Deactivation and Regeneration Studies of Molybdenum-Based Catalysts in the Oxidative Desulfurization of Marine Fuel Oil
Abstract
1. Introduction
2. Results
2.1. Characterization of the Marine Fuel RMG380-DC, Before and After Oxidation
2.1.1. Elemental Analysis of RMG380 and RMG380-DC
2.1.2. Analysis of Sulphur-Containing Compounds by GC SCD of RMG380-DC Before and After Oxidation
2.2. Effect of Calcination and Mo Loading on xMo/Al2O3 Catalysts
2.2.1. Effect of the Calcination Step
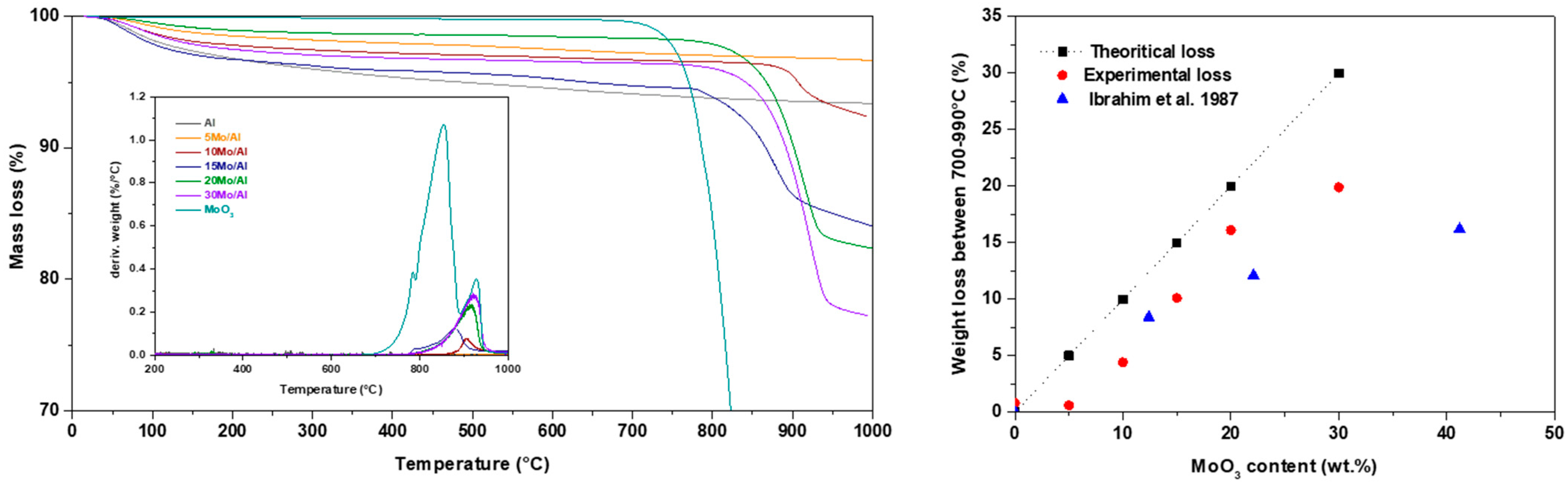
2.2.2. Effect of Mo Loading
2.3. Deactivation of xMo/Al Catalysts in the ODS of RMG380-DC
2.3.1. Deactivation Tests on 10Mo/Al and 20Mo/Al
2.3.2. Characterization of the Used Catalysts
3. Discussion
3.1. Active Phase
3.2. Nature of the Deactivation
4. Materials and Methods
4.1. Catalyst Preparation
4.2. Catalysts Characterization
4.3. Analysis of the Fuels
4.4. Dilution and Centrifugation of the Fuel
4.5. Oxidative Desulfurization Protocol
5. Conclusions
Supplementary Materials
Author Contributions
Funding
Data Availability Statement
Acknowledgments
Conflicts of Interest
References
- Halff, A.; Younes, L.; Boersma, T. The likely implications of the new IMO standards on the shipping industry. Energy Policy 2019, 126, 277–286. [Google Scholar] [CrossRef]
- Rana, M.S.; Sámano, V.; Ancheyta, J.; Diaz, J.A.I. A review of recent advances on process technologies for upgrading of heavy oils and residua. Fuel 2007, 86, 1216–1231. [Google Scholar] [CrossRef]
- Stanislaus, A.; Marafi, A.; Rana, M.S. Recent advances in the science and technology of ultra low sulfur diesel (ULSD) production. Catal. Today 2010, 153, 1–68. [Google Scholar] [CrossRef]
- Li, M.; Zhang, M.; Wei, A.; Zhu, W.; Xun, S.; Li, Y.; Li, H.; Li, H. Facile synthesis of amphiphilic polyoxometalate-based ionic liquid supported silica induced efficient performance in oxidative desulfurization. J. Mol. Catal. Chem. 2015, 406, 23–30. [Google Scholar] [CrossRef]
- Xun, S.; Zhu, W.; Zhu, F.; Chang, Y.; Zheng, D.; Qin, Y.; Zhang, M.; Jiang, W.; Li, H. Design and synthesis of W-containing mesoporous material with excellent catalytic activity for the oxidation of 4,6-DMDBT in fuels. Chem. Eng. J. 2015, 280, 256–264. [Google Scholar] [CrossRef]
- Zheng, H.; Sun, Z.; Chen, X.; Zhao, Q.; Wang, X.; Jiang, Z. A micro reaction-controlled phase-transfer catalyst for oxidative desulfurization based on polyoxometalate modified silica. Appl. Catal. Gen. 2013, 467, 26–32. [Google Scholar] [CrossRef]
- Fernandes, S.C.; Leo, P.; Santos-Vieira, I.; de Castro, B.; Cunha-Silva, L.; Balula, S.S. Improving Oxidative Catalytic Efficiency for Fuels Desulfurization Using Hybrid Materials Based in MOF-808@SBA-15. ChemCatChem 2024, 16, e202400355. [Google Scholar] [CrossRef]
- Ishihara, A.; Wang, D.; Dumeignil, F.; Amano, H.; Qian, E.W.; Kabe, T. Oxidative desulfurization and denitrogenation of a light gas oil using an oxidation/adsorption continuous flow process. Appl. Catal. Gen. 2005, 279, 279–287. [Google Scholar] [CrossRef]
