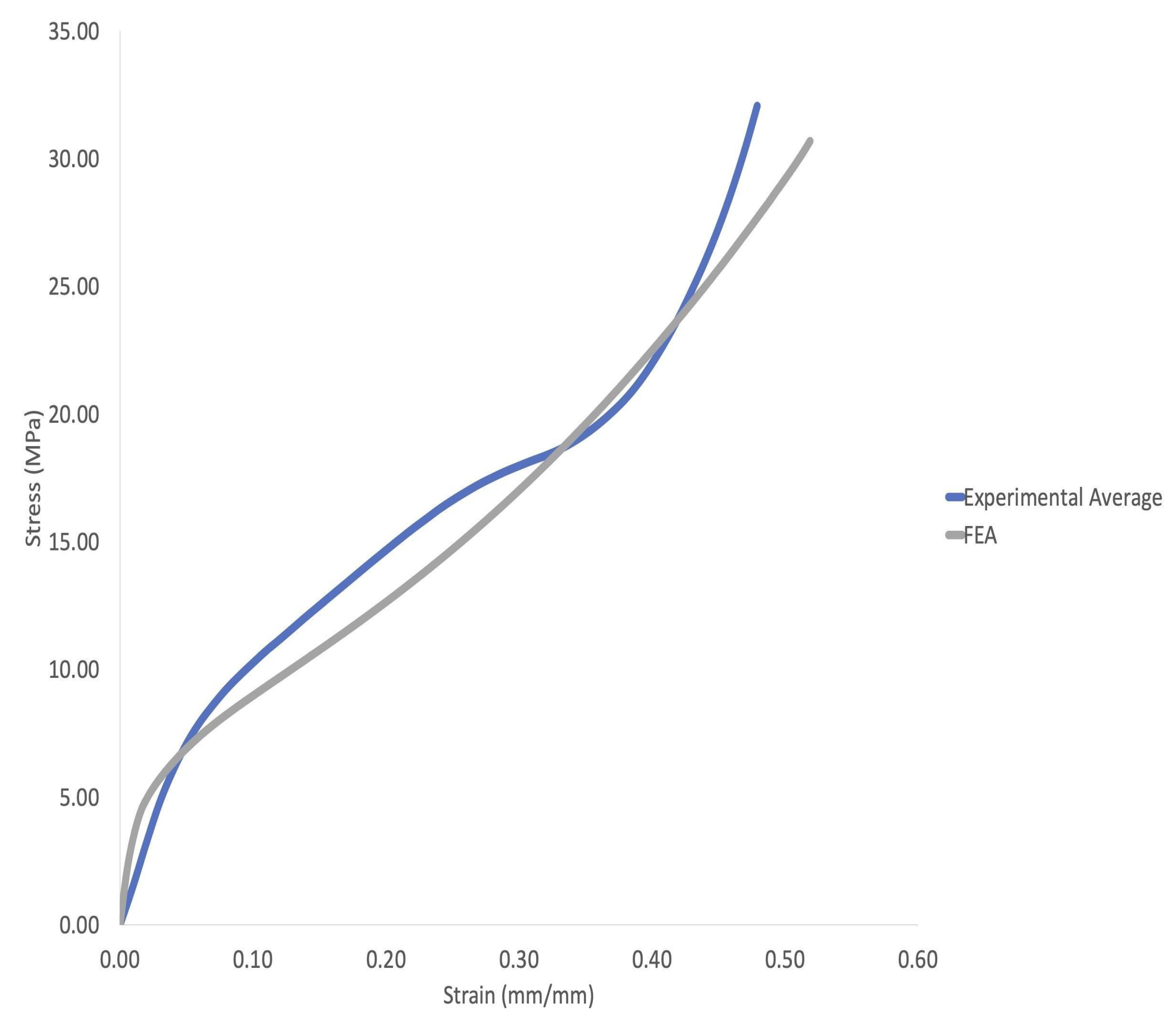
- The plateau and the densification sections of the numerical results display both shape and values similar to the experimental results with absorbed unitary energy calculated at the densification point of 7570 kJ/m3 for the experimental data and 7640 kJ/m3 for the numerical model, which represents a difference of less than 1%.
