Recent Advances in Catalytic Hydrogenation of Furfural
Abstract
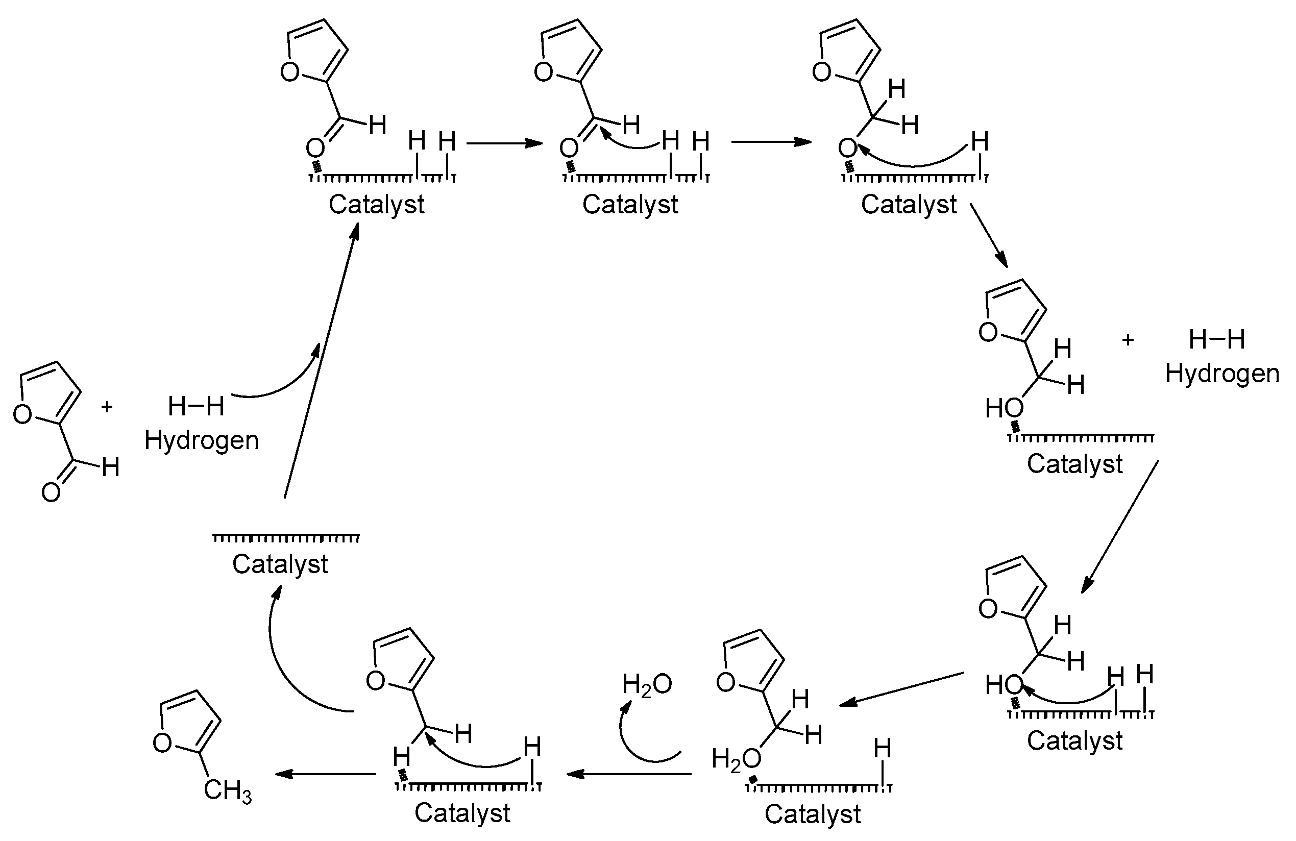
1. Introduction
2. Non-Noble Metal Catalysts
2.1. Cu Based Catalysts
2.2. Co, Ni Based Catalyst
2.3. Zr-Based and Other Catalysts
3. Noble Metal Catalysts
3.1. Pd Based Catalysts
- ✓
- Continuous flow processing allows a better control of reaction conditions.
- ✓
- Flow processing also facilitates scaling up which is an important point taking into consideration that many of the biomass valorization processes are still in the lab scale.
- ✓
- The utilization of flow processing approaches allow the intensification of the chemical processes, thereby significantly contributing to simplify technologies.
- ✓
- Unlike batch processing, fixed-bed flow technologies do not require catalyst separation after reaction and regeneration, if required. It is readily performed over the same catalytic bed.
- ✓
- Safety is increased, as flow operation allows for the continuous removal of gases, which might not interfere in the main catalytic process. However, gases that were generated in batch reactors could lead to increase pressure and potentially result in new and uncontrolled processes.
- ✓
- Multi step reactions can be arranged in a continuous sequence. This can be especially beneficial if intermediate compounds are unstable, toxic, or sensitive to air, since they will only exist momentarily and in small quantities.
3.2. Pt Based Catalysts
3.3. Ru and Other Noble Metal Based Catalysts
4. Conclusions and Outlook
- (1)
- Control the reaction conditions, including a) temperature (>200 °C benefiting to MF formation from furfural with Cu based catalysts); b) H2 pressure (high H2 pressure will lead to deep hydrogenation, even ring-opened products); c) time (deeper hydrogenation occurred by prolonging reaction time); and, d) solvents (in certain case, protic solvents leads to side-reactions) etc.
- (2)
- Hydrogen resources. It can be noticed that transfer hydrogenation of furfural generally produce FA as product or MF under harsher conditions. Almost no THFA or MTHF is observed.
- (3)
- Alternative active metal. For instance, Cu and Ru mainly result in hydrodeoxygenation of furfural to MF, while Co, Ni, and Pd catalysts will lead to furan ring hydrogenation to THFA.
- (4)
- Incorporation of different active metals. In many cases, the synergy of bimetallic catalysts showed remarkable improvement of furfural conversion and target product yield, as compared with monometallic catalysts.
- (5)
- Alternative supports. The same metal supported on different materials could possibly give rise to different products. Especially, the acidity and basicity of the supports have significant influence on the catalytic performance of the catalyst.
- (6)
- Alternative reaction regime. In comparison with batch reaction, continuous flow could result in enhanced productivity and sometimes the type of products varied.
- (i)
- Dedicated equipment is needed for precise continuous dosing (e.g., pumps), connections, etc.
- (ii)
- Start up and shut down procedures have to be established.
- (iii)
- Scale up of micro effects, such as the high area to volume ratio, is not possible.
- (iv)
- Safety issues for the storage of reactive material still need to be solve.
Funding
Acknowledgments
Conflicts of Interest
References
- Gallezot, P. Conversion of biomass to selected chemical products. Chem. Soc. Rev. 2012, 41, 1538–1558. [Google Scholar] [CrossRef] [PubMed]
- Kucherov, F.A.; Romashov, L.V.; Galkin, K.I.; Ananikov, V.P. Chemical transformations of biomass-derived C6-furanic platform chemicals for sustainable energy research, materials science, and synthetic building blocks. ACS Sustain. Chem. Eng. 2018, 6, 8064–8092. [Google Scholar] [CrossRef]
- Choudhary, V.; Pinar, A.B.; Sandler, S.I.; Vlachos, D.G.; Lobo, R.F. Xylose isomerization to xylulose and its dehydration to furfural in aqueous media. ACS Catal. 2011, 1, 1724–1728. [Google Scholar] [CrossRef]
- Hricovíniová, Z. Xylans are a valuable alternative resource: Production of D-xylose, D-lyxose and furfural under microwave irradiation. Carbohydr. Polym. 2013, 98, 1416–1421. [Google Scholar] [CrossRef] [PubMed]
- Wang, Y.; Len, T.; Huang, Y.; Diego Taboada, A.; Boa, A.N.; Ceballos, C.; Delbecq, F.; Mackenzie, G.; Len, C. Sulfonated sporopollenin as an efficient and recyclable heterogeneous catalyst for dehydration of D-xylose and xylan into furfural. ACS Sustain. Chem. Eng. 2017, 5, 392–398. [Google Scholar] [CrossRef]
- Rong, C.; Ding, X.; Zhu, Y.; Li, Y.; Wang, L.; Qu, Y.; Ma, X.; Wang, Z. Production of furfural from xylose at atmospheric pressure by dilute sulfuric acid and inorganic salts. Carbohydr. Res. 2012, 350, 77–80. [Google Scholar] [CrossRef] [PubMed]
- Yang, W.; Li, P.; Bo, D.; Chang, H.; Wang, X.; Zhu, T. Optimization of furfural production from D-xylose with formic acid as catalyst in a reactive extraction system. Bioresour. Technol. 2013, 133, 361–369. [Google Scholar] [CrossRef] [PubMed]
- Wang, S.; Zhao, Y.; Lin, H.; Chen, J.; Zhu, L.; Luo, Z. Conversion of C5 carbohydrates into furfural catalyzed by a Lewis acidic ionic liquid in renewable [gamma]-valerolactone. Green Chem. 2017, 19, 3869–3879. [Google Scholar] [CrossRef]
- He, Y.; Pei, M.; Du, Y.; Yu, F.; Wang, L.; Guo, W. Synthesis, characterization and application of chitosan coated Fe3O4 particles as an adsorbent for the removal of furfural from aqueous solution. RSC Adv. 2014, 4, 30352–30357. [Google Scholar] [CrossRef]
- Wang, Y.; Delbecq, F.; Kwapinski, W.; Len, C. Application of sulfonated carbon-based catalyst for the furfural production from D-xylose and xylan in a microwave-assisted biphasic reaction. Mol. Catal. 2017, 438, 167–172. [Google Scholar] [CrossRef]
- Wang, S.; Zhang, Z.; Liu, B.; Li, J. Silica coated magnetic Fe3O4 nanoparticles supported phosphotungstic acid: A novel environmentally friendly catalyst for the synthesis of 5-ethoxymethylfurfural from 5-hydroxymethylfurfural and fructose. Catal. Sci. Technol. 2013, 3, 2104–2112. [Google Scholar] [CrossRef]
- Hansen, T.S.; Woodley, J.M.; Riisager, A. Efficient microwave-assisted synthesis of 5-hydroxymethylfurfural from concentrated aqueous fructose. Carbohydr. Res. 2009, 344, 2568–2572. [Google Scholar] [CrossRef] [PubMed]
- Nikolla, E.; Román-Leshkov, Y.; Moliner, M.; Davis, M.E. “One-pot” synthesis of 5-(hydroxymethyl) furfural from carbohydrates using tin-beta zeolite. ACS Catal. 2011, 1, 408–410. [Google Scholar] [CrossRef]
- Yong, G.; Zhang, Y.; Ying, J.Y. Efficient catalytic system for the selective production of 5-hydroxymethylfurfural from glucose and fructose. Angew. Chem. Int. Ed. 2008, 47, 9345–9348. [Google Scholar] [CrossRef] [PubMed]
- Liu, B.; Zhang, Z.; Huang, K. Cellulose sulfuric acid as a bio-supported and recyclable solid acid catalyst for the synthesis of 5-hydroxymethylfurfural and 5-ethoxymethylfurfural from fructose. Cellulose 2013, 20, 2081–2089. [Google Scholar] [CrossRef]
- Saravanamurugan, S.; Riisager, A. Zeolite catalyzed transformation of carbohydrates to alkyl levulinates. ChemCatChem 2013, 5, 1754–1757. [Google Scholar] [CrossRef]
- Yadav, G.D.; Yadav, A.R. Synthesis of ethyl levulinate as fuel additives using heterogeneous solid superacidic catalysts: Efficacy and kinetic modeling. Chem. Eng. J. 2014, 243, 556–563. [Google Scholar] [CrossRef]
- Démolis, A.; Essayem, N.; Rataboul, F. Synthesis and applications of alkyl levulinates. ACS Sustain. Chem. Eng. 2014, 2, 1338–1352. [Google Scholar] [CrossRef]
