Catalyst Coatings for Ammonia Decomposition in Microchannels at High Temperature and Elevated Pressure for Use in Decentralized and Mobile Hydrogen Generation
Abstract
1. Introduction
2. Results
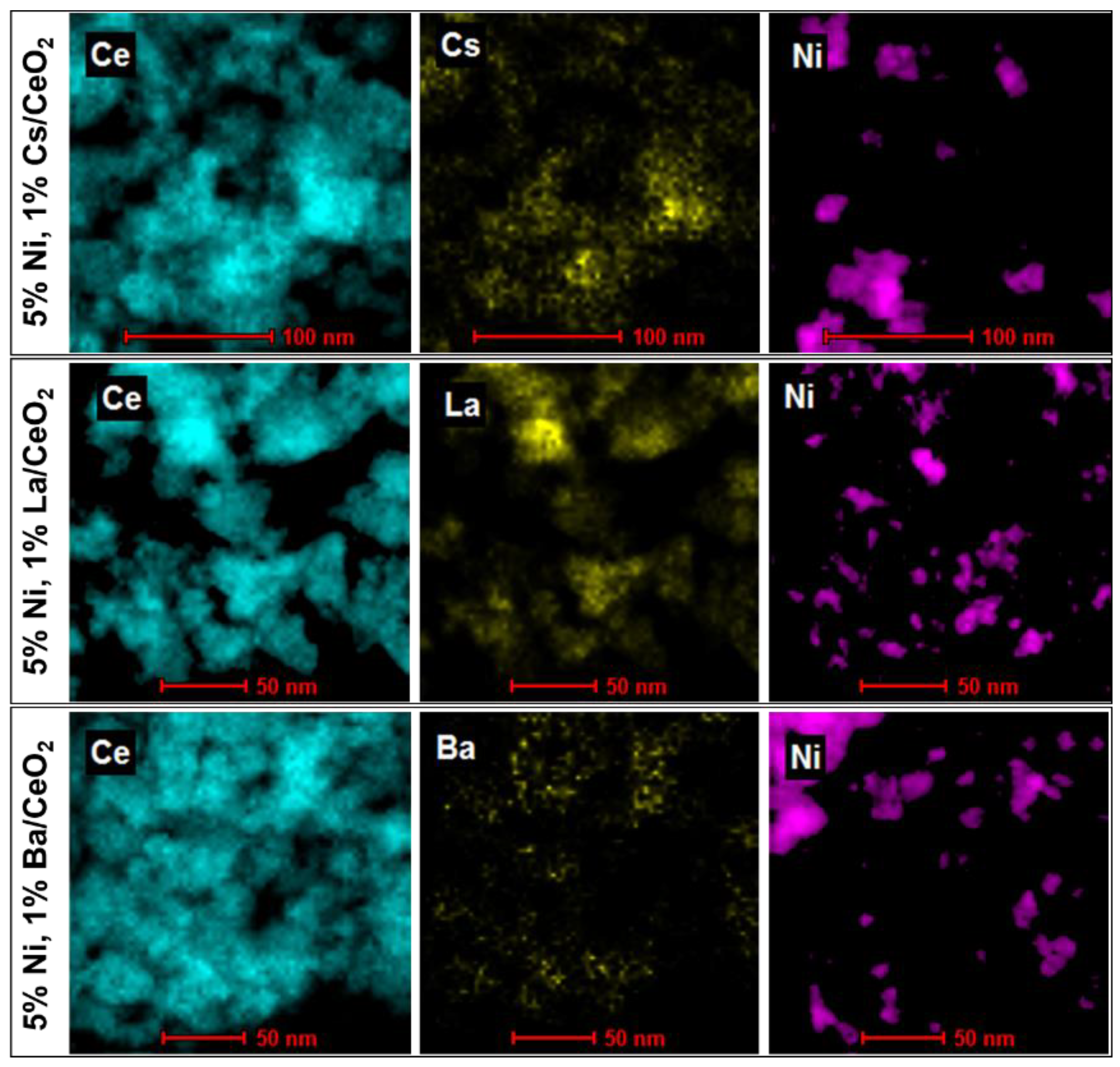
2.1. Catalyst Characterization
2.2. Catalytic Tests
2.2.1. Nickel Catalysts on Different Supports
2.2.2. Effect of the Nickel Loading
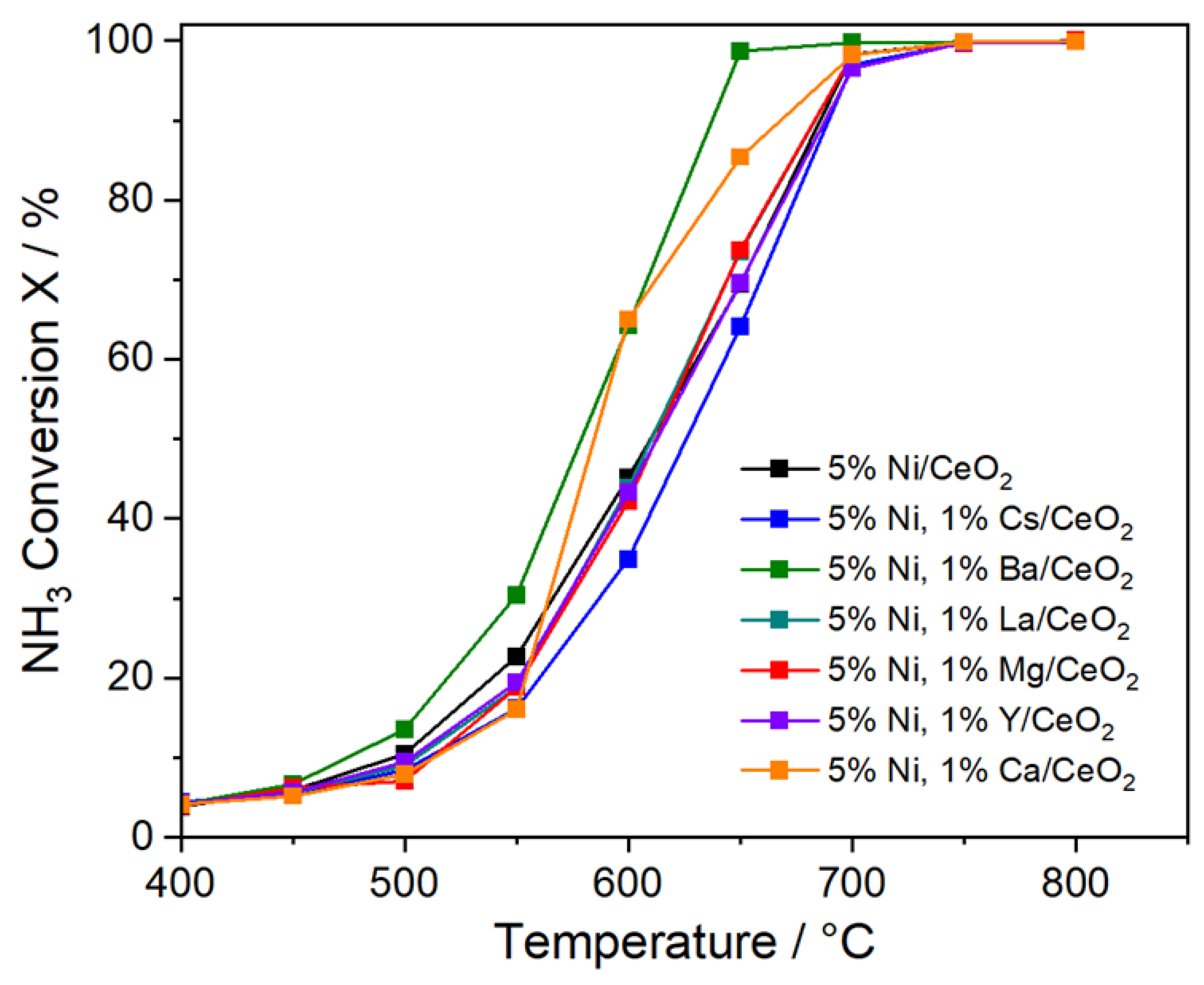
2.2.3. Effects of Dopants on Nickel Catalysts Supported on CeO2
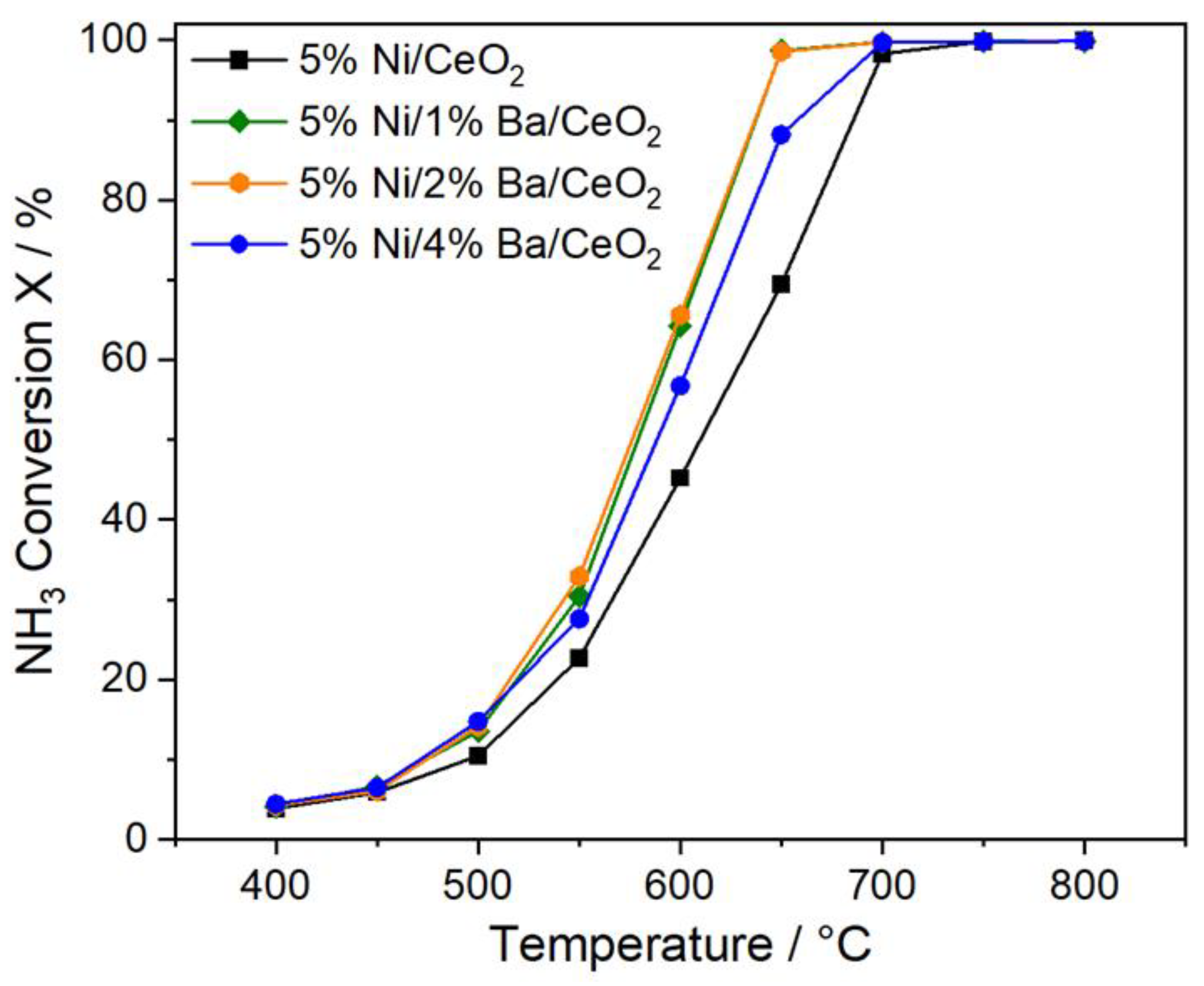
2.2.4. Variations in the Barium Loading of Barium-Promoted Ni/CeO2 Catalysts
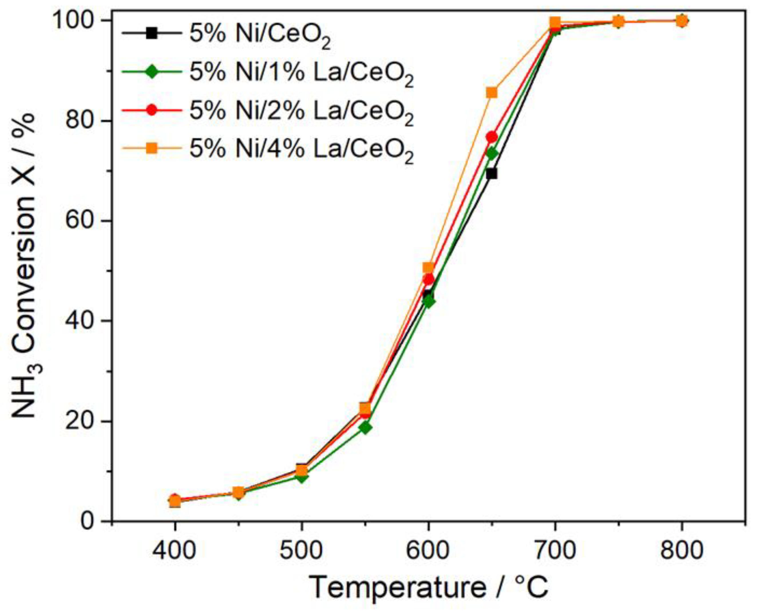
2.2.5. Variations in the Lanthanum Loading of Lanthanum-Promoted Ni/CeO2 Catalysts
2.2.6. Long-Term Catalytic Stability
3. Discussion
4. Materials and Methods
5. Conclusions
Supplementary Materials
Author Contributions
Funding
Data Availability Statement
Conflicts of Interest
References
- Sartbaeva, A.; Kuznetsov, V.L.; Wells, S.A.; Edwards, P.P. Hydrogen nexus in a sustainable energy future. Energy Environ. Sci. 2008, 1, 79–85. [Google Scholar] [CrossRef]
- Teichmann, D.; Arlt, W.; Wasserscheid, P. Liquid Organic Hydrogen Carriers as an efficient vector for the transport and storage of renewable energy. Int. J. Hydrogen Energy 2012, 37, 18118–18132. [Google Scholar] [CrossRef]
- Kojima, Y.; Yamaguchi, M. Ammonia as a hydrogen energy carrier. Int. J. Hydrogen Energy 2022, 47, 22832–22839. [Google Scholar] [CrossRef]
- Lamb, K.E.; Dolan, M.D.; Kennedy, D.F. Ammonia for hydrogen storage; A review of catalytic ammonia decomposition and hydrogen separation and purification. Int. J. Hydrogen Energy 2019, 44, 3580–3593. [Google Scholar] [CrossRef]
- Ayvalı, T.; Edman Tsang, S.C.; van Vrijaldenhoven, T. The Position of Ammonia in Decarbonising Maritime Industry: An Overview and Perspectives: Part I: Technological advantages and the momentum towards ammonia-propelled shipping. Johns. Matthey Technol. Rev. 2021, 65, 275–290. [Google Scholar] [CrossRef]