- The semi-crystalline PEEK resulted in the highest compressive strength of 21.01 MPa and modulus, a mechanism associated with a higher degree of crystallinity, of 0.361 GPa.
Author Contributions
Funding
Institutional Review Board Statement
Informed Consent Statement
Data Availability Statement
Acknowledgments
Conflicts of Interest
References
- Haleem, A.; Javaid, M. Polyether Ether Ketone (PEEK) and Its 3D Printed Implants Applications in Medical Field: An Overview. Clin. Epidemiol. Glob. Health 2019, 7, 571–577. [Google Scholar] [CrossRef] [Green Version]
- Garcia-Gonzalez, D.; Rusinek, A.; Jankowiak, T.; Arias, A. Mechanical Impact Behavior of Polyether–ether–ketone (PEEK). Compos. Struct. 2015, 124, 88–99. [Google Scholar] [CrossRef] [Green Version]
- Shekar, R.I.; Kotresh, T.M.; Rao, P.M.D.; Kumar, K. Properties of High Modulus PEEK Yarns for Aerospace Applications. J. Appl. Polym. Sci. 2009, 112, 2497–2510. [Google Scholar] [CrossRef]
- Shekar, R.I.; Damodhara Rao, P.M.; Padaki, V.C.; Kim, N.H.; Lee, J.H. Fibre-Fibre Hybrid Composites for Aerospace Applications. In Proceedings of the Advanced Materials Research; Trans Tech Publications, Ltd.: Bäch, Switzerland, 2010; Volume 123, pp. 1231–1234. [Google Scholar]
- Theiler, G.; Gradt, T. MoS2-Filled PEEK Composite as a Self-Lubricating Material for Aerospace Applications. In Proceedings of the 40th Aerospace Mechanisms Symposium, NASA Kennedy Space Center, Cocoa Beach, FL, USA, 12–14 May 2010. [Google Scholar]
- Denault, J.; Dumouchel, M. Consolidation Process of PEEK/Carbon Composite for Aerospace Applications. Adv. Perform. Mater. 1998, 5, 83–96. [Google Scholar] [CrossRef]
- Roux, M.; Dransfeld, C.; Eguémann, N.; Giger, L. Processing and Recycling of a Thermoplastic Composite Fibre/Peek Aerospace Part. In Proceedings of the 16th European Conference on Composite Materials (ECCM 16), Sevilla, Spain, 22–26 June 2014; pp. 22–26. [Google Scholar]
- Yuan, M.; Galloway, J.A.; Hoffman, R.J.; Bhatt, S. Influence of Molecular Weight on Rheological, Thermal, and Mechanical Properties of PEEK. Polym. Eng. Sci. 2011, 51, 94–102. [Google Scholar] [CrossRef]
- Rinaldi, M.; Cecchini, F.; Pigliaru, L.; Ghidini, T.; Lumaca, F.; Nanni, F. Additive Manufacturing of Polyether Ether Ketone (PEEK) for Space Applications: A Nanosat Polymeric Structure. Polymers 2020, 13, 11. [Google Scholar] [CrossRef] [PubMed]
- Zoidis, P.; Papathanasiou, I.; Polyzois, G. The Use of a Modified Poly-Ether-Ether-Ketone (PEEK) as an Alternative Framework Material for Removable Dental Prostheses. A Clinical Report. J. Prosthodont. 2016, 25, 580–584. [Google Scholar] [CrossRef]
- Vaezi, M.; Yang, S. Extrusion-Based Additive Manufacturing of PEEK for Biomedical Applications. Virtual Phys. Prototyp. 2015, 10, 123–135. [Google Scholar] [CrossRef]
- Panayotov, I.V.; Orti, V.; Cuisinier, F.; Yachouh, J. Polyetheretherketone (PEEK) for Medical Applications. J. Mater. Sci. Mater. Med. 2016, 27, 118. [Google Scholar] [CrossRef]