- Antunes, M.M.; Russo, P.A.; Wiper, P.V.; Veiga, J.M.; Pillinger, M.; Mafra, L.; Evtuguin, D.V.; Pinna, N.; Valente, A.A. Sulfonated graphene oxide as effective catalyst for conversion of 5-(hydroxymethyl)-2-furfural into biofuels. ChemSusChem 2014, 7, 804–812. [Google Scholar] [CrossRef]
- Rao, B.S.; Kumari, P.K.; Dhanalakshmi, D.; Lingaiah, N. Selective conversion of furfuryl alcohol into butyl levulinate over zinc exchanged heteropoly tungstate supported on niobia catalysts. J. Mol. Catal. Chem. 2016, 427, 80–86. [Google Scholar] [CrossRef]
- Mandalika, A.; Qin, L.; Sato, T.K.; Runge, T. Integrated Biorefinery Model Based on Production of Furans Using Open-Ended High Yield Processes. Green Chem. 2014, 16, 2480–2489. [Google Scholar] [CrossRef]
- Vaidya, P.D.; Mahajani, V.V. Kinetics of liquid-phase hydrogenation of furfuraldehyde to furfuryl alcohol over a Pt/C Catalyst. Ind. Eng. Chem. Res. 2003, 42, 3881–3885. [Google Scholar] [CrossRef]
- Sitthisa, S.; Sooknoi, T.; Ma, Y.; Balbuena, P.B.; Resasco, D.E. Kinetics and mechanism of hydrogenation of furfural on Cu/SiO2 catalysts. J. Catal. 2011, 277, 1–13. [Google Scholar] [CrossRef]
- Yan, K.; Chen, A. Efficient hydrogenation of biomass-derived furfural and levulinic acid on the facilely synthesized noble-metal-free Cu–Cr catalyst. Energy 2013, 58, 357–363. [Google Scholar] [CrossRef]
- Yan, K.; Chen, A. Selective hydrogenation of furfural and levulinic acid to biofuels on the ecofriendly Cu–Fe catalyst. Fuel 2014, 115, 101–108. [Google Scholar] [CrossRef]
- Sato, S.; Igarashi, J.; Yamada, Y. Stable vapor-phase conversion of tetrahydrofurfuryl alcohol into 3, 4-2H-dihydropyran. Appl. Catal. A 2013, 453, 213–218. [Google Scholar] [CrossRef]
- Choi, J.H.; Lee, W.Y. Pyridine synthesis from tetrahydrofurfuryl alcohol over a Pd/γ-Al2O3 catalyst: II. Effect of supports and palladium loading. Appl. Catal. A 1993, 98, 21–31. [Google Scholar] [CrossRef]
- Koso, S.; Watanabe, H.; Okumura, K.; Nakagawa, Y.; Tomishige, K. Comparative study of Rh–MoOx and Rh–ReOx supported on SiO2 for the hydrogenolysis of ethers and polyols. Appl. Catal. B 2012, 111, 27–37. [Google Scholar] [CrossRef]
- Chia, M.; Pagán-Torres, Y.J.; Hibbitts, D.; Tan, Q.; Pham, H.N.; Datye, A.K.; Neurock, M.; Davis, R.J.; Dumesic, J.A. Selective hydrogenolysis of polyols and cyclic ethers over bifunctional surface sites on rhodium–rhenium catalysts. J. Am. Chem. Soc. 2011, 133, 12675–12689. [Google Scholar] [CrossRef]
- Koso, S.; Furikado, I.; Shimao, A.; Miyazawa, T.; Kunimori, K.; Tomishige, K. Chemoselective hydrogenolysis of tetrahydrofurfuryl alcohol to 1,5-pentanediol. Chem. Commun. 2009, 15, 2035–2037. [Google Scholar] [CrossRef]
- Pace, V.; Hoyos, P.; Castoldi, L.; Dominguez de Maria, P.; Alcantara, A.R. 2-Methyltetrahydrofuran (2-MeTHF): A biomass-derived solvent with broad application in organic chemistry. ChemSusChem 2012, 5, 1369–1379. [Google Scholar] [CrossRef]
- Yang, J.; Li, S.; Zhang, L.; Liu, X.; Wang, J.; Pan, X.; Li, N.; Wang, A.; Cong, Y.; Wang, X.; et al. Hydrodeoxygenation of furans over Pd-FeOx/SiO2 catalyst under atmospheric pressure. Appl. Catal. B 2017, 201, 266–277. [Google Scholar] [CrossRef]
- Huang, R.; Cui, Q.; Yuan, Q.; Wu, H.; Guan, Y.; Wu, P. Total hydrogenation of furfural over Pd/Al2O3 and Ru/ZrO2 mixture under mild conditions: Essential role of tetrahydrofurfural as an intermediate and support effect. ACS Sustain. Chem. Eng. 2018, 6, 6957–6964. [Google Scholar] [CrossRef]
- Hu, Q.; Fan, G.; Yang, L.; Cao, X.; Zhang, P.; Wang, B.; Li, F. A gas-phase coupling process for simultaneous production of γ-butyrolactone and furfuryl alcohol without external hydrogen over bifunctional base-metal heterogeneous catalysts. Green Chem. 2016, 18, 2317–2322. [Google Scholar] [CrossRef]
- Winoto, H.P.; Fikri, Z.A.; Ha, J.M.; Park, Y.K.; Lee, H.; Suh, D.J.; Jae, J. Heteropolyacid supported on Zr-beta zeolite as an active catalyst for one-pot transformation of furfural to γ-valerolactone. Appl. Catal. B 2019, 241, 588–597. [Google Scholar] [CrossRef]
- Li, X.; Lan, X.; Wang, T. Highly selective catalytic conversion of furfural to γ-butyrolactone. Green Chem. 2016, 18, 638–642. [Google Scholar] [CrossRef]
- Winoto, H.P.; Ahn, B.S.; Jae, J. Production of γ-valerolactone from furfural by a single-step process using Sn-Al-Beta zeolites: Optimizing the catalyst acid properties and process conditions. J. Ind. Eng. Chem. 2016, 40, 62–71. [Google Scholar] [CrossRef]
- Chen, B.; Li, F.; Huang, Z.; Yuan, G. Hydrogen-transfer conversion of furfural into levulinate esters as potential biofuel feedstock. J. Energy Chem. 2016, 25, 888–894. [Google Scholar] [CrossRef]
- Zhu, S.; Cen, Y.; Guo, J.; Chai, J.; Wang, J.; Fan, W. One-pot conversion of furfural to alkyl levulinate over bifunctional Au-H4SiW12O40/ZrO2 without external H2. Green Chem. 2016, 18, 5667–5675. [Google Scholar] [CrossRef]
- Hronec, M.; Fulajtárová, K.; Vávra, I.; Soták, T.; Dobročka, E.; Mičušík, M. Carbon supported Pd–Cu catalysts for highly selective rearrangement of furfural to cyclopentanone. Appl. Catal. B 2016, 181, 210–219. [Google Scholar] [CrossRef]
- Wang, Y.; Sang, S.; Zhu, W.; Gao, L.; Xiao, G. CuNi@C catalysts with high activity derived from metal–organic frameworks precursor for conversion of furfural to cyclopentanone. Chem. Eng. J. 2016, 299, 104–111. [Google Scholar] [CrossRef]
- Xu, Y.J.; Shi, J.; Wu, W.P.; Zhu, R.; Li, X.L.; Deng, J.; Fu, Y. Effect of Cp*iridium(III) complex and acid co-catalyst on conversion of furfural compounds to cyclopentanones or straight chain ketones. Appl. Catal. A 2017, 543, 266–273. [Google Scholar] [CrossRef]
- Fang, R.; Liu, H.; Luque, R.; Li, Y. Efficient and selective hydrogenation of biomass-derived furfural to cyclopentanone using Ru catalysts. Green Chem. 2015, 17, 4183–4188. [Google Scholar] [CrossRef]
- Zhang, Y.; Fan, G.; Yang, L.; Li, F. Efficient conversion of furfural into cyclopentanone over high performing and stable Cu/ZrO2 catalysts. Appl. Catal. A 2018, 561, 117–126. [Google Scholar] [CrossRef]
- Dohade, M.; Dhepe, P.L. Efficient method for cyclopentanone synthesis from furfural: Understanding the role of solvents and solubility in a bimetallic catalytic system. Catal. Sci. Technol. 2018, 8, 5259–5269. [Google Scholar] [CrossRef]
- Li, X.L.; Deng, J.; Shi, J.; Pan, T.; Yu, C.G.; Xu, H.J.; Fu, Y. Selective conversion of furfural to cyclopentanone or cyclopentanol using different preparation methods of Cu–Co catalysts. Green Chem. 2015, 17, 1038–1046. [Google Scholar] [CrossRef]
- Zhou, M.; Li, J.; Wang, K.; Xia, H.; Xu, J.; Jiang, J. Selective conversion of furfural to cyclopentanone over CNT-supported Cu based catalysts: Model reaction for upgrading of bio-oil. Fuel 2017, 202, 1–11. [Google Scholar] [CrossRef]
- Zhang, G.S.; Zhu, M.M.; Zhang, Q.; Liu, Y.M.; He, H.Y.; Cao, Y. Towards quantitative and scalable transformation of furfural to cyclopentanone with supported gold catalysts. Green Chem. 2016, 18, 2155–2164. [Google Scholar] [CrossRef]
- Liu, X.; Zhang, B.; Fei, B.; Chen, X.; Zhang, J.; Mu, X. Tunable and selective hydrogenation of furfural to furfuryl alcohol and cyclopentanone over Pt supported on biomass-derived porous heteroatom doped carbon. Faraday Discuss. 2017, 202, 79–98. [Google Scholar] [CrossRef]
- Zhou, M.; Zeng, Z.; Zhu, H.; Xiao, G.; Xiao, R. Aqueous-phase catalytic hydrogenation of furfural to cyclopentanol over Cu-Mg-Al hydrotalcites derived catalysts: Model reaction for upgrading of bio-oil. J. Energy Chem. 2014, 23, 91–96. [Google Scholar] [CrossRef]
