Total Oxidation of Toluene and Propane over Co3O4 Catalysts: Influence of Precipitating pH and Washing
Abstract
1. Introduction
2. Results and Discussion
2.1. Influence of the Precipitating pH
2.1.1. TG/DTA, FTIR, XRD and N2 Adsorption Characterizations
2.1.2. Catalytic Performance in the Toluene and Propane Oxidation
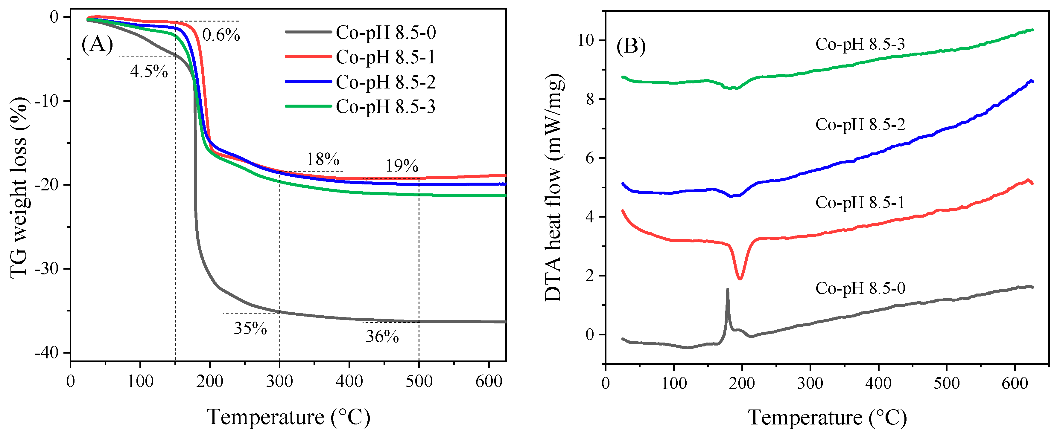
2.2. Influence of the Number of Washings
2.2.1. TG/DTA, FTIR, XRD and N2 Adsorption Characterizations
2.2.2. Catalytic Performance in the Toluene and Propane Oxidation
2.3. Influence of Ageing Time and Precipitating Temperature
3. Experimental Section
3.1. Materials
3.2. Catalysts Preparation
3.3. Catalysts Characterization
3.4. Catalytic Performance Evaluation
3.4.1. Complete Oxidation of Toluene
3.4.2. Complete Oxidation of Propane
4. Conclusions
Supplementary Materials
Author Contributions
Funding
Acknowledgments
Conflicts of Interest
References
- Montoya, R.M.; Vargas, R.L.; Aguilar, O.A. Volatile organic compounds in air: Sources, distribution, exposure and associated illnesses in children. Ann. Glob. Health 2018, 84, 225–238. [Google Scholar] [CrossRef] [PubMed]
- Jung, C.R.; Lin, Y.T.; Hwang, B.F. Ozone, particulate matter, and newly diagnosed Alzheimer’s disease: A Population-Based Cohort Study in Taiwan. J. Alzheimer’s Dis. 2015, 44, 573–584. [Google Scholar] [CrossRef] [PubMed]
- Sihaib, Z.; Puleo, F.; Pantaleo, G.; Parola, V.A.; Valverde, J.L.; Gil, S.; Liotta, L.F.; Fendler, A.G. The effect of citric acid concentration on the properties of LaMnO3 as a catalyst for hydrocarbon oxidation. Catalysts 2019, 9, 226. [Google Scholar] [CrossRef]
- Liu, Y.; Zhou, H.; Cao, R.; Liu, X.; Zhang, P.; Zhan, J.; Liu, L. Facile and green synthetic strategy of birnessite-type MnO2 with high efficiency for airborne benzene removal at low temperatures. Appl. Catal. B Environ. 2019, 245, 569–582. [Google Scholar] [CrossRef]
- Tang, W.; Xiao, W.; Wang, S.; Ren, Z.; Ding, J.; Gao, P.X. Boosting catalytic propane oxidation over PGM-free Co3O4 nanocrystal aggregates through chemical leaching: A comparative study with Pt and Pd based catalysts. Appl. Catal. B Environ. 2018, 226, 585–595. [Google Scholar] [CrossRef]
- Xie, X.; Li, Y.; Liu, Z.Q.; Haruta, M.; Shen, W. Low-temperature oxidation of CO catalysed by Co3O4 nanorods. Nature 2009, 458, 746–749. [Google Scholar] [CrossRef]
- Bae, J.; Shin, D.; Jeong, H.; Kim, B.S.; Han, J.W.; Lee, H. Highly water-resistant la-doped Co3O4 catalyst for CO oxidation. ACS Catal. 2019, 9, 10093–10100. [Google Scholar] [CrossRef]
- Salek, G.; Alphonse, P.; Dufour, P.; Fritsch, S.G.C. Tenailleau, Low-temperature carbon monoxide and propane total oxidation by nanocrystalline cobalt oxides. Appl. Catal. B Environ. 2014, 147, 1–7. [Google Scholar] [CrossRef]
- Ren, Q.; Mo, S.; Peng, R.; Feng, Z.; Zhang, M.; Chen, L.; Fu, M.; Wu, J.; Ye, D. Controllable synthesis of 3D hierarchical Co3O4 nanocatalysts with various morphologies for the catalytic oxidation of toluene. J. Mater. Chem. A. 2018, 6, 498–509. [Google Scholar] [CrossRef]