- Shacham, M.; Brauner, N. A hundred years of chemical equilibrium calculations—The case of ammonia synthesis. Educ. Chem. Eng. 2015, 13, 17–23. [Google Scholar] [CrossRef]
- Di Carlo, A.; Vecchione, L.; Del Prete, Z. Ammonia decomposition over commercial Ru/Al2O3 catalyst: An experimental evaluation at different operative pressures and temperatures. Int. J. Hydrogen Energy 2014, 39, 808–814. [Google Scholar] [CrossRef]
- Mojtahedi, W.; Abbasian, J. Catalytic decomposition of ammonia in a fuel gas at high temperature and pressure. Fuel 1995, 74, 1698–1703. [Google Scholar] [CrossRef]
- Sayas, S.; Morlanés, N.; Katikaneni, S.P.; Harale, A.; Solami, B.; Gascon, J. High pressure ammonia decomposition on Ru–K/CaO catalysts. Catal. Sci. Technol. 2020, 10, 5027–5035. [Google Scholar] [CrossRef]
- Ganley, J.C.; Thomas, F.S.; Seebauer, E.G.; Masel, R.I. A Priori Catalytic Activity Correlations: The Difficult Case of Hydrogen Production from Ammonia. Catal. Lett. 2004, 96, 117–122. [Google Scholar] [CrossRef]
- Okura, K.; Okanishi, T.; Muroyama, H.; Matsui, T.; Eguchi, K. Additive effect of alkaline earth metals on ammonia decomposition reaction over Ni/Y2O3 catalysts. RSC Adv. 2016, 6, 85142–85148. [Google Scholar] [CrossRef]
- Hill, A.K.; Torrente-Murciano, L. Low temperature H2 production from ammonia using ruthenium-based catalysts: Synergetic effect of promoter and support. Appl. Catal. B Environ. 2015, 172–173, 129–135. [Google Scholar] [CrossRef]
- Hu, X.-C.; Fu, X.-P.; Wang, W.-W.; Wang, X.; Wu, K.; Si, R.; Ma, C.; Jia, C.-J.; Yan, C.-H. Ceria-supported ruthenium clusters transforming from isolated single atoms for hydrogen production via decomposition of ammonia. Appl. Catal. B Environ. 2020, 268, 118424. [Google Scholar] [CrossRef]
- Li, X.-K.; Ji, W.-J.; Zhao, J.; Wang, S.-J.; Au, C.-T. Ammonia decomposition over Ru and Ni catalysts supported on fumed SiO2, MCM-41, and SBA-15. J. Catal. 2005, 236, 181–189. [Google Scholar] [CrossRef]
- Nagaoka, K.; Eboshi, T.; Abe, N.; Miyahara, S.-I.; Honda, K.; Sato, K. Influence of basic dopants on the activity of Ru/Pr6O11 for hydrogen production by ammonia decomposition. Int. J. Hydrogen Energy 2014, 39, 20731–20735. [Google Scholar] [CrossRef]
