Abstract
Visible light-sensitive TiO2-based nanomaterials are widely investigated for photocatalytic applications under high power (≥300 W) UV and visible light. The formation of charge transfer complexes (CTCs) between bidentate ligands and nanocrystalline TiO2 promotes visible light absorption and constitutes a promising alternative for environmental remediation under reduced visible light power. However, the efficiency of photodegradation, the volatilization profile of bidentates, and the role of reactive oxidizing species (ROS) are not fully understood. In this study, thermogravimetric analyses coupled with mass spectroscopy (TGA-MS) were performed on TiO2-Acetylacetone (ACAC) CTC. TiO2-ACAC CTC calcined at 300 °C (TiO2-A300) was applied for the photocatalytic degradation of chlorophenol (4-CP) and tetracycline (TC) under low power visible light (26 W). Furthermore, the ROS scavengers isopropanol and benzoquinone were added for studying the photocatalytic role of •OH and •O2− radicals. The TGA-MS showed the release of ACAC fragments, such as ethyl ions and acetone, in the range between 150 °C and 265 °C, while between 300 °C and 450 °C only CO2 and H2O were released during oxidation of ACAC. The photocatalytic abatement of tetracycline (68.6%), performed by TiO2-A300, was ~two times higher than that observed for chlorophenol (31.3%) after 6 h, indicating a distinct participation of ROS in the degradation of these pollutants. The addition of the ROS scavenger revealed •O2− radicals as primarily responsible for the high efficiency of TiO2-ACAC CTC under reduced visible light. On the other hand, the •OH radicals are not efficiently generated in the CTC. Therefore, the development of heterostructures based on TiO2-ACAC CTC can increase the generation of ROS through coupling with semiconductors capable of generating •OH under visible light.
1. Introduction
The intensive use of drugs for the treatment of human health and industrial wastewater disposal are potential sources of contamination of aqueous effluents [1,2,3,4]. Currently, water treatment plants are not designed for the remediation of pharmaceutical and personal care products (PPCPs) [1,2]. An example of PPCPs is the antibiotic tetracycline, used to prevent bacterial infections, found in sewage from the pharmaceutical industry, hospitals, and livestock [5,6]. The remediation of organic compounds, such as chlorophenol, is a priority due to its high toxicity, low biodegradability, and carcinogenic and endocrine disruptive properties [4,7].
In this context, photocatalysis (an advanced oxidative process) is an alternative and sustainable technology for the remediation of these pollutants. The development of new photocatalysts mainly seeks to increase the capacity of the absorption of sunlight, i.e., to expand absorption from the ultra-violet (UV) region to the visible spectrum, since the visible region comprises ~45% of the solar spectrum [6,8,9,10,11,12]. In addition, the maximization of the photogeneration of reactive oxygen species (ROS), such as •O2− and •OH, plays a key role in photocatalytic activity [13,14]. This maximization occurs through the increase in the formation of e−/h+ pairs and, consequently, their interaction with the O2 and H2O molecules to generate •O2− and •OH, respectively.
Thus, the visible light sensitization mechanism denominated as the ligand-to-metal charge transfer (LMCT) has gained recognition in the development of TiO2-based nanomaterials [15], although the effect of point defects should also be considered [16,17,18]. The LMCT mechanism promotes, in theory, the efficient photogeneration of superoxide radicals under visible light [16] and consists of the direct injection of e− from the highest occupied molecular orbital (HOMO) of a chelating ligand into the conduction band (CB) of a semiconductor, such as TiO2 [19]. The LMCT mechanism occurs via bonds formed between the chelating ligands (small organic molecules) and the TiO2 surface [15,16,19].
The LMCT complex based on TiO2 and acetic acid (monodentate ligand) showed photodegradation of phenol higher than 90% after 1.5 h exposure to a blue light-emitting diode (LED) lamp (20 W) [20]. In addition, another LMCT complex, made of TiO2 and salicylic acid (bidentate ligand), revealed the potential for the selective aerobic oxidation of amines to imines under blue LED irradiation (3 W), having a selective yield of 92% of the desired product, N-benzylidenebenzylamine [21]. Other LMCT complexes of TiO2 and bidentate ligands, such as glucose [22] and alizarin [23], showed ~100% photocatalytic reduction of Cr (VI) during 1 h under visible light irradiation (Xenon lamp 300 W). Furthermore, the nanocrystalline charge transfer complex (CTC) between TiO2 and acetylacetone (bidentate) calcinated at 300 °C in air revealed ~100% NOx gas photodegradation for 2 h under visible light irradiation (24 W) [16]. Another study on the amorphous TiO2-Acetylacetone complex revealed ~90% degradation of 2,4-dichlorophenol after 24 h in the absence of irradiation in the presence of high catalyst concentration (1 g·L−1) [24]. However, as the authors are aware, a CTC such as TiO2-bidentate has not been investigated thus far for photocatalytic applications in drug degradation.
Moreover, the understanding of the role of reactive radicals on the photocatalytic activity of these complexes is not fully understood. Experimental analyses performed by electron paramagnetic resonance (EPR) [16,25] and theoretical studies based on density functional theory (DFT) reported for the TiO2-Acetylacetone [25] and TiO2-Thiosalicylic acid [26] complexes demonstrate the capacity of the LMCT mechanism to produce superoxide (•O2−). On the other hand, Fourier transform infrared (FTIR) analysis reveals the presence of adsorbed hydroxyls on the surface of these LMCT complexes [16,20,21,22,25] that may participate in the formation of •OH if electronic holes exist in the valence band (VB) of TiO2. However, to the best of our knowledge, the individual potential of ROS in the LMCT systems has not been evaluated for photocatalytic applications. The ROS scavengers have been, however, already employed to other photocatalysts in photocatalytic measurements in the liquid medium to assess the individual potential of each ROS [4,6,27,28,29,30].
The measurements of photocatalytic degradation of chlorophenol and tetracycline by CTC, combined with the use of •O2− and •OH scavengers, would clarify the actual potential of each ROS in the photocatalytic abatement.
Photocatalytic degradation in a liquid medium under visible light irradiation is mostly carried out with a light power superior to 300 W [30,31,32,33]. The high energy consumption of the lamps follows the opposite path to the sustainable nature of photocatalysis. Therefore, a lamp with reduced power such as residential lamps of 26 W will be applied in this research for the degradation of aqueous pollutants.
