Evaluation of the Activation Procedure on Oxone Efficiency for Synthetic Olive Mill Wastewater Treatment
Abstract
1. Introduction
2. Results and Discussion
2.1. Activation Techniques for Sulfate Radical Based Advanced Oxidation Process
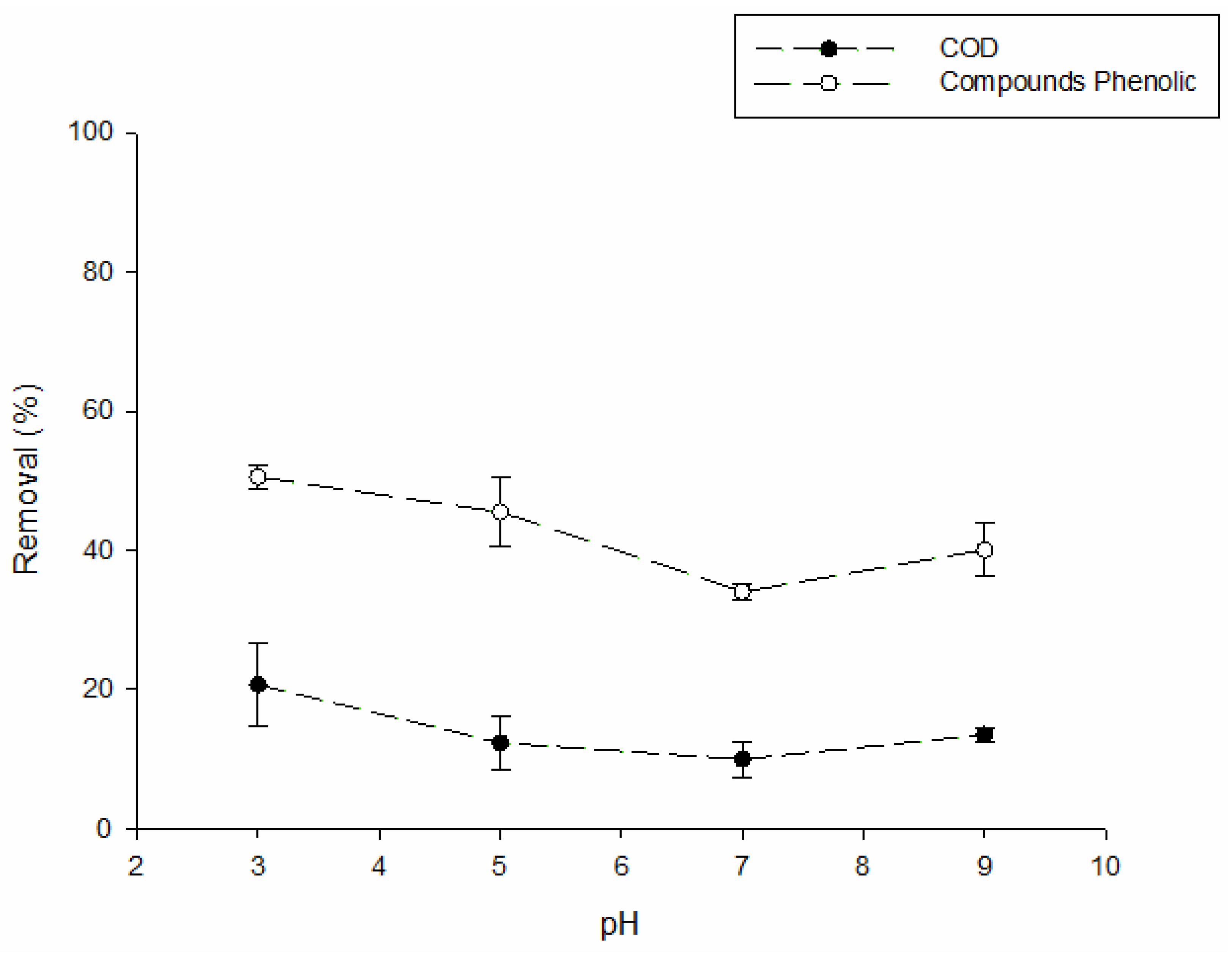
2.1.1. PMS Activated by Fe(II)
2.1.2. PMS Light Activation
2.1.3. Ultrasound Activation
2.2. Global Comparison of the Different PMS Activation Strategies
2.3. Toxicity Assessment
3. Materials and Methods
3.1. Synthetic Olive Mill Wastewater (OMW)
3.2. Sulfate Radical Based Advanced Oxidation Process Experiments
3.2.1. Activation Using Fe(II)
3.2.2. Light Activation
3.2.3. Ultrasounds (US)
3.3. Analytical Techniques
3.4. Toxicity Assessment
4. Conclusions
Author Contributions
Funding
Conflicts of Interest
References
- International Olive Council (IOC). Available online: www.internationaloliveoil.org/what-we-do/economic-affairs-promotion-unit/ (accessed on 13 November 2021).
