Enhanced Orange II Removal Using Fe/Mn/Mg2-LDH Activated Peroxymonosulfate: Synergistic Radical Oxidation and Adsorption
Abstract
1. Introduction
2. Results
2.1. Characterization
2.2. Removal of Orange II by Adsorption and Oxidation Processes
2.3. Effects of Different Parameters on the Removal of Orange II
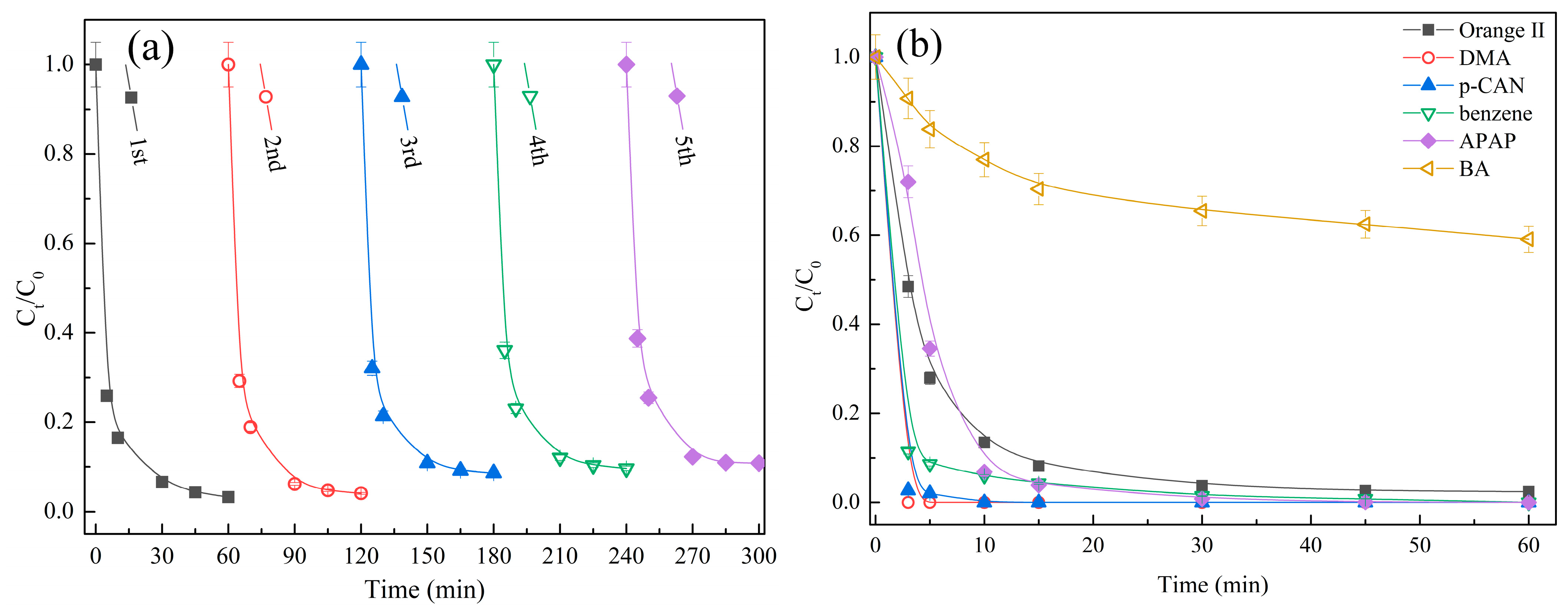
2.4. Reactive Species Analysis
2.5. Mechanistic Insights into Orange II Oxidation
2.6. Applications
3. Conclusions
4. Materials and Methods
4.1. Chemicals
4.2. Fe/Mn/Mg2-LDH Preparation
4.3. Catalyst Characterization
4.4. Experimental Methods
4.5. Analytical Methods
Supplementary Materials
Author Contributions
Funding
Data Availability Statement
Conflicts of Interest
References
- Liu, J.; Yang, Q.; Wang, D.; Li, X.; Zhong, Y.; Li, X.; Deng, Y.; Wang, L.; Yi, K.; Zeng, G. Enhanced dewaterability of waste activated sludge by Fe (II)-activated peroxymonosulfate oxidation. Bioresour. Technol. 2016, 206, 134–140. [Google Scholar] [CrossRef] [PubMed]
- Boczkaj, G.; Fernandes, A. Wastewater treatment by means of advanced oxidation processes at basic pH conditions: A review. Chem. Eng. J. 2017, 320, 608–633. [Google Scholar] [CrossRef]
- Yang, Q.; Zhong, Y.; Zhong, H.; Li, X.; Du, W.; Zeng, G. A novel pretreatment process of mature landfill leachate with ultrasonic activated persulfate: Optimization using integrated Taguchi method and response surface methodology. Process Saf. Environ. 2015, 98, 268–275. [Google Scholar] [CrossRef]
- Lee, J.; Von Gunten, U.; Kim, J.H. Persulfate-based advanced oxidation: Critical assessment of opportunities and roadblocks. Environ. Sci. Technol. 2020, 54, 3064–3081. [Google Scholar] [CrossRef] [PubMed]
- Lu, H.; Zou, F.; Liu, X.; Zhang, W.; Zhang, L.; Deng, C.; Yu, Z.; Monfort, O.; Cheng, P. Z-scheme g-C3N4/α-FOD heterojunction-assisted persulfate activation for degradation of tetracycline hydrochloride under visible light: Insights into mechanism. Chem. Eng. J. 2024, 479, 127224. [Google Scholar] [CrossRef]
- Gong, C.; Chen, F.; Yang, Q.; Luo, K.; Yao, F.; Wang, S. Heterogeneous activation of peroxymonosulfate by Fe-Co layered doubled hydroxide for efficient catalytic degradation of Rhoadmine B. Chem. Eng. J. 2017, 321, 222–232. [Google Scholar] [CrossRef]
- Rastogi, A.; Al-Abed, S.R.; Dionysiou, D.D. Sulfate radical-based ferrous–peroxymonosulfate oxidative system for PCBs degradation in aqueous and sediment systems. Appl. Catal. B Environ. 2009, 85, 171–179. [Google Scholar] [CrossRef]
- Oh, W.D.; Dong, Z.; Lim, T.T. Generation of sulfate radical through heterogeneous catalysis for organic contaminants removal: Current development, challenges and prospects. Appl. Catal. B Environ. 2016, 194, 169–201. [Google Scholar] [CrossRef]
