A Review on Green Hydrogen Production by Aqueous Phase Reforming of Lignocellulose and Derivatives
Abstract
1. Introduction
- (1)
- Biomass is a readily available feedstock, with its derivatives (such as glycerol, ethylene glycol, glucose, etc.) demonstrating considerable potential for APR-based hydrogen production. These raw materials are non-toxic, non-flammable, and exhibit favorable transport safety characteristics.
- (2)
- Biomass naturally contains substantial moisture content, which can be directly harnessed in the APR process for reforming reactions. This eliminates the need for the cumbersome drying pre-treatment stages associated with conventional gasification methods, thereby reducing both energy consumption and process complexity.
- (3)
- Operating under relatively mild conditions, APR enables lower energy usage and cost compared to traditional hydrogen production techniques [27].
- (4)
- The entire reaction process can be carried out in a single reactor, thereby simplifying the equipment configuration and reducing associated costs.
2. Aqueous Phase Reforming of Lignocellulosic Biomass and Derivatives
2.1. APR of Methanol for Hydrogen Production
2.2. APR of Ethanol for Hydrogen Production
2.3. APR of Glycerol and Oxygenated Hydrocarbons for Hydrogen Production
2.4. APR of Cellulose and Glucose for Hydrogen Production
2.5. APR of Hemicellulose and Xylose for Hydrogen Production
2.6. APR of Lignin and Phenol for Hydrogen Production
3. Efficient Catalysts for Aqueous Phase Reforming Hydrogen Production
3.1. Noble Metal Catalysts
3.2. Non-Noble Metal Catalysts
3.3. Bimetallic Catalysts
4. Feasibility and Lifecycle Assessment of APR for Hydrogen
5. Conclusions and Perspectives
Author Contributions
Funding
Data Availability Statement
Acknowledgments
Conflicts of Interest
References
- Wang, J.; Yin, Y. Fermentative hydrogen production using various biomass-based materials as feedstock. Renew. Sustain. Energy Rev. 2018, 92, 284–306. [Google Scholar] [CrossRef]
- Saha, S.; Mondal, A.; Kurade, M.B.; Ahn, Y.; Banerjee, P.; Park, H.-K.; Pandey, A.; Kim, T.H.; Jeon, B.-H. Cutting-edge technological advancements in biomass-derived hydrogen production. Rev. Environ. Sci. Bio/Technol. 2023, 22, 397–426. [Google Scholar] [CrossRef]
- Ahmad, K.; Jaoude, M.A.; Bankole, A.A.; Polychronopoulou, K. Hydrogen production towards carbon-free economy: A comprehensive thermodynamic analysis. Energy Convers. Manag. 2025, 326, 119492–119502. [Google Scholar] [CrossRef]
- Marbán, G.; Valdés-Solís, T. Towards the hydrogen economy? Int. J. Hydrog. Energy 2007, 32, 1625–1637. [Google Scholar] [CrossRef]
- Sharma, S.; Ghoshal, S.K. Hydrogen the future transportation fuel: From production to applications. Renew. Sustain. Energy Rev. 2015, 43, 1151–1158. [Google Scholar] [CrossRef]
- Valizadeh, S.; Hakimian, H.; Farooq, A.; Jeon, B.-H.; Chen, W.-H.; Hoon Lee, S.; Jung, S.-C.; Won Seo, M.; Park, Y.-K. Valorization of biomass through gasification for green hydrogen generation: A comprehensive review. Bioresour. Technol. 2022, 365, 128143–128155. [Google Scholar] [CrossRef]
- Taipabu, M.I.; Viswanathan, K.; Wu, W.; Hattu, N.; Atabani, A.E. A critical review of the hydrogen production from biomass-based feedstocks: Challenge, solution, and future prospect. Process Saf. Environ. Prot. 2022, 164, 384–407. [Google Scholar] [CrossRef]
- Jeon, S.; Farooq, A.; Lee, I.H.; Lee, D.; Seo, M.W.; Jung, S.-C.; Hussain, M.; Khan, M.A.; Jeon, B.-H.; Jang, S.-H.; et al. Green conversion of wood plastic composites: A study on gasification with an activated bio-char catalyst. Int. J. Hydrog. Energy 2024, 54, 96–106. [Google Scholar] [CrossRef]
- Global Hydrogen Review 2024; IEA: Paris, France, 2024; Available online: https://www.iea.org/reports/global-hydrogen-review-2024 (accessed on 3 October 2024).
- Mohan, S.V.; Pandey, A. Biohydrogen Production; CRC Press: Boca Raton, FL, USA, 2013; pp. 1–24. [Google Scholar] [CrossRef]
- Chandrasekhar, K.; Lee, Y.-J.; Lee, D.-W. Biohydrogen production: Strategies to improve process efficiency through microbial routes. Int. J. Mol. Sci. 2015, 16, 8266–8293. [Google Scholar] [CrossRef]
- Si, X.; Lu, R.; Zhao, Z.; Yang, X.; Wang, F.; Jiang, H.; Luo, X.; Wang, A.; Feng, Z.; Xu, J.; et al. Catalytic production of low-carbon footprint sustainable natural gas. Nat. Commun. 2022, 13, 258. [Google Scholar] [CrossRef]
- Kovač, A.; Paranos, M.; Marciuš, D. Hydrogen in energy transition: A review. Int. J. Hydrog. Energy 2021, 46, 10016–10035. [Google Scholar] [CrossRef]
- Huber, G.W.; Shabaker, J.W.; Dumesic, J.A. Raney Ni-Sn catalyst for H2 production from biomass-derived hydrocarbons. Science 2003, 300, 2075–2077. [Google Scholar] [CrossRef] [PubMed]
