Selective Hydrogenation of Acetylene over Pd-Mn/Al2O3 Catalysts
Abstract
1. Introduction
2. Results and Discussion
2.1. Cymantrene Decomposition on Pd/Al2O3
2.2. Catalysts Characterization
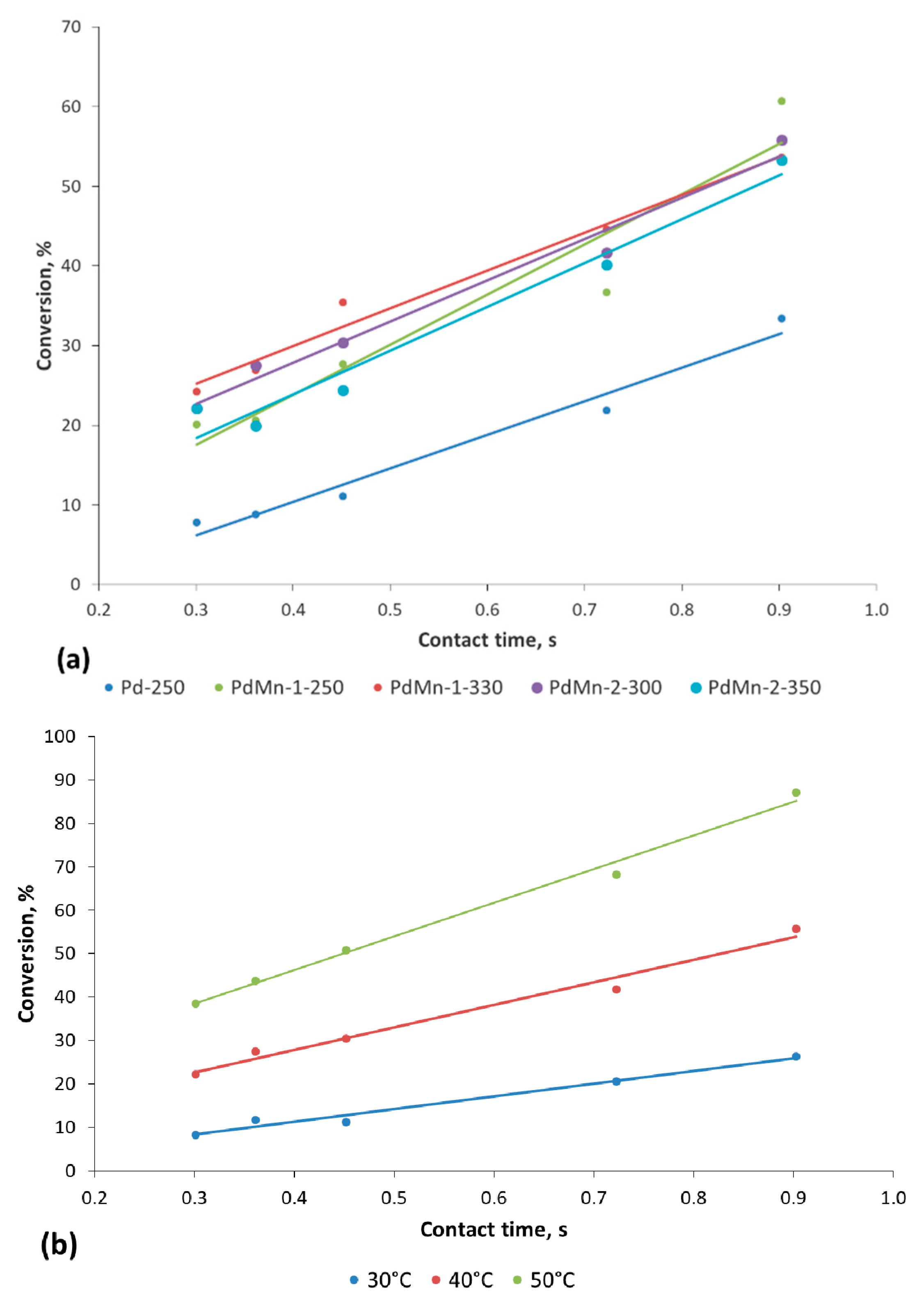
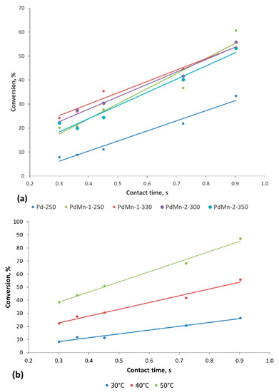
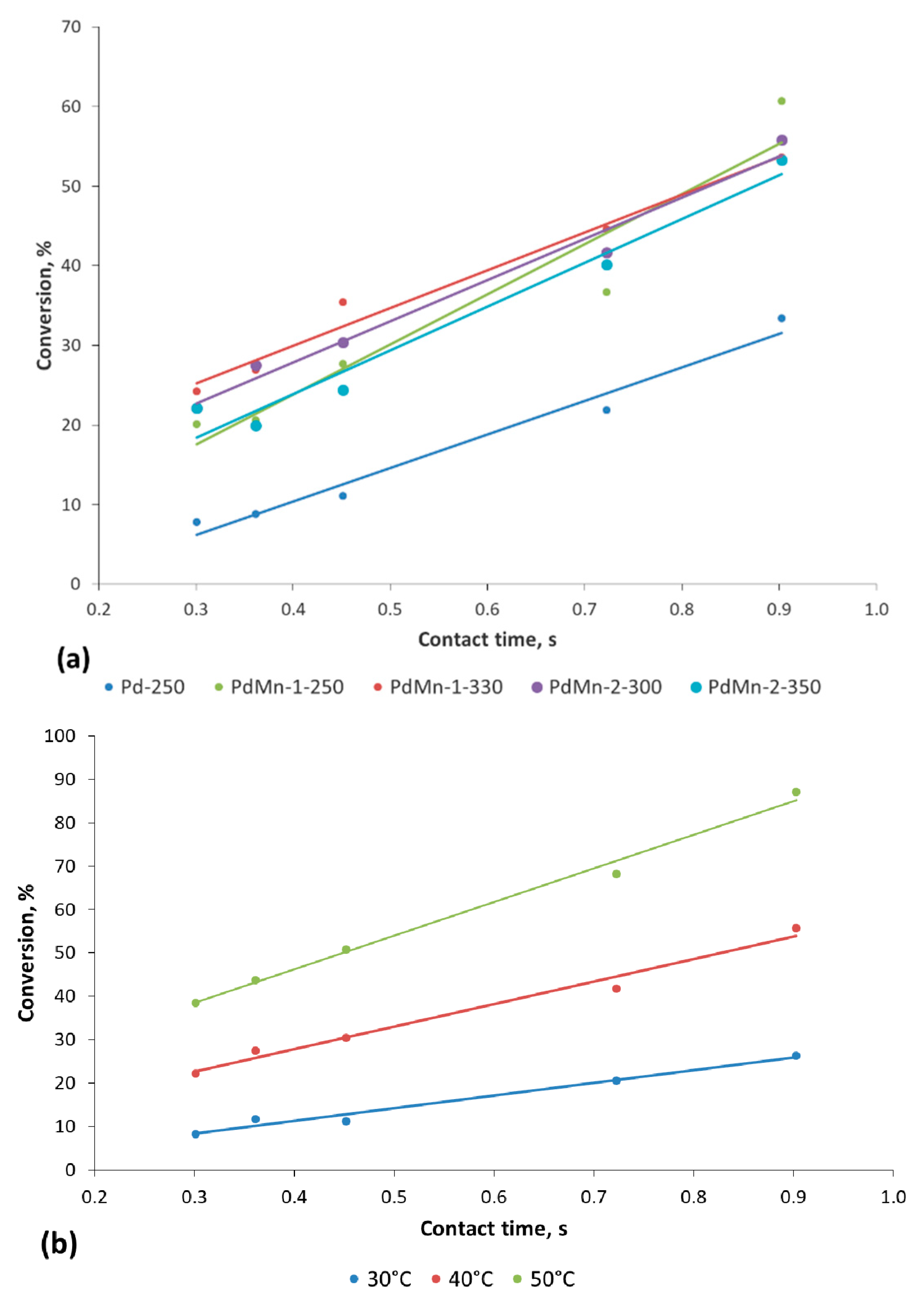
2.3. Catalytic Tests
3. Materials and Methods
3.1. Chemical Reagents
3.2. Catalysts Preparation
3.3. Catalyst Characterization
3.4. Catalystic Tests
4. Conclusions
Supplementary Materials
Author Contributions
Funding
Acknowledgments
Conflicts of Interest
References
- Arnold, H.; Döbert, F.; Gaube, J. Hydrogenation reactions. In Handbook of Heterogeneous Catalysis, 2nd ed.; Ertl, G., Knözinger, H., Schüth, F., Weitkamp, J., Eds.; Wiley-VCH Verlag GmbH&Co. KGaA: Weinheim, Germany, 2008; Volume 7, pp. 3266–3359. [Google Scholar]
- Stytsenko, V.D.; Mel’nikov, D.P. Selective Hydrogenation of Diene and Acetylene Compounds on Metal-Containing Catalysts. Russ. J. Phys. Chem. A 2016, 90, 932–942. [Google Scholar] [CrossRef]
- Huang, D.C.; Chang, K.H.; Pong, W.F.; Tseng, P.K.; Hung, K.J.; Huang, W.F. Effect of Ag-promotion on Pd catalysts by XANES. Catal. Lett. 1998, 53, 155–159. [Google Scholar] [CrossRef]
- Zhang, Q.; Li, J.; Liu, X.; Zhu, Q. Synergetic effect of Pd and Ag dispersed on Al2O3 in the selective hydrogenation of acetylene. Appl. Catal. A Gen. 2000, 197, 221–228. [Google Scholar] [CrossRef]
- Pei, G.X.; Liu, X.Y.; Wang, A.; Lee, A.F.; Isaacs, M.A.; Li, L.; Pan, X.; Yang, X.; Wang, X.; Tai, Z.; et al. Ag alloyed Pd single-atom catalysts for efficient selective hydrogenation of acetylene to ethylene in excess ethylene. Acs Catal. 2015, 5, 3717–3725. [Google Scholar] [CrossRef]
- Zhang, Y.; Diao, W.; Williams, C.T.; Monnier, J.R. Selective hydrogenation of acetylene in excess ethylene using Ag- and Au-Pd/SiO2 bimetallic catalysts prepared by electroless deposition. Appl. Catal. A Gen. 2014, 469, 419–426. [Google Scholar] [CrossRef]