- Ma, Y.F.; Wang, H.; Xu, G.Y.; Liu, X.H.; Zhang, Y.; Fu, Y. Selective conversion of furfural to cyclopentanol over cobalt catalysts in one step. Chin. Chem. Lett. 2017, 28, 1153–1158. [Google Scholar] [CrossRef]
- Date, N.S.; Chikate, R.C.; Roh, H.S.; Rode, C.V. Bifunctional role of Pd/MMT-K 10 catalyst in direct transformation of furfural to 1,2-pentanediol. Catal. Today 2018, 309, 195–201. [Google Scholar] [CrossRef]
- Liu, F.; Liu, Q.; Xu, J.; Li, L.; Cui, Y.T.; Lang, R.; Li, L.; Su, Y.; Miao, S.; Sun, H.; et al. Catalytic cascade conversion of furfural to 1,4-pentanediol in a single reactor. Green Chem. 2018, 20, 1770–1776. [Google Scholar] [CrossRef]
- Liu, S.; Amada, Y.; Tamura, M.; Nakagawa, Y.; Tomishige, K. Performance and characterization of rhenium-modified Rh–Ir alloy catalyst for one-pot conversion of furfural into 1,5-pentanediol. Catal. Sci. Technol. 2014, 4, 2535–2549. [Google Scholar] [CrossRef]
- Li, F.; Lu, T.; Chen, B.; Huang, Z.; Yuan, G. Pt nanoparticles over TiO2–ZrO2 mixed oxide as multifunctional catalysts for an integrated conversion of furfural to 1,4-butanediol. Appl. Catal. A 2014, 478, 252–258. [Google Scholar] [CrossRef]
- Ruifeng, L.; Hongxia, Z.; Xiaoyu, L.; Jinhe, S.; Dan, W.; Shumei, Z. Research progress on catalysts for hydrogenation of furfural to furfural alcohol. Refin. Chem. Ind. 2010, 5, 6–8. [Google Scholar] [CrossRef]
- Wu, J.; Shen, Y.M.; Liu, C.H.; Zhang, Z.X. Progress of Catalysts for Hydrogenation of Furfural to Produce Furfuryl Alcohol and 2-methylfuran. Modern Chemical Industry 2002, S1, 18–28. [Google Scholar] [CrossRef]
- Yan, K.; Wu, G.; Lafleur, T.; Jarvis, C. Production, properties and catalytic hydrogenation of furfural to fuel additives and value-added chemicals. Renew. Sustain. Energy Rev. 2014, 38, 663–676. [Google Scholar] [CrossRef]
- Romano, P.N.; de Almeida, J.M.A.R.; Carvalho, Y.; Priecel, P.; Falabella Sousa-Aguiar, E.; Lopez-Sanchez, J.A. Back cover: Microwave-assisted selective hydrogenation of furfural to furfuryl alcohol employing a green and noble metal-free copper catalyst. ChemSusChem 2016, 9, 3528. [Google Scholar] [CrossRef]
- Yang, X.; Meng, Q.; Ding, G.; Wang, Y.; Chen, H.; Zhu, Y.L.; Li, Y.W. Construction of novel Cu/ZnO-Al2O3 composites for furfural hydrogenation: The Role of Al components. Appl. Catal. A 2018, 561, 78–86. [Google Scholar] [CrossRef]
- Dong, F.; Zhu, Y.; Zheng, H.; Zhu, Y.; Li, X.; Li, Y. Cr-free Cu-catalysts for the selective hydrogenation of biomass-derived furfural to 2-methylfuran: The synergistic effect of metal and acid sites. J. Mol. Catal. Chem. 2015, 398, 140–148. [Google Scholar] [CrossRef]
- Chen, H.; Ruan, H.; Lu, X.; Fu, J.; Langrish, T.; Lu, X. Efficient catalytic transfer hydrogenation of furfural to furfuryl alcohol in near-critical isopropanol over Cu/MgO-Al2O3 catalyst. Mol. Catal. 2018, 445, 94–101. [Google Scholar] [CrossRef]
- Vargas-Hernández, D.; Rubio-Caballero, J.M.; Santamaría-González, J.; Moreno-Tost, R.; Mérida-Robles, J.M.; Pérez-Cruz, M.A.; Jiménez-López, A.; Hernández-Huesca, R.; Maireles-Torres, P. Furfuryl alcohol from furfural hydrogenation over copper supported on SBA-15 silica catalysts. J. Mol. Catal. Chem. 2014, 383–384, 106–113. [Google Scholar] [CrossRef]
- Jiménez-Gómez, C.P.; Cecilia, J.A.; Márquez-Rodríguez, I.; Moreno-Tost, R.; Santamaría-González, J.; Mérida-Robles, J.; Maireles-Torres, P. Gas-phase hydrogenation of furfural over Cu/CeO2 catalysts. Catal. Today 2017, 279, 327–338. [Google Scholar] [CrossRef]
- Yang, X.; Chen, H.; Meng, Q.; Zheng, H.; Zhu, Y.; Li, Y.W. Insights into influence of nanoparticle size and metal–support interactions of Cu/ZnO catalysts on activity for furfural hydrogenation. Catal. Sci. Technol. 2017, 7, 5625–5634. [Google Scholar] [CrossRef]
- Villaverde, M.M.; Garetto, T.F.; Marchi, A.J. Liquid-phase transfer hydrogenation of furfural to furfuryl alcohol on Cu–Mg–Al catalysts. Catal. Commun. 2015, 58, 6–10. [Google Scholar] [CrossRef]
- Romano, P.N.; de Almeida, J.M.A.R.; Carvalho, Y.; Priecel, P.; Falabella Sousa-Aguiar, E.; Lopez-Sanchez, J.A. Microwave-assisted selective hydrogenation of furfural to furfuryl alcohol employing a green and noble metal-free copper catalyst. ChemSusChem 2016, 9, 3387–3392. [Google Scholar] [CrossRef]
- Dong, F.; Zhu, Y.; Zhao, H.; Tang, Z. Ratio-controlled synthesis of phyllosilicate-like materials as precursors for highly efficient catalysis of the formyl group. Catal. Sci. Technol. 2017, 7, 1880–1891. [Google Scholar] [CrossRef]
- Wang, Y.; Zhu, W.; Sang, S.; Gao, L.; Xiao, G. Supported Cu catalysts for the hydrogenation of furfural in aqueous phase: Effect of support. Asia-Pac. J. Chem. Eng. 2017, 12, 422–431. [Google Scholar] [CrossRef]
- Su, Y.; Chen, C.; Zhu, X.; Zhang, Y.; Gong, W.; Zhang, H.; Zhao, H.; Wang, G. Carbon-embedded Ni nanocatalysts derived from MOFs by a sacrificial template method for efficient hydrogenation of furfural to tetrahydrofurfuryl alcohol. Dalton Trans. 2017, 46, 6358–6365. [Google Scholar] [CrossRef]
- Yang, Y.; Ma, J.; Jia, X.; Du, Z.; Duan, Y.; Xu, J. Aqueous phase hydrogenation of furfural to tetrahydrofurfuryl alcohol on alkaline earth metal modified Ni/Al2O3. RSC Adv. 2016, 6, 51221–51228. [Google Scholar] [CrossRef]
- Jia, P.; Lan, X.; Li, X.; Wang, T. Highly active and selective NiFe/SiO2 bimetallic catalyst with optimized solvent effect for the liquid-phase hydrogenation of furfural to furfuryl alcohol. ACS Sustain. Chem. Eng. 2018, 6, 13287–13295. [Google Scholar] [CrossRef]
- Gong, W.; Chen, C.; Zhang, H.; Wang, G.; Zhao, H. Highly dispersed Co and Ni nanoparticles encapsulated in N-doped carbon nanotubes as efficient catalysts for the reduction of unsaturated oxygen compounds in aqueous phase. Catal. Sci. Technol. 2018, 8, 5506–5514. [Google Scholar] [CrossRef]
- Kotbagi, T.V.; Gurav, H.R.; Nagpure, A.S.; Chilukuri, S.V.; Bakker, M.G. Highly efficient nitrogen-doped hierarchically porous carbon supported Ni nanoparticles for the selective hydrogenation of furfural to furfuryl alcohol. RSC Adv. 2016, 6, 67662–67668. [Google Scholar] [CrossRef]
- Xu, Y.; Qiu, S.; Long, J.; Wang, C.; Chang, J.; Tan, J.; Liu, Q.; Ma, L.; Wang, T.; Zhang, Q. In situ hydrogenation of furfural with additives over a Raney® Ni catalyst. RSC Adv. 2015, 5, 91190–91195. [Google Scholar] [CrossRef]
- Astuti, M.D.; Mujiyanti, D.R.; Santoso, U.T.; Shimazu, S. Novel preparation method of bimetallic Ni-In alloy catalysts supported on amorphous alumina for the highly selective hydrogenation of furfural. Mol. Catal. 2018, 445, 52–60. [Google Scholar] [CrossRef]
- Manikandan, M.; Venugopal, A.K.; Prabu, K.; Jha, R.K.; Thirumalaiswamy, R. Role of surface synergistic effect on the performance of Ni-based hydrotalcite catalyst for highly efficient hydrogenation of furfural. J. Mol. Catal. Chem. 2016, 417, 153–162. [Google Scholar] [CrossRef]
- Jeong, H.; Kim, C.; Yang, S.; Lee, H. Selective hydrogenation of furanic aldehydes using Ni nanoparticle catalysts capped with organic molecules. J. Catal. 2016, 344, 609–615. [Google Scholar] [CrossRef]
- Liu, L.; Lou, H.; Chen, M. Selective hydrogenation of furfural to tetrahydrofurfuryl alcohol over Ni/CNTs and bimetallic CuNi/CNTs catalysts. Int. J. Hydrog. Energy 2016, 41, 14721–14731. [Google Scholar] [CrossRef]