- Ren, Z.; Si, X.; Chen, J.; Li, X.; Lu, F. Catalytic complete cleavage of C–O and C–C bonds in biomass to natural gas over Ru(0). ACS Catal. 2022, 12, 5549–5558. [Google Scholar] [CrossRef]
- Xia, Q.; Chen, Z.; Shao, Y.; Gong, X.; Wang, H.; Liu, X.; Parker, S.F.; Han, X.; Yang, S.; Wang, Y. Direct hydrodeoxygenation of raw woody biomass into liquid alkanes. Nat. Commun. 2016, 7, 11162. [Google Scholar] [CrossRef]
- El-Emam, R.S.; Özcan, H. Comprehensive review on the techno-economics of sustainable large-scale clean hydrogen production. J. Clean. Prod. 2019, 220, 593–609. [Google Scholar] [CrossRef]
- González Martínez, M.; Elsaddik, M.; Nzihou, A. Monitoring, analysis, and quantification of hydrogen from biomass and biowaste: A review. Int. J. Hydrog. Energy 2023, 48, 22113–22131. [Google Scholar] [CrossRef]
- Cao, A.N.T.; Ng, K.H.; Ahmed, S.F.; Nguyen, H.T.; Kumar, P.S.; Tran, H.-T.; Rajamohan, N.; Yusuf, M.; Show, P.L.; Balakrishnan, A.; et al. Hydrogen generation by heterogeneous catalytic steam reforming of short-chain alcohols: A review. Environ. Chem. Lett. 2023, 22, 561–583. [Google Scholar] [CrossRef]
- Fasolini, A.; Cespi, D.; Tabanelli, T.; Cucciniello, R.; Cavani, F. Hydrogen from renewables: A case study of glycerol reforming. Catalysts 2019, 9, 722. [Google Scholar] [CrossRef]
- Wang, K.; Dou, B.; Jiang, B.; Song, Y.; Zhang, C.; Zhang, Q.; Chen, H.; Xu, Y. Renewable hydrogen production from chemical looping steam reforming of ethanol using xCeNi/SBA-15 oxygen carriers in a fixed-bed reactor. Int. J. Hydrog. Energy 2016, 41, 12899–12909. [Google Scholar] [CrossRef]
- Silva, J.M.; Soria, M.A.; Madeira, L.M. Challenges and strategies for optimization of glycerol steam reforming process. Renew. Sustain. Energy Rev. 2015, 42, 1187–1213. [Google Scholar] [CrossRef]
- Oliveira, A.S.; Baeza, J.A.; Calvo, L.; Gilarranz, M.A. Aqueous phase reforming of starch wastewater over Pt and Pt-based bimetallic catalysts for green hydrogen production. Chem. Eng. J. 2023, 460, 141770–141781. [Google Scholar] [CrossRef]
- Rosmini, C.; Urrea, M.P.; Tusini, E.; Indris, S.; Kovacheva, D.; Karashanova, D.; Kolev, H.; Zimina, A.; Grunwaldt, J.-D.; Rønning, M.; et al. Unveiling the synergistic effects of pH and Sn content for tuning the catalytic performance of Ni0/NixSny intermetallic compounds dispersed on Ce-Zr mixed oxides in the aqueous phase reforming of ethylene glycol. Appl. Catal. B Environ. Energy 2024, 350, 123904–123920. [Google Scholar] [CrossRef]
- Wheeler, C. The water–gas-shift reaction at short contact times. J. Catal. 2004, 223, 191–199. [Google Scholar] [CrossRef]
- Huber, G.W.; Shabaker, J.W.; Evans, S.T.; Dumesic, J.A. Aqueous-phase reforming of ethylene glycol over supported Pt and Pd bimetallic catalysts. Appl. Catal. B Environ. 2006, 62, 226–235. [Google Scholar] [CrossRef]
- Hanika, J.; Lederer, J.; Tukač, V.; Veselý, V.; Kováč, D. Hydrogen production via synthetic gas by biomass/oil partial oxidation. Chem. Eng. J. 2011, 176–177, 286–290. [Google Scholar] [CrossRef]
- Zhao, L.; Sun, Z.F.; Zhang, C.C.; Nan, J.; Ren, N.Q.; Lee, D.J.; Chen, C. Advances in pretreatment of lignocellulosic biomass for bioenergy production: Challenges and perspectives. Bioresour. Technol. 2022, 343, 126123–126134. [Google Scholar] [CrossRef]
- Wang, C.; Zhang, W.; Qiu, X.; Xu, C. Hydrothermal treatment of lignocellulosic biomass towards low-carbon development: Production of high-value-added bioproducts. EnergyChem 2024, 6, 100133–100170. [Google Scholar] [CrossRef]
- Ma, Y.; Shen, Y.; Liu, Y. State of the art of straw treatment technology: Challenges and solutions forward. Bioresour. Technol. 2020, 313, 123656–123664. [Google Scholar] [CrossRef]
- Liu, C.; Wang, H.; Karim, A.M.; Sun, J.; Wang, Y. Catalytic fast pyrolysis of lignocellulosic biomass. Chem. Soc. Rev. 2014, 43, 7594–7623. [Google Scholar] [CrossRef]
- Li, H.; Fang, Z.; Smith, R.L.; Yang, S. Efficient valorization of biomass to biofuels with bifunctional solid catalytic materials. Prog. Energy Combust. Sci. 2016, 55, 98–194. [Google Scholar] [CrossRef]
- Schutyser, W.; Renders, T.; Van den Bosch, S.; Koelewijn, S.F.; Beckham, G.T.; Sels, B.F. Chemicals from lignin: An interplay of lignocellulose fractionation, depolymerisation, and upgrading. Chem. Soc. Rev. 2018, 47, 852–908. [Google Scholar] [CrossRef] [PubMed]
- Wakerley, D.W.; Kuehnel, M.F.; Orchard, K.L.; Ly, K.H.; Rosser, T.E.; Reisner, E. Solar-driven reforming of lignocellulose to H2 with a CdS/CdOx photocatalyst. Nat. Energy 2017, 2, 17021. [Google Scholar] [CrossRef]
- Jamil, F.; Inayat, A.; Hussain, M.; Ghenai, C.; Shanableh, A.; Sarwer, A.; Shah, N.S.; Park, Y.-K. Green hydrogen production through a facile aqueous-phase reforming technique from waste biomass: A comprehensive review. Int. J. Hydrog. Energy 2024, 96, 126–146. [Google Scholar] [CrossRef]