- Zhang, Y.; Diao, W.; Monnier, J.R.; Williams, C.T. Pd-Ag/SiO2 bimetallic catalysts prepared by galvanic displacement for selective hydrogenation of acetylene in excess ethylene. Catal. Sci. Technol. 2015, 5, 4123–4132. [Google Scholar] [CrossRef]
- Kuhn, M.; Lucas, M.; Claus, P. Long-time stability vs deactivation of Pd-Ag/Al2O3 egg-shell catalysts in selective hydrogenation of acetylene. Ind. Eng. Chem. Res. 2015, 54, 6683–6691. [Google Scholar] [CrossRef]
- Ahn, I.Y.; Lee, J.H.; Kim, S.K.; Moon, S.H. Three-stage deactivation of Pd/SiO2 and Pd-Ag/SiO2. Appl. Catal. A Gen. 2009, 360, 38–42. [Google Scholar] [CrossRef]
- Shin, E.W.; Choi, C.H.; Chang, K.S.; Na, Y.H.; Moon, S.H. Properties of Si-modified Pd catalyst for selective hydrogenation of acetylene. Catal. Today 1998, 44, 137–143. [Google Scholar] [CrossRef]
- Osswald, J.; Giedigkeit, R.; Jentoft, R.E.; Armbrüster, M.; Girgsdies, F.; Kovnir, K.; Ressler, T.; Grin, Y.; Schlögl, R. Palladium–gallium intermetallic compounds for the selective hydrogenation of acetylene: Part I: Preparation and structural investigation under reaction conditions. J. Catal. 2008, 258, 210–218. [Google Scholar] [CrossRef]
- Osswald, J.; Kovnir, K.; Armbrüster, M.; Giedigkeit, R.; Jentoft, R.E.; Wild, U.; Grin, Y.; Schlögl, R. Palladium-gallium intermetallic compounds for the selective hydrogenation of acetylene: Part II: Surface characterization and catalytic performance. J. Catal. 2008, 258, 219–227. [Google Scholar] [CrossRef]
- Armbrüster, M.; Kovnir, K.; Behrens, M.; Teschner, D.; Grin, Y.; Schlögl, R. Pd-Ga intermetallic compounds as highly selective semihydrogenation catalysts. J. Am. Chem. Soc. 2010, 132, 14745–14747. [Google Scholar] [CrossRef] [PubMed]
- Esmaeili, E.; Rashidi, A.M.; Khodadadi, A.A.; Mortazavi, Y.; Rashidzadeh, M. Palladium-Tin nanocatalyst in high concentration acetylene hydrogenation: A novel deactivation mechanism. Fuel Process. Technol. 2014, 120, 112–122. [Google Scholar] [CrossRef]