- Yin, S.-F.; Xu, B.-Q.; Ng, C.-F.; Au, C.-T. Nano Ru/CNTs: A highly active and stable catalyst for the generation of COx-free hydrogen in ammonia decomposition. Appl. Catal. B Environ. 2004, 48, 237–241. [Google Scholar] [CrossRef]
- Yin, S.-F.; Zhang, Q.-H.; Xu, B.-Q.; Zhu, W.-X.; Ng, C.-F.; Au, C.-T. Investigation on the catalysis of COx-free hydrogen generation from ammonia. J. Catal. 2004, 224, 384–396. [Google Scholar] [CrossRef]
- Kim, H.B.; Park, E.D. Ammonia decomposition over Ru catalysts supported on alumina with different crystalline phases. Catal. Today 2023, 411–412, 113817. [Google Scholar] [CrossRef]
- Cao, C.-F.; Wu, K.; Zhou, C.; Yao, Y.-H.; Luo, Y.; Chen, C.-Q.; Lin, L.; Jiang, L. Electronic metal-support interaction enhanced ammonia decomposition efficiency of perovskite oxide supported ruthenium. Chem. Eng. Sci. 2022, 257, 117719. [Google Scholar] [CrossRef]
- García-García, F.R.; Guerrero-Ruiz, A.; Rodríguez-Ramos, I.; Goguet, A.; Shekhtman, S.O.; Hardacre, C. TAP studies of ammonia decomposition over Ru and Ir catalysts. Phys. Chem. Chem. Phys. 2011, 13, 12892–12899. [Google Scholar] [CrossRef]
- Raróg-Pilecka, W.; Szmigiel, D.; Kowalczyk, Z.; Jodzis, S.; Zielinski, J. Ammonia decomposition over the carbon-based ruthenium catalyst promoted with barium or cesium. J. Catal. 2003, 218, 465–469. [Google Scholar] [CrossRef]
- Yin, S.F.; Xu, B.Q.; Wang, S.J.; Ng, C.F.; Au, C.T. Magnesia–Carbon Nanotubes (MgO–CNTs) Nanocomposite: Novel Support of Ru Catalyst for the Generation of COx-Free Hydrogen from Ammonia. Catal. Lett. 2004, 96, 113–116. [Google Scholar] [CrossRef]
- Yin, S.F.; Xu, B.Q.; Zhu, W.X.; Ng, C.F.; Zhou, X.P.; Au, C.T. Carbon nanotubes-supported Ru catalyst for the generation of COx-free hydrogen from ammonia. Catal. Today 2004, 93–95, 27–38. [Google Scholar] [CrossRef]