- Gerken, J.B.; Mcalpin, J.G.; Chen, J.; Rigsby, M.L.; Casey, W.H.; Britt, R.D. Electrochemical water oxidation with cobalt-based electrocatalysts from pH 0–14: The thermodynamic basis for catalyst structure, stability, and activity. J. Am. Chem. Soc. 2011, 133, 14431–14442. [Google Scholar] [CrossRef]
- Anipsitakis, G.P.; Dionysiou, D.D.; Gonzalez, M.A. Radical generation by the interaction of transition metals with common oxidants. Environ. Sci. Technol. 2004, 38, 3705–3712. [Google Scholar] [CrossRef]
- Yang, Q.; Choi, H.; Al-Abed, S.R.; Dionysiou, D.D. Iron–cobalt mixed oxide nanocatalysts: Heterogeneous peroxymonosulfate activation, cobalt leaching, and ferromagnetic properties for environmental applications. Appl. Catal. B Environ. 2009, 88, 462–469. [Google Scholar] [CrossRef]
- Han, B.; Luo, Y.; Lin, Y.; Weng, B.; Xia, D.; Zhou, Y.; Guan, C.; Wang, Z.; Wei, X.; Jiang, J. Microenvironment engineering of single-atom catalysts for persulfate-based advanced oxidation processes. Chem. Eng. J. 2022, 447, 137551. [Google Scholar] [CrossRef]
- Ma, R.; Liu, Z.; Takada, K.; Lyi, N.; Bando, Y.; Sasaki, T. Synthesis and exfoliation of Co2+-Fe3+ layered double hydroxides: An innovative topochemical approach. J. Am. Chem. Soc. 2007, 129, 5257. [Google Scholar] [CrossRef]
- Yang, Q.; Zhong, Y.; Li, X.; Xin, L.; Kun, L.; Wu, X.; Chen, H.; Liu, Y.; Zeng, G. Adsorption-coupled reduction of bromate by Fe(II)–Al(III) layered double hydroxide in fixed-bed column: Experimental and breakthrough curves analysis. J. Ind. Eng. Chem. 2015, 28, 54–59. [Google Scholar] [CrossRef]
- Duan, M.; Liu, S.; Jiang, Q.; Guo, X.; Zhang, J.; Xiong, S. Recent progress on preparation and application of layered double hydroxides. Chin. Chem. Lett. 2022, 33, 4428–4436. [Google Scholar] [CrossRef]
- Chen, D.; Yu, Y.; Cheng, P.; Arbid, Y.; Liu, H.; Zou, X.; Chen, T. Utilization of waste adsorbent generated after Ca/Al-LDH adsorption of high-concentration phosphate: Fluorine removal. J. Environ. Eng. Sci. 2023, 149, 04022090. [Google Scholar] [CrossRef]
- Fui, H.; Gao, S.; Ma, X.; Huang, Y. Facile fabrication of CoAl-LDH nanosheets for efficient rhodamine B degradation via peroxymonosulfate activation. RSC Adv. 2023, 13, 29695–29705. [Google Scholar] [CrossRef]
- Huang, X.; Su, M.; Zhou, J.; Shu, W.; Huang, Z.; Gao, N.; Qian, G. Novel activation of persulfate by its intercalation into Mg/Al-layered double hydroxide: Enhancement of non-radical oxidation. Chem. Eng. J. 2017, 328, 66–73. [Google Scholar] [CrossRef]
- Hou, L.; Li, X.; Yang, Q.; Chen, F.; Wang, S.; Ma, Y.; Wu, Y.; Zhu, X.; Huang, X.; Wang, D. Heterogeneous activation of peroxymonosulfate using Mn-Fe layered double hydroxide: Performance and mechanism for organic pollutant degradation. Sci. Total. Environ. 2019, 663, 453–464. [Google Scholar] [CrossRef]