- Patel, P.; Hull, T.R.; McCabe, R.W.; Flath, D.; Grasmeder, J.; Percy, M. Mechanism of Thermal Decomposition of Poly(ether Ether Ketone) (PEEK) from a Review of Decomposition Studies. Polym. Degrad. Stab. 2010, 95, 709–718. [Google Scholar] [CrossRef] [Green Version]
- Kurtz, S.M.; Devine, J.N. PEEK Biomaterials in Trauma, Orthopedic, and Spinal Implants. Biomaterials 2007, 28, 4845–4869. [Google Scholar] [CrossRef] [Green Version]
- Toth, J.M.; Wang, M.; Estes, B.T.; Scifert, J.L.; Seim, H.B., 3rd; Turner, A.S. Polyetheretherketone as a Biomaterial for Spinal Applications. Biomaterials 2006, 27, 324–334. [Google Scholar] [CrossRef] [Green Version]
- El Halabi, F.; Rodriguez, J.F.; Rebolledo, L.; Hurtós, E.; Doblaré, M. Mechanical Characterization and Numerical Simulation of Polyether-Ether-Ketone (PEEK) Cranial Implants. J. Mech. Behav. Biomed. Mater. 2011, 4, 1819–1832. [Google Scholar] [CrossRef]
- Singh, S.; Prakash, C.; Ramakrishna, S. 3D Printing of Polyether-Ether-Ketone for Biomedical Applications. Eur. Polym. J. 2019, 114, 234–248. [Google Scholar] [CrossRef]
- Haleem, A.; Javaid, M. Polyether Ether Ketone (PEEK) and Its Manufacturing of Customised 3D Printed Dentistry Parts Using Additive Manufacturing. Clin. Epidemiol. Glob. Health 2019, 7, 654–660. [Google Scholar] [CrossRef] [Green Version]
- Lee, W.-T.; Koak, J.-Y.; Lim, Y.-J.; Kim, S.-K.; Kwon, H.-B.; Kim, M.-J. Stress Shielding and Fatigue Limits of Poly-Ether-Ether-Ketone Dental Implants. J. Biomed. Mater. Res. B Appl. Biomater. 2012, 100, 1044–1052. [Google Scholar] [CrossRef] [PubMed]
- Schwitalla, A.; Müller, W.-D. PEEK Dental Implants: A Review of the Literature. J. Oral Implantol. 2013, 39, 743–749. [Google Scholar] [CrossRef] [PubMed]
- Kang, J.; Wang, L.; Yang, C.; Wang, L.; Yi, C.; He, J.; Li, D. Custom Design and Biomechanical Analysis of 3D-Printed PEEK Rib Prostheses. Biomech. Model. Mechanobiol. 2018, 17, 1083–1092. [Google Scholar] [CrossRef] [Green Version]
- Basgul, C.; Yu, T.; MacDonald, D.W.; Siskey, R.; Marcolongo, M.; Kurtz, S.M. Structure-Property Relationships for 3D Printed PEEK Intervertebral Lumbar Cages Produced Using Fused Filament Fabrication. J. Mater. Res. 2018, 33, 2040–2051. [Google Scholar] [CrossRef]
- Liu, D.; Fu, J.; Fan, H.; Li, D.; Dong, E.; Xiao, X.; Wang, L.; Guo, Z. Application of 3D-Printed PEEK Scapula Prosthesis in the Treatment of Scapular Benign Fibrous Histiocytoma: A Case Report. J. Bone Oncol. 2018, 12, 78–82. [Google Scholar] [CrossRef] [PubMed]
- Foletti, J.-M.; Lari, N.; Dumas, P.; Compes, P.; Guyot, L. PEEK customized implant for skull esthetic reconstruction. Rev. Stomatol. Chir. Maxillofac. 2012, 113, 468–471. [Google Scholar] [CrossRef] [PubMed]
- Reber, R. PEKK vs. PEEK: 3D Printing High-Performance Materials. Available online: https://www.aniwaa.com/blog/peek-vs-pekk/ (accessed on 6 April 2020).