- Osozawa, M.; Hori, A.; Fukai, K.; Honma, T.; Oshima, K.; Satokawa, S. Improvement in ammonia synthesis activity on ruthenium catalyst using ceria support modified a large amount of cesium promoter. Int. J. Hydrogen Energy 2022, 47, 2433–2441. [Google Scholar] [CrossRef]
- Nuss, P.; Eckelman, M.J. Life Cycle Assessment of Metals: A Scientific Synthesis. PLoS ONE 2014, 9, e101298. [Google Scholar] [CrossRef]
- Lucentini, I.; Garcia, X.; Vendrell, X.; Llorca, J. Review of the decomposition of ammonia to generate hydrogen. Ind. Eng. Chem. Res. 2021, 60, 18560–18611. [Google Scholar] [CrossRef]
- Muroyama, H.; Saburi, C.; Matsui, T.; Eguchi, K. Ammonia decomposition over Ni/La2O3 catalyst for on-site generation of hydrogen. Appl. Catal. A Gen. 2012, 443–444, 119–124. [Google Scholar] [CrossRef]
- Okura, K.; Okanishi, T.; Muroyama, H.; Matsui, T.; Eguchi, K. Ammonia Decomposition over Nickel Catalysts Supported on Rare-Earth Oxides for the On-Site Generation of Hydrogen. ChemCatChem 2016, 8, 2988–2995. [Google Scholar] [CrossRef]
- Podila, S.; Al-Zahrani, A.A.; Pasupulety, N.; Alamoudi, M.A. Influence of CaCe ratio on the hydrogen production from ammonia over CaO-CeO2 supported Co catalysts. Arab. J. Chem. 2023, 16, 105235. [Google Scholar] [CrossRef]
- Cho, E.H.; Jeon, N.; Yoon, B.S.; Kim, S.; Yun, Y.; Ko, C.H. Magnesium-promoted Ni/USY catalysts prepared via surfactant-assisted melt infiltration for ammonia decomposition. Appl. Surf. Sci. 2023, 608, 155244. [Google Scholar] [CrossRef]
- Podila, S.; Driss, H.; Ali, A.M.; Al-Zahrani, A.A.; Daous, M.A. Influence of Ce substitution in LaMO3 (M = Co/Ni) perovskites for COx-free hydrogen production from ammonia decomposition. Arab. J. Chem. 2022, 15, 103547. [Google Scholar] [CrossRef]
- Gu, Y.; Ma, Y.; Long, Z.; Zhao, S.; Wang, Y.; Zhang, W. One-pot synthesis of supported Ni@Al2O3 catalysts with uniform small-sized Ni for hydrogen generation via ammonia decomposition. Int. J. Hydrogen Energy 2021, 46, 4045–4054. [Google Scholar] [CrossRef]
- Zhang, H.; Alhamed, Y.A.; Kojima, Y.; Al-Zahrani, A.A.; Miyaoka, H.; Petrov, L.A. Structure and catalytic properties of Ni/MWCNTs and Ni/AC catalysts for hydrogen production via ammonia decomposition. Int. J. Hydrogen Energy 2014, 39, 277–287. [Google Scholar] [CrossRef]