- Gong, W.; Chen, C.; Wang, H.; Fan, R.; Zhang, H.; Wang, G.; Zhao, H. Sulfonate group modified Ni catalyst for highly efficient liquid-phase selective hydrogenation of bio-derived furfural. Chin. Chem. Lett. 2018, 29, 1617–1620. [Google Scholar] [CrossRef]
- Srivastava, S.; Jadeja, G.C.; Parikh, J. Copper-cobalt catalyzed liquid phase hydrogenation of furfural to 2-methylfuran: An optimization, kinetics and reaction mechanism study. Chem. Eng. Res. Des. 2018, 132, 313–324. [Google Scholar] [CrossRef]
- Jiang, P.; Li, X.; Gao, W.; Wang, X.; Tang, Y.; Lan, K.; Wang, B.; Li, R. Highly selective hydrogenation of α, β-unsaturated carbonyl compounds over supported Co nanoparticles. Catal. Commun. 2018, 111, 6–9. [Google Scholar] [CrossRef]
- Garcia-Olmo, A.J.; Yepez, A.; Balu, A.M.; Romero, A.A.; Li, Y.; Luque, R. Insights into the activity, selectivity and stability of heterogeneous catalysts in the continuous flow hydroconversion of furfural. Catal. Sci. Technol. 2016, 6, 4705–4711. [Google Scholar] [CrossRef]
- Mironenko, R.M.; Belskaya, O.B.; Gulyaeva, T.I.; Nizovskii, A.I.; Kalinkin, A.V.; Bukhtiyarov, V.I.; Lavrenov, A.V.; Likholobov, V.A. Effect of the nature of carbon support on the formation of active sites in Pd/C and Ru/C catalysts for hydrogenation of furfural. Catal. Today 2015, 249, 145–152. [Google Scholar] [CrossRef]
- Pang, S.H.; Schoenbaum, C.A.; Schwartz, D.K.; Medlin, J.W. Effects of thiol modifiers on the kinetics of furfural hydrogenation over Pd catalysts. ACS Catal. 2014, 4, 3123–3131. [Google Scholar] [CrossRef]
- Wang, Y.; Cui, Q.; Guan, Y.; Wu, P. Facile synthesis of furfuryl ethyl ether in high yield via the reductive etherification of furfural in ethanol over Pd/C under mild conditions. Green Chem. 2018, 20, 2110–2117. [Google Scholar] [CrossRef]
- Nanao, H.; Murakami, Y.; Sato, O.; Yamaguchi, A.; Hiyoshi, N.; Shirai, M. Furfuryl alcohol and furfural hydrogenation over activated carbon–supported palladium catalyst in presence of water and carbon dioxide. ChemistrySelect 2017, 2, 2471–2475. [Google Scholar] [CrossRef]
- Yin, D.; Ren, H.; Li, C.; Liu, J.; Liang, C. Highly selective hydrogenation of furfural to tetrahydrofurfuryl alcohol over MIL-101(Cr)-NH2 supported Pd catalyst at low temperature. Chin. J. Catal. 2018, 39, 319–326. [Google Scholar] [CrossRef]
- Li, C.; Xu, G.; Liu, X.; Zhang, Y.; Fu, Y. Hydrogenation of biomass-derived furfural to tetrahydrofurfuryl alcohol over hydroxyapatite-supported Pd catalyst under mild conditions. Ind. Eng. Chem. Res. 2017, 56, 8843–8849. [Google Scholar] [CrossRef]
- Nguyen-Huy, C.; Kim, J.S.; Yoon, S.; Yang, E.; Kwak, J.H.; Lee, M.S.; An, K. Supported Pd nanoparticle catalysts with high activities and selectivities in liquid-phase furfural hydrogenation. Fuel 2018, 226, 607–617. [Google Scholar] [CrossRef]
- Albilali, R.; Douthwaite, M.; He, Q.; Taylor, S.H. The selective hydrogenation of furfural over supported palladium nanoparticle catalysts prepared by sol-immobilisation: Effect of catalyst support and reaction conditions. Catal. Sci. Technol. 2018, 8, 252–267. [Google Scholar] [CrossRef]
- Ouyang, W.; Yepez, A.; Romero, A.A.; Luque, R. Towards industrial furfural conversion: Selectivity and stability of palladium and platinum catalysts under continuous flow regime. Catal. Today 2018, 308, 32–37. [Google Scholar] [CrossRef]
- Nishimura, S.; Shimura, T.; Ebitani, K. Transfer hydrogenation of furaldehydes with sodium phosphinate as a hydrogen source using Pd-supported alumina catalyst. J. Taiwan Inst. Chem. Eng. 2017, 79, 97–102. [Google Scholar] [CrossRef]
- Liu, L.; Lou, H.; Chen, M. Selective hydrogenation of furfural over Pt based and Pd based bimetallic catalysts supported on modified multiwalled carbon nanotubes (MWNT). Appl. Catal. A 2018, 550, 1–10. [Google Scholar] [CrossRef]
- Chen, B.; Li, F.; Huang, Z.; Yuan, G. Tuning catalytic selectivity of liquid-phase hydrogenation of furfural via synergistic effects of supported bimetallic catalysts. Appl. Catal. A 2015, 500, 23–29. [Google Scholar] [CrossRef]
- Huang, S.; Yang, N.; Wang, S.; Sun, Y.; Zhu, Y. Tuning the synthesis of platinum–copper nanoparticles with a hollow core and porous shell for the selective hydrogenation of furfural to furfuryl alcohol. Nanoscale 2016, 8, 14104–14108. [Google Scholar] [CrossRef]
- Maligal-Ganesh, R.V.; Xiao, C.; Goh, T.W.; Wang, L.L.; Gustafson, J.; Pei, Y.; Qi, Z.; Johnson, D.D.; Zhang, S.; Tao, F.; et al. A ship-in-a-bottle strategy to synthesize encapsulated intermetallic nanoparticle catalysts: Exemplified for furfural hydrogenation. ACS Catal. 2016, 6, 1754–1763. [Google Scholar] [CrossRef]
- Zhang, C.; Lai, Q.; Holles, J.H. Bimetallic overlayer catalysts with high selectivity and reactivity for furfural hydrogenation. Catal. Commun. 2017, 89, 77–80. [Google Scholar] [CrossRef]
- O’Driscoll, Á.; Leahy, J.J.; Curtin, T. The influence of metal selection on catalyst activity for the liquid phase hydrogenation of furfural to furfuryl alcohol. Catal. Today 2017, 279, 194–201. [Google Scholar] [CrossRef]
- Musci, J.J.; Merlo, A.B.; Casella, M.L. Aqueous phase hydrogenation of furfural using carbon-supported Ru and RuSn catalysts. Catal. Today 2017, 296, 43–50. [Google Scholar] [CrossRef]
- Panagiotopoulou, P.; Martin, N.; Vlachos, D.G. Effect of hydrogen donor on liquid phase catalytic transfer hydrogenation of furfural over a Ru/RuO2/C catalyst. J. Mol. Catal. Chem. 2014, 392, 223–228. [Google Scholar] [CrossRef]
- Wang, B.; Li, C.; He, B.; Qi, J.; Liang, C. Highly stable and selective Ru/NiFe2O4 catalysts for transfer hydrogenation of biomass-derived furfural to 2-methylfuran. J. Energy Chem. 2017, 26, 799–807. [Google Scholar] [CrossRef]
- Panagiotopoulou, P.; Vlachos, D.G. Liquid phase catalytic transfer hydrogenation of furfural over a Ru/C catalyst. Appl. Catal. A 2014, 480, 17–24. [Google Scholar] [CrossRef]
- Ramirez-Barria, C.; Isaacs, M.; Wilson, K.; Guerrero-Ruiz, A.; Rodríguez-Ramos, I. Optimization of ruthenium based catalysts for the aqueous phase hydrogenation of furfural to furfuryl alcohol. Appl. Catal. A 2018, 563, 177–184. [Google Scholar] [CrossRef]
- Aldosari, O.F.; Iqbal, S.; Miedziak, P.J.; Brett, G.L.; Jones, D.R.; Liu, X.; Edwards, J.K.; Morgan, D.J.; Knight, D.K.; Hutchings, G.J. Pd–Ru/TiO2 catalyst—An active and selective catalyst for furfural hydrogenation. Catal. Sci. Technol. 2015, 6, 234–242. [Google Scholar] [CrossRef]
- Yan, Y.; Bu, C.; He, Q.; Zheng, Z.; Ouyang, J. Efficient bioconversion of furfural to furfuryl alcohol by Bacillus Coagulans NL01. RSC Adv. 2018, 8, 26720–26727. [Google Scholar] [CrossRef]
- He, Y.; Ding, Y.; Ma, C.; Di, J.; Jiang, C.; Li, A. One-pot conversion of biomass-derived xylose to furfuralcohol by a chemo-enzymatic sequential acid-catalyzed dehydration and bioreduction. Green Chem. 2017, 19, 3844–3850. [Google Scholar] [CrossRef]
- Jung, S.; Biddinger, E.J. Electrocatalytic hydrogenation and hydrogenolysis of furfural and the impact of homogeneous side reactions of furanic compounds in acidic electrolytes. ACS Sustain. Chem. Eng. 2016, 4, 6500–6508. [Google Scholar] [CrossRef]
- Zhao, B.; Chen, M.; Guo, Q.; Fu, Y. Electrocatalytic hydrogenation of furfural to furfuryl alcohol using platinum supported on activated carbon fibers. Electrochim. Acta 2014, 135, 139–146. [Google Scholar] [CrossRef]
- Jung, S.; Karaiskakis, A.N.; Biddinger, E.J. Enhanced activity for electrochemical hydrogenation and hydrogenolysis of furfural to biofuel using electrodeposited Cu catalysts. Catal. Today 2019, 323, 26–34. [Google Scholar] [CrossRef]