- Zeng, H.; Zhang, W.; Deng, L.; Luo, J.; Zhou, S.; Liu, X.; Pei, Y.; Shi, Z.; Crittenden, J. Degradation of dyes by peroxymonosulfate activated by ternary CoFeNi-layered double hydroxide: Catalytic performance, mechanism and kinetic modeling. J. Colloid Interface Sci. 2018, 515, 92–100. [Google Scholar] [CrossRef]
- Lu, H.; Sui, M.; Yuan, B.; Wang, J.; Lv, Y. Efficient degradation of nitrobenzene by Cu-Co-Fe-LDH catalyzed peroxymonosulfate to produce hydroxyl radicals. Chem. Eng. J. 2019, 357, 140–149. [Google Scholar] [CrossRef]
- Bennekou, P. Cobalt metabolism and toxicology–a brief update. Sci. Total. Environ. 2012, 432, 210–215. [Google Scholar]
- Das, J.; Patra, B.S.; Baliarsingh, N.; Parida, K.M. Adsorption of phosphate by layered double hydroxides in aqueous solutions. Appl. Clay Sci. 2006, 32, 252–260. [Google Scholar] [CrossRef]
- Xu, M.; Pan, G.; Meng, Y.; Guo, Y.; Wu, T.; Chen, H. Effect of Ce3+ on the photocatalytic activity of MAlCe ternary hydrotalcites-like compounds in methylene blue photodegradation. Appl. Clay Sci. 2019, 170, 46–56. [Google Scholar]
- Khan, A.A.; Tahir, M.; Khan, N. LDH-based nanomaterials for photocatalytic applications: A comprehensive review on the role of bi/trivalent cations, anions, morphology, defect engineering, memory effect, and heterojunction formation. J. Energy Chem. 2023, 84, 242–276. [Google Scholar] [CrossRef]
- Zhou, H.; Tan, Y.; Yang, Y.; Zhang, Y.; Lei, X.; Yuan, D. Application of FeMgMn layered double hydroxides for phosphate anions adsorptive removal from water. Appl. Clay. Sci. 2021, 200, 105903. [Google Scholar] [CrossRef]
- Magagula, B.; Nhlapo, N.; Focke, W.W. Mn2Al-LDH and Co2Al-LDH-stearate as photodegradants for LDPE film. Polym. Degrad. Stabil. 2009, 94, 947–954. [Google Scholar] [CrossRef]
- Velu, S.; Shah, N.; Jyothi, T.M.; Sivasanker, S. Effect of manganese substitution on the physicochemical properties and catalytic toluene oxidation activities of Mg-Al layered double hydroxides. Microporous Mesoporous Mater. 1999, 33, 61–75. [Google Scholar] [CrossRef]
- Gonçalves, R.G.L.; Mendes, H.M.; Bastos, S.L.; D’Agostino, L.C.; Tronto, J.; Pulcinelli, S.H.; Santilli, C.V.; Neto, J.L. Fenton-like degradation of methylene blue using Mg/Fe and MnMg/Fe layered double hydroxides as reusable catalysts. Appl. Clay Sci. 2020, 187, 105477. [Google Scholar] [CrossRef]
- Zhu, J.; Zhu, Z.; Zhang, H.; Lu, H.; Qiu, Y. Efficient degradation of organic pollutants by peroxymonosulfate activated with MgCuFe-layered double hydroxide. RSC Adv. 2019, 9, 2284. [Google Scholar] [CrossRef]
- Chen, G.; Nengzi, L.; Li, B.; Gao, Y.; Zhu, G.; Cheng, X. Octadecylamine degradation through catalytic activation of peroxymonosulfate by Fesingle bondMn layered double hydroxide. Sci. Total Environ. 2019, 695, 133963. [Google Scholar] [CrossRef] [PubMed]