This study has as the main goals (1) the evaluation of the potential of TiO2-Acetylacetone CTC calcinated at 300 °C in air for the photodegradation of chlorophenol and tetracycline under reduced power visible light (26 W) and (2) an understanding of ROS (•O2− and •OH) roles in photocatalysis performed by TiO2-Acetylacetone using scavengers, such as benzoquinone and isopropanol. Furthermore, the volatilization profile of TiO2-ACAC CTC was studied up to 550 °C by thermogravimetric analysis coupled with mass spectroscopy (TGA-MS) to confirm the presence of acetylacetone at temperatures above 150 °C.
2. Results
2.1. Evaluation of TiO2-ACAC CTC Volatilization Profile by TGA-MS
TiO2-A-RT, TiO2-ACAC, and TiO2-A300 were analyzed by TGA-MS to confirm the presence of ACAC above 150 °C through the release of ACAC fragments or the release of the entire ACAC molecule on heating.
The TGA curve of the TiO2-A-RT sample (Figure 1a) revealed an expressive mass loss of 29.5 wt.% at temperatures below 150 °C due to dehydration of the material. Furthermore, the mass loss between 150 °C and 450 °C is associated with the release of acetylacetone, as documented by TGA-MS results (Figure 1b). The mass loss of organic species between 150 °C and 450 °C was ~15 wt.% and approximately equal to the mass loss of the TiO2-ACAC xerogel for the same temperature region [16]. The TGA curves of TiO2-ACAC and TiO2-A300 and their first derivatives (DTG) (Figure S1, see Supplementary Materials) were in accordance with the results previously reported by Almeida et al. [16].
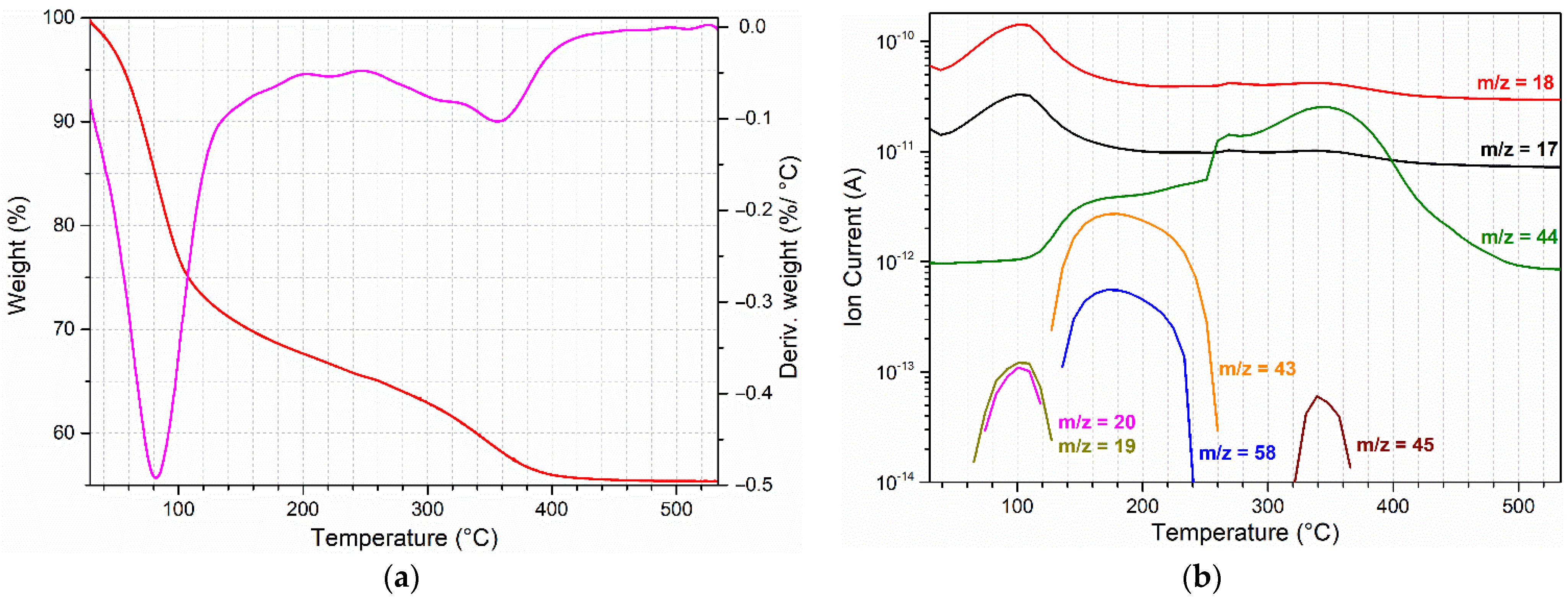
Figure 1.
(a) TGA and DTG curves of TiO2-A-RT sample; (b) Evolution profiles of gaseous species as monitored by TGA-MS for TiO2-A-RT sample.
Figure 1b illustrates the evolution profiles of released gases as a function of temperature for the TiO2-A-RT sample. In the first temperature stage of volatilization between 30 °C and 150 °C, species with m/z of 17, 18, 19, and 20, corresponding to water were detected [34]. In the second temperature stage between 150 °C and ~265 °C, the m/z of 43, 44, and 58 were identified, owing to the release of acetyl ions (CH3C≡O+), CO2, and acetone, respectively [35]. Bowie et al. [35] showed that m/z of 43 and 58 are associated with the fragmentation of the ACAC molecule, where the most intense peak of the ACAC volatilization in the mass spectrum is m/z 43, belonging to acetyl ions. Acetone and CO2 release in this temperature range are in accordance with Acik et al. [36] who observed the release of both species from the amorphous TiO2-ACAC xerogel. In the third temperature region of mass loss between 300 °C and 450 °C, an increase of CO2 release was identified (m/z = 44 and 45) together with water release, which is in accordance with the observation of Acik et al. [36] and Madarász et al. [37] for amorphous TiO2-ACAC xerogel and crystalline titanium oxobis(acetylacetonate), respectively.
The profiles of gaseous species released from nanocrystalline TiO2-ACAC and TiO2-A300 samples are shown in Figure 2. The volatilization stages of TiO2-ACAC (Figure 2a) follow a similar path as TiO2-A-RT (Figure 1). TiO2-ACAC water release occurs in the temperature range between 30 °C and 150 °C, followed by a two-stage release of molecules due to ACAC oxidation above 150 °C. In the interval from 150 °C to ~265 °C, only acetyl ions (m/z = 43) and CO2 (m/z = 44) were released. In addition, in the third temperature stage (300–450 °C), CO2 (m/z = 44 and 45) and water release were reported. The absence of acetone release in the TiO2-ACAC xerogel probably occurred due to overnight drying at 100 °C, reducing the excess ACAC content in the sample.
Figure 2.