- Im, Y.; Muroyama, H.; Matsui, T.; Eguchi, K. Ammonia decomposition over nickel catalysts supported on alkaline earth metal aluminate for H2 production. Int. J. Hydrogen Energy 2020, 45, 26979–26988. [Google Scholar] [CrossRef]
- Liu, H.; Wang, H.; Shen, J.; Sun, Y.; Liu, Z. Promotion effect of cerium and lanthanum oxides on Ni/SBA-15 catalyst for ammonia decomposition. Catal. Today 2008, 131, 444–449. [Google Scholar] [CrossRef]
- Zhang, J.; Xu, H.; Jin, X.; Ge, Q.; Li, W. Characterizations and activities of the nano-sized Ni/Al2O3 and Ni/La–Al2O3 catalysts for NH3 decomposition. Appl. Catal. A Gen. 2005, 290, 87–96. [Google Scholar] [CrossRef]
- Zhang, J.; Xu, H.; Li, W. Kinetic study of NH3 decomposition over Ni nanoparticles: The role of La promoter, structure sensitivity and compensation effect. Appl. Catal. A Gen. 2005, 296, 257–267. [Google Scholar] [CrossRef]
- Zheng, W.; Zhang, J.; Ge, Q.; Xu, H.; Li, W. Effects of CeO2 addition on Ni/Al2O3 catalysts for the reaction of ammonia decomposition to hydrogen. Appl. Catal. B Environ. 2008, 80, 98–105. [Google Scholar] [CrossRef]
- Biesinger, M.C.; Payne, B.P.; Lau, L.W.M.; Gerson, A.; Smart, R.S.C. X-ray photoelectron spectroscopic chemical state quantification of mixed nickel metal, oxide and hydroxide systems. Surf. Interface Anal. 2009, 41, 324–332. [Google Scholar] [CrossRef]
- Lucentini, I.; Casanovas, A.; Llorca, J. Catalytic ammonia decomposition for hydrogen production on Ni, Ru and NiRu supported on CeO2. Int. J. Hydrogen Energy 2019, 44, 12693–12707. [Google Scholar] [CrossRef]
- Li, Y.; Zhang, W.; Ren, J.; Zhou, W.; Wang, Z. Ammonia decomposition for carbon-free hydrogen production over Ni/Al-Ce catalysts: Synergistic effect between Al and Ce. Fuel 2024, 358, 130176. [Google Scholar] [CrossRef]
- Do, Q.C.; Kim, Y.; Le, T.A.; Kim, G.J.; Kim, J.-R.; Kim, T.-W.; Lee, Y.-J.; Chae, H.-J. Facile one-pot synthesis of Ni-based catalysts by cation-anion double hydrolysis method as highly active Ru-free catalysts for green H2 production via NH3 decomposition. Appl. Catal. B Environ. 2022, 307, 121167. [Google Scholar] [CrossRef]
