Oxidation of Toluene by Ozone over Surface-Modified γ-Al2O3: Effect of Ag Addition
Abstract
:1. Introduction
2. Results and Discussion
2.1. XRD
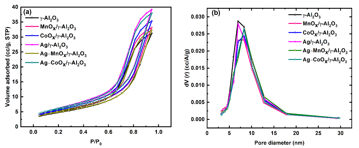
2.2. Physisorption
2.3. CO2 TPD Analysis and NH3 TPD Analysis
2.4. XPS
2.5. Catalytic Activity
3. Materials and Methods
3.1. Material Synthesis and Characterisation
3.2. Experimental Setup
3.3. Analysis
4. Conclusions
Author Contributions
Funding
Data Availability Statement
Acknowledgments
Conflicts of Interest
References
- Rezaei, E.; Soltan, J.; Chen, N.; Lin, J. Effect of Noble Metals on Activity of MnOx/γ-Alumina Catalyst in Catalytic Ozonation of Toluene. Chem. Eng. J. 2013, 214, 219–228. [Google Scholar] [CrossRef]
- An Indoor Air Purification Technology Using a Non-Thermal Plasma Reactor with Multiple-Wire-to-Wire Type Electrodes and a Fiber Air Filter—ScienceDirect. Available online: https://www.sciencedirect.com/science/article/pii/S0304388616300717 (accessed on 22 December 2021).
- Smith, J.F.; Gao, Z.; Zhang, J.S.; Guo, B. A New Experimental Method for the Determination of Emittable Initial VOC Concentrations in Building Materials and Sorption Isotherms for IVOCs. CLEAN Soil Air Water 2009, 37, 454–458. [Google Scholar] [CrossRef]
- Mudliar, S.; Giri, B.; Padoley, K.; Satpute, D.; Dixit, R.; Bhatt, P.; Pandey, R.; Juwarkar, A.; Vaidya, A. Bioreactors for Treatment of VOCs and Odours–A Review. J. Environ. Manag. 2010, 91, 1039–1054. [Google Scholar] [CrossRef] [PubMed]
- Hequet, V.; Raillard, C.; Debono, O.; Thévenet, F.; Locoge, N.; Coq, L.L. Photocatalytic Oxidation of VOCs at Ppb Level Using a Closed-Loop Reactor: The Mixture Effect. Appl. Catal. B Environ. 2018, 226, 473–486. [Google Scholar] [CrossRef] [Green Version]
- Subrahmanyam, C.; Renken, A.; Kiwi-Minsker, L. Novel Catalytic Non-Thermal Plasma Reactor for the Abatement of VOCs. Chem. Eng. J. 2007, 134, 78–83. [Google Scholar] [CrossRef]
- Karuppiah, J.; Reddy, E.L.; Reddy, P.M.K.; Ramaraju, B.; Karvembu, R.; Subrahmanyam, C. Abatement of Mixture of Volatile Organic Compounds (VOCs) in a Catalytic Non-Thermal Plasma Reactor. J. Hazard. Mater. 2012, 237, 283–289. [Google Scholar] [CrossRef]
- Jia, Z.; Wang, X.; Thevenet, F.; Rousseau, A. Dynamic Probing of Plasma-Catalytic Surface Processes: Oxidation of Toluene on CeO2. Plasma Process. Polym. 2017, 14, 1600114. [Google Scholar] [CrossRef] [Green Version]
- Yu, B.F.; Hu, Z.B.; Liu, M.; Yang, H.L.; Kong, Q.X.; Liu, Y.H. Review of Research on Air-Conditioning Systems and Indoor Air Quality Control for Human Health. Int. J. Refrig. 2009, 32, 3–20. [Google Scholar] [CrossRef]
- Wang, S.; Ang, H.M.; Tade, M.O. Volatile Organic Compounds in Indoor Environment and Photocatalytic Oxidation: State of the Art. Environ. Int. 2007, 33, 694–705. [Google Scholar] [CrossRef]
- Rezaei, E.; Soltan, J. Low Temperature Oxidation of Toluene by Ozone over MnOx/γ-Alumina and MnOx/MCM-41 Catalysts. Chem. Eng. J. 2012, 198, 482–490. [Google Scholar] [CrossRef]