- Ahmadi, M.; Ghanbari, F. Combination of UVC-LEDs and ultrasound for peroxymonosulfate activation to degrade synthetic dye: Influence of promotional and inhibitory agents and application for real wastewater. Environ. Sci. Pollut. R. 2018, 25, 6003–6014. [Google Scholar] [CrossRef] [PubMed]
- Deng, J.; Shao, Y.; Gao, N.; Gao, C.; Zhou, S.; Hu, X. CoFe2O4 magnetic nanoparticles as a highly active heterogeneous catalyst of oxone for the degradation of diclofenac in water. J. Hazard. Mater. 2013, 262, 836–844. [Google Scholar] [CrossRef] [PubMed]
- Ghanbari, F.; Ahmadi, M.; Gohari, F. Heterogeneous activation of peroxymonosulfate via nanocomposite CeO2-Fe3O4 for organic pollutants removal: The effect of UV and US irradiation and application for real wastewater. Sep. Purif. Technol. 2019, 228, 115732. [Google Scholar] [CrossRef]
- Wang, Y.; Tian, D.; Chu, W.; Li, M.; Lu, X. Nanoscaled magnetic CuFe2O4 as an activator of peroxymonosulfate for the degradation of antibiotics norfloxacin. Sep. Purif. Technol. 2019, 212, 536–544. [Google Scholar] [CrossRef]
- Ji, Y.; Dong, C.; Kong, D.; Lu, J. New insights into atrazine degradation by cobalt catalyzed peroxymonosulfate oxidation: Kinetics, reaction products and transformation mechanisms. J. Hazard. Mater. 2015, 285, 491–500. [Google Scholar] [CrossRef] [PubMed]
- Deng, J.; Xu, M.; Feng, S.; Qiu, C.; Li, X.; Li, J. Iron-doped ordered mesoporous Co3O4 activation of peroxymonosulfate for ciprofloxacin degradation: Performance, mechanism and degradation pathway. Sci. Total Environ. 2019, 658, 343–356. [Google Scholar] [CrossRef]
- Ahmadi, M.; Ghanbari, F.; Alvarez, A.; Martinez, S. UV-LEDs assisted peroxymonosulfate/Fe2+ for oxidative removal of carmoisine: The effect of chloride ion. Korean J. Chem. Eng. 2017, 34, 2154–2161. [Google Scholar] [CrossRef]
- Cai, M.; Cheng, P.; Li, J.; Wu, F.; Sarakha, M.; Mailhot, G.; Brigante, M. Toward a better understanding of peroxymonosulfate and peroxydisulfate activation using a nano zero-valent iron catalyst supported on graphitized carbon: Mechanisms and application to the degradation of estorgenic compounds in different water matrix. J. Clean Prod. 2023, 414, 137702. [Google Scholar] [CrossRef]
- Ma, Y.; Chen, F.; Yang, Q.; Zhong, Y.; Shu, X.; Yao, F.; Xie, T.; Li, X.; Wang, D.; Zeng, G. Sulfate radical induced degradation of Methyl Violet azo dye with CuFe layered doubled hydroxide as heterogeneous photoactivator of persulfate. J. Environ. Manag. 2018, 227, 406–414. [Google Scholar] [CrossRef]
- Chen, M.; Huang, Z.; Liang, S.; Pei, F.; Lin, Z.; Dang, Z.; Wu, P. Immobilized Co2+ and Cu2+ induced structural change of layered double hydroxide for efficient heterogeneous degradation of antibiotic. J. Hazard. Mater. 2020, 403, 123554. [Google Scholar] [CrossRef]