- Kim, S.K.; Lee, J.H.; Ahn, I.Y.; Kim, W.J.; Moon, S.H. Performance of Cu-promoted Pd catalysts prepared by adding Cu using a surface redox method in acetylene hydrogenation. Appl. Catal. A Gen. 2011, 401, 12–19. [Google Scholar] [CrossRef]
- Cao, X.; Mirjalili, A.; Wheeler, J.; Xie, W.; Jang, B.W.L. Investigation of the preparation methodologies of Pd-Cu single atom alloy catalysts for selective hydrogenation of acetylene. Front. Chem. Sci. Eng. 2015, 9, 442–449. [Google Scholar] [CrossRef]
- Studt, F.; Abild-Pedersen, F.; Bligaard, T.; Sørensen, R.Z.; Christensen, C.H.; Nørskov, J.K. Identification of non-precious metal alloy catalysts for selective hydrogenation of acetylene. Science 2008, 320, 1320–1322. [Google Scholar] [CrossRef]
- McCue, A.J.; Guerrero-Ruiz, A.; Ramirez-Barria, C.; Rodríguez-Ramos, I.; Anderson, J.A. Selective hydrogenation of mixed alkyne/alkene streams at elevated pressure over a palladium sulfide catalyst. J. Catal. 2017, 355, 40–52. [Google Scholar] [CrossRef]
- McCue, A.J.; McRitchi, C.J.; Shepherd, A.M.; Anderson, J.A. Cu/Al2O3 catalysts modified with Pd for selective acetylene hydrogenation. J. Catal. 2014, 319, 127–135. [Google Scholar] [CrossRef]
- Chinayon, S.; Mekasuwandumrong, O.; Praserthdam, P.; Panpranot, J. Selective hydrogenation of acetylene over Pd catalysts supported on nanocrystalline α-Al2O3 and Zn-modified α-Al2O3. Catal. Commun. 2008, 9, 2297–2302. [Google Scholar] [CrossRef]
- Mashkovsky, I.S.; Baeva, G.N.; Stakheev, A.Y.; Vargaftik, M.N.; Kozitsyna, N.Y.; Moiseev, I.I. Novel Pd-Zn/C catalyst for selective alkyne hydrogenation: Evidence for the formation of Pd-Zn bimetallic alloy particles. Mendeleev Commun. 2014, 24, 355–357. [Google Scholar] [CrossRef]
- Stytsenko, V.D.; Mel’nikov, D.P.; Tkachenko, O.P.; Savel’eva, E.V.; Semenov, A.P.; Kustov, L.M. Selective Hydrogenation of Acetylene and Physicochemical Properties of Pd-Fe/Al2O3 Bimetallic Catalysts. Russ. J. Phys. Chem. A 2018, 92, 862–869. [Google Scholar] [CrossRef]