Evolution profiles of gaseous species as monitored by TGA-MS for (a) TiO2-ACAC and (b) TiO2-A300 samples.
On the other hand, the TGA-MS data of the TiO2-A300 sample (Figure 2b) revealed only two distinct temperature stages of gases volatilization. The first stage between 30 °C and 150 °C was related to a release of water (m/z = 17, 18 e 19, and 20), while the second stage between 300 °C and 450 °C was due to CO2 and water release. The volatilization step of the ACAC oxidation products above 300 °C, for all studied TiO2-ACAC CTC samples, indirectly contributes to proving that the ACAC is responsible for the sensitization of TiO2 in visible light in the samples calcined at 300 °C, as previously reported [16].
2.2. Chlorophenol Photodegradation and ROS Efficiency under Reduced Power Visible Light
Figure 3 shows the photocatalytic degradation of chlorophenol using TiO2-A300 CTC during the period of 6 h. Photolysis did not promote pollutant degradation (green curve).
Figure 3.
Chlorophenol photodegradation by TiO2-A300 photocatalyst with and without the addition of scavengers. The green curve stands for photolysis.
The TiO2-A300 CTC revealed photocatalytic abatement of 31.3% ± 3.1% for 4-CP after 6 h (Figure 3). Li et al. [32] quantified visible light abatement of 4-CP as 29.9% after 2 h using graphene grafted titania/titanate nanosheets under UV-Vis light of 500 W for the same concentrations of pollutants and photocatalyst used in our study. Furthermore, 4-CP degradation using TiO2-A300 was nearly half of the degradation reported by Li et al. [32] after 2 h, however, with a light source with 20 times lower power.
The addition of the •OH radical scavenger (IPA) did not significantly impact the degradation efficiency of TiO2-A300 (Figure 3). The observed photodegradation of 4-CP was 32.8% ± 3.1% after 6 h and was within the error of the degradation measured for TiO2-A300 without the addition of the IPA scavenger. On the other hand, Moraes et al. [4] revealed that with the addition of the IPA, the degradation of 4-CP (10 mg·L−1) using nanometric anatase (0.2 g·L−1) was about two times lower in comparison to the degradation without the addition of the IPA, however, under UV light and after 3 h. Therefore, these data indicate that hydroxyl radicals played an important role in the degradation of 4-CP for TiO2 under UV light, since it promoted the formation of e−/h+ pairs and, consequently, •OH radials. The results reported by Moraes et al. [4] are in accordance with studies that show that •OH radicals have a dominant role in photodegradation of 4-CP [32,38]. However, for TiO2-A300 CTC under visible light, it was not possible to detect the role of •OH radicals in the photodegradation of 4-CP. Therefore, our results strongly indicate that TiO2-A300 CTC does not efficiently generate •OH radicals under visible light.
On the other hand, the addition of the •O2− scavenger (BQ) caused a strong reduction of the photodegradation potential of TiO2-A300 (Figure 3). The 4-CP abatement after the addition of BQ was only 10.9% ± 2.1% after 6 h interval. Therefore, the •O2− plays an important role in the photocatalytic activity of TiO2-A300 during the degradation of 4-CP. According to Su et al. [39] and Fónagy et al. [40], benzoquinone is predominantly reduced by •O2− radicals and e− and, consequently, degraded. Therefore, •O2− generated by TiO2-A300 CTC preferentially degrades BQ molecules instead of degrading 4-CP, as illustrated in Figure 4. The expressive 76.7% ± 2.1% BQ degradation and low 4-CP degradation after 6 h demonstrate the efficient generation of •O2− radicals under visible light from TiO2-A300.
Figure 4.
The absorbance of the BQ band situated at 246 nm and the 4-CP band at 224 nm, over time.
2.3. Tetracycline Photodegradation and ROS Efficiency under Reduced Power Visible Light
Figure 5 shows the photocatalytic degradation of tetracycline using TiO2-A300. The photolysis (green curve) did not show pollutant degradation during the test time.
Figure 5.
Tetracycline photodegradation by TiO2-A300 with and without the addition of scavengers. The green curve stands for photolysis.
The TiO2-A300 CTC showed a high photocatalytic degradation of 68.6% ± 3.4% of TC after 6 h (Figure 5). In addition, the maximum photodegradation of TC up to the abatement stabilization was 83% after 11 h (Figure S2). This maximum abatement of TC from TiO2-A300 was similar to the 86.7% degradation reported by Wang et al. [6] for the WO3-TiO2 core-shell heterostructure decorated by Pt nanoparticles (0.08 g·L−1) under UV-Vis light at 300 W after 2 h. However, the performance of TiO2-A300 was achieved with 11.5 times lower light power with the use of visible instead of UV light and without the use of precious metals.
The use of isopropanol as the •OH scavenger revealed an abatement of 74.6% ± 8.7% after 6 h, within the error bars of the degradation without the addition of the IPA scavenger. In contrast, TC degradation under UV-Vis light by heterostructures, such as ZnO/GO/Ag3PO4 [41], Ag3PO4/AgBr/g-C3N4 [42], and Bi2W2O9/g-C3N4 [43] revealed a decrease in TC abatement due to the addition of IPA. These results reported for the heterostructures indicate that •OH radicals contribute to the degradation of TC when generated [5]. Therefore, the result obtained for TiO2-A300 suggests that TiO2-A300 is not capable of producing •OH under visible light.
The TC photodegradation with the addition of BQ was significantly reduced to 21.8% ± 7.6% using TiO2-A300 after 6 h (Figure 5). The reduction observed in our study agrees with the literature, where different ceramic heterojunctions showed low TC degradation efficiency with the addition of BQ under high power UV or UV-Vis light sources (>300 W) [6,42,44]. He et al. [5] reported that •O2− and H2O2 radicals are capable of attacking the benzene ring of tetracycline, oxidizing the N-dimethyl group and the -C(O)NH2 group, suggesting that •O2− plays an important role in the photodegradation pathway of TC. Therefore, the TC degradation behavior observed in Figure 5 is mainly due to the efficient generation of •O2− radicals by TiO2-A300 CTC.
3. Discussion
The TGA-MS results of TiO2-A-RT, TiO2-ACAC, and TiO2-A300 samples evidenced the fragments of ACAC oxidation release, such as acetyl ions, acetone, CO2, and water between 150 °C and ~265 °C, while only CO2 and water release were detected at higher temperatures between 300 °C and 450 °C (Figure 1b and Figure 2). Two distinct steps of ACAC fragments release for TiO2-A-RT and TiO2-ACAC, between 150 °C and 450 °C, are in accordance with the TGA-MS and FTIR-MS analysis reported by Acik et al. [36] for amorphous TiO2-ACAC xerogel. The volatilization profile of ACAC from TiO2-A300 (Figure 2b) converges well with the mass loss reported by Almeida et al. [16] for the same material since CO2 and water were released as ACAC oxidation products above 300 °C. Therefore, it is worth noting for the understanding of the CTC mechanism that nanocrystalline TiO2-ACAC samples preserved a part of ACAC when calcined at temperatures higher than 150 °C, such as 300 °C, as applied for TiO2-A300.