- Otsuki, S.; Nonaka, T.; Takashima, N.; Qian, W.; Ishihara, A.; Imai, T.; Kabe, T. Oxidative Desulfurization of Light Gas Oil and Vacuum Gas Oil by Oxidation and Solvent Extraction. Energy Fuels 2000, 14, 1232–1239. [Google Scholar] [CrossRef]
- Chen, T.-C.; Shen, Y.-H.; Lee, W.-J.; Lin, C.-C.; Wan, M.-W. An economic analysis of the continuous ultrasound-assisted oxidative desulfurization process applied to oil recovered from waste tires. J. Clean. Prod. 2013, 39, 129–136. [Google Scholar] [CrossRef]
- Mirshafiee, F.; Movahedirad, S.; Sobati, M.A.; Alaee, R.; Zarei, S.; Sargazi, H. Current status and future prospects of oxidative desulfurization of naphtha: A review. Process Saf. Environ. Prot. 2023, 170, 54–75. [Google Scholar] [CrossRef]
- Prasad, V.V.D.N.; Jeong, K.-E.; Chae, H.-J.; Kim, C.-U.; Jeong, S.-Y. Oxidative desulfurization of 4,6-dimethyl dibenzothiophene and light cycle oil over supported molybdenum oxide catalysts. Catal. Commun. 2008, 9, 1966–1969. [Google Scholar] [CrossRef]
- García-Gutiérrez, J.L.; Fuentes, G.A.; Hernández-Terán, M.E.; García, P.; Murrieta-Guevara, F.; Jiménez-Cruz, F. Ultra-deep oxidative desulfurization of diesel fuel by the Mo/Al2O3-H2O2 system: The effect of system parameters on catalytic activity. Appl. Catal. Gen. 2008, 334, 366–373. [Google Scholar] [CrossRef]
- Caero, L.C.; Hernández, E.; Pedraza, F.; Murrieta, F. Oxidative desulfurization of synthetic diesel using supported catalysts: Part I. Study of the operation conditions with a vanadium oxide based catalyst. Catal. Today 2005, 107–108, 564–569. [Google Scholar] [CrossRef]
- Abdullah, W.N.W.; Ali, R.; Bakar, W.A.W.A. In depth investigation of Fe/MoO3–PO4/Al2O3 catalyst in oxidative desulfurization of Malaysian diesel with TBHP-DMF system. J. Taiwan Inst. Chem. Eng. 2016, 58, 344–350. [Google Scholar] [CrossRef]
- Chica, A.; Corma, A.; Dómine, M.E. Catalytic oxidative desulfurization (ODS) of diesel fuel on a continuous fixed-bed reactor. J. Catal. 2006, 242, 299–308. [Google Scholar] [CrossRef]
- Cho, K.-S.; Lee, Y.-K. Effects of nitrogen compounds, aromatics, and aprotic solvents on the oxidative desulfurization (ODS) of light cycle oil over Ti-SBA-15 catalyst. Appl. Catal. B Environ. 2014, 147, 35–42. [Google Scholar] [CrossRef]
- Khademian, F.; Bazyari, A.; Haghighi, P.; Thompson, L.T. Enhanced oxidative desulfurization of dibenzothiophene in the presence of cyclohexene, indole, quinoline, and p-xylene using surface-silylated titania-silica catalyst. Fuel 2023, 344, 128022. [Google Scholar] [CrossRef]
- Farshi, A.; Shiralizadeh, P. Sulfur reduction of heavy fuel oil by oxidative desulfurization (ODS) method. Pet. Coal 2015, 57, 1337–7027. [Google Scholar]
- Tang, Q.; Lin, S.; Cheng, Y.; Liu, S.; Xiong, J.-R. Ultrasound-assisted oxidative desulfurization of bunker-C oil using tert-butyl hydroperoxide. Ultrason. Sonochem. 2013, 20, 1168–1175. [Google Scholar] [CrossRef]