- Xia, Y.; Dai, H.; Jiang, H.; Zhang, L. Three-dimensional ordered mesoporous cobalt oxides: Highly active catalysts for the oxidation of toluene and methanol. Catal. Commun. 2010, 11, 1171–1175. [Google Scholar] [CrossRef]
- Bai, G.; Dai, H.; Deng, J.; Liu, Y.; Wang, F.; Zhao, Z.; Qiu, W.; Au, C.T. Porous Co3O4 nanowires and nanorods: Highly active catalysts for the combustion of toluene. Appl. Catal. A Gen. 2013, 450, 42–49. [Google Scholar] [CrossRef]
- Zeng, K.; Li, X.; Wang, C.; Wang, Z.; Guo, P.; Yu, J.; Zhang, C.; Zhao, X.S. Three-dimensionally macroporous MnZrOx catalysts for propane combustion: Synergistic structure and doping effects on physicochemical and catalytic properties. J. Colloid Interface Sci. 2020, 572, 281–296. [Google Scholar] [CrossRef] [PubMed]
- Zeng, K.; Wang, Z.; Wang, D.; Wang, C.; Yu, J.; Wu, G.; Zhang, Q.; Li, X.; Zhang, C.; Zhao, X.S. Three-dimensionally ordered macroporous MnSmOx composite oxides for propane combustion: Modification effect of Sm dopant. Catal. Today 2020, in press. [Google Scholar] [CrossRef]
- Cai, T.; Yuan, J.; Zhang, L.; Yang, L.; Tong, Q.; Ge, M.; Xiao, B.; Zhang, X.; Zhao, K.; He, D. Ni–Co–O solid solution dispersed nanocrystalline Co3O4 as a highly active catalyst for low-temperature propane combustion. Catal. Sci. Technol. 2018, 8, 5416–5427. [Google Scholar] [CrossRef]
- Wu, M.; Chen, S.; Soomro, A.; Ma, S.; Zhu, M.; Hua, X.; Xiang, W. Investigation of synergistic effects and high performance of La-Co composite oxides for toluene catalytic oxidation at low temperature. Environ. Sci. Pollut. Res. 2019, 26, 12123–12135. [Google Scholar] [CrossRef] [PubMed]
- Zhang, S.; Liu, S.; Zhu, X.; Yang, Y.; Hu, W.; Zhao, H.; Qu, R.; Zheng, C.; Gao, X. Low temperature catalytic oxidation of propane over cobalt-cerium spinel oxides catalysts. Appl. Surf. Sci. 2019, 479, 1132–1140. [Google Scholar] [CrossRef]
- Pu, Z.; Zhou, H.; Zheng, Y.; Huang, W.; Li, X. Enhanced methane combustion over Co3O4 catalysts prepared by a facile precipitation method: Effect of aging time. Appl. Surf. Sci. 2017, 410, 14–21. [Google Scholar] [CrossRef]
- Zheng, Y.; Liu, Y.; Zhou, H.; Huang, W.; Pu, Z. Complete combustion of methane over Co3O4 catalysts: Influence of pH values. J. Alloys Compd. 2018, 734, 112–120. [Google Scholar] [CrossRef]
- Liu, Z.G.; Chai, S.H.; Binder, A.; Li, Y.Y.; Ji, L.T.; Dai, S. Influence of calcination temperature on the structure and catalytic performance of CuOx-CoOy-CeO2 ternary mixed oxide for CO oxidation. Appl. Catal. A Gen. 2013, 451, 282–288. [Google Scholar] [CrossRef]
- Choya, A.; Rivas, B.; Ortiz, J.G.; Fonseca, R.L. Effect of residual Na+ on the combustion of methane over Co3O4 bulk catalysts prepared by precipitation. Catalysts 2018, 8, 427. [Google Scholar] [CrossRef]