The results on the photocatalytic activity of TiO2-A300 support the hypothesis that a TiO2-ACAC CTC would be able to degrade aqueous pollutants under reduced power visible light. The TiO2-A300 showed photocatalytic potential for degradation of both aqueous pollutants 4-CP and TC. In addition, TiO2-A300 did not show adsorption of pollutants in the dark 1 h before turning on visible light (Figure S3). Therefore, the abatement of all the pollutants was the result of the photocatalytic activity of TiO2-ACAC CTC.
In our previous study [16], TiO2-A300 revealed a high efficiency (~100%) for photodegradation of NOx gas (100 ppm) during 2 h under reduced power visible light (24 W). Therefore, the results presented in the current research additionally increase the photocatalytic applicability of TiO2-ACAC CTC.
Zhu et al. [41] reported 96.3% degradation of TC (30 mg·L−1) after 75 min, with ~50% of the reported degradation values associated with the adsorption phenomenon in the dark. The authors used for this purpose ZnO/GO/Ag3PO4 photocatalyst (1 g·L−1) under low power visible light (65 W). Therefore, photodegradation of TC reported in our study after 6 h (68.6%) was higher than documented by Zhu et al. (46.3%) [41] with 2.5 lower visible light power and using four times less photocatalyst. Additionally, the capacity of degradation of TC is ~two times higher than that observed for 4-CP using TiO2-A300, after 6 h, indicating a distinct participation of ROS in the degradation of these two pollutants.
ROS Generation Efficiency in TiO2-A300 CTC
One of the main goals of our study was understanding the roles of ROS (•O2− and •OH) in photocatalysis performed by TiO2-A300 CTC, using BQ and IPA scavengers. The photodegradation of 4-CP and TC under visible light with the addition of •O2− scavenger confirms the efficient generation of •O2− radicals by TiO2-ACAC CTC (Figure 3 and Figure 5), in accordance with the EPR characterization and DFT studies carried out on LMCT complexes [16,25,26]. On the other hand, the •OH radicals were not efficiently generated by TiO2-A300 CTC under visible light, resulting in the lower photodegradation of 4-CP than the photodegradation of TC, since •OH radicals are the dominant ROS in the 4-CP photodegradation [4,7,32], while •O2− radicals play a key role in TC degradation [5].
Figure 6 represents an update of the photocatalytic reactions conducted by TiO2-A300 CTC for the ROS generation and consequent degradation of 4-CP and TC. Additionally, the photocatalytic reactions for hydrogen production are also presented in Figure 6.
Figure 6.
Scheme of electronic bands in TiO2-A300 CTC and photocatalytic reactions for ROS generation. The position of BV and BC of anatase at redox potential scale, in accordance with normal hydrogen electrode (NHE), was adopted from literature [8,9], as well as the positions of the ROS species. The position of HOMO of acetylacetone was previously established in [16]. The position of LUMO of acetylacetone was arbitrarily added, since it does not have a role in photocatalytic and water splitting events and is higher than 3.2 eV.
Figure 6 shows the electron transfer from ACAC HOMO to TiO2 (anatase) CB and, consequently, the formation of •O2− radicals due to the reaction between O2 adsorbed on the surface of anatase and free e− from CB (Equation (1)).
O2 + e− → •O2−,
The efficient •O2− generation is also a consequence of a high O2 presence in the reaction medium [9]. A possible additional explanation for the O2 presence in an aqueous solution is the water splitting mechanism (Equation (2)) [8,9]. The h+ generated in the HOMO of the ACAC may promote water splitting, i.e., decomposing H2O into O2 and H+ through an oxidation half reaction as shown in Figure 6.
2 H2O + 4 h+ → O2 + 4 H+,
Additionally, the efficient production of •O2− radicals can also form H2O2 [9,45], which is another ROS capable of degradation of aqueous pollutants due to its ability to attack benzene rings and the N-dimethyl group [5]. The energy barrier of the formation of H2O2 from •O2− radicals (Equation (3)) is 0.3 eV below the normal hydrogen electrode potential (NHE) [13]. Therefore, a part of •O2− generated by TiO2-A300 can be transformed into H2O2 and can continue to degrade 4-CP and TC.
•O2− + e− + 2 H+ → O2 + H2O2,
As seen in Figure 6, the arrangement of CB of TiO2 and HOMO of ACAC in the TiO2-ACAC CTC may provide photocatalytic production of H2 from water splitting. The electron holes from HOMO of ACAC are capable of oxidizing water, forming H+ (Equation (2)), and the e– in the CB of TiO2 may reduce H+ to H2 (Equation (4)).
2 H+ + 2 e− → H2,
Finally, some previous studies demonstrated the photocatalytic potential of Z-scheme heterostructures based on WO3 [6,46], SnO2 [47], and BiVO4 [48] for TC and NOx degradation and hydrogen production under UV-Vis light. These low-bandgap semiconductors can absorb visible light and generate •OH radicals via VB and CB with positive redox potential. The Z-scheme heterojunction consists of the recombination of the CB electrons of these low-bandgap semiconductors with the VB of another semiconductor with a lower positive redox potential, providing a reduction in the recombination rate of e−/h+ pairs in the low-bandgap semiconductors, such as WO3, SnO2, and BiVO4 and, consequently, an increase in the formation of •OH radicals. Therefore, coupling TiO2-ACAC CTC with semiconductors capable of generating •OH radicals under visible light may maximize the generation of ROS and increase of photocatalytic efficiency of these new heterojunctions.
4. Materials and Methods
4.1. Materials
All reagents were purchased from Sigma-Aldrich and used as obtained. Titanium isopropoxide (Ti(OiPr)4, 97%), acetylacetone (ACAC, ≥99%), ethanol (≥99.8%), and nitric acid (65%) were used for the synthesis of TiO2-ACAC CTC nanoparticles. The aqueous pollutants were chlorophenol (4-CP, ≥99%) and tetracycline (TC, ≥98%). Benzoquinone (BQ, ≥98%) and isopropanol (IPA, ≥99.5%) were used as ROS scavengers.