- Houda, S.; Lancelot, C.; Blanchard, P.; Poinel, L.; Lamonier, C. Ultrasound assisted oxidative desulfurization of marine fuels on MoO3/Al2O3 catalyst. Catal. Today 2021, 377, 221–228. [Google Scholar] [CrossRef]
- Vedachalam, S.; Boahene, P.; Dalai, A.K. Oxidative Desulfurization of Heavy Gas Oil over a Ti–TUD-1-Supported Keggin-Type Molybdenum Heteropolyacid. Energy Fuels 2020, 34, 15299–15312. [Google Scholar] [CrossRef]
- Ogunlaja, A.S.; Alade, O.S.; Tshentu, Z.R. Vanadium(IV) catalysed oxidation of organosulfur compounds in heavy fuel oil. Comptes Rendus Chim. 2017, 20, 164–168. [Google Scholar] [CrossRef]
- Rivoira, L.; Martínez, M.L.; Anunziata, O.; Beltramone, A. Vanadium oxide supported on mesoporous SBA-15 modified with Al and Ga as a highly active catalyst in the ODS of DBT. Microporous Mesoporous Mater. 2017, 254, 96–113. [Google Scholar] [CrossRef]
- Estephane, G. Développement de Catalyseurs à Base de Silice Mésostructurée et de Tungstène Pour L’oxydésulfuration de Charges Modèles et de Gazoles. Ph.D. Theses, Université de Lille, Lille, France, 2016. [Google Scholar]
- Akopyan, A.V.; Polikarpova, P.D.; Arzyaeva, N.V.; Anisimov, A.V.; Maslova, O.V.; Senko, O.V.; Efremenko, E.N. Model Fuel Oxidation in the Presence of Molybdenum-Containing Catalysts Based on SBA-15 with Hydrophobic Properties. ACS Omega 2021, 6, 26932–26941. [Google Scholar] [CrossRef]
- Estephane, G.; Lancelot, C.; Blanchard, P.; Toufaily, J.; Hamiye, T.; Lamonier, C. Sulfur compounds reactivity in the ODS of model and real feeds on W–SBA based catalysts. RSC Adv. 2018, 8, 13714–13721. [Google Scholar] [CrossRef]
- Jia, Y.; Li, G.; Ning, G.; Jin, C. The effect of N-containing compounds on oxidative desulphurization of liquid fuel. Catal. Today 2009, 140, 192–196. [Google Scholar] [CrossRef]
- Mokhtari, B.; Akbari, A.; Omidkhah, M. Superior Deep Desulfurization of Real Diesel over MoO3/Silica Gel as an Efficient Catalyst for Oxidation of Refractory Compounds. Energy Fuels 2019, 33, 7276–7286. [Google Scholar] [CrossRef]
- Tu, Y.; Li, T.; Yu, G.; Wei, L.; Ta, L.; Zhou, Z.; Ren, Z. Study on Modification and Desulfurization Performance of a Molybdenum-Based Catalyst. Energy Fuels 2019, 33, 8503–8510. [Google Scholar] [CrossRef]
- Mitra, S.; Racha, S.M.; Shown, B.; Mandal, S.; Das, A.K. New insights on oxidative desulfurization for low sulfur residual oil production. Sustain. Energy Fuels 2023, 7, 270–279. [Google Scholar] [CrossRef]
- Houda, S. Oxidative Desulfurization of Marine Fuels: Optimization of Reaction Conditions and Development of Efficient catalysts. Ph.D. Theses, Université de Lille, Lille, France, 2019. [Google Scholar]
- Palomeque-Santiago, J.F.; López-Medina, R.; Oviedo-Roa, R.; Navarrete-Bolaños, J.; Mora-Vallejo, R.; Montoya-de la Fuente, J.A.; Martínez-Magadán, J.M. Deep oxidative desulfurization with simultaneous oxidative denitrogenation of diesel fuel and straight run gas oil. Appl. Catal. B Environ. 2018, 236, 326–337. [Google Scholar] [CrossRef]