- Tian, Z.; Lu, Y.; Wang, J.; Shu, R.; Wang, C.; Chen, Y. Advances in hydrogen production by aqueous phase reforming of biomass oxygenated derivatives. Fuel 2024, 357, 129691–129713. [Google Scholar] [CrossRef]
- Huber, G.W.; Iborra, S.; Corma, A. synthesis of transportation fuels from biomass: Chemistry, catalysts, and engineering. Chem. Rev. 2006, 106, 4044–4098. [Google Scholar] [CrossRef]
- Steele, B.C.H.; Heinzel, A. Materials for fuel-cell technologies. Nature 2001, 414, 345–352. [Google Scholar] [CrossRef]
- Liu, Q.; Du, S.; Liu, T.; Gong, L.; Wu, Y.; Lin, J.; Yang, P.; Huang, G.; Li, M.; Wu, Y.; et al. Efficient low-temperature hydrogen production by electrochemical-assisted methanol steam reforming. Angew. Chem. Int. Ed. 2024, 63, e202315157. [Google Scholar] [CrossRef]
- Lee, J.K.; Ko, J.B.; Kim, D.H. Methanol steam reforming over Cu/ZnO/Al2O3 catalyst: Kinetics and effectiveness factor. Appl. Catal. A Gen. 2004, 278, 25–35. [Google Scholar] [CrossRef]
- Wang, C.; Boucher, M.; Yang, M.; Saltsburg, H.; Flytzani-Stephanopoulos, M. ZnO-modified zirconia as gold catalyst support for the low-temperature methanol steam reforming reaction. Appl. Catal. B Environ. 2014, 154–155, 142–152. [Google Scholar] [CrossRef]
- Herdem, M.S.; Sinaki, M.Y.; Farhad, S.; Hamdullahpur, F. An overview of the methanol reforming process: Comparison of fuels, catalysts, reformers, and systems. Int. J. Energy Res. 2019, 43, 5076–5105. [Google Scholar] [CrossRef]
- Mei, D.; Qiu, X.; Liu, H.; Wu, Q.; Yu, S.; Xu, L.; Zuo, T.; Wang, Y. Progress on methanol reforming technologies for highly efficient hydrogen production and applications. Int. J. Hydrog. Energy 2022, 47, 35757–35777. [Google Scholar] [CrossRef]
- Kulprathipanja, A.; Falconer, J.L. Partial oxidation of methanol for hydrogen production using ITO/Al2O3 nanoparticle catalysts. Appl. Catal. A Gen. 2004, 261, 77–86. [Google Scholar] [CrossRef]
- Nielsen, M.; Alberico, E.; Baumann, W.; Drexler, H.-J.; Junge, H.; Gladiali, S.; Beller, M. Low-temperature aqueous-phase methanol dehydrogenation to hydrogen and carbon dioxide. Nature 2013, 495, 85–89. [Google Scholar] [CrossRef] [PubMed]
- Rodríguez-Lugo, R.E.; Trincado, M.; Vogt, M.; Tewes, F.; Santiso-Quinones, G.; Grützmacher, H. A homogeneous transition metal complex for clean hydrogen production from methanol–water mixtures. Nat. Chem. 2013, 5, 342–347. [Google Scholar] [CrossRef] [PubMed]
- Shabaker, J. Aqueous-phase reforming of methanol and ethylene glycol over alumina-supported platinum catalysts. J. Catal. 2003, 215, 344–352. [Google Scholar] [CrossRef]
- Tian, Z.; Zhang, W.; Liu, T.; Liu, J.; Wang, C.; Lei, L.; Liao, M.; Wang, C.; Chen, Y. Study on the promotion of FeOx species on water-gas shift reaction in methanol aqueous phase reforming over PtFe/Al2O3 catalyst. Int. J. Hydrog. Energy 2022, 47, 41468–41479. [Google Scholar] [CrossRef]
- Wong, S.S.; Shu, R.; Zhang, J.; Liu, H.; Yan, N. Downstream processing of lignin derived feedstock into end products. Chem. Soc. Rev. 2020, 49, 5510–5560. [Google Scholar] [CrossRef]
- Barroso, M.N.; Gomez, M.F.; Arrúa, L.A.; Abello, M.C. Co catalysts modified by rare earths (La, Ce or Pr) for hydrogen production from ethanol. Int. J. Hydrog. Energy 2014, 39, 8712–8719. [Google Scholar] [CrossRef]
- Augusto, B.L.; Costa, L.O.O.; Noronha, F.B.; Colman, R.C.; Mattos, L.V. Ethanol reforming over Ni/CeGd catalysts with low Ni content. Int. J. Hydrog. Energy 2012, 37, 12258–12270. [Google Scholar] [CrossRef]
- Jacobs, G.; Keogh, R.; Davis, B. Steam reforming of ethanol over Pt/ceria with co-fed hydrogen. J. Catal. 2007, 245, 326–337. [Google Scholar] [CrossRef]
- Zhong, Z.; Ang, H.; Choong, C.; Chen, L.; Huang, L.; Lin, J. The role of acidic sites and the catalytic reaction pathways on the Rh/ZrO2 catalysts for ethanol steam reforming. Phys. Chem. Chem. Phys. 2009, 11, 872–880. [Google Scholar] [CrossRef] [PubMed]
- Roy, B.; Loganathan, K.; Pham, H.N.; Datye, A.K.; Leclerc, C.A. Surface modification of solution combustion synthesized Ni/Al2O3 catalyst for aqueous-phase reforming of ethanol. Int. J. Hydrog. Energy 2010, 35, 11700–11708. [Google Scholar] [CrossRef]
- Tang, Z.; Monroe, J.; Dong, J.; Nenoff, T.; Weinkauf, D. Platinum-loaded NaY zeolite for aqueous-phase reforming of methanol and ethanol to hydrogen. Ind. Eng. Chem. Res. 2009, 48, 2728–2733. [Google Scholar] [CrossRef]
- Cruz, I.O.; Ribeiro, N.F.P.; Aranda, D.A.G.; Souza, M.M.V.M. Hydrogen production by aqueous-phase reforming of ethanol over nickel catalysts prepared from hydrotalcite precursors. Catal. Commun. 2008, 9, 2606–2611. [Google Scholar] [CrossRef]
- González-Arias, J.; Zhang, Z.; Reina, T.R.; Odriozola, J.A. Hydrogen production by catalytic aqueous-phase reforming of waste biomass: A review. Environ. Chem. Lett. 2023, 21, 3089–3104. [Google Scholar] [CrossRef]