4.2. Synthesis of TiO2-Acetylacetone Charge Transfer Complex
The synthesis of TiO2 anatase nanoparticles coupled with acetylacetone (CTC) was carried out by the sol-gel route as reported by Scolan and Sanchez [49]. In addition, as previously reported [12,16], the molar ratios for hydrolysis (H = [H2O]/[Ti]), acidity (H+ = [H+]/[Ti]), and complexing (A = [ACAC]/[Ti]) were kept at 100, 0.027 and 2, respectively, to produce TiO2-ACAC xerogel with mean crystal size ~2.5 nm.
In the adopted procedure, 30 mL of Ti(OiPr)4 was added dropwise into a solution of 20 mL of ACAC with 100 mL of ethanol (1:5 v/v). The obtained yellow solution remained under magnetic stirring for 40 min at room temperature. Afterward, 180 mL of HNO3 solution (0.015 M) was dropped slowly into the yellowish solution under continuous stirring. The dark orange solution obtained was heated to 60 °C and kept under magnetic stirring for 8 h. Next, the sol of TiO2 was dried overnight in Petri dishes at room temperature, and a gel was formed (TiO2-A-RT). Finally, the gel was dried at 100 °C overnight to obtain a red-yellowish xerogel of TiO2-Acetylacetone (TiO2-ACAC). The TiO2-ACAC xerogel, grounded in an agate mortar, was calcined in air at 300 °C for 2 h in a Tubular Maitec-INTI FET 1600/H furnace. The as-prepared powder was denoted TiO2-A300.
4.3. Thermogravimetric Analysis Coupled with Mass Spectroscopy (TGA-MS)
Thermogravimetric analysis (TGA) and differential scanning calorimetry (DSC) were performed on a Perkin-Elmer Simultaneous Thermal Analyzer STA-6000 under synthetic air flow (130 mL·min−1) with a heating rate of 10 °C·min−1 and within the temperature range between 30 °C and 550 °C. A mass of ~25 mg was used.
To identify the volatilized species from TiO2-ACAC and confirm the presence of ACAC in the TiO2-A300 sample, a mass spectrometer OmniStar/ThermoStar-GSD 320 O3 (Pfeiffer Vacuum) was coupled to the STA-6000. The m/z range until 105 was scanned with the measuring time of 0.5 s·amu−1.
4.4. Measurement of the Photodegradation of Chlorophenol and Tetracycline and the Efficiency of ROS
The photocatalytic potential of TiO2-A300 for degradation of 5 mg·L−1 of 4-CP and TC under visible light irradiation was evaluated. In accordance with [16], the inorganic part of TiO2-A300 CTC is composed of nanocrystalline anatase. Two other materials, TiO2-A-RT and TiO2-ACAC (where the inorganic part also consists of nanocrystalline anatase), were not evaluated since they previously showed inferior photocatalytic efficiency [16]. In addition, a measurement of the TC photodegradation until stabilization of TC abatement was performed.
All measurements were performed with 0.2 g·L−1 of the photocatalyst. The light source used was a DULUX D/E 26 W residential fluorescent lamp with an irradiance of 0.23 W·cm−2 and an emission of light in the wavelength range from 400 nm to 700 nm. The photocatalytic system is shown in Figure S4. The lamp is housed in a cylindrical quartz bulb (length 11 cm, internal diameter 3.2 cm, and thickness 0.15 cm) unable to absorb visible light. The photoreactor was immersed in a bath with cold water circulation to maintain the system at room temperature. The photocatalytic tests were carried out under vigorous magnetic stirring in two stages. In the first stage, the pollutant and the photocatalyst were kept in the dark for 1 h to attain the absorption–desorption equilibrium. After this period, the lamp was turned on, and 5 mL aliquots of supernatant were acquired at intervals of 1 h for 6 h. The supernatant was filtered through a Merck Millipore filter (0.45 μm) and analyzed by an Agilent UV-Vis spectrophotometer (model 8453). The absorption at the wavelengths of 224 nm and 358 nm was accompanied for photodegradation of 4-CP and TC during the test time, respectively. The observed reduction in these wavelengths for each pollutant was used as input to determine the percentage of photodegradation performed by TiO2-A300 CTC, as seen in Figure S5 and Table S1. The degradation data obtained were presented through the mean value together with the respective standard deviations (Table S1) since all photocatalytic tests were performed in triplicate to ensure repeatability of results.
The ROS efficiency in TiO2-ACAC CTC was evaluated by adding the scavenger molecule BQ (5.4 mg·L−1; 0.05 mmol·L−1) to inhibit the participation of the •O2− radical in the degradation of 4-CP and TC. On the other hand, the addition of the IPA scavenger (6.0 mg·L−1; 0.1 mmol·L−1) was performed to inhibit the participation of the •OH radical. The scavengers were added to the 5.0 mg·L−1 solutions of 4-CP or TC before starting the photocatalytic tests to ensure a mass ratio close to 1:1 between the pollutant and the scavenger.
5. Conclusions
The TGA-MS indirectly proved the presence of ACAC on TiO2-A-RT, TiO2-ACAC xerogel, and TiO2-A300 at temperatures higher than 150 °C. The release of acetyl ions and acetone between 150 °C and ~265 °C was detected, while at temperatures above 300 °C, and not higher than 450 °C, the release of CO2 and water was detected as the products of ACAC oxidation.
The TiO2-A300 photodegrades 4-CP and TC under reduced power visible light. The photocatalytic abatement of tetracycline (68.6%) was ~two times higher than that observed for chlorophenol (31.3%) after 6 h, indicating a distinct potential of ROS in the degradation of these pollutants.
The addition of BQ scavenger on the photocatalytic degradation of 4-CP and TC proved TiO2-A300 CTC to be a powerful source of superoxide (•O2−) radicals under visible light, promoting a high photodegradation of TC (68.6%) after 6 h. However, the •OH scavenger does not promote the reduction in photodegradation of 4-CP and TC, proving TiO2-ACAC CTC is not an efficient generator of •OH radicals under visible light.
The photocatalytic potential reported for TiO2-A300 may stimulate new studies on hydrogen production process from water splitting under visible light due to the redox potential arrangement of CB of TiO2 and HOMO of ACAC. Furthermore, the development of heterostructures based on TiO2-A300 CTC, and similar CTC, can increase the generation of ROS through coupling with semiconductors capable of generating •OH under visible light and, therefore, capable of formation of more powerful photocatalysts.