- Garaniya, V.; McWilliam, D.; Goldsworthy, L.; Ghiji, M. Extensive chemical characterization of a heavy fuel oil. Fuel 2018, 227, 67–78. [Google Scholar] [CrossRef]
- Hua, R.; Wang, J.; Kong, H.; Liu, J.; Lu, X.; Xu, G. Analysis of sulfur-containing compounds in crude oils by comprehensive two-dimensional gas chromatography with sulfur chemiluminescence detection. J. Sep. Sci. 2004, 27, 691–698. [Google Scholar] [CrossRef] [PubMed]
- Mahé, L.; Dutriez, T.; Courtiade, M.; Thiébaut, D.; Dulot, H.; Bertoncini, F. Global approach for the selection of high temperature comprehensive two-dimensional gas chromatography experimental conditions and quantitative analysis in regards to sulfur-containing compounds in heavy petroleum cuts. J. Chromatogr. A 2011, 1218, 534–544. [Google Scholar] [CrossRef] [PubMed]
- Lorentz, C.; Laurenti, D.; Zotin, J.L.; Geantet, C. Comprehensive GC×GC chromatography for the characterization of sulfur compound in fuels: A review. Catal. Today 2017, 292, 26–37. [Google Scholar] [CrossRef]
- Blomberg, J.; Riemersma, T.; van Zuijlen, M.; Chaabani, H. Comprehensive two-dimensional gas chromatography coupled with fast sulphur-chemiluminescence detection: Implications of detector electronics. J. Chromatogr. A 2004, 1050, 77–84. [Google Scholar] [CrossRef]
- Ruiz-Guerrero, R.; Vendeuvre, C.; Thiébaut, D.; Bertoncini, F.; Espinat, D. Comparison of comprehensive two-dimensional gas chromatography coupled with sulfur-chemiluminescence detector to standard methods for speciation of sulfur-containing compounds in middle distillates. J. Chromatogr. Sci. 2006, 44, 566–573. [Google Scholar] [CrossRef]
- Qing, Y.; Yang, K.; Chen, Y.; Zhu, J.; Li, Y.; Chen, C.; Li, Q.; Sun, B.; He, J. Thermal Stability, Optical and Electrical Properties of Substoichiometric Molybdenum Oxide. Materials 2023, 16, 2841. [Google Scholar] [CrossRef]
- Leung, Y.L.; Flinn, B.J.; Wong, P.C.; Mitchell, K.A.R.; Smith, K.J. A surface spectroscopic study of calcinated molybdenum-aluminum oxide model catalysts. Appl. Surf. Sci. 1998, 125, 293–299. [Google Scholar] [CrossRef]
- Drake, T.L.; Stair, P.C. Multiwavelength Raman Spectroscopic Characterization of Alumina-Supported Molybdenum Oxide Prepared by Vapor Deposition. Top. Catal. 2017, 60, 1618–1630. [Google Scholar] [CrossRef]
- Tian, H.; Roberts, C.A.; Wachs, I.E. Molecular Structural Determination of Molybdena in Different Environments: Aqueous Solutions, Bulk Mixed Oxides, and Supported MoO3 Catalysts. J. Phys. Chem. C 2010, 114, 14110–14120. [Google Scholar] [CrossRef]
- Ibrahim, A.A.; El-Shobaky, G.A. Solid-solid interactions in the MoO3-Al2O3, system. Thermochim. Acta 1989, 147, 175–188. [Google Scholar] [CrossRef]
- Cordero, R.L.; Guerra, S.L.; Fierro, J.L.G.; Agudo, A.L. Formation of Al2(MoO4)3 and MoO3 phases induced by phosphate in molybdena-phosphorus catalysts. J. Catal. 1990, 126, 8–12. [Google Scholar] [CrossRef]