- Jia, J.; Haraki, K.; Kondo, J.N.; Domen, K.; Tamaru, K. Selective hydrogenation of acetylene over Au/Al2O3 catalyst. J. Phys. Chem. B 2000, 104, 11153–11156. [Google Scholar] [CrossRef]
- Choudhary, T.V.; Sivadinarayana, C.; Datye, A.K.; Kumar, D.; Goodman, D.W. Acetylene hydrogenation on Au-based catalysts. Catal. Lett. 2003, 86, 1–8. [Google Scholar] [CrossRef]
- Cao, Y.; Sui, Z.; Zhu, Y.; Zhou, X.; Chen, D. Selective Hydrogenation of Acetylene over Pd-In/Al2O3 Catalyst: Promotional Effect of Indium and Composition-Dependent Performance. ACS Catal. 2017, 7, 7835–7846. [Google Scholar] [CrossRef]
- Spanjers, C.S.; Held, J.T.; Jones, M.J.; Stanley, D.D.; Sim, R.S.; Janik, M.J.; Rioux, R.M. Zinc inclusion to heterogeneous nickel catalysts reduces oligomerization during the semi-hydrogenation of acetylene. J. Catal. 2014, 316, 164–173. [Google Scholar] [CrossRef]
- Tkachenko, O.P.; Stakheev, A.Y.; Kustov, L.M.; Mashkovsky, I.V.; van den Berg, M.; Grünert, W.; Kozitsyna, N.Y.; Dobrokhotova, Z.V.; Zhilov, V.I.; Nefedov, S.E.; et al. An easy way to Pd-Zn nanoalloy with defined composition from a heterometallic Pd(µ-OOCMe)4Zn(OH2) complex as evidenced by XAFS and XRD. Catal. Lett. 2006, 112, 155–161. [Google Scholar] [CrossRef]
- Vinokurov, V.A.; Stavitskaya, A.V.; Chudakov, Y.A.; Glotov, A.P.; Ivanov, E.V.; Gushchin, P.A.; Lvov, Y.M.; Maximov, A.L.; Muradov, A.V.; Karakhanov, E.A. Core-shell nanoarchitecture; Schiff-base assisted synthesis of ruthenium in clay nanotubes. Pure Appl. Chem. 2018, 90, 825–832. [Google Scholar] [CrossRef]
- Vinokurov, V.A.; Stavitskaya, A.V.; Glotov, A.P.; Novikov, A.A.; Zolotukhina, A.V.; Kotelev, M.S.; Gushchin, P.A.; Ivanov, E.V.; Darrat, Y.; Lvov, Y.M. Nanoparticles Formed onto/into Halloysite Clay Tubules: Architectural Synthesis and Applications. Chem. Rec. 2018, 18, 858–867. [Google Scholar] [CrossRef]