- Trane, R.; Dahl, S.; Skjøth-Rasmussen, M.S.; Jensen, A.D. Catalytic steam reforming of bio-oil. Int. J. Hydrog. Energy 2012, 37, 6447–6472. [Google Scholar] [CrossRef]
- Wan, H.; Chaudhari, R.V.; Subramaniam, B. Aqueous phase hydrogenation of acetic acid and its promotional effect on p-cresol hydrodeoxygenation. Energy Fuels 2012, 27, 487–493. [Google Scholar] [CrossRef]
- Roy, B.; Artyushkova, K.; Pham, H.N.; Li, L.; Datye, A.K.; Leclerc, C.A. Effect of preparation method on the performance of the Ni/Al2O3 catalysts for aqueous-phase reforming of ethanol: Part II-characterization. Int. J. Hydrog. Energy 2012, 37, 18815–18826. [Google Scholar] [CrossRef]
- Roy, B.; Martinez, U.; Loganathan, K.; Datye, A.K.; Leclerc, C.A. Effect of preparation methods on the performance of Ni/Al2O3 catalysts for aqueous-phase reforming of ethanol: Part I-catalytic activity. Int. J. Hydrog. Energy 2012, 37, 8143–8153. [Google Scholar] [CrossRef]
- Nozawa, T.; Mizukoshi, Y.; Yoshida, A.; Naito, S. Aqueous phase reforming of ethanol and acetic acid over TiO2 supported Ru catalysts. Appl. Catal. B Environ. 2014, 146, 221–226. [Google Scholar] [CrossRef]
- Hou, T.; Zhang, S.; Chen, Y.; Wang, D.; Cai, W. Hydrogen production from ethanol reforming: Catalysts and reaction mechanism. Renew. Sustain. Energy Rev. 2015, 44, 132–148. [Google Scholar] [CrossRef]
- Manochio, C.; Andrade, B.R.; Rodriguez, R.P.; Moraes, B.S. Ethanol from biomass: A comparative overview. Renew. Sustain. Energy Rev. 2017, 80, 743–755. [Google Scholar] [CrossRef]
- Wei, Z.; Karim, A.; Li, Y.; Wang, Y. Elucidation of the roles of Re in aqueous-phase reforming of glycerol over Pt–Re/C catalysts. ACS Catal. 2015, 5, 7312–7320. [Google Scholar] [CrossRef]
- Rahmat, N.; Abdullah, A.Z.; Mohamed, A.R. Recent progress on innovative and potential technologies for glycerol transformation into fuel additives: A critical review. Renew. Sustain. Energy Rev. 2010, 14, 987–1000. [Google Scholar] [CrossRef]
- Armando, D.-A.; Carlos, C.-H.J.; Israel, F.-B.M.; Jazmín, H.-D.; Orlando, P.-V.L.; Javier, E.-M.F.; Antonio, S.-M.G.; Gilver, R.-C. Life cycle analysis of hydrogen production from aqueous phase reforming of glycerol. Int. J. Hydrog. Energy 2024, 1, 196–206. [Google Scholar] [CrossRef]
- King, D.L.; Zhang, L.; Xia, G.; Karim, A.M.; Heldebrant, D.J.; Wang, X.; Peterson, T.; Wang, Y. Aqueous phase reforming of glycerol for hydrogen production over Pt–Re supported on carbon. Appl. Catal. B Environ. 2010, 99, 206–213. [Google Scholar] [CrossRef]
- Ciftci, A.; Ligthart, D.A.J.M.; Hensen, E.J.M. Influence of Pt particle size and Re addition by catalytic reduction on aqueous phase reforming of glycerol for carbon-supported Pt (Re) catalysts. Appl. Catal. B Environ. 2015, 174–175, 126–135. [Google Scholar] [CrossRef]
- Davda, R.R.; Shabaker, J.W.; Huber, G.W.; Cortright, R.D.; Dumesic, J.A. A review of catalytic issues and process conditions for renewable hydrogen and alkanes by aqueous-phase reforming of oxygenated hydrocarbons over supported metal catalysts. Appl. Catal. B Environ. 2005, 56, 171–186. [Google Scholar] [CrossRef]
- Guo, Y.; Azmat, M.U.; Liu, X.; Wang, Y.; Lu, G. Effect of support’s basic properties on hydrogen production in aqueous-phase reforming of glycerol and correlation between WGS and APR. Appl. Energy 2012, 92, 218–223. [Google Scholar] [CrossRef]
- Vikla, A.K.K.; Koichumanova, K.; He, S.; Seshan, K. Aqueous-phase reforming of hydroxyacetone solution to bio-based H2 over supported Pt catalysts. Green Energy Environ. 2024, 9, 777–788. [Google Scholar] [CrossRef]
- Koichumanova, K.; Vikla, A.K.K.; Cortese, R.; Ferrante, F.; Seshan, K.; Duca, D.; Lefferts, L. In situ ATR-IR studies in aqueous phase reforming of hydroxyacetone on Pt/ZrO2 and Pt/AlO(OH) catalysts: The role of aldol condensation. Appl. Catal. B Environ. 2018, 232, 454–463. [Google Scholar] [CrossRef]
- Tokarev, A.V.; Kirilin, A.V.; Murzina, E.V.; Eränen, K.; Kustov, L.M.; Murzin, D.Y.; Mikkola, J.P. The role of bio-ethanol in aqueous phase reforming to sustainable hydrogen. Int. J. Hydrog. Energy 2010, 35, 12642–12649. [Google Scholar] [CrossRef]
- Vaidya, P.D.; Lopez-Sanchez, J.A. Review of hydrogen production by catalytic aqueous-phase reforming. ChemistrySelect 2017, 2, 6563–6576. [Google Scholar] [CrossRef]
- Zambare, R.S.; Vaidya, P.D. Platinum catalyst supported on hydrotalcite for hydrogen production by aqueous-phase reforming of glycerol, glucose, glycine and humic acid. Int. J. Hydrog. Energy 2024, 87, 310–320. [Google Scholar] [CrossRef]
- Leng, S.; Barghi, S.; Xu, C. A short review on green H2 production by aqueous phase reforming of biomass derivatives. Npj Mater. Sustain. 2024, 2, 19. [Google Scholar] [CrossRef]