- Liu, L.; Liu, H.; Huang, W.; He, Y.; Zhang, W.; Wang, C.; Lin, H. Mechanism and kinetics of the electrocatalytic hydrogenation of furfural to furfuryl alcohol. J. Electroanal. Chem. 2017, 804, 248–253. [Google Scholar] [CrossRef]
- Chadderdon, X.H.; Chadderdon, D.J.; Matthiesen, J.E.; Qiu, Y.; Carraher, J.M.; Tessonnier, J.P.; Li, W. Mechanisms of furfural reduction on metal electrodes: Distinguishing pathways for selective hydrogenation of bioderived oxygenates. J. Am. Chem. Soc. 2017, 139, 14120–14128. [Google Scholar] [CrossRef]
- Gaillard, S.; Renaud, J.L. Iron-catalyzed hydrogenation, hydride transfer, and hydrosilylation: An alternative to precious-metal complexes? ChemSusChem 2008, 1, 505–509. [Google Scholar] [CrossRef]
- Filonenko, G.A.; van Putten, R.; Hensen, E.J.M.; Pidko, E.A. Catalytic (de)hydrogenation promoted by non-precious metals—Co, Fe and Mn: Recent advances in an emerging field. Chem. Soc. Rev. 2018, 47, 1459–1483. [Google Scholar] [CrossRef]
- Ryabchuk, P.; Agostini, G.; Pohl, M.M.; Lund, H.; Agapova, A.; Junge, H.; Junge, K.; Beller, M. Intermetallic nickel silicide nanocatalyst—A non-noble metal–based general hydrogenation catalyst. Sci. Adv. 2018, 4. [Google Scholar] [CrossRef]
- Liu, L.; Concepción, P.; Corma, A. Non-noble metal catalysts for hydrogenation: A facile method for preparing Co nanoparticles covered with thin layered carbon. J. Catal. 2016, 340, 1–9. [Google Scholar] [CrossRef]
- Sun, J.; Yu, J.; Ma, Q.; Meng, F.; Wei, X.; Sun, Y.; Tsubaki, N. Freezing Copper as a Noble Metal–like Catalyst for Preliminary Hydrogenation. Sci. Adv. 2018, 4. [Google Scholar] [CrossRef]
- Sun, C.; Zeng, P.; He, M.; He, X.; Xie, X. Morphological effect of non-supported copper nanocrystals on furfural hydrogenation. Catal. Commun. 2016, 86, 5–8. [Google Scholar] [CrossRef]
- Gong, W.; Chen, C.; Fan, R.; Zhang, H.; Wang, G.; Zhao, H. Transfer-hydrogenation of furfural and levulinic acid over supported copper catalyst. Fuel 2018, 231, 165–171. [Google Scholar] [CrossRef]
- Zhang, H.; Lei, Y.; Kropf, A.J.; Zhang, G.; Elam, J.W.; Miller, J.T.; Sollberger, F.; Ribeiro, F.; Akatay, M.C.; Stach, E.A.; et al. Enhancing the stability of copper chromite catalysts for the selective hydrogenation of furfural using ALD overcoating. J. Catal. 2014, 317, 284–292. [Google Scholar] [CrossRef]
- Prakruthi, H.R.; Chandrashekara, B.M.; Jai, P.B.S.; Bhat, Y.S. Hydrogenation efficiency of highly porous Cu-Al oxides derived from dealuminated LDH in the conversion of furfural to furfuryl alcohol. J. Ind. Eng. Chem. 2018, 62, 96–105. [Google Scholar] [CrossRef]
- Jiménez-Gómez, C.P.; Cecilia, J.A.; Durán-Martín, D.; Moreno-Tost, R.; Santamaría-González, J.; Mérida-Robles, J.; Mariscal, R.; Maireles-Torres, P. Gas-phase hydrogenation of furfural to furfuryl alcohol over Cu/ZnO catalysts. J. Catal. 2016, 336, 107–115. [Google Scholar] [CrossRef]
- Jiménez-Gómez, C.P.; Cecilia, J.A.; Franco-Duro, F.I.; Pozo, M.; Moreno-Tost, R.; Maireles-Torres, P. Promotion effect of Ce or Zn oxides for improving furfuryl alcohol yield in the furfural hydrogenation using inexpensive Cu-Based catalysts. Mol. Catal. 2018, 455, 121–131. [Google Scholar] [CrossRef]
- Jackson, M.A.; White, M.G.; Haasch, R.T.; Peterson, S.C.; Blackburn, J.A. Hydrogenation of furfural at the dynamic Cu surface of CuOCeO2/Al2O3 in a vapor phase packed bed reactor. Mol. Catal. 2018, 445, 124–132. [Google Scholar] [CrossRef]
- Srivastava, S.; Mohanty, P.; Parikh, J.K.; Dalai, A.K.; Amritphale, S.S.; Khare, A.K. Cr-Free Co–Cu/SBA-15 catalysts for hydrogenation of biomass-derived α-, β-unsaturated aldehyde to alcohol. Chin. J. Catal. 2015, 36, 933–942. [Google Scholar] [CrossRef]
- Srivastava, S.; Jadeja, G.C.; Parikh, J. A versatile Bi-metallic copper–cobalt catalyst for liquid phase hydrogenation of furfural to 2-methylfuran. RSC Adv. 2015, 6, 1649–1658. [Google Scholar] [CrossRef]
- Dong, F.; Ding, G.; Zheng, H.; Xiang, X.; Chen, L.; Zhu, Y.; Li, Y. Highly dispersed Cu nanoparticles as an efficient catalyst for the synthesis of the biofuel 2-methylfuran. Catal. Sci. Technol. 2016, 6, 767–779. [Google Scholar] [CrossRef]
- Gong, W.; Chen, C.; Zhang, H.; Wang, G.; Zhao, H. In situ synthesis of highly dispersed Cu–Co bimetallic nanoparticles for tandem hydrogenation/rearrangement of bioderived furfural in aqueous-phase. ACS Sustain. Chem. Eng. 2018, 6, 14919–14925. [Google Scholar] [CrossRef]
- Wang, Y.; Miao, Y.; Li, S.; Gao, L.; Xiao, G. Metal-organic frameworks derived bimetallic Cu-Co catalyst for efficient and selective hydrogenation of biomass-derived furfural to furfuryl alcohol. Mol. Catal. 2017, 436, 128–137. [Google Scholar] [CrossRef]
- Zhang, Z.; Pei, Z.; Chen, H.; Chen, K.; Hou, Z.; Lu, X.; Ouyang, P.; Fu, J. Catalytic in-situ hydrogenation of furfural over bimetallic Cu–Ni alloy catalysts in isopropanol. Ind. Eng. Chem. Res. 2018, 57, 4225–4230. [Google Scholar] [CrossRef]
- Srivastava, S.; Jadeja, G.C.; Parikh, J. Synergism studies on alumina-supported copper-nickel catalysts towards furfural and 5-hydroxymethylfurfural hydrogenation. J. Mol. Catal. Chem. 2017, 426, 244–256. [Google Scholar] [CrossRef]
- Pang, S.H.; Love, N.E.; Medlin, J.W. Synergistic effects of alloying and thiolate modification in furfural hydrogenation over Cu-based catalysts. J. Phys. Chem. Lett. 2014, 5, 4110–4114. [Google Scholar] [CrossRef]
- Fu, Z.; Wang, Z.; Lin, W.; Song, W.; Li, S. High efficient conversion of furfural to 2-methylfuran over Ni-Cu/Al2O3 catalyst with formic acid as a hydrogen donor. Appl. Catal. A 2017, 547, 248–255. [Google Scholar] [CrossRef]
- Wu, J.; Gao, G.; Li, J.; Sun, P.; Long, X.; Li, F. Efficient and versatile CuNi alloy nanocatalysts for the highly selective hydrogenation of furfural. Appl. Catal. B 2017, 203, 227–236. [Google Scholar] [CrossRef]
- Zhang, J.; Chen, J. Selective transfer hydrogenation of biomass-based furfural and 5-hydroxymethylfurfural over hydrotalcite-derived copper catalysts using methanol as a hydrogen donor. ACS Sustain. Chem. Eng. 2017, 5, 5982–5993. [Google Scholar] [CrossRef]
- Manikandan, M.; Venugopal, A.K.; Nagpure, A.S.; Chilukuri, S.; Raja, T. Promotional effect of Fe on the performance of supported Cu catalyst for ambient pressure hydrogenation of furfural. RSC Adv. 2016, 6, 3888–3898. [Google Scholar] [CrossRef]
- Audemar, M.; Ciotonea, C.; De Oliveira Vigier, K.; Royer, S.; Ungureanu, A.; Dragoi, B.; Dumitriu, E.; Jérôme, F. Selective hydrogenation of furfural to furfuryl alcohol in the presence of a recyclable cobalt/SBA-15 catalyst. ChemSusChem 2015, 8, 1885–1891. [Google Scholar] [CrossRef]
- Lee, J.; Burt, S.P.; Carrero, C.A.; Alba-Rubio, A.C.; Ro, I.; O’Neill, B.J.; Kim, H.J.; Jackson, D.H.; Kuech, T.F.; Hermans, I. Stabilizing cobalt catalysts for aqueous-phase reactions by strong metal-support interaction. J. Catal. 2015, 330, 19–27. [Google Scholar] [CrossRef]
- Sulmonetti, T.P.; Pang, S.H.; Claure, M.T.; Lee, S.; Cullen, D.A.; Agrawal, P.K.; Jones, C.W. Vapor phase hydrogenation of furfural over nickel mixed metal oxide catalysts derived from layered double hydroxides. Appl. Catal. A 2016, 517, 187–195. [Google Scholar] [CrossRef]
- Wang, C.; Luo, J.; Liao, V.; Lee, J.D.; Onn, T.M.; Murray, C.B.; Gorte, R.J. A comparison of furfural hydrodeoxygenation over Pt-Co and Ni-Fe catalysts at high and low H2 pressures. Catal. Today 2018, 302, 73–79. [Google Scholar] [CrossRef]