- Vinokurov, V.; Glotov, A.; Chudakov, Y.; Stavitskaya, A.; Ivanov, E.; Gushchin, P.; Zolotukhina, A.; Maximov, A.; Karakhanov, E.; Lvov, Y. Core/Shell Ruthenium–Halloysite Nanocatalysts for Hydrogenation of Phenol. Ind. Eng. Chem. Res. 2017, 56, 14043–14052. [Google Scholar] [CrossRef]
- Glotov, A.; Levshakov, N.; Stavitskaya, A.; Artemova, M.; Gushchin, P.; Ivanov, E.; Vinokurov, V.; Lvov, Y. Templated Self-Assembly of Ordered Mesoporous Silica on Clay Nanotubes. Chem. Commun. 2019, 55, 5507–5510. [Google Scholar] [CrossRef]
- Kang, J.H.; Shin, E.W.; Kim, W.J.; Park, J.D.; Moon, S.H. Selective hydrogenation of acetylene on Pd/SiO2 catalysts promoted with Ti, Nb and Ce oxides. Catal. Today 2000, 63, 183–188. [Google Scholar] [CrossRef]
- Kang, J.H.; Shin, E.W.; Kim, W.J.; Park, J.D.; Moon, S.H. Selective hydrogenation of acetylene on TiO2-added Pd catalysts. J. Catal. 2002, 208, 310–320. [Google Scholar] [CrossRef]
- Gulyaeva, Y.K.; Kaichev, V.V.; Zaikovskii, V.I.; Kovalyov, E.V.; Suknev, A.P.; Bal’zhinimaev, B.S. Selective hydrogenation of acetylene over novel Pd/fiberglass catalysts. Catal. Today 2015, 245, 139–146. [Google Scholar] [CrossRef]
- Gulyaeva, Y.K.; Kaichev, V.V.; Zaikovskii, V.I.; Suknev, A.P.; Bal’zhinimaev, B.S. Selective hydrogenation of acetylene over Pd/Fiberglass catalysts: Kinetic and isotopic studies. Appl. Catal. A Gen. 2015, 506, 197–205. [Google Scholar] [CrossRef]
- Shesterkina, A.A.; Kozlova, L.M.; Kirichenko, O.A.; Kapustin, G.I.; Mishin, I.V.; Kustov, L.M. Influence of the thermal treatment conditions and composition of bimetallic catalysts Fe-Pd/SiO2 on the catalytic properties in phenylacetylene hydrogenation. Russ. Chem. Bull. 2016, 65, 432–439. [Google Scholar] [CrossRef]
- Shesterkina, A.A.; Kozlova, L.M.; Mishin, I.V.; Tkachenko, O.P.; Kapustin, G.I.; Zakharov, V.P.; Vlaskin, M.S.; Zhuk, A.Z.; Kirichenko, O.A.; Kustov, L.M. Novel Fe-Pd/γ-Al2O3 catalysts for the selective hydrogenation of C≡C bonds under mild conditions. Mendeleev Commun. 2019, 29, 339–342. [Google Scholar] [CrossRef]