- Espadas-Aldana, G.; Vialle, C.; Belaud, J.P.; Vaca-Garcia, C.; Sablayrolles, C. Analysis and trends for Life Cycle Assessment of olive oil production. Sustain. Prod. Consum. 2019, 19, 216–230. [Google Scholar] [CrossRef]
- Paraskeva, P.; Diamadopoulos, E. Technologies for olive mill wastewater (OMW) treatment: A review. J. Chem. Technol. Biotechnol. Int. Res. Process Environ. Clean Technol. 2006, 81, 1475–1485. [Google Scholar] [CrossRef]
- Kilic, M.Y.; Abdelraheem, W.H.; He, X.; Kestioglu, K.; Dionysiou, D.D. Photochemical treatment of tyrosol, a model phenolic compound present in olive mill wastewater, by hydroxyl and sulfate radical-based advanced oxidation processes (AOPs). J. Hazard. Mater. 2019, 367, 734–742. [Google Scholar] [CrossRef]
- Görmez, F.; Görmez, Ö.; Yabalak, E.; Gözmen, B. Application of the central composite design to mineralization of olive mill wastewater by the electro/Fe II/persulfate oxidation method. SN Appl. Sci. 2020, 2, 178. [Google Scholar] [CrossRef]
- Domingues, E.; Fernandes, E.; Gomes, J.; Castro-Silva, S.; Martins, R.C. Olive oil extraction industry wastewater treatment by coagulation and Fenton’s process. J. Water Process Eng. 2021, 39, 101818. [Google Scholar] [CrossRef]
- Manos, D.; Miserli, K.; Konstantinou, I. Perovskite and Spinel Catalysts for Sulfate Radical-Based Advanced Oxidation of Organic Pollutants in Water and Wastewater Systems. Catalysts 2020, 10, 1299. [Google Scholar] [CrossRef]
- Domingues, E.; Silva, M.J.; Vaz, T.; Gomes, J.; Martins, R.C. Persulfate Process Activated by Homogeneous and Heterogeneous Catalysts for Synthetic Olive Mill Wastewater Treatment. Water 2021, 13, 3010. [Google Scholar] [CrossRef]
- Xiao, S.; Cheng, M.; Zhong, H.; Liu, Z.; Liu, Y.; Yang, X.; Liang, Q. Iron-mediated activation of persulfate and peroxymonosulfate in both homogeneous and heterogeneous ways: A review. Chem. Eng. J. 2020, 384, 123265. [Google Scholar] [CrossRef]
- Rodríguez-Chueca, J.; Amor, C.; Mota, J.; Lucas, M.S.; Peres, J.A. Oxidation of winery wastewater by sulphate radicals: Catalytic and solar photocatalytic activations. Environ. Sci. Pollut. Res. 2017, 24, 22414–22426. [Google Scholar] [CrossRef]
- Su, S.; Guo, W.; Leng, Y.; Yi, C.; Ma, Z. Heterogeneous activation of Oxone by CoxFe3− xO4 nanocatalysts for degradation of rhodamine B. J. Hazard. Mater. 2013, 244, 736–742. [Google Scholar] [CrossRef]
- Iqbal, J.; Shah, N.S.; Sayed, M.; Khan, J.A.; Muhammad, N.; Khan, Z.U.H.; Naseem, M.; Howari, F.M.; Nazzal, Y.; Niazi, N.K.; et al. Synthesis of nitrogen-doped Ceria nanoparticles in deep eutectic solvent for the degradation of sulfamethaxazole under solar irradiation and additional antibacterial activities. Chem. Eng. J. 2020, 394, 124869. [Google Scholar] [CrossRef]