Supplementary Materials
The following are available online at https://www.mdpi.com/article/10.3390/catal12020116/s1, Figure S1: TGA and DTG curves of (a) TiO2-ACAC xerogel and (b) TiO2-A300 sample, Figure S2: Tetracycline photodegradation by TiO2-A300, Figure S3: Curves of adsorption (1 h in dark) and photocatalytic activity of 4-CP and TC using TiO2-A300 of (a) 4-CP and (b) TC by TiO2-A300 without scavengers addition during 6 h, Figure S4: Photocatalytic system for aqueous pollutants degradation, Figure S5: Absorbance of (a) 4-CP band, situated at 224 nm and (b) TC band at 358 nm, over the time, Table S1: 4-CP and TC degradation data obtained in the first repetition of the photocatalytic test using TiO2-A300.
Author Contributions
Conceptualization, L.A.A. and B.A.M.; synthesis and overall characterizations, L.A.A.; funding acquisition, B.A.M.; data interpretation, L.A.A. and B.A.M.; TGA-MS analysis, A.D. and J.V.; TGA-MS interpretation, A.D. and J.V.; writing—original draft preparation, L.A.A.; writing—review and editing, L.A.A., A.D. and B.A.M. All authors have read and agreed to the published version of the manuscript.
Funding
The authors are grateful to FAPERJ for financial support through the projects E-26/210.585/2019 and E-26/210.046/2021.
Institutional Review Board Statement
Not applicable.
Informed Consent Statement
Not applicable.
Data Availability Statement
The data underlying this article will be shared on reasonable request from the corresponding author.
Acknowledgments
This study was financed in part by the Coordenação de Aperfeiçoamento de Pessoal de Nível Superior-Brasil (CAPES)–Finance Code 001. B.A.M. is grateful to CNPq (National Council for Scientific and Technological Development) for a Research Productivity Grant. L.A. is grateful to ANP (Agência Nacional do Petróleo, Gás Natural e Biocombustíveis) and Finep (Funding Authority for Studies and Projects) for a doctoral degree scholarship.
Conflicts of Interest
The authors declare no conflict of interest.
References
- Liu, N.; Wang, J.; Wu, J.; Li, Z.; Huang, W.; Zheng, Y.; Lei, J.; Zhang, X.; Tang, L. Magnetic Fe3O4@MIL-53(Fe) nanocomposites derived from MIL-53(Fe) for the photocatalytic degradation of ibuprofen under visible light irradiation. Mater. Res. Bull. 2020, 132, 111000. [Google Scholar] [CrossRef]
- Zhou, Z.; Li, Y.; Li, M.; Li, Y.; Zhan, S. Efficient removal for multiple pollutants via Ag2O/BiOBr heterojunction: A promoted photocatalytic process by valid electron transfer pathway. Chin. Chem. Lett. 2020, 31, 2698–2704. [Google Scholar] [CrossRef]
- Mohammad, A.; Khan, M.E.; Cho, M.H.; Yoon, T. Adsorption promoted visible-light-induced photocatalytic degradation of antibiotic tetracycline by tin oxide/cerium oxide nanocomposite. Appl. Surf. Sci. 2021, 565, 150337. [Google Scholar] [CrossRef]
- de Moraes, N.P.; Torezin, F.A.; Dantas, G.V.J.; de Sousa, J.G.M.; Valim, R.B.; da Silva Rocha, R.; Landers, R.; da Silva, M.L.C.P.; Rodrigues, L.A. TiO2/Nb2O5/carbon xerogel ternary photocatalyst for efficient degradation of 4-Chlorophenol under solar light irradiation. Ceram. Int. 2020, 46, 14505–14515. [Google Scholar] [CrossRef]
- He, X.; Kai, T.; Ding, P. Heterojunction photocatalysts for degradation of the tetracycline antibiotic: A review. Environ. Chem. Lett. 2021, 19, 4563–4601. [Google Scholar] [CrossRef]
- Wang, Y.; Fu, H.; Yang, X.; An, X.; Zou, Q.; Xiong, S.; Han, D. Pt nanoparticles-modified WO3@TiO2 core–shell ternary nanocomposites as stable and efficient photocatalysts in tetracycline degradation. J. Mater. Sci. 2020, 55, 14415–14430. [Google Scholar] [CrossRef]
- de Moraes, N.P.; Valim, R.B.; da Silva Rocha, R.; da Silva, M.L.C.P.; Campos, T.M.B.; Thim, G.P.; Rodrigues, L.A. Effect of synthesis medium on structural and photocatalytic properties of ZnO/Carbon xerogel composites for solar and visible light degradation of 4-Chlorophenol and bisphenol A. Colloids Surf. A Physicochem. Eng. Asp. 2020, 584, 124034. [Google Scholar] [CrossRef]
- Christoforidis, K.C.; Fornasiero, P. Photocatalytic Hydrogen Production: A Rift into the Future Energy Supply. ChemCatChem 2017, 9, 1523–1544. [Google Scholar] [CrossRef] [Green Version]
- Ren, H.; Koshy, P.; Chen, W.-F.; Qi, S.; Sorrell, C.C. Photocatalytic materials and technologies for air purification. J. Hazard. Mater. 2017, 325, 340–366. [Google Scholar] [CrossRef]
- Kapilashrami, M.; Zhang, Y.; Liu, Y.-S.; Hagfeldt, A.; Guo, J. Probing the Optical Property and Electronic Structure of TiO2 Nanomaterials for Renewable Energy Applications. Chem. Rev. 2014, 114, 9662–9707. [Google Scholar] [CrossRef] [PubMed]
- Zhou, H.; Qu, Y.; Zeid, T.; Duan, X. Towards highly efficient photocatalysts using semiconductor nanoarchitectures. Energy Environ. Sci. 2012, 5, 6732–6743. [Google Scholar] [CrossRef]
- Habran, M.; Pontón, P.I.; Mancic, L.; Pandoli, O.; Krambrock, K.; da Costa, M.E.H.M.; Letichevsky, S.; Costa, A.M.L.M.; Morgado, E.; Marinkovic, B.A. Visible light sensitive mesoporous nanohybrids of lepidocrocite-like ferrititanate coupled to a charge transfer complex: Synthesis, characterization and photocatalytic degradation of NO. J. Photochem. Photobiol. A Chem. 2018, 365, 133–144. [Google Scholar] [CrossRef]