- Rozovskii, A.Y.; Stytsenko, V.D.; Nizova, S.A.; Belov, P.S.; Dyakonov, A.Y. Catalyst for dehydrogenation of oxygen containing dervatives of the cyclohexane series into corresponding cyclic ketones and/or phenols. U.S. Patent 4,363,750, 14 December 1982. [Google Scholar]
- Rozovskii, A.Y.; Stytsenko, V.D.; Nizova, S.A.; Belov, P.S.; Dyakonov, A.Y. Catalyst for dehydrogenation oxygen-containing dervatives of the cyclohexane series into the corresponding cyclic ketones and/or phenols. U.S. Patent 4,415,477, 15 November 1983. [Google Scholar]
- Rozovskii, A.Y.; Stytsenko, V.D.; Nizova, S.A.; Belov, P.S.; Dyakonov, A.Y. Catalyst and process for dehydrogenation of oxygen-containing dervatives of the cyclohexane series into corresponding cyclic ketones and/orphenols. U.S. Patent 4,417,076, 22 November 1983. [Google Scholar]
- Stytsenko, V.D. Surface modified bimetallic catalysts: Preparation, characterization, and applications. Appl. Catal. A 1995, 126, 1–26. [Google Scholar] [CrossRef]
- Agnelli, M.; Louessard, P.; El Mansour, A.; Candy, J.P.; Bournonville, J.P.; Basset, J.M. Surface organometallic chemistry on metals preparation of new selective bimetallic catalysts by reaction of tetra-n-butyl tin with silica supported Rh, Ru and Ni. Catal. Today 1989, 6, 63–72. [Google Scholar] [CrossRef]
- Adúriz, H.R.; Gígola, C.E.; Sica, A.M.; Volpe, M.A.; Touroude, R. Preparation and characterization of Pd-Pb catalysts for selective hydrogenation. Catal. Today 1992, 15, 459–467. [Google Scholar] [CrossRef]
- Glotov, A.; Stytsenko, V.; Artemova, M.; Kotelev, M.; Ivanov, E.; Gushchin, P.; Vinokurov, V. Hydroconversion of Aromatic Hydrocarbons over Bimetallic Catalysts. Catalysts 2019, 9, 384. [Google Scholar] [CrossRef]
- NIST Chemistry WebBook. Available online: https://webbook.nist.gov (accessed on 10 April 2020).