- Ghanbari, F.; Moradi, M. Application of peroxymonosulfate and its activation methods for degradation of environmental organic pollutants: Review. Chem. Eng. J. 2017, 310, 41–62. [Google Scholar] [CrossRef]
- Esteves, B.M.; Rodrigues, C.S.; Madeira, L.M. Synthetic olive mill wastewater treatment by Fenton’s process in batch and continuous reactors operation. Environ. Sci. Pollut. Res. 2018, 25, 34826–34838. [Google Scholar] [CrossRef] [PubMed]
- Martins, R.C.; Ramos, C.M.; Henriques, L.R.; Quinta-Ferreira, R.M. Olive mill effluent depuration by ozonation and Fenton processes enhanced by iron wastes. Water Sci. Technol. 2016, 73, 1136–1144. [Google Scholar] [CrossRef] [PubMed][Green Version]
- Rodríguez-Chueca, J.; Amor, C.; Silva, T.; Dionysiou, D.D.; Puma, G.L.; Lucas, M.S.; Peres, J.A. Treatment of winery wastewater by sulfate radicals: HSO5−/transition metal/UV-A LEDs. Chem. Eng. J. 2017, 310, 473–483. [Google Scholar] [CrossRef]
- Qi, F.; Chu, W.; Xu, B. Catalytic degradation of caffeine in aqueous solutions by cobalt-MCM41 activation of peroxymonosulfate. Appl. Catal. B Environ. 2013, 134, 324–332. [Google Scholar] [CrossRef]
- Amor, C.; Fernandes, J.R.; Lucas, M.S.; Peres, J.A. Hydroxyl and sulfate radical advanced oxidation processes: Application to an agro-industrial wastewater. Environ. Technol. Innov. 2021, 21, 101183. [Google Scholar] [CrossRef]
- Fan, Z.; Zhang, Q.; Li, M.; Sang, W.; Qiu, Y.; Xie, C. Activation of persulfate by manganese oxide–modified sludge–derived biochar to degrade Orange G in aqueous solution. Environ. Pollut. Bioavailab. 2019, 31, 70–79. [Google Scholar] [CrossRef]
- Sayed, M.; Khan, J.A.; Shah, L.A.; Shah, N.S.; Shah, F.; Khan, H.M.; Zhang, P.; Arandiyan, H. Solar light responsive poly (vinyl alcohol)-assisted hydrothermal synthesis of immobilized TiO2/Ti film with the addition of peroxymonosulfate for photocatalytic degradation of ciprofloxacin in aqueous media: A mechanistic approach. J. Phys. Chem. C 2018, 122, 406–421. [Google Scholar] [CrossRef]
- Kaur, B.; Kuntus, L.; Tikker, P.; Kattel, E.; Trapido, M.; Dulova, N. Photo-induced oxidation of ceftriaxone by persulfate in the presence of iron oxides. Sci. Total Environ. 2019, 676, 165–175. [Google Scholar] [CrossRef]
- Ryer, A. What is Light? In Light Measurement Handbook, 2nd ed.; International Light Inc.: Peabody, MA, USA, 1998; pp. 5–8. [Google Scholar]
- Guan, Y.H.; Ma, J.; Li, X.C.; Fang, J.Y.; Chen, L.W. Influence of pH on the formation of sulfate and hydroxyl radicals in the UV/peroxymonosulfate system. Environ. Sci. Technol. 2011, 45, 9308–9314. [Google Scholar] [CrossRef] [PubMed]
- Amor, C.; Rodriguez-Chueca, J.; Fernandes, J.L.; Dominguez, J.R.; Lucas, M.S.; Peres, J.A. Winery wastewater treatment by sulphate radical based-advanced oxidation processes (SR-AOP): Thermally vs UV-assisted persulphate activation. Process Saf. Environ. Prot. 2019, 122, 94–101. [Google Scholar] [CrossRef]