- Cortright, R.D.; Davda, R.R.; Dumesic, J.A. Hydrogen from catalytic reforming of biomass-derived hydrocarbons in liquid water. Nature 2002, 418, 964–967. [Google Scholar] [CrossRef]
- Melero, J.A.; Iglesias, J.; Garcia, A. Biomass as renewable feedstock in standard refinery units. Feasibility, opportunities and challenges. Energy Environ. Sci. 2012, 5, 7393–7420. [Google Scholar] [CrossRef]
- Wen, G.; Xu, Y.; Xu, Z.; Tian, Z. Characterization and catalytic properties of the Ni/Al2O3 catalysts for aqueous-phase reforming of glucose. Catal. Lett. 2008, 129, 250–257. [Google Scholar] [CrossRef]
- Tanksale, A.; Beltramini, J.N.; Lu, G.Q. Reaction mechanisms for renewable hydrogen from liquid phase reforming of sugar compounds. Dev. Chem. Eng. Miner. Process. 2008, 14, 9–18. [Google Scholar] [CrossRef]
- Koklin, A.E.; Klimenko, T.A.; Kondratyuk, A.V.; Lunin, V.V.; Bogdan, V.I. Transformation of aqueous solutions of glucose over the Pt/C catalyst. Kinet. Catal. 2015, 56, 84–88. [Google Scholar] [CrossRef]
- Tanksale, A.; Beltramini, J.N.; Lu, G.M. A review of catalytic hydrogen production processes from biomass. Renew. Sustain. Energy Rev. 2010, 14, 166–182. [Google Scholar] [CrossRef]
- Davda, R.R.; Dumesic, J.A. Renewable hydrogen by aqueous-phase reforming of glucose. Chem. Commun. 2004, 1, 36–37. [Google Scholar] [CrossRef] [PubMed]
- Susanti, R.F.; Dianningrum, L.W.; Yum, T.; Kim, Y.; Lee, Y.-W.; Kim, J. High-yield hydrogen production by supercritical water gasification of various feedstocks: Alcohols, glucose, glycerol and long-chain alkanes. Chem. Eng. Res. Des. 2014, 92, 1834–1844. [Google Scholar] [CrossRef]
- Valenzuela, M.B.; Jones, C.W.; Agrawal, P.K. Batch aqueous-phase reforming of woody biomass. Energy Fuels 2006, 20, 1744–1752. [Google Scholar] [CrossRef]
- Wen, G.; Xu, Y.; Xu, Z.; Tian, Z. Direct conversion of cellulose into hydrogen by aqueous-phase reforming process. Catal. Commun. 2010, 11, 522–526. [Google Scholar] [CrossRef]
- Soták, T.; Hronec, M.; Vávra, I.; Dobročka, E. Sputtering processed tungsten catalysts for aqueous phase reforming of cellulose. Int. J. Hydrog. Energy 2016, 41, 21936–21944. [Google Scholar] [CrossRef]
- Galbe, M.; Zacchi, G. Pretreatment: The key to efficient utilization of lignocellulosic materials. Biomass Bioenergy 2012, 46, 70–78. [Google Scholar] [CrossRef]
- Huang, Y.-B.; Fu, Y. Hydrolysis of cellulose to glucose by solid acid catalysts. Green Chem. 2013, 15, 1095–1111. [Google Scholar] [CrossRef]
- Pipitone, G.; Zoppi, G.; Frattini, A.; Bocchini, S.; Pirone, R.; Bensaid, S. Aqueous phase reforming of sugar-based biorefinery streams: From the simplicity of model compounds to the complexity of real feeds. Catal. Today 2020, 345, 267–279. [Google Scholar] [CrossRef]
- Dhyani, V.; Bhaskar, T. A comprehensive review on the pyrolysis of lignocellulosic biomass. Renew. Energy 2018, 129, 695–716. [Google Scholar] [CrossRef]
- Lundqvist, J.; Teleman, A.; Junel, L.; Zacchi, G.; Dahlman, O.; Tjerneld, F.; Stålbrand, H. Isolation and characterization of galactoglucomannan from spruce (Picea abies). Carbohydr. Polym. 2002, 48, 29–39. [Google Scholar] [CrossRef]
- Wang, S.; Dai, G.; Yang, H.; Luo, Z. Lignocellulosic biomass pyrolysis mechanism: A state-of-the-art review. Prog. Energy Combust. Sci. 2017, 62, 33–86. [Google Scholar] [CrossRef]
- Yan, B.; Li, W.; Tao, J.; Xu, N.; Li, X.; Chen, G. Hydrogen production by aqueous phase reforming of phenol over Ni/ZSM-5 catalysts. Int. J. Hydrog. Energy 2017, 42, 6674–6682. [Google Scholar] [CrossRef]
- Carrier, M.; Loppinet-Serani, A.; Denux, D.; Lasnier, J.-M.; Ham-Pichavant, F.; Cansell, F.; Aymonier, C. Thermogravimetric analysis as a new method to determine the lignocellulosic composition of biomass. Biomass Bioenergy 2011, 35, 298–307. [Google Scholar] [CrossRef]
- Mohan, D.; Pittman, C.U., Jr.; Steele, P.H. Pyrolysis of wood/biomass for bio-oil: A Critical review. Energy Fuels 2006, 20, 848–889. [Google Scholar] [CrossRef]
- Wu, M.Y.; Lin, J.T.; Xu, Z.Q.; Hua, T.C.; Lv, Y.C.; Liu, Y.F.; Pei, R.H.; Wu, Q.; Liu, M.H. Selective catalytic degradation of a lignin model compound into phenol over transition metal sulfates. RSC Adv. 2020, 10, 3013–3019. [Google Scholar] [CrossRef]
- Guo, Y.; Liu, X.; Azmat, M.U.; Xu, W.; Ren, J.; Wang, Y.; Lu, G. Hydrogen production by aqueous-phase reforming of glycerol over Ni-B catalysts. Int. J. Hydrog. Energy 2012, 37, 227–234. [Google Scholar] [CrossRef]
- Li, D.; Li, Y.; Liu, X.; Guo, Y.; Pao, C.-W.; Chen, J.-L.; Hu, Y.; Wang, Y. NiAl2O4 spinel supported Pt catalyst: High performance and origin in aqueousphase reforming of methanol. ACS Catal. 2019, 9, 9671–9682. [Google Scholar] [CrossRef]
- Luo, N.; Fu, X.; Cao, F.; Xiao, T.; Edwards, P.P. Glycerol aqueous phase reforming for hydrogen generation over Pt catalyst—Effect of catalyst composition and reaction conditions. Fuel 2008, 87, 3483–3489. [Google Scholar] [CrossRef]