- Wang, Y.; Prinsen, P.; Triantafyllidis, K.S.; Karakoulia, S.A.; Trikalitis, P.N.; Yepez, A.; Len, C.; Luque, R. Comparative study of supported monometallic catalysts in the liquid-phase hydrogenation of furfural: Batch versus continuous flow. ACS Sustain. Chem. Eng. 2018, 6, 9831–9844. [Google Scholar] [CrossRef]
- Wang, Y.; Prinsen, P.; Triantafyllidis, K.S.; Karakoulia, S.A.; Yepez, A.; Len, C.; Luque, R. Batch versus continuous flow performance of supported mono- and bimetallic nickel catalysts for catalytic transfer hydrogenation of furfural in isopropanol. ChemCatChem 2018, 10, 3459–3468. [Google Scholar] [CrossRef]
- Koehle, M.; Lobo, R.F. Lewis Acidic Zeolite Beta Catalyst for the Meerwein–Ponndorf–Verley Reduction of Furfural. Catal. Sci. Technol. 2016, 6, 3018–3026. [Google Scholar] [CrossRef]
- Gilkey, M.J.; Panagiotopoulou, P.; Mironenko, A.V.; Jenness, G.R.; Vlachos, D.G.; Xu, B. Mechanistic insights into metal Lewis acid-mediated catalytic transfer hydrogenation of furfural to 2-methylfuran. ACS Catal. 2015, 5, 3988–3994. [Google Scholar] [CrossRef]
- He, J.; Yang, S.; Riisager, A. Magnetic nickel ferrite nanoparticles as highly durable catalysts for catalytic transfer hydrogenation of bio-based aldehydes. Catal. Sci. Technol. 2018, 8, 790–797. [Google Scholar] [CrossRef]
- Li, S.; Wang, Y.; Gao, L.; Wu, Y.; Yang, X.; Sheng, P.; Xiao, G. Short channeled Ni-Co/SBA-15 catalysts for highly selective hydrogenation of biomass-derived furfural to tetrahydrofurfuryl alcohol. Micropor. Mesopor. Mater. 2018, 262, 154–165. [Google Scholar] [CrossRef]
- Marakatti, V.S.; Arora, N.; Rai, S.; Sarma, S.C.; Peter, S.C. Understanding the role of atomic ordering in the crystal structures of NixSny toward efficient vapor phase furfural hydrogenation. ACS Sustain. Chem. Eng. 2018, 6, 7325–7338. [Google Scholar] [CrossRef]
- Astuti, M.D.; Santoso, U.T.; Shimazu, S. Hydrogenation of biomass-derived furfural over highly dispersed-aluminium hydroxide supported Ni-Sn(3.0) alloy catalysts. Procedia Chem. 2015, 16, 531–539. [Google Scholar] [CrossRef]
- Montes, V.; Miñambres, J.F.; Khalilov, A.N.; Boutonnet, M.; Marinas, J.M.; Urbano, F.J.; Maharramov, A.M.; Marinas, A. Chemoselective hydrogenation of furfural to furfuryl alcohol on ZrO2 systems synthesized through the microemulsion method. Catal. Today 2018, 306, 89–95. [Google Scholar] [CrossRef]
- Zhang, J.; Dong, K.; Luo, W.; Guan, H. Selective transfer hydrogenation of furfural into furfuryl alcohol on Zr-containing catalysts using lower alcohols as hydrogen donors. ACS Omega 2018, 3, 6206–6216. [Google Scholar] [CrossRef]
- Sha, Y.; Xiao, Z.; Zhou, H.; Yang, K.; Song, Y.; Li, N.; He, R.; Zhi, K.; Liu, Q. Direct use of humic acid mixtures to construct efficient Zr-containing catalysts for Meerwein–Ponndorf–Verley reactions. Green Chem. 2017, 19, 4829–4837. [Google Scholar] [CrossRef]
- Li, H.; Li, Y.; Fang, Z.; Smith, R.L. Efficient catalytic transfer hydrogenation of biomass-based furfural to furfuryl alcohol with recycable Hf-phenylphosphonate nanohybrids. Catal. Today 2019, 319, 84–92. [Google Scholar] [CrossRef]
- Injongkol, Y.; Maihom, T.; Treesukul, P.; Sirijaraensre, J.; Boekfa, B.; Limtrakul, J. Theoretical study on the reaction mechanism of hydrogenation of furfural to furfuryl alcohol on Lewis acidic BEA zeolites: Effects of defect structure and tetravalent metals substitution. Phys. Chem. Chem. Phys. 2017, 19, 24042–24048. [Google Scholar] [CrossRef]
- Kim, M.S.; Simanjuntak, F.S.H.; Lim, S.; Jae, J.; Ha, J.M.; Lee, H. Synthesis of alumina–carbon composite material for the catalytic conversion of furfural to furfuryl alcohol. J. Ind. Eng. Chem. 2017, 52, 59–65. [Google Scholar] [CrossRef]
- Xie, L.; Chen, T.; Chan, H.C.; Shu, Y.; Gao, Q. Front cover: Hydrogen doping into MoO3 supports toward modulated metal–support interactions and efficient furfural hydrogenation on iridium nanocatalysts. Chem. Asian J. 2018, 13, 584. [Google Scholar] [CrossRef]
- Zhang, Z.; Tong, X.; Zhang, H.; Li, Y. Versatile catalysis of iron: Tunable and selective transformation of biomass-derived furfural in aliphatic alcohol. Green Chem. 2018, 20, 3092–3100. [Google Scholar] [CrossRef]
- Lee, W.S.; Wang, Z.; Zheng, W.; Vlachos, D.G.; Bhan, A. Vapor phase hydrodeoxygenation of furfural to 2-methylfuran on molybdenum carbide catalysts. Catal. Sci. Technol. 2014, 4, 2340–2352. [Google Scholar] [CrossRef]
- Grazia, L.; Bonincontro, D.; Lolli, A.; Tabanelli, T.; Lucarelli, C.; Albonetti, S.; Cavani, F. Exploiting H-transfer as a tool for the catalytic reduction of bio-based building blocks: The gas-phase production of 2-methylfurfural using a FeVO4 catalyst. Green Chem. 2017, 19, 4412–4422. [Google Scholar] [CrossRef]
- Wu, W.; Zhao, W.; Fang, C.; Wang, Z.; Yang, T.; Li, H.; Yang, S. Quantitative hydrogenation of furfural to furfuryl alcohol with recyclable KF and hydrosilane at room temperature in minutes. Catal. Commun. 2018, 105, 6–10. [Google Scholar] [CrossRef]
- Grazia, L.; Lolli, A.; Folco, F.; Zhang, Y.; Albonetti, S.; Cavani, F. Gas-phase cascade upgrading of furfural to 2-methylfuran using methanol as a H-transfer reactant and MgO based catalysts. Catal. Sci. Technol. 2016, 6, 4418–4427. [Google Scholar] [CrossRef]
- Garcia-Olmo, A.J.; Yepez, A.; Balu, A.M.; Prinsen, P.; Garcia, A.; Maziere, A.; Len, C.; Luque, R. Activity of continuous flow synthesized Pd-based nanocatalysts in the flow hydroconversion of furfural. Tetrahedron 2017, 73, 5599–5604. [Google Scholar] [CrossRef]
- Vorotnikov, V.; Mpourmpakis, G.; Vlachos, D.G. DFT study of furfural conversion to furan, furfuryl alcohol, and 2-methylfuran on Pd(111). ACS Catal. 2012, 2, 2496–2504. [Google Scholar] [CrossRef]
- Hu, X.; Kadarwati, S.; Song, Y.; Li, C.Z. Simultaneous hydrogenation and acid-catalyzed conversion of the biomass-derived furans in solvents with distinct polarities. RSC Adv. 2016, 6, 4647–4656. [Google Scholar] [CrossRef]
- Casoni, A.I.; Hoch, P.M.; Volpe, M.A.; Gutierrez, V.S. Catalytic conversion of furfural from pyrolysis of sunflower seed hulls for producing bio-based furfuryl alcohol. J. Clean. Prod. 2018, 178, 237–246. [Google Scholar] [CrossRef]
- Bhogeswararao, S.; Srinivas, D. Catalytic conversion of furfural to industrial chemicals over supported Pt and Pd catalysts. J. Catal. 2015, 327, 65–77. [Google Scholar] [CrossRef]
- Lesiak, M.; Binczarski, M.; Karski, S.; Maniukiewicz, W.; Rogowski, J.; Szubiakiewicz, E.; Berlowska, J.; Dziugan, P.; Witońska, I. Hydrogenation of furfural over Pd–Cu/Al2O3 catalysts. The role of interaction between palladium and copper on determining catalytic properties. J. Mol. Catal. Chem. 2014, 395, 337–348. [Google Scholar] [CrossRef]
- Date, N.S.; Biradar, N.S.; Chikate, R.C.; Rode, C.V. Effect of reduction protocol of Pd catalysts on product distribution in furfural hydrogenation. ChemistrySelect 2017, 2, 24–32. [Google Scholar] [CrossRef]
- Pino, N.; Sitthisa, S.; Tan, Q.; Souza, T.; López, D.; Resasco, D.E. Structure, activity, and selectivity of bimetallic Pd-Fe/SiO2 and Pd-Fe/γ-Al2O3 catalysts for the conversion of furfural. J. Catal. 2017, 350, 30–40. [Google Scholar] [CrossRef]
- Fulajtárova, K.; Soták, T.; Hronec, M.; Vávra, I.; Dobročka, E.; Omastová, M. Aqueous phase hydrogenation of furfural to furfuryl alcohol over Pd–Cu catalysts. Appl. Catal. A 2015, 502, 78–85. [Google Scholar] [CrossRef]
- Du, J.; Zhang, J.; Sun, Y.; Jia, W.; Si, Z.; Gao, H.; Tang, X.; Zeng, X.; Lei, T.; Liu, S.; et al. Catalytic transfer hydrogenation of biomass-derived furfural to furfuryl alcohol over in-situ prepared nano Cu-Pd/C catalyst using formic acid as hydrogen source. J. Catal. 2018, 368, 69–78. [Google Scholar] [CrossRef]