- Wang, S.Y.; Moon, S.H.; Vannice, M.A. The Effect of SMSI (Strong Metal-Support Interaction) Behavior on CO Adsorption and Hydrogenation on Pd Catalysts. J. Catal. 1981, 71, 167–174. [Google Scholar] [CrossRef]
- Lee, J.H.; Kim, S.K.; Ahn, I.Y.; Kim, W.J.; Moon, S.H. Performance of Ni-added Pd-Ag/Al2O3 catalysts in the selective hydrogenation of acetylene. Korean J. Chem. Eng. 2012, 29, 169–172. [Google Scholar] [CrossRef]
- Li, Z.Y.; Liu, Z.L.; Liang, J.C.; Xu, C.W.; Lu, X. Facile synthesis of Pd-Mn3O4/C as high efficient electrocatalyst for oxygen evolution reaction. J. Mater. Chem. A 2014, 2, 18236–18240. [Google Scholar] [CrossRef]
- Romano, C.A.; Zhou, M.; Song, Y.; Wysocki, V.H.; Dohnalkova, A.C.; Kovarik, L.; Paša-Tolić, L.; Tebo, B.M. Biogenic manganese oxide nanoparticle formation by a multimeric multicopper oxidase Mnx. Nat. Commun. 2017, 8, 1–8. [Google Scholar] [CrossRef] [PubMed]
- Yasmin, S.; Cho, S.; Jeon, S. Electrochemically reduced grapheme-oxide supported bimetallic nanoparticles highly efficient for oxygen reduction reaction with excellent methanol tolerance. Appl. Surf. Sci. 2018, 434, 905–912. [Google Scholar] [CrossRef]
- Wang, W.; Yuan, F.; Niu, X.; Zhu, Y. Preparation of Pd supported on La(Sr)-Mn-O Perovskite by microwave Irradiation Method and Its Catalytic Performances for the Methane Combustion. Sci. Rep. 2016, 6, 19511. [Google Scholar] [CrossRef]
- Kustov, L.M. New trends in IR-spectroscopic characterization of acid and basic sites in zeolites and oxide catalysts. Top. Catal. 1997, 4, 131–144. [Google Scholar] [CrossRef]
- Merck Webpage. Available online: https://www.sigmaaldrich.com/technical-documents/articles/biology/ir-spectrum-table.html (accessed on 18 May 2020).