- Matsumoto, Y.; Shimanouchi, R. Synthesis of Al2(MoO4)3 by Two Distinct Processes, Hydrothermal Reaction and Solid-State Reaction. Procedia Eng. 2016, 148, 158–162. [Google Scholar] [CrossRef]
- Tian, Y.; Yao, Y.; Zhi, Y.; Yan, L.; Lu, S. Combined Extraction–Oxidation System for Oxidative Desulfurization (ODS) of a Model Fuel. Energy Fuels 2015, 29, 618–625. [Google Scholar] [CrossRef]
- Barman, B.N.; Skarlos, L.; Kushner, D.J. Simultaneous Determination of Oil and Coke Contents in Spent Hydroprocessing Catalyst by Thermogravimetry. Energy Fuels 1997, 11, 593–595. [Google Scholar] [CrossRef]
- García-Gutiérrez, J.L.; Fuentes, G.A.; Hernández-Terán, M.E.; Murrieta, F.; Navarrete, J.; Jiménez-Cruz, F. Ultra-deep oxidative desulfurization of diesel fuel with H2O2 catalyzed under mild conditions by polymolybdates supported on Al2O3. Appl. Catal. Gen. 2006, 305, 15–20. [Google Scholar] [CrossRef]
- Luna, M.L.; Caero, L.C. Tungsten based catalysts for oxidative desulfurization: Surface species and partially reduced systems as key features to improve the activity. J. Appl. Res. Technol. 2018, 16, 455–465. [Google Scholar] [CrossRef][Green Version]
- Heracleous, E.; Lee, A.F.; Vasalos, I.A.; Lemonidou, A.A. Surface Properties and Reactivity of Al2O3-Supported MoO3 Catalysts in Ethane Oxidative Dehydrogenation. Catal. Lett. 2003, 88, 47–53. [Google Scholar] [CrossRef]
- Houda, S.; Lancelot, C.; Blanchard, P.; Poinel, L.; Lamonier, C. Oxidative Desulfurization of Heavy Oils with High Sulfur Content: A Review. Catalysts 2018, 8, 344. [Google Scholar] [CrossRef]
- Dominguez Garcia, E.; Chen, J.; Oliviero, E.; Oliviero, L.; Maugé, F. New insight into the support effect on HDS catalysts: Evidence for the role of Mo-support interaction on the MoS2 slab morphology. Appl. Catal. B Environ. 2020, 260, 117975. [Google Scholar] [CrossRef]
- Khishgar, M.; Meshkat, S.S.; Safaie, Z. An efficient oxidative desulfurization method of diesel fuel via iron oxide—Molybdenum oxide nanocomposite catalysts on gamma alumina. 2023; preprint. [Google Scholar] [CrossRef]
- Alvarez-Amparán, M.A.; Cedeño-Caero, L. MoOx-VOx based catalysts for the oxidative desulfurization of refractory compounds: Influence of MoOx-VOx interaction on the catalytic performance. Catal. Today 2017, 282, 133–139. [Google Scholar] [CrossRef]
- Forzatti, P.; Lietti, L. Catalyst deactivation. Catal. Today 1999, 52, 165–181. [Google Scholar] [CrossRef]
- Appleby, W.G.; Gibson, J.W.; Good, G.M. Coke Formation in Catalytic Cracking. Ind. Eng. Chem. Process Des. Dev. 1962, 1, 102–110. [Google Scholar] [CrossRef]
- Le Bihan, L.; Blanchard, P.; Fournier, M.; Grimblot, J.; Payen, E. Raman spectroscopic evidence for the existence of 6-molybdoaluminate entities on an Mo/Al2O3 oxidic precursor. J. Chem. Soc. Faraday Trans. 1998, 94, 937. [Google Scholar] [CrossRef]
- Oliviero, L.; Maugé, F.; Afanasiev, P.; Pedraza-Parra, C.; Geantet, C. Organic additives for hydrotreating catalysts: A review of main families and action mechanisms. Catal. Today 2021, 377, 3–16. [Google Scholar] [CrossRef]