- Huang, C.; Yu, Y.; Tang, X.; Liu, Z.; Zhang, J.; Ye, C.; Ye, Y.; Zhang, R. Hydrogen generation by ammonia decomposition over Co/CeO2 catalyst: Influence of support morphologies. Appl. Surf. Sci. 2020, 532, 147335. [Google Scholar] [CrossRef]
- Zhang, J.; Xu, H.; Ge, Q.; Li, W. Highly efficient Ru/MgO catalysts for NH3 decomposition: Synthesis, characterization and promoter effect. Catal. Commun. 2006, 7, 148–152. [Google Scholar] [CrossRef]
- Li, L.; Chen, F.; Dai, Y.; Wu, J.; Shao, J.L.; Li, H.Y. Fe-assisted Ru clusters supported on porous and graphitic carbon for ammonia decomposition to CO x free hydrogen. RSC Adv. 2016, 6, 102336–102342. [Google Scholar] [CrossRef]
- Li, L.; Zhu, Z.H.; Yan, Z.F.; Lu, G.Q.; Rintoul, L. Catalytic ammonia decomposition over Ru/carbon catalysts: The importance of the structure of carbon support. Appl. Catal. A Gen. 2007, 320, 166–172. [Google Scholar] [CrossRef]
- Varisli, D.; Elverisli, E.E. Synthesizing hydrogen from ammonia over Ru incorporated SiO2 type nanocomposite catalysts. Int. J. Hydrogen Energy 2014, 39, 10399–10408. [Google Scholar] [CrossRef]
- Hu, Z.-P.; Weng, C.-C.; Yuan, G.-G.; Lv, X.-W.; Yuan, Z.-Y. Ni nanoparticles supported on mica for efficient decomposition of ammonia to COx-free hydrogen. Int. J. Hydrogen Energy 2018, 43, 9663–9676. [Google Scholar] [CrossRef]
- Su, Q.; Gu, L.; Yao, Y.; Zhao, J.; Ji, W.; Ding, W.; Au, C.-T. Layered double hydroxides derived Nix (MgyAlzOn) catalysts: Enhanced ammonia decomposition by hydrogen spillover effect. Appl. Catal. B Environ. 2017, 201, 451–460. [Google Scholar] [CrossRef]
- Cao, J.-L.; Yan, Z.-L.; Deng, Q.-F.; Wang, Y.; Yuan, Z.-Y.; Sun, G.; Jia, T.-K.; Wang, X.-D.; Bala, H.; Zhang, Z.-Y. Mesoporous modified-red-mud supported Ni catalysts for ammonia decomposition to hydrogen. Int. J. Hydrogen Energy 2014, 39, 5747–5755. [Google Scholar] [CrossRef]