- Nosaka, Y.; Nosaka, A.Y. Generation and Detection of Reactive Oxygen Species in Photocatalysis. Chem. Rev. 2017, 117, 11302–11336. [Google Scholar] [CrossRef]
- Khavar, A.H.C.; Moussavi, G.; Mahjoub, A.R.; Luque, R.; Rodríguez-Padrón, D.; Sattari, M. Enhanced visible light photocatalytic degradation of acetaminophen with Ag2S-ZnO@rGO core-shell microsphere as a novel catalyst: Catalyst preparation and characterization and mechanistic catalytic experiments. Sep. Purif. Technol. 2019, 229, 115803. [Google Scholar] [CrossRef]
- Luciani, G.; Imparato, C.; Vitiello, G. Photosensitive Hybrid Nanostructured Materials: The Big Challenges for Sunlight Capture. Catalysts 2020, 10, 103. [Google Scholar] [CrossRef] [Green Version]
- Almeida, L.A.; Habran, M.; dos Santos Carvalho, R.; da Costa, M.E.H.M.; Cremona, M.; Silva, B.C.; Krambrock, K.; Pandoli, O.G.; Morgado, E., Jr.; Marinkovic, B.A. The Influence of Calcination Temperature on Photocatalytic Activity of TiO2-Acetylacetone Charge Transfer Complex towards Degradation of NOx under Visible Light. Catalysts 2020, 10, 1463. [Google Scholar] [CrossRef]
- Piskunov, S.; Lisovski, O.; Begens, J.; Bocharov, D.; Zhukovskii, Y.F.; Wessel, M.; Spohr, E. C-, N-, S-, and Fe-Doped TiO2 and SrTiO3 Nanotubes for Visible-Light-Driven Photocatalytic Water Splitting: Prediction from First Principles. J. Phys. Chem. C 2015, 119, 18686–18696. [Google Scholar] [CrossRef]
- Serga, V.; Burve, R.; Krumina, A.; Pankratova, V.; Popov, A.I.; Pankratov, V. Study of phase composition, photocatalytic activity, and photoluminescence of TiO2 with Eu additive produced by the extraction-pyrolytic method. J. Mater. Res. Technol. 2021, 13, 2350–2360. [Google Scholar] [CrossRef]
- Zhang, G.; Kim, G.; Choi, W. Visible light driven photocatalysis mediated via ligand-to-metal charge transfer (LMCT): An alternative approach to solar activation of titania. Energy Environ. Sci. 2014, 7, 954–966. [Google Scholar] [CrossRef] [Green Version]
- Liu, J.; Han, L.; An, N.; Xing, L.; Ma, H.; Cheng, L.; Yang, J.; Zhang, Q. Enhanced visible-light photocatalytic activity of carbonate-doped anatase TiO2 based on the electron-withdrawing bidentate carboxylate linkage. Appl. Catal. B Environ. 2017, 202, 642–652. [Google Scholar] [CrossRef]
- Li, X.; Xu, H.; Shi, J.-L.; Hao, H.; Yuan, H.; Lang, X. Salicylic acid complexed with TiO2 for visible light-driven selective oxidation of amines into imines with air. Appl. Catal. B Environ. 2019, 244, 758–766. [Google Scholar] [CrossRef]
- Kim, G.; Lee, S.-H.; Choi, W. Glucose–TiO2 charge transfer complex-mediated photocatalysis under visible light. Appl. Catal. B Environ. 2015, 162, 463–469. [Google Scholar] [CrossRef]
- Li, M.; Li, Y.; Zhao, J.; Li, M.; Wu, Y.; Na, P. Alizarin-TiO2 LMCT Complex with Oxygen Vacancies: An Efficient Visible Light Photocatalyst for Cr(VI) Reduction. Chin. J. Chem. 2020, 38, 1332–1338. [Google Scholar] [CrossRef]
- Aronne, A.; Fantauzzi, M.; Imparato, C.; Atzei, D.; De Stefano, L.; D’Errico, G.; Sannino, F.; Rea, I.; Pirozzi, D.; Elsener, B.; et al. Electronic properties of TiO2-based materials characterized by high Ti3+ self-doping and low recombination rate of electron–hole pairs. RSC Adv. 2017, 7, 2373–2381. [Google Scholar] [CrossRef] [Green Version]
- Ritacco, I.; Imparato, C.; Falivene, L.; Cavallo, L.; Magistrato, A.; Caporaso, L.; Camellone, M.F.; Aronne, A. Spontaneous Production of Ultrastable Reactive Oxygen Species on Titanium Oxide Surfaces Modified with Organic Ligands. Adv. Mater. Interfaces 2021, 8, 2100629. [Google Scholar] [CrossRef]
- Milićević, B.; Đorđević, V.; Lončarević, D.; Dostanić, J.M.; Ahrenkiel, S.P.; Dramićanin, M.D.; Sredojević, D.; Švrakić, N.M.; Nedeljković, J.M. Charge-transfer complex formation between TiO2 nanoparticles and thiosalicylic acid: A comprehensive experimental and DFT study. Opt. Mater. 2017, 73, 163–171. [Google Scholar] [CrossRef]
- Lam, S.M.; Sin, J.-C.; Satoshi, I.; Abdullah, A.Z.; Mohamed, A.R. Enhanced sunlight photocatalytic performance over Nb2O5/ZnO nanorod composites and the mechanism study. Appl. Catal. A Gen. 2014, 471, 126–135. [Google Scholar] [CrossRef]
- Abd Elkodous, M.; El-Sayyad, G.S.; Abdel Maksoud, M.I.A.; Kumar, R.; Maegawa, K.; Kawamura, G.; Tan, W.K.; Matsuda, A. Nanocomposite matrix conjugated with carbon nanomaterials for photocatalytic wastewater treatment. J. Hazard. Mater. 2021, 410, 124657. [Google Scholar] [CrossRef]
- Zhang, Y.; Li, J.; Liu, H. Synergistic Removal of Bromate and Ibuprofen by Graphene Oxide and TiO2 Heterostructure Doped with F: Performance and Mechanism. J. Nanomater. 2020, 2020, 6094984. [Google Scholar] [CrossRef] [Green Version]
- de Sousa, J.G.M.; da Silva, T.V.C.; de Moraes, N.P.; da Silva, M.L.C.P.; da Silva Rocha, R.; Landers, R.; Rodrigues, L.A. Visible light-driven ZnO/g-C3N4/carbon xerogel ternary photocatalyst with enhanced activity for 4-Chlorophenol degradation. Mater. Chem. Phys. 2020, 256, 123651. [Google Scholar] [CrossRef]
- Myilsamy, M.; Mahalakshmi, M.; Subha, N.; Rajabhuvaneswari, A.; Murugesan, V. Visible light responsive mesoporous graphene–Eu2O3/TiO2 nanocomposites for the efficient photocatalytic degradation of 4-Chlorophenol. RSC Adv. 2016, 6, 35024–35035. [Google Scholar] [CrossRef]