- Wu, J.C.-S.; Lin, Z.-A.; Tsai, F.-M.; Pan, J.-W. Low-Temperature Complete Oxidation of BTX on Pt/Activated Carbon Catalysts. Catal. Today 2000, 63, 419–426. [Google Scholar] [CrossRef]
- Huang, S.; Zhang, C.; He, H. Complete Oxidation of O-Xylene over Pd/Al2O3 Catalyst at Low Temperature. Catal. Today 2008, 139, 15–23. [Google Scholar] [CrossRef]
- Gervasini, A.; Vezzoli, G.C.; Ragaini, V. VOC Removal by Synergic Effect of Combustion Catalyst and Ozone. Catal. Today 1996, 29, 449–455. [Google Scholar] [CrossRef]
- Liu, Y.; Zhou, H.; Cao, R.; Liu, X.; Zhang, P.; Zhan, J.; Liu, L. Facile and Green Synthetic Strategy of Birnessite-Type MnO2 with High Efficiency for Airborne Benzene Removal at Low Temperatures. Appl. Catal. B Environ. 2019, 245, 569–582. [Google Scholar] [CrossRef]
- Zhu, X.; Zhang, S.; Yu, X.; Zhu, X.; Zheng, C.; Gao, X.; Luo, Z.; Cen, K. Controllable Synthesis of Hierarchical MnOx/TiO2 Composite Nanofibers for Complete Oxidation of Low-Concentration Acetone. J. Hazard. Mater. 2017, 337, 105–114. [Google Scholar] [CrossRef]
- Shi, F.; Wang, F.; Dai, H.; Dai, J.; Deng, J.; Liu, Y.; Bai, G.; Ji, K.; Au, C.T. Rod-, Flower-, and Dumbbell-like MnO2: Highly Active Catalysts for the Combustion of Toluene. Appl. Catal. Gen. 2012, 433, 206–213. [Google Scholar] [CrossRef]
- Wang, F.; Dai, H.; Deng, J.; Bai, G.; Ji, K.; Liu, Y. Manganese Oxides with Rod-, Wire-, Tube-, and Flower-like Morphologies: Highly Effective Catalysts for the Removal of Toluene. Environ. Sci. Technol. 2012, 46, 4034–4041. [Google Scholar] [CrossRef]
- Zhao, D.-Z.; Shi, C.; Li, X.-S.; Zhu, A.-M.; Jang, B.W.-L. Enhanced Effect of Water Vapor on Complete Oxidation of Formaldehyde in Air with Ozone over MnOx Catalysts at Room Temperature. J. Hazard. Mater. 2012, 239, 362–369. [Google Scholar] [CrossRef]
- Lin, F.; Zhang, Z.; Xiang, L.; Zhang, L.; Cheng, Z.; Wang, Z.; Yan, B.; Chen, G. Efficient Degradation of Multiple Cl-VOCs by Catalytic Ozonation over MnOx Catalysts with Different Supports. Chem. Eng. J. 2022, 435, 134807. [Google Scholar] [CrossRef]
- Tian, M.; Liu, S.; Wang, L.; Ding, H.; Zhao, D.; Wang, Y.; Cui, J.; Fu, J.; Shang, J.; Li, G.K. Complete Degradation of Gaseous Methanol over Pt/FeOx Catalysts by Normal Temperature Catalytic Ozonation. Environ. Sci. Technol. 2020, 54, 1938–1945. [Google Scholar] [CrossRef]
- He, C.; Liao, Y.; Chen, C.; Xia, D.; Wang, Y.; Tian, S.; Yang, J.; Shu, D. Realising a Redox-Robust Ag/MnO2 Catalyst for Efficient Wet Catalytic Ozonation of S-VOCs: Promotional Role of Ag(0)/Ag(I)-Mn Based Redox Shuttle. Appl. Catal. B Environ. 2022, 303, 120881. [Google Scholar] [CrossRef]
- Subrahmanyam, C.; Magureanu, M.; Renken, A.; Kiwi-Minsker, L. Catalytic Abatement of Volatile Organic Compounds Assisted by Non-Thermal Plasma: Part 1. A Novel Dielectric Barrier Discharge Reactor Containing Catalytic Electrode. Appl. Catal. B Environ. 2006, 65, 150–156. [Google Scholar] [CrossRef] [Green Version]
- Subrahmanyam, C.; Renken, A.; Kiwi-Minsker, L. Catalytic Abatement of Volatile Organic Compounds Assisted by Non-Thermal Plasma: Part II. Optimized Catalytic Electrode and Operating Conditions. Appl. Catal. B Environ. 2006, 65, 157–162. [Google Scholar] [CrossRef]