- Zhao, J.; Deng, L.; Zheng, W.; Xu, S.; Yu, Q.; Qiu, X. Nickel-induced structure transformation in hydrocalumite for enhanced ammonia decomposition. Int. J. Hydrogen Energy 2020, 45, 12244–12255. [Google Scholar] [CrossRef]
- Hu, Z.-P.; Weng, C.-C.; Chen, C.; Yuan, Z.-Y. Catalytic decomposition of ammonia to COx-free hydrogen over Ni/ZSM-5 catalysts: A comparative study of the preparation methods. Appl. Catal. A Gen. 2018, 562, 49–57. [Google Scholar] [CrossRef]
- Zapf, R.; Becker-Willinger, C.; Berresheim, K.; Bolz, H.; Gnaser, H.; Hessel, V.; Kolb, G.; Löb, P.; Pannwitt, A.-K.; Ziogas, A. Detailed characterization of various porous alumina-based catalyst coatings within microchannels and their testing for methanol steam reforming. Chem. Eng. Res. Des. 2003, 81, 721–729. [Google Scholar] [CrossRef]
- Kolb, G.; Zapf, R.; Hessel, V.; Löwe, H. Propane steam reforming in micro-channels—Results from catalyst screening and optimisation. Appl. Catal. A Gen. 2004, 277, 155–166. [Google Scholar] [CrossRef]












| Sample Loading in wt.% | Surface Area 1 m2 g−1 | Metal Loading 2 wt.% | Ni Dispersion 3 % | dpNi 4 nm |
|---|---|---|---|---|
| Al2O3 | 155.9 | - | - | - |
| SiO2 | 102.7 | - | - | - |
| CeO2 | 37.1 | - | - | - |
| 5% Ni/Al2O3 | 147.5 | 4.86 | 7.98 | 12.7 |
| 5% Ni/SiO2 | 97.2 | 4.70 | 5.91 | 17.1 |
| 5% Ni/CeO2 | 33.7 | 4.67 | 4.29 | 23.5 |
| 10% Ni/CeO2 | 38.3 | n.d. | 4.13 | 24.3 |
| 15% Ni/CeO2 | 37.2 | 13.56 | 4.06 | 24.8 |
| 5% Ni, 1% Cs/CeO2 | 36.5 | 4.93 | 3.48 | 29.1 |
| 5% Ni, 1% La/CeO2 | 39.7 | 4.14 | 5.83 | 17.4 |
| 5% Ni, 1% Ba/CeO2 | 40.3 | 4.35 | 4.30 | 23.5 |
| Catalyst | Temperature °C | NH3 Conversion % | H2 Production Rate mmolH2 gcat−1 min−1 |
|---|---|---|---|
| 2.8% Cs-Ru/MgO [44] | 500 | 88.2 | 59.1 |
| 5% K-Ru/CNTs [16] | 450 | 97.3 | 32.6 |
| 0.97% Ru/Fe-C [45] | 600 | 97.5 | 21.7 |
| 5% Ru/graphitic C [46] | 550 | 95.0 | 29.1 |
| 9.6% Ru/SiO2 [47] | 500 | 86.0 | 345.5 |
| 15% Ni/Mica [48] | 650 | 97.2 | 32.5 |
| Ni0.6(Mg0.29Al0.57On) [49] | 600 | 99.3 | 33.3 |
| 12% Ni/MRM [50] | 700 | 95.5 | 32.0 |
