Development and Internal Evaluation of AI-Assisted Cervical Muscle-Based Scores (FUNC-RISK) in Head and Neck Cancer: A Pilot Study
Simple Summary
Abstract
1. Introduction
2. Materials and Methods
2.1. Study Design and Patient Selection
2.2. Treatment, Recruitment Period and Follow-Up
2.3. Image Acquisition and Body Composition Analysis
2.4. Model Development and Statistical Analysis
3. Results
3.1. Patient’s Characteristics
3.2. Survival Analysis and Model Performance
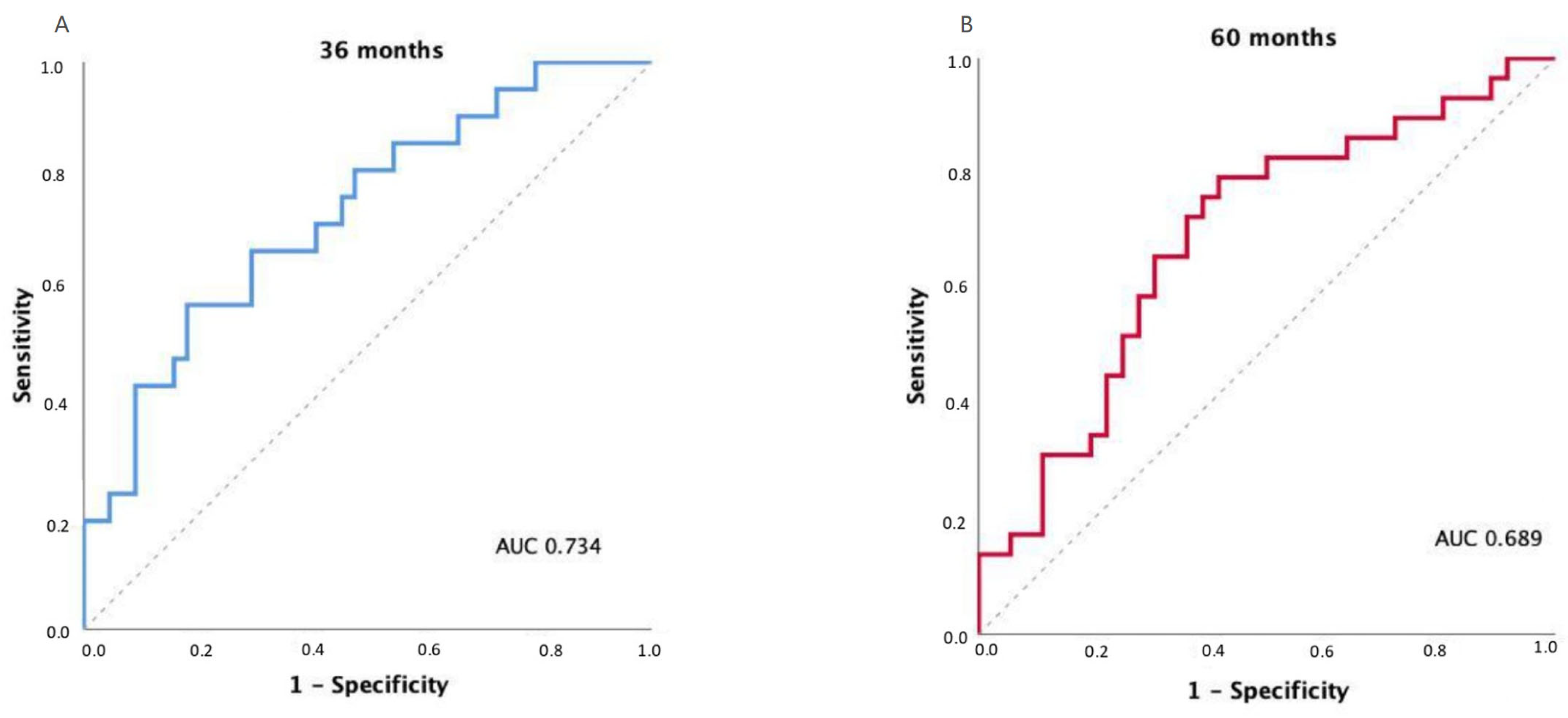
3.3. Model Discrimination (ROC Curves)
4. Discussion
4.1. Cervical Muscle Quantification and Prognostic Relevance
4.2. Artificial Intelligence and Automated Segmentation
4.3. Strengths
4.4. Limitations
4.5. Clinical Implications and Future Directions
5. Conclusions
Author Contributions
Funding
Institutional Review Board Statement
Informed Consent Statement
Data Availability Statement
Conflicts of Interest
References
- Bray, F.; Laversanne, M.; Sung, H.; Ferlay, J.; Siegel, R.L.; Soerjomataram, I.; Jemal, A. Global Cancer Statistics 2022: GLOBOCAN Estimates of Incidence and Mortality Worldwide for 36 Cancers in 185 Countries. CA A Cancer J. Clin. 2024, 74, 229–263. [Google Scholar] [CrossRef]
- Ye, Z.; Saraf, A.; Ravipati, Y.; Hoebers, F.; Catalano, P.J.; Zha, Y.; Zapaishchykova, A.; Likitlersuang, J.; Guthier, C.; Tishler, R.B.; et al. Development and Validation of an Automated Image-Based Deep Learning Platform for Sarcopenia Assessment in Head and Neck Cancer. JAMA Netw. Open 2023, 6, E2328280. [Google Scholar] [CrossRef]
- Almada-Correia, I.; Neves, P.M.; Mäkitie, A.; Ravasco, P. Body Composition Evaluation in Head and Neck Cancer Patients: A Review. Front. Oncol. 2019, 9, 1112. [Google Scholar] [CrossRef]
- Hata, A.; Muraguchi, Y.; Nakatsugawa, M.; Wang, X.; Song, J.; Wada, N.; Hino, T.; Aoyagi, K.; Kawagishi, M.; Negishi, T.; et al. Automated Chest CT Three-Dimensional Quantification of Body Composition: Adipose Tissue and Paravertebral Muscle. Sci. Rep. 2024, 14, 32117. [Google Scholar] [CrossRef] [PubMed]
- Broggi, G.; Maniaci, A.; Lentini, M.; Palicelli, A.; Zanelli, M.; Zizzo, M.; Koufopoulos, N.; Salzano, S.; Mazzucchelli, M.; Caltabiano, R. Artificial Intelligence in Head and Neck Cancer Diagnosis: A Comprehensive Review with Emphasis on Radiomics, Histopathological, and Molecular Applications. Cancers 2024, 16, 3623. [Google Scholar] [CrossRef] [PubMed]