- Rahman, M.M.; Church, T.L.; Minett, A.I.; Harris, A.T. Effect of CeO2 addition to Al2O3 supports for Pt catalysts on the aqueous-phase reforming of glycerol. ChemSusChem 2013, 6, 1006–1013. [Google Scholar] [CrossRef]
- Reynoso, A.J.; Iriarte-Velasco, U.; Gutiérrez-Ortiz, M.A.; Ayastuy, J.L. Highly stable Pt/CoAl2O4 catalysts in aqueous-phase reforming of glycerol. Catal. Today 2021, 367, 278–289. [Google Scholar] [CrossRef]
- Irmak, S.; Öztürk, İ. Hydrogen rich gas production by thermocatalytic decomposition of kenaf biomass. Int. J. Hydrog. Energy 2010, 35, 5312–5317. [Google Scholar] [CrossRef]
- Alvear, M.; Aho, A.; Simakova, I.L.; Grénman, H.; Salmi, T.; Murzin, D.Y. Aqueous phase reforming of xylitol and xylose in the presence of formic acid. Catal. Sci. Technol. 2020, 10, 5245–5255. [Google Scholar] [CrossRef]
- Liao, Q.; Wang, Y.; Chen, C.; Zhang, S. Electronic regulation of Pt for low-temperature hydrogen generation from methanol and water. ACS Sustain. Chem. Eng. 2024, 12, 18486–18492. [Google Scholar] [CrossRef]
- Menezes, A.O.; Rodrigues, M.T.; Zimmaro, A.; Borges, L.E.P.; Fraga, M.A. Production of renewable hydrogen from aqueous-phase reforming of glycerol over Pt catalysts supported on different oxides. Renew. Energy 2011, 36, 595–599. [Google Scholar] [CrossRef]
- Czaplicka, N.; Rogala, A.; Wysocka, I. Metal (Mo, W, Ti) Carbide catalysts: Synthesis and application as alternative catalysts for dry reforming of hydrocarbons—A review. Int. J. Mol. Sci. 2021, 22, 12337. [Google Scholar] [CrossRef]
- Lin, L.; Zhou, W.; Gao, R.; Yao, S.; Zhang, X.; Xu, W.; Zheng, S.; Jiang, Z.; Yu, Q.; Li, Y.W.; et al. Low-temperature hydrogen production from water and methanol using Pt/alpha-MoC catalysts. Nature 2017, 544, 80–83. [Google Scholar] [CrossRef]
- Davda, R.R.; Shabaker, J.W.; Huber, G.W.; Cortright, R.D.; Dumesic, J.A. Aqueous-phase reforming of ethylene glycol on silica-supported metal catalysts. Appl. Catal. B Environ. 2003, 43, 13–26. [Google Scholar] [CrossRef]
- Liu, J.; Sun, B.; Hu, J.; Pei, Y.; Li, H.; Qiao, M. Aqueous-phase reforming of ethylene glycol to hydrogen on Pd/Fe3O4 catalyst prepared by co-precipitation: Metal–support interaction and excellent intrinsic activity. J. Catal. 2010, 274, 287–295. [Google Scholar] [CrossRef]
- Meryemoglu, B.; Kaya Ozsel, B.; Irmak, S. Evaluation of hardwood or softwood bark biomass as feed materials for aqueous-phase reforming gasification process. Int. J. Hydrog. Energy 2024, 53, 1044–1051. [Google Scholar] [CrossRef]
- Yao, S.; Zhang, X.; Zhou, W.; Gao, R.; Xu, W.; Ye, Y.; Lin, L.; Wen, X.; Liu, P.; Chen, B.; et al. Atomic-layered Au clusters on α-MoC as catalysts for the low-temperature water-gas shift reaction. Science 2017, 357, 389–393. [Google Scholar] [CrossRef]
- Manfro, R.L.; da Costa, A.F.; Ribeiro, N.F.P.; Souza, M.M.V.M. Hydrogen production by aqueous-phase reforming of glycerol over nickel catalysts supported on CeO2. Fuel Process. Technol. 2011, 92, 330–335. [Google Scholar] [CrossRef]
- Iriondo, A.; Barrio, V.L.; Cambra, J.F.; Arias, P.L.; Güemez, M.B.; Navarro, R.M.; Sánchez-Sánchez, M.C.; Fierro, J.L.G. Hydrogen production from glycerol over nickel catalysts supported on Al2O3 modified by Mg, Zr, Ce or La. Top. Catal. 2008, 49, 46–58. [Google Scholar] [CrossRef]
- Lin, L.; Yu, Q.; Peng, M.; Li, A.; Yao, S.; Tian, S.; Liu, X.; Li, A.; Jiang, Z.; Gao, R.; et al. Atomically dispersed Ni/alpha-MoC catalyst for hydrogen production from methanol/water. J. Am. Chem. Soc. 2021, 143, 309–317. [Google Scholar] [CrossRef]
- Zhang, J.; Yan, W.; An, Z.; Song, H.; He, J. Interface–promoted dehydrogenation and water–gas shift toward high-efficient H2 production from aqueous phase reforming of cellulose. ACS Sustain. Chem. Eng. 2018, 6, 7313–7324. [Google Scholar] [CrossRef]
- Meryemoglu, B.; Hesenov, A.; Irmak, S.; Atanur, O.M.; Erbatur, O. Aqueous-phase reforming of biomass using various types of supported precious metal and raney-nickel catalysts for hydrogen production. Int. J. Hydrog. Energy 2010, 35, 12580–12587. [Google Scholar] [CrossRef]
- Zheng, Z.; Fang, Y.; Yang, J.; Ma, L.; Meng, Q.; Lin, X.; Liu, Y.; Zhang, Q.; Wang, T. A highly active and hydrothermal-resistant Cu/ZnO@NC catalyst for aqueous phase reforming of methanol to hydrogen. Int. J. Hydrog. Energy 2022, 47, 950–961. [Google Scholar] [CrossRef]
- Guo, Y.; Liu, X.; Wang, Y. Catalytic and DRIFTS studies of Pt-based bimetallic alloy catalysts in aqueous-phase reforming of glycerol. Ind. Eng. Chem. Res. 2019, 58, 2749–2758. [Google Scholar] [CrossRef]
- Kim, M.-C.; Kim, T.-W.; Kim, H.J.; Kim, C.-U.; Bae, J.W. Aqueous phase reforming of polyols for hydrogen production using supported Pt Fe bimetallic catalysts. Renew. Energy 2016, 95, 396–403. [Google Scholar] [CrossRef]