- Cao, F.; Xiang, J.; Su, S.; Wang, P.; Hu, S.; Sun, L. Ag Modified Mn–Ce/γ-Al2O3 Catalyst for Selective Catalytic Reduction of NO with NH3 at Low-Temperature. Fuel Process. Technol. 2015, 135, 66–72. [Google Scholar] [CrossRef]
- Ryu, H.W.; Song, M.Y.; Park, J.S.; Kim, J.M.; Jung, S.-C.; Song, J.; Kim, B.-J.; Park, Y.-K. Removal of Toluene Using Ozone at Room Temperature over Mesoporous Mn/Al2O3 Catalysts. Environ. Res. 2019, 172, 649–657. [Google Scholar] [CrossRef]
- Aboelazm, E.A.; Ali, G.A.; Chong, K.F. Cobalt Oxide Supercapacitor Electrode Recovered from Spent Lithium-Ion Battery. Chem. Adv. Mater. 2018, 3, 67–73. [Google Scholar]
- Zhan, S.; Hou, Q.; Li, Y.; Ma, S.; Wang, P.; Li, Y.; Wang, H. AgBr/g-C3N4 Nanocomposites for Enhanced Visible-Light-Driven Photocatalytic Inactivation of Escherichia Coli. RSC Adv. 2018, 8, 34428–34436. [Google Scholar] [CrossRef] [Green Version]
- Qu, Z.; Bu, Y.; Qin, Y.; Wang, Y.; Fu, Q. The Improved Reactivity of Manganese Catalysts by Ag in Catalytic Oxidation of Toluene. Appl. Catal. B Environ. 2013, 132, 353–362. [Google Scholar] [CrossRef]
- Chawdhury, P.; Kumar, D.; Subrahmanyam, C. NTP Reactor for a Single Stage Methane Conversion to Methanol: Influence of Catalyst Addition and Effect of Promoters. Chem. Eng. J. 2019, 372, 638–647. [Google Scholar] [CrossRef]
- Xu, X.; Wang, P.; Xu, W.; Wu, J.; Chen, L.; Fu, M.; Ye, D. Plasma-Catalysis of Metal Loaded SBA-15 for Toluene Removal: Comparison of Continuously Introduced and Adsorption-Discharge Plasma System. Chem. Eng. J. 2016, 283, 276–284. [Google Scholar] [CrossRef]
- Nguyen, V.T.; Nguyen, D.B.; Mok, Y.S.; Hossain, M.D.M.; Saud, S.; Yoon, K.H.; Dinh, D.K.; Ryu, S.; Jeon, H.; Kim, S.B. Removal of Ethyl Acetate in Air by Using Different Types of Corona Discharges Generated in a Honeycomb Monolith Structure Coated with Pd/γ-Alumina. J. Hazard. Mater. 2021, 416, 126162. [Google Scholar] [CrossRef] [PubMed]
- Trinh, Q.H.; Lee, S.B.; Mok, Y.S. Removal of Ethylene from Air Stream by Adsorption and Plasma-Catalytic Oxidation Using Silver-Based Bimetallic Catalysts Supported on Zeolite. J. Hazard. Mater. 2015, 285, 525–534. [Google Scholar] [CrossRef] [PubMed]
- Kim, H.-H.; Sugasawa, M.; Hirata, H.; Teramoto, Y.; Kosuge, K.; Negishi, N.; Ogata, A. Ozone-Assisted Catalysis of Toluene with Layered ZSM-5 and Ag/ZSM-5 Zeolites. Plasma Chem. Plasma Process. 2013, 33, 1083–1098. [Google Scholar] [CrossRef]
- Wang, W.; Wang, H.; Zhu, T.; Fan, X. Removal of Gas Phase Low-Concentration Toluene over Mn, Ag and Ce Modified HZSM-5 Catalysts by Periodical Operation of Adsorption and Non-Thermal Plasma Regeneration. J. Hazard. Mater. 2015, 292, 70–78. [Google Scholar] [CrossRef]
- Santos, V.P.; Pereira, M.F.R.; Órfão, J.J.M.; Figueiredo, J.L. The Role of Lattice Oxygen on the Activity of Manganese Oxides towards the Oxidation of Volatile Organic Compounds. Appl. Catal. B Environ. 2010, 99, 353–363. [Google Scholar] [CrossRef]