- Panahi, A.H.; Meshkinian, A.; Ashrafi, S.D.; Khan, M.; Naghizadeh, A.; Abi, G.; Kamanim, H. Survey of sono-activated persulfate process for treatment of real dairy wastewater. Int. J. Environ. Sci. Technol. 2020, 17, 93–98. [Google Scholar] [CrossRef]
- Su, S.; Guo, W.; Yi, C.; Leng, Y.; Ma, Z. Degradation of amoxicillin in aqueous solution using sulphate radicals under ultrasound irradiation. Ultrason. Sonochem. 2012, 19, 469–474. [Google Scholar] [CrossRef]
- Trautmann, N.M.; Krasny, M.E. Composting in the Classroom—Scientific Inquiry for High School Students; Cornell Waste Management Institute, Cornell Center for the Environment: Ithaca, NY, USA, 2017. [Google Scholar]
- Zhang, Y.; Zheng, G.H.; Liu, P.; Song, J.M.; Di Xu, G.; Cai, M.Z. Morphological and physiological responses of root tip cells to Fe2+ toxicity in rice. Acta Physiol. Plant. 2011, 33, 683–689. [Google Scholar] [CrossRef]
- Santos, A.; Yustos, P.; Quintanilla, A.; Rodríguez, J.J. Evolution of Toxicity upon Wet Catalytic Oxidation of Phenol. J. Environ. Sci. Technol. 2004, 38, 133–138. [Google Scholar] [CrossRef]
- Enguita, F.; Leitão, A.L. Hydroquinone: Environmental Pollution, Toxicity and Microbial Answers. Biomed. Res. Int. 2013, 2013, 542168. [Google Scholar] [CrossRef]
- Domingues, E.; Rodriguez, F.; Gomes, J.; Quina, M.J.; Castro-Silva, S.; Martins, R.C. Screening of low–cost materials as heterogeneous catalysts for olive mill wastewater Fenton’s peroxidation. Energy Rep. 2020, 6, 161–167. [Google Scholar] [CrossRef]
- Baird, R.B.; Eaton, A.D.; Rice, E.W. Standard Methods for the Examination of Water and Wastewater, 23rd ed.; American Public Health Association: Washington, DC, USA, 2017. [Google Scholar]
- Lamuela-Raventós, R.M. Folin–Ciocalteu method for the measurement of total phenolic content and antioxidant capacity. In Measurement of Antioxidant Activity & Capacity: Recent Trends and Applications; Apak, R., Capanoglu, E., Shahidi, F., Eds.; Wiley: Hoboken, NJ, USA, 2017. [Google Scholar]
- Domingues, E.; Assunção, N.; Gomes, J.; Lopes, D.V.; Frade, J.R.; Quina, M.J.; Quinta–Ferreira, R.M.; Martins, R.C. Catalytic Efficiency of Red Mud for the Degradation of Olive Mill Wastewater through Heterogeneous Fenton’s Process. Water 2019, 11, 1183. [Google Scholar] [CrossRef]









| AOPs | OMW Type | Optimal Conditions | Results | Reference |
|---|---|---|---|---|
| Persulfate (PS) | Synthetic OMW: COD = 800 ± 64 mg/L, phenolic compounds = 300 ± 24, TOC = 284 ± 23 mg/L | [Fe2+] = 300 mg/L, [PS] = 600 mg/L and pH = 5 during 30 min | 39%, 63% and 37% COD, phenolic compounds and TOC removal respectively | [8] |
| Fenton | Real olive oil mill wastewater (OOMW): COD = 50.4 g/L | [Fe2+] = 2 g/L, [H2O2] = 4 g/L, and pH = 3 during 60 min | 45% COD removal | [6] |