- Chang, A.C.C.; Louh, R.F.; Wong, D.; Tseng, J.; Lee, Y.S. Hydrogen production by aqueous-phase biomass reforming over carbon textile supported Pt–Ru bimetallic catalysts. Int. J. Hydrog. Energy 2011, 36, 8794–8799. [Google Scholar] [CrossRef]
- Alvear, M.; Aho, A.; Simakova, I.L.; Grénman, H.; Salmi, T.; Murzin, D.Y. Aqueous phase reforming of alcohols over a bimetallic Pt-Pd catalyst in the presence of formic acid. Chem. Eng. J. 2020, 398, 125541–125550. [Google Scholar] [CrossRef]
- Lu, Y.; Wang, C.; Luo, X.; Shu, R.; Lei, L.; Liu, J.; Tian, Z.; Liao, Y.; Chen, Y. Aqueous phase reforming of methanol for hydrogen production over highly-dispersed PtLa/CeO2 catalyst prepared by photochemical reduction method. Int. J. Hydrog. Energy 2024, 62, 1054–1066. [Google Scholar] [CrossRef]
- Liu, Y.; Yu, S.; Wu, X.; Cao, X.; Geng, H.; Zhang, C.; Liu, S. Improving the hydrothermal stability and hydrogen selectivity of Ni-Cu based catalysts for the aqueous-phase reforming of methanol. Int. J. Hydrog. Energy 2023, 48, 12699–12711. [Google Scholar] [CrossRef]
- Coronado, I.; Stekrova, M.; García Moreno, L.; Reinikainen, M.; Simell, P.; Karinen, R.; Lehtonen, J. Aqueous-phase reforming of methanol over nickel-based catalysts for hydrogen production. Biomass Bioenergy 2017, 106, 29–37. [Google Scholar] [CrossRef]
- Zhang, J.; Xu, N. Hydrogen production from ethylene glycol aqueous phase reforming over Ni–Al layered hydrotalcite-derived catalysts. Catalysts 2020, 10, 54. [Google Scholar] [CrossRef]
- Si, X.; Zhao, Z.; Chen, J.; Lu, R.; Lu, F. Low-temperature efficient hydrogen production from raw biomass on the Ni–Mo catalyst. ACS Catal. 2022, 12, 10629–10637. [Google Scholar] [CrossRef]
- Jazani, O.; Bennett, J.; Liguori, S. Carbon-low, renewable hydrogen production from methanol steam reforming in membrane reactors—A review. Chem. Eng. Process.-Process Intensif. 2023, 189, 109382. [Google Scholar] [CrossRef]
- Gasparetto, H.; Salau, N.P.G. A review on ethanol steam reforming focusing on yttria-stabilized zirconia catalysts: A look into hydrogen production for fuel cells. Fuel 2024, 371, 132–140. [Google Scholar] [CrossRef]
- Compagnoni, M.; Mostafavi, E.; Tripodi, A.; Mahinpey, N.; Rossetti, I. Techno-economic analysis of a bioethanol to hydrogen centralized plant. Energy Fuels 2017, 31, 12988–12996. [Google Scholar] [CrossRef]
- Lee, B.; Heo, J.; Kim, S.; Kim, C.-H.; Ryi, S.-K.; Lim, H. Integrated techno-economic analysis under uncertainty of glycerol steam reforming for H2 production at distributed H2 refueling stations. Energy Convers. Manag. 2019, 180, 250–257. [Google Scholar] [CrossRef]
- Cormos, A.-M.; Cormos, C.-C. Techno-economic and environmental performances of glycerol reforming for hydrogen and power production with low carbon dioxide emissions. Int. J. Hydrog. Energy 2017, 42, 7798–7810. [Google Scholar] [CrossRef]
- Khodabandehloo, M.; Larimi, A.; Khorasheh, F. Comparative process modeling and techno-economic evaluation of renewable hydrogen production by glycerol reforming in aqueous and gaseous phases. Energy Convers. Manag. 2020, 225, 113483. [Google Scholar] [CrossRef]
- Ganeshan, P.; Vigneswaran, V.S.; Gowd, S.C.; Kondusamy, D.; Sanjay Kumar, C.; Krishnamoorthy, N.; Kumar, D.; Juneja, A.; Paramasivan, B.; Raju, N.N.; et al. How does techno-economic analysis and lifecycle assessment help in commercializing the biohydrogen supply chain? Fuel 2023, 341, 127601. [Google Scholar] [CrossRef]
- Bahari, M.B.; Mamat, C.R.; Jalil, A.A.; Siang, T.J.; Hassan, N.S.; Khusnun, N.F.; Nabgan, W.; Roslan, N.A.; Abidin, S.Z.; Setiabudi, H.D.; et al. Cobalt-based catalysts for hydrogen production by thermochemical valorization of glycerol: A review. Environ. Chem. Lett. 2022, 20, 2361–2384. [Google Scholar] [CrossRef]
- Valliyappan, T.; Bakhshi, N.N.; Dalai, A.K. Pyrolysis of glycerol for the production of hydrogen or syn gas. Bioresour. Technol. 2008, 99, 4476–4483. [Google Scholar] [CrossRef] [PubMed]
- Yukesh Kannah, R.; Kavitha, S.; Preethi; Parthiba Karthikeyan, O.; Kumar, G.; Dai-Viet, N.V.; Rajesh Banu, J. Techno-economic assessment of various hydrogen production methods—A review. Bioresour. Technol. 2021, 319, 124175. [Google Scholar] [CrossRef]
- Sorunmu, Y.; Billen, P.; Spatari, S. A review of thermochemical upgrading of pyrolysis bio-oil: Techno-economic analysis, life cycle assessment, and technology readiness. GCB Bioenergy 2020, 12, 4–18. [Google Scholar] [CrossRef]
- Lopez, G.; Santamaria, L.; Lemonidou, A.; Zhang, S.; Wu, C.; Sipra, A.T.; Gao, N. Hydrogen generation from biomass by pyrolysis. Nat. Rev. Methods Primers 2022, 2, 20. [Google Scholar] [CrossRef]
- Samad, T.E.; Adeyemi, I.; Ghenai, C.; Janajreh, I. Assessment of glycerol gasification: Devolatilization kinetics and parametric analysis. Chem. Pap. 2023, 77, 3277–3291. [Google Scholar] [CrossRef]