- Landry, B.; Hubert, P. Experimental Study of Defect Formation during Processing of Randomly-Oriented Strand carbon/PEEK Composites. Compos. Part A Appl. Sci. Manuf. 2015, 77, 301–309. [Google Scholar] [CrossRef]
- Wu, W.Z.; Geng, P.; Zhao, J.; Zhang, Y.; Rosen, D.W.; Zhang, H.B. Manufacture and Thermal Deformation Analysis of Semicrystalline Polymer Polyether Ether Ketone by 3D Printing. Mater. Res. Innov. 2014, 18, S5-12–S5-16. [Google Scholar] [CrossRef]
- Xiaoyong, S.; Liangcheng, C.; Honglin, M.; Peng, G.; Zhanwei, B.; Cheng, L. Experimental Analysis of High Temperature PEEK Materials on 3D Printing Test. In Proceedings of the 2017 9th International Conference on Measuring Technology and Mechatronics Automation (ICMTMA), Changsha, China, 14–15 January 2017; pp. 13–16. [Google Scholar]
- Schmidt, M.; Pohle, D.; Rechtenwald, T. Selective Laser Sintering of PEEK. CIRP Ann. 2007, 56, 205–208. [Google Scholar] [CrossRef]
- Goodridge, R.D.; Tuck, C.J.; Hague, R.J.M. Laser Sintering of Polyamides and Other Polymers. Prog. Mater Sci. 2012, 57, 229–267. [Google Scholar] [CrossRef]
- Yang, C.; Tian, X.; Li, D.; Cao, Y.; Zhao, F.; Shi, C. Influence of Thermal Processing Conditions in 3D Printing on the Crystallinity and Mechanical Properties of PEEK Material. J. Mater. Process. Technol. 2017, 248, 1–7. [Google Scholar] [CrossRef]
- Wu, W.; Geng, P.; Li, G.; Zhao, D.; Zhang, H.; Zhao, J. Influence of Layer Thickness and Raster Angle on the Mechanical Properties of 3D-Printed PEEK and a Comparative Mechanical Study between PEEK and ABS. Materials 2015, 8, 5834–5846. [Google Scholar] [CrossRef]
- Díez-Pascual, A.M.; Naffakh, M.; González-Domínguez, J.M.; Ansón, A.; Martínez-Rubi, Y.; Martínez, M.T.; Simard, B.; Gómez, M.A. High Performance PEEK/carbon Nanotube Composites Compatibilized with Polysulfones-II. Mechanical and Electrical Properties. Carbon 2010, 48, 3500–3511. [Google Scholar] [CrossRef]
- Hassan, E.A.M.; Ge, D.; Yang, L.; Zhou, J.; Liu, M.; Yu, M.; Zhu, S. Highly Boosting the Interlaminar Shear Strength of CF/PEEK Composites via Introduction of PEKK onto Activated CF. Compos. Part A Appl. Sci. Manuf. 2018, 112, 155–160. [Google Scholar] [CrossRef]
- Love, L.J.; Kunc, V.; Rios, O.; Duty, C.E.; Elliott, A.M.; Post, B.K.; Smith, R.J.; Blue, C.A. The Importance of Carbon Fiber to Polymer Additive Manufacturing. J. Mater. Res. 2014, 29, 1893–1898. [Google Scholar] [CrossRef] [Green Version]
- Tekinalp, H.L.; Kunc, V.; Velez-Garcia, G.M.; Duty, C.E.; Love, L.J.; Naskar, A.K.; Blue, C.A.; Ozcan, S. Highly Oriented Carbon Fiber–polymer Composites via Additive Manufacturing. Compos. Sci. Technol. 2014, 105, 144–150. [Google Scholar]
- Brenken, B.; Barocio, E.; Favaloro, A.; Kunc, V.; Pipes, R.B. Fused Filament Fabrication of Fiber-Reinforced Polymers: A Review. Addit. Manuf. 2018, 21, 1–16. [Google Scholar] [CrossRef]
- Garcia-Leiner, M.; Streifel, B.; Başgül, C.; MacDonald, D.W.; Kurtz, S.M. Characterization of Paek Filaments and Printed Parts Produced by Extrusion-based Additive Manufacturing. Polym. Int. 2021, 70, 128–136. [Google Scholar] [CrossRef]
- Kunc, V.; Kishore, V.; Chen, X.; Ajinjeru, C.; Duty, C.; Hassen, A.A. High Performance Poly (etherketoneketone)(PEKK) Composite Parts Fabricated Using Big Area Additive Manufacturing (BAAM) Processes; Oak Ridge National Lab. (ORNL): Oak Ridge, TN, USA; Manufacturing Demonstration Facility (MDF): Knoxville, TN, USA, 2016.