- Chen, F.; Yang, Q.; Li, X.M.; Zeng, G.M.; Wang, D.B.; Niu, C.G.; Zhao, J.W. Hierarchical assembly of graphene-bridged Ag3PO4/Ag/BiVO4 (040) Z-scheme photocatalyst: An efficient, sustainable and heterogeneous catalyst with enhanced visible-light photoactivity towards tetracycline degradation under visible light irradiation. Appl. Catal. B Environ. 2017, 200, 330–342. [Google Scholar] [CrossRef]
- Zhu, B.; Zhao, H.; Kalyanaraman, B.; Frei, B. Metal independent production of hydroxyl radicals by halogenated quinones and hydrogen peroxide: An ESR spin trapping study. Free Radic. Bio. Med. 2002, 32, 465e473. [Google Scholar] [CrossRef]
- Chen, F.; Yang, Q.; Zhong, Y.; An, H.; Zhao, J.; Xie, T. Photo-reduction of bromate in drinking water by metallic Ag and reduced graphene oxide (RGO) jointly modified BiVO4 under visible light irradiation. Water Res. 2016, 101, 555–563. [Google Scholar] [CrossRef] [PubMed]
- Weng, Z.; Lin, Y.; Guo, S.; Zhang, X.; Guo, Q.; Luo, Y.; Ou, X.; Ma, J.; Zhou, Y.; Jiang, J.; et al. Site engineering of covalent organic frameworks for regulating peroxymonosulfate activation to generate singlet oxygen with 100 % selectivity. Angew. Chem. Int. Ed. Engl. 2023, 62, e202310934. [Google Scholar] [CrossRef]
- Wu, D.; Zong, Y.; Tian, Z.; Shao, B. Role of reactive oxygen species in As (III) oxidation by carbonate structural Fe (II): A surface-mediated pathway. Chem. Eng. J 2019, 368, 980–987. [Google Scholar] [CrossRef]
- Yang, S.; Xiao, T.; Zhang, J.; Chen, Y.; Li, L. Activated carbon fiber as heterogeneous catalyst of peroxymonosulfate activation for efficient degradation of Acid Orange 7 in aqueous solution. Sep. Purif. Technol. 2015, 143, 19–26. [Google Scholar] [CrossRef]
- Zhang, X.; Wang, Y.; Li, G.; Qu, J. Oxidative decomposition of azo dye CI Acid Orange 7 (AO7) under microwave electrodeless lamp irradiation in the presence of H2O2. J. Hazard. Mater. 2006, 134, 183–189. [Google Scholar] [CrossRef]
- Chen, D.; Ma, X.; Zhou, J.; Chen, X.; Qian, G. Sulfate radical-induced degradation of Acid Orange 7 by a new magnetic composite catalyzed peroxymonosulfate oxidation process. J. Hazard. Mater. 2014, 279, 476–484. [Google Scholar] [CrossRef]
- Ji, C.; Xu, M.; Yu, H.; Lv, L.; Zhang, W. Mechanistic insight into selective adsorption and easy regeneration of carboxyl-functionalized MOFs towards heavy metals. J. Hazard. Mater. 2022, 424, 127684. [Google Scholar] [CrossRef]
- Huang, G.; Wang, C.; Yang, C.; Guo, P.; Yu, H. Degradation of bisphenol A by peroxymonosulfate catalytically activated with Mn1.8Fe1.2O4 nanospheres: Synergism between Mn and Fe. Environ. Sci. Technol. 2017, 51, 12611–12618. [Google Scholar] [CrossRef]
- Yang, B.; Tian, Z.; Wang, B.; Sun, Z.; Zhang, L.; Guo, Y.; Li, H.; Yan, S. Facile synthesis of Fe3O4/hierarchical-Mn3O4/graphene oxide as a synergistic catalyst for activation of peroxymonosulfate for degradation of organic pollutants. RSC Adv. 2015, 5, 20674–20683. [Google Scholar] [CrossRef]