| Fenton | Synthetic OMW: TOC = 321.4 mg/L, total phenol = 361.9 mg/L | [Fe2+] = 100 mg/L [H2O2] = 2 g/L, and pH = 5 during 300 min | >56%, >99% TOC and total phenol removal, respectively | [14] |
| Ozonation | Synthetic OMW: COD = 1211 ± 18 mg/L, total phenolic = 457 ± 36 mg/L | [iron shavings] = 1 g/L, 20 g O3/Nm3, pH = 3 during 120 min | 61 %, 98 % COD and total phenolic respectively | [15] |
| Parameter | Phenolic Compounds (mg/L) | COD (mg O2/L) | pH |
|---|---|---|---|
| Value | 248–309 | 869–1063 | 3.09 ± 0.10 |
| COD Removal (%) | Phenolic Compounds Removal (%) | |
|---|---|---|
| PMS/LED | 11 ± 2 | 38 ± 3 |
| PMS/LED/ Fe(II) | 56 ± 3 | 98 |
| PMS/Fe(II) | 60 ± 2 | 89 ± 7 |
| Conditions | COD Removal (%) | Phenolic Compounds Removal (%) | Cost of Process €/kg/LCOD Removed | |
|---|---|---|---|---|
| PMS/Fe(II) | [Fe2+] = 700 mg/L [PMS] = 1600 mg/L pH = 5 t = 30 min CODremoved = 638 mg O2/L | 60 ± 2 | 89 ± 7 | 0.30 |
| PMS/LED | [PMS] = 1600 mg/L pH = 5 t = 30 min P = 10 W CODremoved = 117 mg O2/L | 11 ± 2 | 38 ± 3 | 6.00 |
| PMS/UV-A | [PMS] = 1600 mg/L pH = 7 t = 15 min P= 30 W CODremoved= 266 mg O2/L | 25 ± 1 | 43 ± 4 | 3.90 |
| PMS/US | [PMS] = 1600 mg/L pH = 3 t = 15 min P = 500 W CODremoved= 223 mg O2/L | 21 ± 6 | 51 ± 2 | 78.5 |
| Condition | Synthetic Effluent | PMS/Fe(II) | PMS/LED | PMS/LED/Fe(II) | PMS/US | PMS/UV-A | PMS/UV-A/Fe(II) |
|---|---|---|---|---|---|---|---|
| GI (%) | 27.8 ± 7.9 | 55.3 ± 21.2 * | 55.5 ± 7.9 | 51.2 ± 2.2 | 63.9 ± 3.9 | 66.7 ± 15.7 | 61.1 ± 7.9 |
| GI (%) | 27.8 ± 7.9 | 30.6 ± 11.8 ** | - | - | - | - | - |
Publisher’s Note: MDPI stays neutral with regard to jurisdictional claims in published maps and institutional affiliations. |
© 2022 by the authors. Licensee MDPI, Basel, Switzerland. This article is an open access article distributed under the terms and conditions of the Creative Commons Attribution (CC BY) license (https://creativecommons.org/licenses/by/4.0/).
Share and Cite
Vaz, T.; Domingues, E.; Gomes, J.; Martins, R.C. Evaluation of the Activation Procedure on Oxone Efficiency for Synthetic Olive Mill Wastewater Treatment. Catalysts 2022, 12, 291. https://doi.org/10.3390/catal12030291
Vaz T, Domingues E, Gomes J, Martins RC. Evaluation of the Activation Procedure on Oxone Efficiency for Synthetic Olive Mill Wastewater Treatment. Catalysts. 2022; 12(3):291. https://doi.org/10.3390/catal12030291
Chicago/Turabian StyleVaz, Telma, Eva Domingues, João Gomes, and Rui C. Martins. 2022. "Evaluation of the Activation Procedure on Oxone Efficiency for Synthetic Olive Mill Wastewater Treatment" Catalysts 12, no. 3: 291. https://doi.org/10.3390/catal12030291
APA StyleVaz, T., Domingues, E., Gomes, J., & Martins, R. C. (2022). Evaluation of the Activation Procedure on Oxone Efficiency for Synthetic Olive Mill Wastewater Treatment. Catalysts, 12(3), 291. https://doi.org/10.3390/catal12030291