- Puthiaraj, P.; Kim, K.; Ahn, W.S. Catalytic transfer hydrogenation of bio-based furfural by palladium supported on nitrogen-doped porous carbon. Catal. Today 2019, 324, 49–58. [Google Scholar] [CrossRef]
- Taylor, M.J.; Jiang, L.; Reichert, J.; Papageorgiou, A.C.; Beaumont, S.K.; Wilson, K.; Kyriakou, G. Catalytic hydrogenation and hydrodeoxygenation of furfural over Pt (111): A model system for the rational design and operation of practical biomass conversion catalysts. J. Phys. Chem. C 2017, 121, 8490–8497. [Google Scholar] [CrossRef]
- Castelbou, J.L.; Szeto, K.C.; Barakat, W.; Merle, N.; Godard, C.; Taoufik, M.; Claver, C. A new approach for the preparation of well-defined Rh and Pt nanoparticles stabilized by phosphine-functionalized silica for selective hydrogenation reactions. Chem. Commun. 2017, 53, 3261–3264. [Google Scholar] [CrossRef]
- Wang, C.; Guo, Z.; Yang, Y.; Chang, J.; Borgna, A. Hydrogenation of furfural as model reaction of bio-oil stabilization under mild conditions using multiwalled carbon nanotube (MWNT)-supported Pt catalysts. Ind. Eng. Chem. Res. 2014, 53, 11284–11291. [Google Scholar] [CrossRef]
- O’Driscoll, Á.; Curtin, T.; Hernández, W.Y.; Van Der Voort, P.; Leahy, J.J. Hydrogenation of furfural with a Pt–Sn catalyst: The suitability to sustainable industrial application. Org. Process Res. Dev. 2016, 20, 1917–1929. [Google Scholar] [CrossRef]
- Chatterjee, M.; Chatterjee, A.; Ishizaka, T.; Kawanami, H. Defining Pt-compressed CO2 synergy for selectivity control of furfural hydrogenation. RSC Adv. 2018, 8, 20190–20201. [Google Scholar] [CrossRef]
- Taylor, M.J.; Durndell, L.J.; Isaacs, M.A.; Parlett, C.M.A.; Wilson, K.; Lee, A.F.; Kyriakou, G. Highly selective hydrogenation of furfural over supported Pt nanoparticles under mild conditions. Appl. Catal. B 2016, 180, 580–585. [Google Scholar] [CrossRef]
- Dohade, M.G.; Dhepe, P.L. Efficient hydrogenation of concentrated aqueous furfural solutions into furfuryl alcohol under ambient conditions in presence of PtCo bimetallic catalyst. Green Chem. 2017, 19, 1144–1154. [Google Scholar] [CrossRef]
- Yuan, Q.; Zhang, D.; van Haandel, L.; Ye, F.; Xue, T.; Hensen, E.J.M.; Guan, Y. Selective liquid phase hydrogenation of furfural to furfuryl alcohol by Ru/Zr-MOFs. J. Mol. Catal. Chem. 2015, 406, 58–64. [Google Scholar] [CrossRef]
- Yang, J.; Ma, J.; Yuan, Q.; Zhang, P.; Guan, Y. Selective hydrogenation of furfural on Ru/Al-MIL-53: A comparative study on the effect of aromatic and aliphatic organic linkers. RSC Adv. 2016, 6, 92299–92304. [Google Scholar] [CrossRef]
- Bagnato, G.; Figoli, A.; Ursino, C.; Galiano, F.; Sanna, A. A Novel Ru–polyethersulfone (PES) catalytic membrane for highly efficient and selective hydrogenation of furfural to furfuryl alcohol. J. Mater. Chem. A 2018, 6, 4955–4965. [Google Scholar] [CrossRef]
- Date, N.S.; Hengne, A.M.; Huang, K.W.; Chikate, R.C.; Rode, C.V. Single Pot selective hydrogenation of furfural to 2-methylfuran over carbon supported iridium catalysts. Green Chem. 2018, 20, 2027–2037. [Google Scholar] [CrossRef]
- Li, M.; Hao, Y.; Cárdenas-Lizana, F.; Keane, M.A. Selective production of furfuryl alcohol via gas phase hydrogenation of furfural over Au/Al2O3. Catal. Commun. 2015, 69, 119–122. [Google Scholar] [CrossRef]
- Tukacs, J.M.; Bohus, M.; Dibó, G.; Mika, L.T. Ruthenium-catalyzed solvent-free conversion of furfural to furfuryl alcohol. RSC Adv. 2017, 7, 3331–3335. [Google Scholar] [CrossRef]












| Entry | Catalyst | H Source | Solvent | Temperature (°C) | Time (h) | Pressure (bar) | Yield (%) | Ref. | |||
|---|---|---|---|---|---|---|---|---|---|---|---|
| FA | MF | THFA | MTHF | ||||||||
| 1 | Cu nanowire | H2 | 1,4-dioxane | 200 | 1.5 | 30 | >33 | - | - | - | [118] |
| 2 | Cu/CaAlO | 1,4-BDO | - | 210 | 1.8 a | 1 | 96 | - | - | - | [34] |
| 3 | Cu/AC | i-PrOH | i-PrOH | 200 | 5 | 20 | 8 | 92 | - | - | [119] |
| 4 | Cu/CaAlO | H2 | - | 220 | 6 a | - | 77 | - | - | - | [121] |
| 5 | Cu/ZnO | H2 | CPME | 190 | 1 | - | 70 | - | - | - | [122] |
| 6 | Cu/ZnO | H2 | - | 120 | 0.435 a | - | 94 | 0 | - | - | [65] |
| 7 | Cu/CeO2 | H2 | CPME | 190 | 1 | - | 71 | 6 | - | - | [64] |
| 8 | Cu/kerolitic clay | H2 | - | 210 | - | - | 32 | 48 | - | - | [123] |
| 9 | Cu-CeO2/kerolitic clay | H2 | - | 190 | 5 | - | 81 | - | - | - | [123] |
| 10 | CuO-CeO2/g-Al2O3 | H2 | - | 175 | 5 | 5 | 85 | 4 | - | - | [124] |
| 11 | Cu/SiO2 | H2 | - | 220 | 5 a | 1 | 2 | 90 | - | - | [61] |
| 12 | Cu/phyllosilicate | H2 | - | 200 | 5 a | - | 2 | 87 | - | 1 | [68] |
| 13 | Cu/SBA-15 | H2 | CPME | 170 | 5 | - | 52 | 2 | - | - | [63] |
| 14 | Cu-Co/SBA-15 | H2 | i-PrOH | 170 | 4 | 20 | 80 | 9 | - | - | [125] |
| 15 | Cu-Co/SiO2 | H2 | i-PrOH | 200 | 4 | 40 | 53 | 27 | 5 | 0 | [81] |
| 16 | Cu-Co/H-ZSM-5 | H2 | i-PrOH | 200 | 4 | 40 | 28 | 54 | 15 | 2 | [81] |
| 17 | Cu-Co/Al2O3 | H2 | i-PrOH | 220 | 4 | 40 | 11 | 78 | 10 | 1 | [81] |
| 18 | Cu-Co/C | H2 | EtOH | 140 | 1 | 30 | 96 | - | - | - | [129] |
| 19 | Cu/TiO2 | H2 | CPME | 125 | 3 | 10 | 99 | 1 | 0 | 0 | [59] |
| 20 | Cu-Ni2/Al2O | i-PrOH | i-PrOH | 230 | 4 | - | 0 | 65 | 5 | 18 | [130] |
| 21 | Cu-Ni/Al2O3 | HCOOH | i-PrOH | 210 | 7 | - | 2 | 92 | - | - | [133] |
| 22 | Cu-Ni/MgAlO | H2 | EtOH | 150 | 3 | 40 | 0 | - | 95 | - | [134] |
| 23 | Cu-Ni/CNTs | H2 | EtOH | 130 | 10 | 40 | 0 | - | 90 | - | [79] |
| 24 | Cu-Al | MeOH | MeOH | 200 | 2.5 | 10 | 94 | - | - | - | [135] |
| 25 | Cu-Al-A | MeOH | MeOH | 240 | 1.5 | 10 | - | 94 | - | - | [135] |
| 26 | Cu-Fe | H2 | Octane | 220 | 14 | 90 | 42 | 51 | - | - | [25] |
| 27 | Cu-Fe/Al2O3 | H2 | - | 175 | 1 a | 1 | 92 | 1 | - | - | [136] |
| 28 | Cu/ZnO-Al2O3 | H2 | - | 120 | 5 a | 1 | 92 | 3 | - | - | [60] |
| 29 | Cu/MgO-Al2O3 | i-PrOH | i-PrOH | 210 | 1 | - | 89 | - | - | - | [62] |
| 30 | Cu-Mg-Al | i-PrOH | i-PrOH | 150 | 6 | - | 0 | - | - | - | [66] |
| Entry | Catalyst | H Source | Solvent | Temperature (°C) | Time (h) | Pressure (bar) | Yield (%) | Ref. | |||
|---|---|---|---|---|---|---|---|---|---|---|---|
| FA | MF | THFA | MTHF | ||||||||
| 1 | Co/SBA-15 | H2 | EtOH | 150 | 1.5 | 20 | 88 | - | - | - | [137] |
| 2 | Co/TiO2 | H2 | - | 80 | 17.5 a | 23.4 | 95 | - | - | - | [138] |
| 3 | Co/CPNs | H2 | i-PrOH | 180 | 2.5 | 30 | 98 | - | - | - | [82] |
| 4 | Co/NCNTs | H2 | H2O | 110 | 5 | 40 | 92 | - | - | - | [73] |
| 5 | Ni/NCNTs | H2 | H2O | 100 | 7 | 40 | 0 | - | 100 | - | [73] |
| 6 | Ni/C | H2 | - | 120 | 2 | 10 | - | - | 100 | - | [70] |
| 7 | Ni/Ba-Al2O3 | H2 | - | 140 | 4 | 40 | - | - | 96 | - | [71] |
| 8 | Ni/CN | H2 | i-PrOH | 200 | 4 | 10 | 91 | 2 | 2 | 1 | [74] |
| 9 | Capped Ni NPs | H2 | i-PrOH | 110 | 3 | 30 | 96 | - | 4 | - | [77] |
| 10 | Ni/AC-SO3H | H2 | i-PrOH | 60 | 8 | 40 | 100 | - | - | - | [80] |
| 11 | Ni/AC-SO3H | H2 | i-PrOH | 100 | 5 | 40 | - | - | 100 | - | [80] |
| 12 | Ni/AC-SO3H | i-PrOH | i-PrOH | 140 | 4 | 40 b | 100 | - | - | - | [80] |
| 13 | Ni2/MgAl | H2 | - | 180 | 1.8 a | 1 | 92 | - | 4 | - | [77] |
| 14 | NiCl | H2 | - | 180 | 4 a | 33 | 1 | 1 | 5 | 56 | [140] |
| 15 | NiFe/C | H2 | - | 180 | 4 a | 33 | 4 | 72 | 2 | 6 | [140] |
| 16 | Ni/C | H2 | i-PrOH | 200 | 5 | 30 | 6 | 66 | 1 | 2 | [141] |
| 17 | Ni/C | i-PrOH | i-PrOH | 260 | 5 | 1 | 20 | 50 | 1 | 1 | [141] |
| 18 | Ni/C | H2 | CPME | 150 | nd | 50 | 39 | 2 | 32 | 0 | [141] |
| 19 | No-W/C | i-PrOH | i-PrOH | 230 | 1 | 30 | 0 | 70 | 0 | 0 | [142] |