- Fan, J.; Qin, H.; Jiang, S. Mn-doped g-C3N4 composite to activate peroxymonosulfate for acetaminophen degradation: The role of superoxide anion and singlet oxygen. Chem. Eng. J. 2019, 359, 723–732. [Google Scholar] [CrossRef]
- Huang, J.; Zhang, H. Mn-based catalysts for sulfate radical-based advanced oxidation processes: A review. Environ. Int. 2019, 133, 105141. [Google Scholar] [CrossRef]
- Zhao, X.; Niu, C.; Zhang, L.; Guo, H.; Wen, X.; Liang, C.; Zeng, G. Co-Mn layered double hydroxide as an effective heterogeneous catalyst for degradation of organic dyes by activation of peroxymonosulfate. Chemosphere 2018, 204, 11–21. [Google Scholar] [CrossRef]
- Wang, Y.; Sun, H.; Ang, H.M. 3D-hierarchically structured MnO2 for catalytic oxidation of phenol solutions by activation of peroxymonosulfate: Structure dependence and mechanism. Appl. Catal. B Environ. 2015, 164, 159–167. [Google Scholar] [CrossRef]
- Liu, X.; Yuan, B.L.; Zou, J.; Wu, L.B.; Dai, L.; Ma, H.F.; Li, K.; Ma, J. Cu(II)-enhanced degradation of acid orange 7 by Fe(II)-activated persulfate with hydroxylamine over a wide pH range. Chemosphere 2019, 238, 124533. [Google Scholar] [CrossRef]
- Luo, S.; Wei, Z.; Dionysiou, D.D.; Spinney, R.; Hu, W.P.; Chai, L.; Yang, Z.; Ye, T.; Xiao, R. Mechanistic insight into reactivity of sulfate radical with aromatic contaminants through single-electron transfer pathway. Chem. Eng. J. 2017, 327, 1056–1065. [Google Scholar] [CrossRef]
- Zhou, H.; Jiang, Z.; Wei, S. A new hydrotalcite-like absorbent FeMnMg-LDH and its adsorption capacity for Pb2+ ions in water. Appl. Clay. Sci. 2018, 153, 29–37. [Google Scholar] [CrossRef]
- Lou, X.; Guo, Y.; Xiao, D.; Wang, Z.; Lu, S.; Liu, J. Rapid dye degradation with reactive oxidants generated by chloride-induced peroxymonosulfate activation. Environ. Sci. Pollut. R. 2013, 20, 6317–6323. [Google Scholar] [CrossRef] [PubMed]
- Viollier, E.; Inglett, P.W.; Hunter, K.; Roychoudhury, A.N.; Van Cappellen, P. The Ferrozine method revisted. Appl. Geochem. 2000, 15, 785–790. [Google Scholar] [CrossRef]
- Pan, T.; Wang, Y.; Yang, X.; Huang, X.F.; Qiu, R. Gallic acid accelerated BDE47 degradation in PMS/Fe (III) system: Oxidation intermediates autocatalyzed redox cycling of iron. Chem. Eng. J. 2020, 384, 123248. [Google Scholar] [CrossRef]
- Lu, H.; Zhu, Z.; Zhang, H.; Zhu, J.; Qiu, Y. Simultaneous removal of arsenate and antimonate in simulated and practical water samples by adsorption onto Zn/Fe layered double hydroxide. Chem. Eng. J. 2015, 276, 365–375. [Google Scholar] [CrossRef]
- Xie, L.; Zhong, Y.; Xiang, R.; Fu, G.; Xu, Y.; Cheng, Y. Sono-assisted preparation of Fe(II)-Al(III) layered double hydroxides and their application for removing uranium (VI). Chem. Eng. J. 2017, 328, 574–584. [Google Scholar] [CrossRef]