- Antero 800NA: A PEKK-Based Thermoplastic 3D Printing Material. Available online: https://www.stratasys.com/materials/search/antero-800na (accessed on 9 March 2021).
- Xu, C.; Cheng, K.; Liu, Y.; Wang, R.; Jiang, X.; Dong, X.; Xu, X. Effect of Processing Parameters on Flexural Properties of 3D-printed Polyetherketoneketone Using Fused Deposition Modeling. Polym. Eng. Sci. 2021, 61, 465–476. [Google Scholar] [CrossRef]
- Nachtane, M.; Tarfaoui, M.; Ledoux, Y.; Khammassi, S.; Leneveu, E.; Pelleter, J. Experimental Investigation on the Dynamic Behavior of 3D Printed CF-PEKK Composite under Cyclic Uniaxial Compression. Compos. Struct. 2020, 247, 112474. [Google Scholar] [CrossRef]
- Fischer, S.; Pfister, A.; Galitz, V.; Lyons, B.; Robinson, C.; Rupel, K.; Booth, R.; Kubiak, S. A High Performance Material for Aerospace Applications: Development of Carbon Fiber Filled PEKK for Laser Sintering. In Proceedings of the 26th Annual International Solid Freeform Fabric Symposium, Austin, TX, USA, 10–12 August 2015; pp. 10–12. [Google Scholar]
- Jiang, J.; Xu, X.; Stringer, J. Support Structures for Additive Manufacturing: A Review. J. Mater. Process. Manuf. Sci. 2018, 2, 64. [Google Scholar] [CrossRef] [Green Version]
- Lee, C.-U.; Vandenbrande, J.; Goetz, A.E.; Ganter, M.A.; Storti, D.W.; Boydston, A.J. Room Temperature Extrusion 3D Printing of Polyether Ether Ketone Using a Stimuli-Responsive Binder. Addit. Manuf. 2019, 28, 430–438. [Google Scholar] [CrossRef]
- Pérez-Martín, H.; Mackenzie, P.; Baidak, A.; Brádaigh, C.M.Ó.; Ray, D. Crystallinity Studies of PEKK and Carbon fibre/PEKK Composites: A Review. Compos. Part B 2021, 223, 109127. [Google Scholar] [CrossRef]
- Gurchetan, S.; Ranvijay, K.; Rupinder, S.; Md Mustafizur, R.; Seeram, R. Rheological, Mechanical, Thermal, Tribological and Morphological Properties of PLA-PEKK-HAp-CS Composite. J. Cent. S. Univ. Technol. 2021, 28, 1615–1626. [Google Scholar] [CrossRef]
- du Plessis, A.; le Roux, S.G.; Guelpa, A. The CT Scanner Facility at Stellenbosch University: An Open Access X-Ray Computed Tomography Laboratory. Nucl. Instrum. Methods Phys. Res. B 2016, 384, 42–49. [Google Scholar] [CrossRef] [Green Version]
- Li, T.; Wang, L. Bending Behavior of Sandwich Composite Structures with Tunable 3D-Printed Core Materials. Compos. Struct. 2017, 175, 46–57. [Google Scholar] [CrossRef]
- Al-Ketan, O.; Rowshan, R.; Abu Al-Rub, R.K. Topology-Mechanical Property Relationship of 3D Printed Strut, Skeletal, and Sheet Based Periodic Metallic Cellular Materials. Addit. Manuf. 2018, 19, 167–183. [Google Scholar] [CrossRef]
- Akhmediev, N.N. Model of a Microheterogeneous Elastoplastic Medium Describing the Fatigue Behavior of a Hardening Material at Unsteady Alternating Stress Amplitudes. Strength Mater. 1971, 3, 776–786. [Google Scholar] [CrossRef]
- Robert Basan, T.M. Constitutive Modeling and Material Behavior; University of Rijeka: Rijeka, Croatia, 2016. [Google Scholar]
- Halama, R.; Sedlák, J.; Šofer, M. Phenomenological Modelling of Cyclic Plasticity. In Numerical Modelling; Miidla, P., Ed.; IntechOpen: Rijeka, Croatia, 2012. [Google Scholar]