- Tang, W.; Weng, J.; Lu, X.; Wen, L.; Suburamanian, A.; Nam, C.Y.; Gao, P.X. Alkali-metal poisoning effect of total CO and propane oxidation over Co3O4 nanocatalysts. Appl. Catal. B Environ. 2019, 256, 117859. [Google Scholar] [CrossRef]
- Wang, Y.; Zhu, J.; Yang, X.; Lu, L.; Wang, X. Preparation of NiO nanoparticles and their catalytic activity in the thermal decomposition of ammonium perchlorate. Thermochim. Acta. 2005, 437, 106–109. [Google Scholar] [CrossRef]
- Muhamad, E.N.; Irmawati, R.; Abdullah, A.H.; Yap, Y.H.T.; Hamid, S.B.A. Effect of number of washing on the characteristics of copper oxide nanopowders. Malaysian J. Anal. Sci. 2007, 11, 294–301. [Google Scholar]
- Farhadi, S.; Pourzare, K. Simple and low-temperature preparation of Co3O4 sphere-like nanoparticles via solid-state thermolysis of the [Co(NH3)6](NO3)3+ complex. Mater. Res. Bull. 2012, 47, 1550–1556. [Google Scholar] [CrossRef]
- Venkatachalam, N.; Saito, Y.; Soga, K. Synthesis of Er3+ doped Y2O3 nanophosphors. J. Am. Ceram. Soc. 2009, 92, 1006–1010. [Google Scholar] [CrossRef]
- Yan, Q.; Li, X.; Zhao, Q.; Chen, G. Shape-controlled fabrication of the porous Co3O4 nanoflower clusters for efficient catalytic oxidation of gaseous toluene. J. Hazard. Mater. 2012, 209–210, 385–391. [Google Scholar] [CrossRef]
- Zhao, T.; Jiang, H.; Ma, J. Surfactant-assisted electrochemical deposition of α-cobalt hydroxide for supercapacitors. J. Power Sources. 2011, 196, 860–864. [Google Scholar] [CrossRef]
- Cheng, J.P.; Liu, L.; Zhang, J.; Liu, F.; Zhang, X.B. Influences of anion exchange and phase transformation on the supercapacitive properties of α-Co(OH)2. J. Electroanal. Chem. 2014, 722–723, 23–31. [Google Scholar] [CrossRef]
- Xu, J.; Gao, P.; Zhao, T.S. Non-precious Co3O4 nano-rod electrocatalyst for oxygenreduction reaction in anion-exchange membranefuelcells. Energy Environ. Sci. 2012, 5, 5333–5339. [Google Scholar] [CrossRef]
- Chromčáková, Ž.; Obalová, L.; Kovanda, F.; Legut, D.; Titov, A.; Ritz, M.; Fridrichová, D.; Michalik, S.; Kuśtrowski, P.; Jirátová, K. Effect of precursor synthesis on catalytic activity of Co3O4 in N2O decomposition. Catal. Today 2015, 257, 18–25. [Google Scholar] [CrossRef]
- Makhlouf, M.T.; Zied, B.M.A.; Mansoure, T.H. Effect of calcination temperature on the H2O2 decomposition activity of nano-crystalline Co3O4 prepared by combustion method. Appl. Surf. Sci. 2013, 274, 45–52. [Google Scholar] [CrossRef]
- Garavaglia, R.; Mari, C.M.; Trasatti, S.; Asmundis, C. Physicochemical characterization of Co3O4 prepared by thermal decomposition I: Phase composition and morphology. Surf. Technol. 1983, 19, 197–215. [Google Scholar] [CrossRef]
- García, T.; Solsona, B.; Taylor, S.H. Naphthalene total oxidation over metal oxide catalysts. Appl. Catal. B Environ. 2006, 66, 92–99. [Google Scholar] [CrossRef]











| Catalysts | Yield (% ) a | d (nm) b | a (Å) b | SSA (m2 g−1) c | Vp (cm3 g−1) c | Dp (nm) c |