| 20 | NiFe2O4 | i-PrOH | i-PrOH | 180 | 6 | - | 94 | - | - | - | [145] |
| 21 | Ni-Co/SBA-15 | H2 | EtOH | 90 | 2 | 50 | 92 | - | - | - | [146] |
| 22 | Ni3Sn2/Al2O3 | H2 | - | 280 | 0.5 a | 1 | 41 | - | - | - | [147] |
| 23 | Ni-In/AlOH | H2 | i-PrOH | 180 | 3 | 30 | 92 | - | 4 | - | [76] |
| 24 | Raney Ni/AlOH | H2 | i-PrOH | 180 | 1.25 | 30 | 1 | - | 99 | - | [76] |
| 25 | Ni-Sn/AlOH | H2 | i-PrOH | 180 | 1.25 | 30 | 91 | - | 3 | - | [76] |
| 26 | Ni-Zr/AlOH | H2 | i-PrOH | 180 | 1.25 | 30 | 0 | - | 96 | - | [76] |
| Entry | Catalyst | H Source | Solvent | Temperature (°C) | Time (h) | Pressure (bar) | Yield (%) | Ref. | |||
|---|---|---|---|---|---|---|---|---|---|---|---|
| FA | MF | THFA | MTHF | ||||||||
| 1 | ZrO2 | i-PrOH | i-PrOH | 100 | 120 | - | 53 | - | - | - | [149] |
| 2 | Zr(OH)4 | i-PrOH | i-PrOH | 170 | 2.5 | 10 | 99 | - | - | - | [150] |
| 3 | ZrHAs | i-PrOH | i-PrOH | 50 | 15 | - | 97 | - | - | - | [151] |
| 4 | PhP-Zr | i-PrOH | i-PrOH | 120 | 2 | - | 78 | - | - | - | [152] |
| 5 | PhP-Hf | i-PrOH | i-PrOH | 120 | 2 | - | 98 | - | - | - | [152] |
| 6 | Al2O3-S | i-PrOH | i-PrOH | 130 | 6 | - | 96 | - | - | - | [154] |
| 7 | KF | PMHS | DMF | 25 | 0.5 | - | 97 | - | - | - | [159] |
| 8 | Ir/H doping MoOx | H2 | H2O | 30 | 6 | 20 | 99 | - | - | - | [155] |
| 9 | Fe/C + K2CO3 | H2 | EtOH | 220 | 2 | 20 | 93 | - | 3 | - | [156] |
| 10 | MgO | MeOH | MeOH | 250 | 1 | 1 | 58 | - | - | - | [160] |
| 11 | Mg/Fe/O | MeOH | MeOH | 380 | 1 | 1 | - | 83 | - | - | [160] |
| 12 | FeVO4 | MeOH | MeOH | 320 | 3 a | 1 | - | 80 | - | - | [158] |
| Entry | Catalyst | H Source | Solvent | Temperature (°C) | Time (h) | Pressure (bar) | Yield (%) | Ref. | |||
|---|---|---|---|---|---|---|---|---|---|---|---|
| FA | MF | THFA | MTHF | ||||||||
| 1 | Pd/C | H2 | EtAc | 90 | 20 a | 50 | 0 | 76 | - | - | [83] |
| 2 | Pd/PBSAC | H2 | EtAc | 90 | 20 a | 50 | 72 | 8 | - | - | [83] |
| 3 | Pd/AlSBAred | H2 | EtAc | 90 | 20 a | 50 | - | - | 91 | - | [161] |
| 4 | Pd/MAGSNC | H2 | EtAc | 150 | 20 a | 50 | 74 | - | 26 | - | [92] |
| 5 | Pd/MAGSNC | H2 | EtAc | 90 | 20 a | 50 | 17 | - | 83 | - | [92] |
| 6 | Pd/SBA-15 | H2 | EtAc | 150 | 20 a | 50 | 8 | - | 77 | - | [92] |
| 7 | Pd/SBA-15 | H2 | EtAc | 150 | 150 a | 50 | 22 | - | 58 | - | [92] |
| 8 | Pd/C | H2 | EtAc | 150 | 20 a | 50 | 0 | - | 74 | - | [92] |
| 9 | Pd/C | H2 | EtAc | 150 | 150 a | 50 | 0 | - | 80 | - | [92] |
| 10 | Pd/BCH | H2 | - | 110 | 265 | 4 | 65 | - | 15 | - | [164] |
| 11 | Pd/TiO2 | H2 | i-PrOH | 30 | 240 | 3 | - | - | 42 | - | [91] |
| 12 | Pd-Pt/TiO2 | H2 | i-PrOH | 30 | 240 | 3 | - | - | 95 | - | [91] |
| 13 | Pd/Al2O3 | H2 | i-PrOH | 25 | 480 | 60 | - | - | 79 | - | [165] |
| 14 | Pd/Al2O3 | H2 | H2O | 30 | 240 | 5 | 0 | - | 16 | - | [33] |
| 15 | Pd/Al2O3 | H2 | H2O | 90 | 120 | 20 | 28 | - | 72 | - | [166] |
| 16 | Pd/HAP | H2 | i-PrOH | 40 | 180 | 10 | - | - | 100 | - | [89] |
| 17 | Pd/C | H2 | H2O-CO2 | 40 | 30 | 30 | 62 | - | 9 | - | [87] |
| 18 | Pd/MIL-101 (Cr)-NH2 | H2 | H2O | 40 | 240 | 20 | - | - | 100 | - | [88] |
| 19 | Pd/CB | H2 | H2O | 50 | 30 | 5 | 29 | - | - | - | [84] |
| 20 | Pd/CNT | H2 | H2O | 50 | 30 | 20 | 39 | - | - | - | [84] |
| 21 | Pd/C | H2 | EtOEt | 170 | 60 | 70 b | - | - | 69 | - | [163] |
| 22 | Pd/C c | H2 | i-PrOH | 180 | 300 | 20 | - | 44 | 34 | - | [90] |
| 23 | Pd/C d | H2 | i-PrOH | 180 | 300 | 20 | - | 18 | 57 | - | [90] |
| 24 | Pd-Fe/SiO2 | H2 | i-PrOH | 250 | 4.5 e | 1 | - | 83 | 6 | - | [168] |
| 25 | Pd-Fe/Al2O3 | H2 | i-PrOH | 250 | 4.5 e | 1 | 20 | 5 | 4 | - | [168] |
| 26 | Pd-Ni/MWNT | H2 | EtOH | 130 | 300 | 30 | - | - | 83 | - | [94] |
| 27 | Pd-Cu/TiO2 | H2 | H2O | 110 | 80 | 6 | 98 | - | - | - | [169] |
| 28 | Pd-Cu/C | HCOOH | 1,4-dioxane | 170 | 180 | - | 99 | - | - | - | [170] |
| 29 | Pd/NPC | 2-BuOH | 2-BuOH | 120 | 600 | - | 90 | - | - | - | [171] |
| 30 | Pd/Al2O3 | NaH2PO2 | THF-H2O | 25 | 60 | - | 68 | - | - | - | [93] |
| Entry | Catalyst | H Source | Solvent | Temperature (°C) | Time (h) | Pressure (bar) | Yield (%) | Ref. | |||
|---|---|---|---|---|---|---|---|---|---|---|---|
| FA | MF | THFA | MTHF | ||||||||
| 1 | Pt/Al2O3 | H2 | i-PrOH | 120 | 10 | 20 | 91 | - | - | - | [165] |
| 2 | Pt/SO4-ZrO2 | H2 | i-PrOH | 240 | 8 | 20 | 4 | 47 | 0 | - | [165] |
| 3 | Pt/Al2O3 | H2 | CO2 | 80 | 4 | 90 a | 97 | - | 1 | - | [172] |
| 4 | Pt/Al2O3 | H2 | MeOH | 50 | 7 | 1 | 80 | - | - | - | [176] |
| 5 | Pt(MgO) | H2 | MeOH | 50 | 7 | 1 | 77 | - | - | - | [176] |
| 6 | Pt/P-SiO2 | H2 | Heptane | 80 | 4 | 40 | 100 | - | - | - | [177] |
| 7 | Pt/MWNT | H2 | i-PrOH | 150 | 5 | 20 | 75 | 14 | - | - | [173] |
| 8 | Pt/NC-BS-500 | H2 | H2O | 100 | 4 | 10 | 99 | - | - | - | [49] |
| 9 | Pt/SiO2 | H2 | Toluene | 100 | 5 | 20 | 17 | - | - | - | [99] |
| 10 | Pt-Sn/SiO2 | H2 | Toluene | 100 | 5 | 20 | 47 | - | - | - | [99] |
| 11 | Pt-Sn/SiO2 | H2 | - | 160 | nm | 1 | 97 | - | - | - | [97] |
| 12 | Pt-Cu-S-PNPs | H2 | MeOH | 150 | 12 | 20 | 100 | - | - | - | [96] |
| 13 | Pt-Fe/MWNT | H2 | EtOH | 100 | 5 | 30 | 87 | - | 2 | - | [94] |
| 14 | Pt-Re/TiO2-ZrO2 | H2 | EtOH | 130 | 8 | 50 | 96 | - | 1 | - | [95] |
| 15 | Pt-Co/C | H2 | H2O | 35 | 10 | 1 | 100 | - | - | - | [178] |
| 16 | Pt-Co/C | H2 | n-PrOH | 180 | 2.5 b | 1 | 0 | 88 | - | - | [140] |
| 17 | Pt-Co/C | H2 | n-PrOH | 180 | 2.5 b | 33 | 0 | 75 | - | - | [140] |
| 18 | Pt/C | H2 | CPME | 150 | CF | 50 | 15 | 78 | 0 | - | [141] |
| Entry | Catalyst | H Source | Solvent | Temperature (°C) | Time (h) | Pressure (bar) | Yield (%) | Ref. | |||
|---|---|---|---|---|---|---|---|---|---|---|---|
| FA | MF | THFA | MTHF | ||||||||
| 1 | Ru/C | i-PrOH | i-PrOH | 180 | 10 | 20.4 a | - | 61 | 0 | - | [103] |
| 2 | Ru-RuO2/C | 2-BuOH | 2-BuOH | 180 | 10 | 20.4 a | 7 | 76 | 1 | - | [101] |
| 3 | Ru/NiFe2O4 | i-PrOH | i-PrOH | 180 | 10 | 21 a | 1 | 83 | - | - | [102] |
| 4 | Pd-Ru/TiO2 | H2 | octane | rt | 2 | 3 | 18 | 20 | 0 | - | [105] |
| 5 | Ru/C | H2 | H2O | 90 | 5 | 12.5 | 40 | - | 13 | - | [100] |
| 6 | Ru-Sn/C | H2 | H2O | 90 | 5 | 12.5 | 85 | - | 1 | - | [100] |
| 7 | Ru/rGO | H2 | H2O | 20 | 4 | 10 | 91 | - | - | - | [104] |
| 8 | Ru/UIO-66 | H2 | H2O | 20 | 4 | 5 | 95 | - | - | - | [179] |
| 9 | Ru/Al-MIL-53 | H2 | H2O | 20 | 2 | 5 | 100 | - | - | - | [180] |
| 10 | Ru/Ph2P(CH2)4PPh2 | H2 | - | 140 | 1.3 | 25 | 100 | - | - | - | [184] |
| 11 | Ru-PES membrane | H2 | H2O | 70 | CF b | 7 | 26 | - | - | - | [178] |
| 12 | Ru/ZrO2 + Pd/Al2O3 | H2 | H2O | 30 | 4 | 5 | 0 | - | 100 | - | [33] |
| 13 | Ir/C | H2 | i-PrOH | 220 | 5 | 6.9 | 0 | 95 | 1 | - | [181] |
© 2019 by the authors. Licensee MDPI, Basel, Switzerland. This article is an open access article distributed under the terms and conditions of the Creative Commons Attribution (CC BY) license (http://creativecommons.org/licenses/by/4.0/).
Share and Cite
Wang, Y.; Zhao, D.; Rodríguez-Padrón, D.; Len, C. Recent Advances in Catalytic Hydrogenation of Furfural. Catalysts 2019, 9, 796. https://doi.org/10.3390/catal9100796
Wang Y, Zhao D, Rodríguez-Padrón D, Len C. Recent Advances in Catalytic Hydrogenation of Furfural. Catalysts. 2019; 9(10):796. https://doi.org/10.3390/catal9100796
Chicago/Turabian StyleWang, Yantao, Deyang Zhao, Daily Rodríguez-Padrón, and Christophe Len. 2019. "Recent Advances in Catalytic Hydrogenation of Furfural" Catalysts 9, no. 10: 796. https://doi.org/10.3390/catal9100796
APA StyleWang, Y., Zhao, D., Rodríguez-Padrón, D., & Len, C. (2019). Recent Advances in Catalytic Hydrogenation of Furfural. Catalysts, 9(10), 796. https://doi.org/10.3390/catal9100796