- Li, F.; Du, P.; Liu, W.; Li, X.; Ji, H.; Duan, J.; Zhao, D. Hydrothermal synthesis of graphene grafted titania/titanate nanosheets for photocatalytic degradation of 4-Chlorophenol: Solar-light-driven photocatalytic activity and computational chemistry analysis. Chem. Eng. J. 2018, 331, 685–694. [Google Scholar] [CrossRef]
- Alam, U.; Shah, T.A.; Khan, A.; Muneer, M. One-pot ultrasonic assisted sol-gel synthesis of spindle-like Nd and V codoped ZnO for efficient photocatalytic degradation of organic pollutants. Sep. Purif. Technol. 2019, 212, 427–437. [Google Scholar] [CrossRef]
- Acik, I.O.; Madarász, J.; Krunks, M.; Tõnsuaadu, K.; Pokol, G.; Niinistö, L. Titanium(IV) acetylacetonate xerogels for processing titania films: A Thermoanalytical Study. J. Therm. Anal. Calorim. 2009, 97, 39–45. [Google Scholar] [CrossRef]
- Bowie, J.H.; Williams, D.H.; Lawesson, S.-O.; Schroll, G. Studies in Mass Spectrometry. IX.1 Mass Spectra of β-Diketones. J. Org. Chem. 1966, 31, 1384–1390. [Google Scholar] [CrossRef]
- Acik, I.O.; Madarász, J.; Krunks, M.; Tõnsuaadu, K.; Janke, D.; Pokol, G.; Niinistö, L. Thermoanalytical studies of titanium(IV) acetylacetonate xerogels with emphasis on evolved gas analysis. J. Therm. Anal. Calorim. 2007, 88, 557–563. [Google Scholar] [CrossRef]
- Madarász, J.; Kaneko, S.; Okuya, M.; Pokol, G. Comparative evolved gas analyses of crystalline and amorphous titanium(IV)oxo-hydroxo-acetylacetonates by TG-FTIR and TG/DTA-MS. Thermochim. Acta 2009, 489, 37–44. [Google Scholar] [CrossRef]
- Schneider, J.; Matsuoka, M.; Takeuchi, M.; Zhang, J.; Horiuchi, Y.; Anpo, M.; Bahnemann, D.W. Understanding TiO2 Photocatalysis: Mechanisms and Materials. Chem. Rev. 2014, 114, 9919–9986. [Google Scholar] [CrossRef]
- Su, R.; Tiruvalam, R.; He, Q.; Dimitratos, N.; Kesavan, L.; Hammond, C.; Lopez-Sanchez, J.A.; Bechstein, R.; Kiely, C.J.; Hutchings, G.J.; et al. Promotion of Phenol Photodecomposition over TiO2 Using Au, Pd, and Au–Pd Nanoparticles. ACS Nano 2012, 6, 6284–6292. [Google Scholar] [CrossRef] [PubMed]
- Fónagy, O.; Szabó-Bárdos, E.; Horváth, O. 1,4-Benzoquinone and 1,4-Hydroquinone based determination of electron and superoxide radical formed in heterogeneous photocatalytic systems. J. Photochem. Photobiol. A Chem. 2021, 407, 113057. [Google Scholar] [CrossRef]
- Zhu, P.; Duan, M.; Wang, R.; Xu, J.; Zou, P.; Jia, H. Facile synthesis of ZnO/GO/Ag3PO4 heterojunction photocatalyst with excellent photodegradation activity for tetracycline hydrochloride under visible light. Colloids Surf. A Physicochem. Eng. Asp. 2020, 602, 125118. [Google Scholar] [CrossRef]
- Yu, H.; Wang, D.; Zhao, B.; Lu, Y.; Wang, X.; Zhu, S.; Qin, W.; Huo, M. Enhanced photocatalytic degradation of tetracycline under visible light by using a ternary photocatalyst of Ag3PO4/AgBr/g-C3N4 with dual Z-scheme heterojunction. Sep. Purif. Technol. 2020, 237, 116365. [Google Scholar] [CrossRef]
- Obregón, S.; Ruíz-Gómez, M.A.; Rodríguez-González, V.; Vázquez, A.; Hernández-Uresti, D.B. A novel type-II Bi2W2O9/g-C3N4 heterojunction with enhanced photocatalytic performance under simulated solar irradiation. Mater. Sci. Semicond. Process. 2020, 113, 105056. [Google Scholar] [CrossRef]
- Lu, F.; Chen, K.; Feng, Q.; Cai, H.; Ma, D.; Wang, D.; Li, X.; Zuo, C.; Wang, S. Insight into the enhanced magnetic separation and photocatalytic activity of Sn-doped TiO2 core-shell photocatalyst. J. Environ. Chem. Eng. 2021, 9, 105840. [Google Scholar] [CrossRef]
- Mamaghani, A.H.; Haghighat, F.; Lee, C.-S. Photocatalytic oxidation technology for indoor environment air purification: The state-of-the-art. Appl. Catal. B Environ. 2017, 203, 247–269. [Google Scholar] [CrossRef]
- Zhi, L.; Zhang, S.; Xu, Y.; Tu, J.; Li, M.; Hu, D.; Liu, J. Controlled growth of AgI nanoparticles on hollow WO3 hierarchical structures to act as Z-scheme photocatalyst for visible-light photocatalysis. J. Colloid Interface Sci. 2020, 579, 754–765. [Google Scholar] [CrossRef] [PubMed]
- Li, Y.; Wu, X.; Ho, W.; Lv, K.; Li, Q.; Li, M.; Lee, S.C. Graphene-induced formation of visible-light-responsive SnO2-Zn2SnO4 Z-scheme photocatalyst with surface vacancy for the enhanced photoreactivity towards NO and acetone oxidation. Chem. Eng. J. 2018, 336, 200–210. [Google Scholar] [CrossRef]
- Zhou, F.Q.; Fan, J.C.; Xu, Q.J.; Min, Y.L. BiVO4 nanowires decorated with CdS nanoparticles as Z-scheme photocatalyst with enhanced H2 generation. Appl. Catal. B Environ. 2017, 201, 77–83. [Google Scholar] [CrossRef]
- Scolan, E.; Sanchez, C. Synthesis and Characterization of Surface-Protected Nanocrystalline Titania Particles. Chem. Mater. 1998, 10, 3217–3223. [Google Scholar] [CrossRef]
Publisher’s Note: MDPI stays neutral with regard to jurisdictional claims in published maps and institutional affiliations. |
© 2022 by the authors. Licensee MDPI, Basel, Switzerland. This article is an open access article distributed under the terms and conditions of the Creative Commons Attribution (CC BY) license (https://creativecommons.org/licenses/by/4.0/).