- Benedetti, L.; Brulé, B.; Decraemer, N.; Davies, R.; Evans, K.E.; Ghita, O. A Route to Improving Elongation of High-Temperature Laser Sintered PEKK. Addit. Manuf. 2020, 36, 101540. [Google Scholar] [CrossRef]
- Wang, X.; Jiang, M.; Zhou, Z.; Gou, J.; Hui, D. 3D Printing of Polymer Matrix Composites: A Review and Prospective. Compos. Part B 2017, 110, 442–458. [Google Scholar] [CrossRef]
- Chacón, J.M.; Caminero, M.Á.; García-Plaza, E.; Nuñez López, P.J. Additive Manufacturing of PLA Structures Using Fused Deposition Modelling: Effect of Process Parameters on Mechanical Properties and Their Optimal Selection. Mater. Des. 2017, 124, 143–157. [Google Scholar] [CrossRef]














| Material | Print Temperature | Chamber Temperature | Build Plate Temperature |
|---|---|---|---|
| PEEK | 430 °C | 140 °C | 140 °C |
| SC-PEEK | 430 °C | 140 °C | 140 °C |
| CF-PEEK | 415 °C | 140 °C | 140 °C |
| PEKK | 390 °C | 140 °C | 140 °C |
| X Printing Direction | Y Printing Direction | Z Printing Direction | |||
|---|---|---|---|---|---|
| E = 5183 MPa | E = 7982 MPa | E = 3636 MPa | |||
| εp (×103) | σy (MPa) | εp (×103) | σy (MPa) | εp (×103) | σy (MPa) |
| 0.0 | 19.2 | 0.0 | 32.7 | 0.0 | 20.0 |
| 2.8 | 31.6 | 1.8 | 44.5 | 2.5 | 27.9 |
| 5.4 | 41.1 | 3.0 | 52.0 | 5.1 | 34.8 |
| 7.2 | 46.1 | 5.4 | 63.9 | 8.5 | 43.15 |
| 10.7 | 52.3 | 7.6 | 72.7 | - | - |
| - | - | 10.8 | 80.2 | - | - |
| - | - | 12.8 | 81 | - | - |
Publisher’s Note: MDPI stays neutral with regard to jurisdictional claims in published maps and institutional affiliations. |
© 2021 by the authors. Licensee MDPI, Basel, Switzerland. This article is an open access article distributed under the terms and conditions of the Creative Commons Attribution (CC BY) license (https://creativecommons.org/licenses/by/4.0/).
Share and Cite
Santiago, C.C.; Yelamanchi, B.; Diosdado De la Peña, J.A.; Lamb, J.; Roguski, K.; Turzyński, F.; Faruqui, R.; Choo, K.; Du Plessis, A.; Sillani, F.; et al. Thermoplastic Extrusion Additive Manufacturing of High-Performance Carbon Fiber PEEK Lattices. Crystals 2021, 11, 1453. https://doi.org/10.3390/cryst11121453
Santiago CC, Yelamanchi B, Diosdado De la Peña JA, Lamb J, Roguski K, Turzyński F, Faruqui R, Choo K, Du Plessis A, Sillani F, et al. Thermoplastic Extrusion Additive Manufacturing of High-Performance Carbon Fiber PEEK Lattices. Crystals. 2021; 11(12):1453. https://doi.org/10.3390/cryst11121453
Chicago/Turabian StyleSantiago, Carolyn Carradero, Bharat Yelamanchi, Jose Angel Diosdado De la Peña, Jeffrey Lamb, Krzysztof Roguski, Filip Turzyński, Ron Faruqui, Kyosung Choo, Anton Du Plessis, Francesco Sillani, and et al. 2021. "Thermoplastic Extrusion Additive Manufacturing of High-Performance Carbon Fiber PEEK Lattices" Crystals 11, no. 12: 1453. https://doi.org/10.3390/cryst11121453
APA StyleSantiago, C. C., Yelamanchi, B., Diosdado De la Peña, J. A., Lamb, J., Roguski, K., Turzyński, F., Faruqui, R., Choo, K., Du Plessis, A., Sillani, F., MacDonald, E., & Cortes, P. (2021). Thermoplastic Extrusion Additive Manufacturing of High-Performance Carbon Fiber PEEK Lattices. Crystals, 11(12), 1453. https://doi.org/10.3390/cryst11121453