- Zhou, Y.; Jiang, J.; Gao, Y.; Ma, J.; Pang, S.; Li, J.; Lu, X.; Yuan, L. Activation of Peroxymonosulfate by Benzoquinone: A Novel Nonradical Oxidation Process. Environ. Sci. Technol. 2015, 49, 12491–12950. [Google Scholar] [CrossRef]
- Ding, Y.; Xia, X.; Ruan, Y.; Tang, H. In situ H+-mediated formation of singlet oxygen from BaBiO3 for oxidative degradation of bisphenol A without light irradiation: Efficiency, kinetics, and mechanism. Chemosphere 2015, 141, 80–86. [Google Scholar] [CrossRef]
- Fang, G.; Dionysiou, D.D.; Al-Abed, S.R.; Zhou, D. Superoxide radical driving the activation of persulfate by magnetite nanoparticles: Implications for the degradation of PCBs. Appl. Catal. B 2013, 129, 325–332. [Google Scholar] [CrossRef]
- Zhang, J.; Shao, X.; Shi, C.; Yang, S. Decolorization of Acid Orange 7 with peroxymonosulfate oxidation catalyzed by granular activated carbon. Chem. Eng. J. 2013, 232, 259–265. [Google Scholar] [CrossRef]
- Yang, B.; Liu, H.; Zhang, J. High-valent metals in advanced oxidation processes: A critical review of their identification methods, formation mechanisms, and reactivity performance. Chem. Eng. J. 2023, 460, 141796. [Google Scholar] [CrossRef]







Disclaimer/Publisher’s Note: The statements, opinions and data contained in all publications are solely those of the individual author(s) and contributor(s) and not of MDPI and/or the editor(s). MDPI and/or the editor(s) disclaim responsibility for any injury to people or property resulting from any ideas, methods, instructions or products referred to in the content. |
© 2024 by the authors. Licensee MDPI, Basel, Switzerland. This article is an open access article distributed under the terms and conditions of the Creative Commons Attribution (CC BY) license (https://creativecommons.org/licenses/by/4.0/).
Share and Cite
Wang, Y.; Qiu, C.; Cheng, P.; Li, Y.; Ma, Y.; Tao, X.; Weng, B.; Mailhot, G. Enhanced Orange II Removal Using Fe/Mn/Mg2-LDH Activated Peroxymonosulfate: Synergistic Radical Oxidation and Adsorption. Catalysts 2024, 14, 380. https://doi.org/10.3390/catal14060380
Wang Y, Qiu C, Cheng P, Li Y, Ma Y, Tao X, Weng B, Mailhot G. Enhanced Orange II Removal Using Fe/Mn/Mg2-LDH Activated Peroxymonosulfate: Synergistic Radical Oxidation and Adsorption. Catalysts. 2024; 14(6):380. https://doi.org/10.3390/catal14060380
Chicago/Turabian StyleWang, Yajie, Cui Qiu, Peng Cheng, Yuqing Li, Yunlong Ma, Xiuzhen Tao, Bo Weng, and Gilles Mailhot. 2024. "Enhanced Orange II Removal Using Fe/Mn/Mg2-LDH Activated Peroxymonosulfate: Synergistic Radical Oxidation and Adsorption" Catalysts 14, no. 6: 380. https://doi.org/10.3390/catal14060380
APA StyleWang, Y., Qiu, C., Cheng, P., Li, Y., Ma, Y., Tao, X., Weng, B., & Mailhot, G. (2024). Enhanced Orange II Removal Using Fe/Mn/Mg2-LDH Activated Peroxymonosulfate: Synergistic Radical Oxidation and Adsorption. Catalysts, 14(6), 380. https://doi.org/10.3390/catal14060380