| Ni1/C-LDHs-ST [51] | 600 | 98.8 | 11.0 |
| 5% Ni/ZSM [52] | 650 | 97.6 | 32.7 |
| 19.3% Ni/Al1Ce0.05Ox [42] | 600 | 81.8 | 49.3 |
| 5% Ru/SiO2 (this work) | 650 | 99.0 | 198.8 |
| 5% Ni, 4% La/CeO2 (this work) | 650 | 88.1 | 176.9 |
| 5% Ni, 2% Ba/CeO2 (this work) | 650 | 98.5 | 198.2 |
Disclaimer/Publisher’s Note: The statements, opinions and data contained in all publications are solely those of the individual author(s) and contributor(s) and not of MDPI and/or the editor(s). MDPI and/or the editor(s) disclaim responsibility for any injury to people or property resulting from any ideas, methods, instructions or products referred to in the content. |
© 2024 by the authors. Licensee MDPI, Basel, Switzerland. This article is an open access article distributed under the terms and conditions of the Creative Commons Attribution (CC BY) license (https://creativecommons.org/licenses/by/4.0/).
Share and Cite
Weissenberger, T.; Zapf, R.; Pennemann, H.; Kolb, G. Catalyst Coatings for Ammonia Decomposition in Microchannels at High Temperature and Elevated Pressure for Use in Decentralized and Mobile Hydrogen Generation. Catalysts 2024, 14, 104. https://doi.org/10.3390/catal14020104
Weissenberger T, Zapf R, Pennemann H, Kolb G. Catalyst Coatings for Ammonia Decomposition in Microchannels at High Temperature and Elevated Pressure for Use in Decentralized and Mobile Hydrogen Generation. Catalysts. 2024; 14(2):104. https://doi.org/10.3390/catal14020104
Chicago/Turabian StyleWeissenberger, Tobias, Ralf Zapf, Helmut Pennemann, and Gunther Kolb. 2024. "Catalyst Coatings for Ammonia Decomposition in Microchannels at High Temperature and Elevated Pressure for Use in Decentralized and Mobile Hydrogen Generation" Catalysts 14, no. 2: 104. https://doi.org/10.3390/catal14020104
APA StyleWeissenberger, T., Zapf, R., Pennemann, H., & Kolb, G. (2024). Catalyst Coatings for Ammonia Decomposition in Microchannels at High Temperature and Elevated Pressure for Use in Decentralized and Mobile Hydrogen Generation. Catalysts, 14(2), 104. https://doi.org/10.3390/catal14020104