- Lapinski, M.P.; Ekerdt, J.G. Infrared Identification of Adsorbed Surface Species on Ni/SiO2 and Ni/Al2O3 form Ethylene and Acetylene Adsorption. J. Phys. Chem. 1990, 94, 4599–4610. [Google Scholar] [CrossRef]
- Urmès, C.; Schweitzer, J.M.; Cabiac, C.; Schuurman, Y. Kinetic Study of the Selective Hydrogenation of Acetylene over Supported Palladium under Tail-End Conditions. Catalysts 2019, 9, 180. [Google Scholar] [CrossRef]
- Insorn, P.; Kitiyanan, B. Selective hydrogenation of mixed C4 containing high vinyl acetylene by Mn-Pd, Ni-Pd and Ag-Pd on Al2O3 catalysts. Catal. Today 2015, 256, 223–230. [Google Scholar] [CrossRef]







| Sample | Catalyst Composition 1 | Hydrogen Treatment Temperature, °C | BET Surface Area, m2/g | H2 Adsorption, μmol/g cat | Selectivity to Ethylene 2 at 40 °C, % |
|---|---|---|---|---|---|
| Pd-250 | 0.068%Pd | 250 | 133 | 1.20 | 70 |
| PdMn-1-250 | 0.068%Pd-0.029%Mn | 250 | 133 | 0.18 | 91 |
| PdMn-1-330 | 0.068%Pd-0.029%Mn | 330 | 131 | 1.10 | 80 |
| PdMn-2-300 | 0.068%Pd-0.063%Mn | 300 | 129 | 0.03 | 92 |
| PdMn-2-350 | 0.068%Pd-0.063%Mn | 350 | 128 | 0.04 | 89 |
| Article | Catalyst | T, K | P, bar | X, % | S, % | Activity, mol/g Pd/h | TOF (Turnover Frequency), s−1 |
|---|---|---|---|---|---|---|---|
| [12] | Pd30Ga70 | 473 | 1 | 99 | 71 | 0.012 1 | - |
| [24] | Pd-Au/TiO2 | 343 | 1 | 100 | 45 | ~0.283 2 | - |
| [25] | Pd-In/Al2O3 | 333 | 21 | ~85 | ~40 | - | 0.8 |
| [35] | Pd/Fiberglass | 328 | 1 | 80 | 60 | - | 0.55 |
| [8] | Pd20Ag80/Al2O3 | 303 | 10 | 67 | 72 | - | 0.5 |
| [22] | Pd-Fe/Al2O3 | 318 | 1 | 87 | 88 | 1.67 | 0.31 |
| This work | PdMn-2-300 | 313 | 1 | 87 | 81 | 4.22 | 0.74 |
© 2020 by the authors. Licensee MDPI, Basel, Switzerland. This article is an open access article distributed under the terms and conditions of the Creative Commons Attribution (CC BY) license (http://creativecommons.org/licenses/by/4.0/).
Share and Cite
Melnikov, D.; Stytsenko, V.; Saveleva, E.; Kotelev, M.; Lyubimenko, V.; Ivanov, E.; Glotov, A.; Vinokurov, V. Selective Hydrogenation of Acetylene over Pd-Mn/Al2O3 Catalysts. Catalysts 2020, 10, 624. https://doi.org/10.3390/catal10060624
Melnikov D, Stytsenko V, Saveleva E, Kotelev M, Lyubimenko V, Ivanov E, Glotov A, Vinokurov V. Selective Hydrogenation of Acetylene over Pd-Mn/Al2O3 Catalysts. Catalysts. 2020; 10(6):624. https://doi.org/10.3390/catal10060624
Chicago/Turabian StyleMelnikov, Dmitry, Valentine Stytsenko, Elena Saveleva, Mikhail Kotelev, Valentina Lyubimenko, Evgenii Ivanov, Aleksandr Glotov, and Vladimir Vinokurov. 2020. "Selective Hydrogenation of Acetylene over Pd-Mn/Al2O3 Catalysts" Catalysts 10, no. 6: 624. https://doi.org/10.3390/catal10060624
APA StyleMelnikov, D., Stytsenko, V., Saveleva, E., Kotelev, M., Lyubimenko, V., Ivanov, E., Glotov, A., & Vinokurov, V. (2020). Selective Hydrogenation of Acetylene over Pd-Mn/Al2O3 Catalysts. Catalysts, 10(6), 624. https://doi.org/10.3390/catal10060624