- Tang, C.; Huang, X.; Wang, H.; Shi, H.; Zhao, G. Mechanism Investigation on the Enhanced Photocatalytic Oxidation of Nonylphenol on Hydrophobic TiO2 Nanotubes. J. Hazard. Mater. 2020, 382, 121017. [Google Scholar] [CrossRef]
- Cellier, C.; Lambert, S.; Gaigneaux, E.M.; Poleunis, C.; Ruaux, V.; Eloy, P.; Lahousse, C.; Bertrand, P.; Pirard, J.-P.; Grange, P. Investigation of the Preparation and Activity of Gold Catalysts in the Total Oxidation of N-Hexane. Appl. Catal. B Environ. 2007, 70, 406–416. [Google Scholar] [CrossRef]
- Li, J.; Na, H.; Zeng, X.; Zhu, T.; Liu, Z. In Situ DRIFTS Investigation for the Oxidation of Toluene by Ozone over Mn/HZSM-5, Ag/HZSM-5 and Mn–Ag/HZSM-5 Catalysts. Appl. Surf. Sci. 2014, 311, 690–696. [Google Scholar] [CrossRef]
- Kim, J.; Kwon, E.E.; Lee, J.E.; Jang, S.-H.; Jeon, J.-K.; Song, J.; Park, Y.-K. Effect of Zeolite Acidity and Structure on Ozone Oxidation of Toluene Using Ru-Mn Loaded Zeolites at Ambient Temperature. J. Hazard. Mater. 2021, 403, 123934. [Google Scholar] [CrossRef]
- Kwong, C.W.; Chao, C.Y.H.; Hui, K.S.; Wan, M.P. Catalytic Ozonation of Toluene Using Zeolite and MCM-41 Materials. Environ. Sci. Technol. 2008, 42, 8504–8509. [Google Scholar] [CrossRef]
- Hu, M.; Hui, K.S.; Hui, K.N. Role of Graphene in MnO2/Graphene Composite for Catalytic Ozonation of Gaseous Toluene. Chem. Eng. J. 2014, 254, 237–244. [Google Scholar] [CrossRef]
- Low Temperature Catalytic Ozonation of Toluene in Flue Gas over Mn-Based Catalysts. Effect of Support Property and SO2/Water Vapor Addition. Elsevier Enhanced Reader. Available online: https://reader.elsevier.com/reader/sd/pii/S0926337320300771?token=CCC7B4C2A0090FF120B6E976AFE70D190814687F23BD668481936900E86751CBF86D851EC6D570AD826CE58BC83A567A&originRegion=eu-west-1&originCreation=20220217043031 (accessed on 17 February 2022).
- Catalytic Ozonation of Toluene Using Mn–M Bimetallic HZSM-5 (M_ Fe, Cu, Ru, Ag) Catalysts at Room Temperature. Elsevier Enhanced Reader. Available online: https://reader.elsevier.com/reader/sd/pii/S0304389420305665?token=FB6B5FE8CD283B334B8F849012C9F79A68DA27C0DC05C8538F8E6AA73A2B93932311000B57F9496A9C81355F6DA12429&originRegion=eu-west-1&originCreation=20220217043205 (accessed on 17 February 2022).
- Wang, J.; Shi, X.; Chen, L.; Li, H.; Mao, M.; Zhang, G.; Yi, H.; Fu, M.; Ye, D.; Wu, J. Enhanced Performance of Low Pt Loading Amount on Pt-CeO2 Catalysts Prepared by Adsorption Method for Catalytic Ozonation of Toluene. Appl. Catal. Gen. 2021, 625, 118342. [Google Scholar] [CrossRef]








| Catalysts | Surface Area (m2/g) | Total Pore Volume (cc/g) | Average Pore Diameter (nm) | Olatt/Osurf |
|---|---|---|---|---|
| γ-Al2O3 | 293 | 0.83 | 11.36 | 0.85 |
| MnOx/γ-Al2O3 | 256 | 0.7 | 10.94 | 0 |
| CoOX/γ-Al2O3 | 253 | 0.72 | 11.34 | 0 |
| Ag/γ-Al2O3 | 272 | 0.78 | 11.44 | 0 |
| Ag–MnOx/γ-Al2O3 | 265 | 0.77 | 11.62 | 0.80 |
| Ag–CoOX/γ-Al2O3 | 267 | 0.76 | 11.35 | 1.1 |
| Catalysts | Acidic Sites (mmol/g) | Basic Sites (mmol/g) | Sa/Sb | ||||||
|---|---|---|---|---|---|---|---|---|---|