|---|---|---|---|---|---|---|
| Co-pH 8.0 | 64 | 36 | 8.0838 | 12 | 0.052 | 18 |
| Co-pH 8.5 | 87 | 40 | 8.0853 | 14 | 0.035 | 9 |
| Co-pH 9.0 | 92 | 37 | 8.0853 | 13 | 0.046 | 15 |
| Co-pH 9.5 | 89 | 33 | 8.0841 | 12 | 0.052 | 17 |
| Co-pH 10.0 | 87 | 32 | 8.0830 | 16 | 0.055 | 14 |
| Catalysts | Toluene Oxidation | Propane Oxidation | ||||
|---|---|---|---|---|---|---|
| T10 | T50 | T90 | T10 | T50 | T90 | |
| Co-pH 8.0 | 240 | 270 | 294 | 177 | 217 | 265 |
| Co-pH 8.5 | 244 | 271 | 290 | 180 | 216 | 249 |
| Co-pH 9.0 | 243 | 266 | 282 | 176 | 219 | 270 |
| Co-pH 9.5 | 250 | 273 | 299 | 186 | 228 | 270 |
| Co-pH 10.0 | 254 | 278 | 292 | 186 | 230 | 280 |
| Catalysts | Yield (%) a | d (nm) b | a (Å) b | SSA (m2 g−1) c | Vp (cm3 g−1) c | Dp (nm) c |
|---|---|---|---|---|---|---|
| Co-pH 8.5-0 | 87 | 40 | 8.0853 | 14 | 0.035 | 9 |
| Co-pH 8.5-1 | 77 | 30 | 8.0882 | 20 | 0.040 | 8 |
| Co-pH 8.5-2 | 73 | 29 | 8.0870 | 19 | 0.039 | 8 |
| Co-pH 8.5-3 | 69 | 32 | 8.0883 | 18 | 0.035 | 8 |
| Catalysts | Toluene Oxidation | Propane Oxidation | ||||
|---|---|---|---|---|---|---|
| T10 | T50 | T90 | T10 | T50 | T90 | |
| Co-pH 8.5-0 | 244 | 271 | 290 | 180 | 216 | 249 |
| Co-pH 8.5-1 | 236 | 271 | 291 | 171 | 208 | 238 |
| Co-pH 8.5-2 | 236 | 268 | 287 | 169 | 204 | 240 |
| Co-pH 8.5-3 | 244 | 268 | 284 | 176 | 213 | 244 |
| Catalysts | Toluene Oxidation | Propane Oxidation | ||||
|---|---|---|---|---|---|---|
| T10 | T50 | T90 | T10 | T50 | T90 | |
| CoNH3-8.5-1 | 236 | 271 | 291 | 171 | 208 | 238 |
| CoNH3-8.5-24 h-1 | 228 | 263 | 283 | 173 | 228 | 282 |
| CoNH3-8.5-80 °C-1 | 246 | 273 | 294 | 186 | 227 | 263 |
© 2020 by the authors. Licensee MDPI, Basel, Switzerland. This article is an open access article distributed under the terms and conditions of the Creative Commons Attribution (CC BY) license (http://creativecommons.org/licenses/by/4.0/).
Share and Cite
Driouch, I.; Zhang, W.; Heitz, M.; Valverde, J.L.; Giroir-Fendler, A. Total Oxidation of Toluene and Propane over Co3O4 Catalysts: Influence of Precipitating pH and Washing. Catalysts 2020, 10, 900. https://doi.org/10.3390/catal10080900
Driouch I, Zhang W, Heitz M, Valverde JL, Giroir-Fendler A. Total Oxidation of Toluene and Propane over Co3O4 Catalysts: Influence of Precipitating pH and Washing. Catalysts. 2020; 10(8):900. https://doi.org/10.3390/catal10080900
Chicago/Turabian StyleDriouch, Imane, Weidong Zhang, Michèle Heitz, Jose Luis Valverde, and Anne Giroir-Fendler. 2020. "Total Oxidation of Toluene and Propane over Co3O4 Catalysts: Influence of Precipitating pH and Washing" Catalysts 10, no. 8: 900. https://doi.org/10.3390/catal10080900
APA StyleDriouch, I., Zhang, W., Heitz, M., Valverde, J. L., & Giroir-Fendler, A. (2020). Total Oxidation of Toluene and Propane over Co3O4 Catalysts: Influence of Precipitating pH and Washing. Catalysts, 10(8), 900. https://doi.org/10.3390/catal10080900