- Cerone, N.; Zimbardi, F.; Contuzzi, L.; Striūgas, N.; Eimontas, J.; Zito, G.D. Production of hydrogen-rich syngas from biomass gasification by double step steam catalytic tar reforming. Int. J. Hydrog. Energy 2024, 95, 1215–1221. [Google Scholar] [CrossRef]
- Sara, H.R.; Enrico, B.; Mauro, V.; Andrea, D.C.; Vincenzo, N. Techno-economic analysis of hydrogen production using biomass gasification -A small scale power plant study. Energy Procedia 2016, 101, 806–813. [Google Scholar] [CrossRef]
- Kalamaras, C.M.; Efstathiou, A.M. Hydrogen production technologies: Current state and future developments. Conf. Pap. Sci. 2013, 2013, 690627. [Google Scholar] [CrossRef]
- Levin, D.B.; Chahine, R. Challenges for renewable hydrogen production from biomass. Int. J. Hydrog. Energy 2010, 35, 4962–4969. [Google Scholar] [CrossRef]








| Chemicals | Formula | APR Overall Reaction | APR Step Reactions | Structural Formula |
|---|---|---|---|---|
| Methanol | CH3OH | CH3OH + H2O → 3 H2 + CO2 | CH3OH → CO + 2 H2 (1) CO + H2O → CO2 + H2 (2) | ![]() |
| Ethanol | C2H5OH | C2H6O + H2O → 2 H2 + CO2 + CH4 | C2H5OH → CH4 + CO + H2 (1) CO + H2O → CO2 + H2 (2) | ![]() |
| Glycerol | C3H8O3 | C3H8O3 + 3 H2O → 7 H2 + 3 CO2 | C3H8O3 → 3 CO + 4 H2 (1) CO + H2O → CO2 + H2 (2) | ![]() |
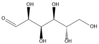
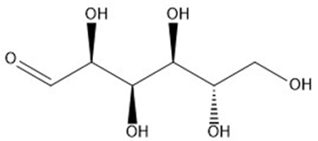
| Glucose | C6H12O6 | C6H12O6 + 6 H2O → 12 H2 + 6 CO2 | C6H12O6 → 6 CO + 6 H2 (1) CO + H2O → CO2 + H2 (2) | ![]() |
| Xylose | C5H10O5 | C5H10O5 + 5 H2O → 10 H2 + 5 CO2 | C5H10O5 →5 CO + 5 H2 (1) CO + H2O → CO2 + H2 (2) | ![]() |
| Phenol | C6H6O | C6H5OH + 11H2O → 14 H2 + 6 CO2 | C6H5OH →6 CO + 8 H2 (1) CO + H2O → CO2 + H2 (2) | ![]() |
| Feedstock | Operating Temperature Range | Catalyst | Reaction Conditions | YH2 (%)/(mmol) | Conv (%) | Ref. |
|---|---|---|---|---|---|---|
| Methanol | 190~250 °C | Pt/NiAl2O4 | 210 °C | 95.7 | 99.9 | [100] |
| Pt0.5Fe/Al2O3 | 250 °C | - | 83.8 | [48] | ||
| Ethanol | 200~270 °C | Ni/Al2O3 | 225 °C | 68.1 | 80 | [54] |
| Pt/γ-Al2O3 | 265 °C | 66.1 | 97.2 | [55] | ||
| Glycerol | 220~260 °C | Pt/γ-Al2O3 | 220 °C | 45 | 65 | [101] |
| Pt/CeAl | 220 °C | 56 | 61 | [102] | ||
| Pt/CoAl | 260 °C | 44 | 99 | [103] | ||
| Glucose | 200~310 °C | Ni/Al2O3 | 260 °C | 15.1 | 94.8 | [80] |
| Pt/C | 250 °C | 72.7 | - | [104] | ||
| Pt/Al2O3 | 310 °C | - | 93 | [84] | ||
| Xylose | 175~250 °C | Pt-Pd/C | 175 °C | - | 100 | [105] |
| Phenol | 240~300 °C | Ni/ZSM | 240 °C | - | 100 | [95] |
| Technology | Feedstock | Reaction Conditions | Conversion Efficiency | Hydrogen Cost (USD kg−1) | Ref. |
|---|---|---|---|---|---|
| Steam reforming | Methanol | >300 °C | 74~85% | 6.43~8.82 | [129] |
| Ethanol | 40~60% | 3~6 | [130,131] | ||
| Glycerol | 60~80% | 3.65 | [132,133,134] | ||
| Biomass | 75~85% | 1.25~14.9 | [135] | ||
| Pyrolysis | Glycerol | 400~800 °C | 20~40% | - | [136,137] |
| Biomass | 35~50% | 2.57 | [138,139,140] | ||
| Gasification | Glycerol | >750 °C | 60~70% | 3~9 | [141] |
| Biomass | 5~50% | 3.47~4.11 | [142,143] | ||
| Aqueous phase reforming | Glycerol | 100~250 °C | 50~70% | 3.55 | [134] |
| Biomass | 35~100% | ~1.3 | [144,145] |
Disclaimer/Publisher’s Note: The statements, opinions and data contained in all publications are solely those of the individual author(s) and contributor(s) and not of MDPI and/or the editor(s). MDPI and/or the editor(s) disclaim responsibility for any injury to people or property resulting from any ideas, methods, instructions or products referred to in the content. |
© 2025 by the authors. Licensee MDPI, Basel, Switzerland. This article is an open access article distributed under the terms and conditions of the Creative Commons Attribution (CC BY) license (https://creativecommons.org/licenses/by/4.0/).
Share and Cite
Li, M.; Ji, W.; Huang, C.; Si, X.; Liu, Q.; Lu, R.; Lu, T. A Review on Green Hydrogen Production by Aqueous Phase Reforming of Lignocellulose and Derivatives. Catalysts 2025, 15, 280. https://doi.org/10.3390/catal15030280
Li M, Ji W, Huang C, Si X, Liu Q, Lu R, Lu T. A Review on Green Hydrogen Production by Aqueous Phase Reforming of Lignocellulose and Derivatives. Catalysts. 2025; 15(3):280. https://doi.org/10.3390/catal15030280
Chicago/Turabian StyleLi, Mengjie, Weilong Ji, Chunjie Huang, Xiaoqin Si, Qian Liu, Rui Lu, and Tianliang Lu. 2025. "A Review on Green Hydrogen Production by Aqueous Phase Reforming of Lignocellulose and Derivatives" Catalysts 15, no. 3: 280. https://doi.org/10.3390/catal15030280
APA StyleLi, M., Ji, W., Huang, C., Si, X., Liu, Q., Lu, R., & Lu, T. (2025). A Review on Green Hydrogen Production by Aqueous Phase Reforming of Lignocellulose and Derivatives. Catalysts, 15(3), 280. https://doi.org/10.3390/catal15030280