| Weak | Medium | Strong | Total (Sa) | Weak | Medium | Strong | Total (Sb) | ||
| γ-Al2O3 | 0.209 | 0.077 | 0.064 | 0.35 | 0.183 | 0.346 | 0.182 | 0.711 | 0.492 |
| MnOx/γ-Al2O3 | 0.122 | 0.098 | 0.072 | 0.292 | 0.128 | 0.256 | 0.32 | 0.704 | 0.414 |
| CoOX/γ-Al2O3 | 0.176 | 0.142 | 0.087 | 0.405 | 0.125 | 0.186 | 0.141 | 0.452 | 0.896 |
| Ag/γ-Al2O3 | 0.045 | 0.105 | 0.08 | 0.23 | 0.083 | 0.24 | 0.121 | 0.444 | 0.518 |
| Ag–MnOx/γ-Al2O3 | 0.127 | 0.115 | 0.087 | 0.329 | 0.122 | 0.174 | 0.163 | 0.459 | 0.716 |
| Ag–CoOX/γ-Al2O3 | 0.156 | 0.179 | 0.102 | 0.437 | 0.109 | 0.279 | 0.087 | 0.475 | 0.920 |
| Catalyst | Carrier Gas Flow Rate | Toluene Concentration | Ozone Concentration | Reaction Temperature (%) | Toluene Removal Efficiency (%) | COx Selectivity (%) | Reference |
|---|---|---|---|---|---|---|---|
| Zeolite and MCM-41 | 0.12–0.39 m3/h | 0.3–4.5 ppmv | 0–80 ppmv | 25 °C | 96% | CO2 95% | [41] |
| MnO2-graphene | 0.15 L/min | 200 ppm | 400 ppm | 22 °C | 33.6% | [42] | |
| Pt or Pd-MnOx/γ-Al2O3 | 400 mL/min | 120 ppm | 1050 ppm | 22–100 °C | 100% (Pd) 85% (Pt) | 90% | [1] |
| MnOx/γ-Al2O3 or SiO2 or TiO2 | 200 mL/min | 100 ppm | 1000 ppm | 120 °C | >91% | >88% | [43] |
| Mn-M/HZSM-5 (M: Fe, Cu, Ru, Ag) | 1 L/min | 100 ppm | 1000 ppm | 25 °C | 36% (RuMnZ) | ~95% | [44] |
| Meso Mn/Al2O3 | 1 L/min | 50 ppm | 1000 ppm | 25 °C | 100% | ~80% | [26] |
| Pt-CeO2/BEA | 100 mL/min | 35 ppm | 350 ppm | 25 °C | 100% | 70–100% | [45] |
| MnOx on γ-Al2O3 or MCM-41 | 400 mL/min | 120 ppm | 1050 ppm | 22–100 °C | 97% (80 °C) | 93% | [10] |
| Ag–MOx/γ-Al2O3 (M = Mn/Co) | 1000 L/h | 200 ppm | 500 ppm | 75 °C | 100% | Present work |
Publisher’s Note: MDPI stays neutral with regard to jurisdictional claims in published maps and institutional affiliations. |
© 2022 by the authors. Licensee MDPI, Basel, Switzerland. This article is an open access article distributed under the terms and conditions of the Creative Commons Attribution (CC BY) license (https://creativecommons.org/licenses/by/4.0/).
Share and Cite
Bhargavi, K.; Ray, D.; Chawdhury, P.; Malladi, S.; Shashidhar, T.; Subrahmanyam, C. Oxidation of Toluene by Ozone over Surface-Modified γ-Al2O3: Effect of Ag Addition. Catalysts 2022, 12, 421. https://doi.org/10.3390/catal12040421
Bhargavi K, Ray D, Chawdhury P, Malladi S, Shashidhar T, Subrahmanyam C. Oxidation of Toluene by Ozone over Surface-Modified γ-Al2O3: Effect of Ag Addition. Catalysts. 2022; 12(4):421. https://doi.org/10.3390/catal12040421
Chicago/Turabian StyleBhargavi, Kandukuri, Debjyoti Ray, Piu Chawdhury, Sairam Malladi, Thatikonda Shashidhar, and Challapalli Subrahmanyam. 2022. "Oxidation of Toluene by Ozone over Surface-Modified γ-Al2O3: Effect of Ag Addition" Catalysts 12, no. 4: 421. https://doi.org/10.3390/catal12040421
APA StyleBhargavi, K., Ray, D., Chawdhury, P., Malladi, S., Shashidhar, T., & Subrahmanyam, C. (2022). Oxidation of Toluene by Ozone over Surface-Modified γ-Al2O3: Effect of Ag Addition. Catalysts, 12(4), 421. https://doi.org/10.3390/catal12040421