| Catalyst | CxBTs Conv/% | DBT Conv/% |
|---|---|---|
| 20Mo/Al (1,350,3) | 14 | 46 |
| 20Mo/Al (1,400,3) | 9 | 58 |
| 20Mo/Al (1,480,3) | 23 | 60 |
| 20Mo/Al (1,550,3) | 16 | 53 |
| 20Mo/Al (1,480,5) | 13 | 52 |
| 20Mo/Al (5,480,3) | 8 | 39 |
| Catalyst | %theo MoO3 | %exp MoO3 (XRF) | SBET (m²/g) | SBET (m²/gsup) | Vp (cm3/g) | Vp (cm3/gsup) | Ømean (nm) |
|---|---|---|---|---|---|---|---|
| Al2O3 | / | / | 177 | / | 0.7 | / | 13.6 |
| 5Mo/Al | 5 | 7.1 | 167 | 180 | 0.7 | 0.8 | 12.1 |
| 10Mo/Al | 10 | 9.1 | 173 | 190 | 0.7 | 0.8 | 11.2 |
| 15Mo/Al | 15 | 15.5 | 154 | 182 | 0.6 | 0.7 | 11.9 |
| 20Mo/Al | 20 | 19.8 | 150 | 187 | 0.5 | 0.6 | 10.6 |
| 30Mo/Al | 30 | 29.5 | 138 | 196 | 0.5 | 0.7 | 11.5 |
| Sample Name | Fresh Catalyst/%MoO3 | Used Catalyst/%MoO3 |
|---|---|---|
| 10Mo/Al | 19.8 | 18.6 |
| 20Mo/Al | 9.1 | 9.4 |
| Catalyst | C/wt.% | H/wt.% | N/wt.% | S/wt.% | S Retention/% | H/C | S/C | |
|---|---|---|---|---|---|---|---|---|
| 10Mo/Al | After one run | 14.34 | 1.80 | 0.03 | 0.52 | 4.2 | 1.5 | 0.01 |
| 20Mo/Al | After one run | 14.56 | 1.80 | 0.04 | 0.51 | 4.3 | 1.5 | 0.01 |
| After four runs | 17.51 | 2.16 | 0.09 | 0.83 | 6.9 | 1.5 | 0.02 | |
| After one run + calcination | 0.06 | 0.35 | 0 | 0.33 | nd | 70 | 2 | |
Disclaimer/Publisher’s Note: The statements, opinions and data contained in all publications are solely those of the individual author(s) and contributor(s) and not of MDPI and/or the editor(s). MDPI and/or the editor(s) disclaim responsibility for any injury to people or property resulting from any ideas, methods, instructions or products referred to in the content. |
© 2024 by the authors. Licensee MDPI, Basel, Switzerland. This article is an open access article distributed under the terms and conditions of the Creative Commons Attribution (CC BY) license (https://creativecommons.org/licenses/by/4.0/).
Share and Cite
Roy, T.; Alakari, J.; Lancelot, C.; Blanchard, P.; Poinel, L.; Lamonier, C. Deactivation and Regeneration Studies of Molybdenum-Based Catalysts in the Oxidative Desulfurization of Marine Fuel Oil. Catalysts 2024, 14, 823. https://doi.org/10.3390/catal14110823
Roy T, Alakari J, Lancelot C, Blanchard P, Poinel L, Lamonier C. Deactivation and Regeneration Studies of Molybdenum-Based Catalysts in the Oxidative Desulfurization of Marine Fuel Oil. Catalysts. 2024; 14(11):823. https://doi.org/10.3390/catal14110823
Chicago/Turabian StyleRoy, Teddy, Joy Alakari, Christine Lancelot, Pascal Blanchard, Line Poinel, and Carole Lamonier. 2024. "Deactivation and Regeneration Studies of Molybdenum-Based Catalysts in the Oxidative Desulfurization of Marine Fuel Oil" Catalysts 14, no. 11: 823. https://doi.org/10.3390/catal14110823
APA StyleRoy, T., Alakari, J., Lancelot, C., Blanchard, P., Poinel, L., & Lamonier, C. (2024). Deactivation and Regeneration Studies of Molybdenum-Based Catalysts in the Oxidative Desulfurization of Marine Fuel Oil. Catalysts, 14(11), 823. https://doi.org/10.3390/catal14110823