- Galli, A.; Colombo, M.; Prizio, C.; Carrara, G.; Lira Luce, F.; Paesano, P.L.; Della Vecchia, G.; Giordano, L.; Bondi, S.; Tulli, M.; et al. Skeletal Muscle Depletion and Major Postoperative Complications in Locally-Advanced Head and Neck Cancer: A Comparison between Ultrasound of Rectus Femoris Muscle and Neck Cross-Sectional Imaging. Cancers 2022, 14, 347. [Google Scholar] [CrossRef] [PubMed]
- Takenaka, Y.; Takemoto, N.; Otsuka, T.; Nishio, M.; Tanida, M.; Fujii, T.; Hayashi, K.; Suzuki, M.; Mori, M.; Yamamoto, Y.; et al. Predictive Significance of Body Composition Indices in Patients with Head and Neck Squamous Cell Carcinoma Treated with Nivolumab: A Multicenter Retrospective Study. Oral. Oncol. 2022, 132, 106018. [Google Scholar] [CrossRef]
- Kimura, T.; Abe, D.; Kitano, M.; Koike, S.; Umemoto, M.; Miyamoto, K.; Sato, M.; Wakasaki, T.; Yasumatsu, R. Prognostic Impact of Sarcopenia on Clinical Outcomes in Patients With Recurrent and/or Metastatic Head and Neck Squamous Cell Carcinoma Treated With Immune Checkpoint Inhibitors. Cancer Diagn. Progn. 2025, 5, 597–605. [Google Scholar] [CrossRef]
- Miola, T.M.; Bitencourt, A.G.V.; Souza, J.d.O.; Kowalski, L.P.; Gonçalves Filho, J. Analysis of Muscle Mass by Computed Tomography in Patients with Head and Neck Cancer: A Prospective Study. Radiol. Bras. 2023, 56, 269–274. [Google Scholar] [CrossRef]
- Naser, M.A.; Wahid, K.A.; Grossberg, A.J.; Olson, B.; Jain, R.; El-Habashy, D.; Dede, C.; Salama, V.; Abobakr, M.; Mohamed, A.S.R.; et al. Deep Learning Auto-Segmentation of Cervical Skeletal Muscle for Sarcopenia Analysis in Patients with Head and Neck Cancer. Front. Oncol. 2022, 12, 930432. [Google Scholar] [CrossRef]
- Jovanovic, N.; Chinnery, T.; Mattonen, S.A.; Palma, D.A.; Doyle, P.C.; Theurer, J.A. Sarcopenia in Head and Neck Cancer: A Scoping Review. PLoS ONE 2022, 17, e0278135. [Google Scholar] [CrossRef] [PubMed]
- Kazmierski, M.; Welch, M.; Kim, S.; McIntosh, C.; Rey-McIntyre, K.; Huang, S.H.; Patel, T.; Tadic, T.; Milosevic, M.; Liu, F.F.; et al. Multi-Institutional Prognostic Modeling in Head and Neck Cancer: Evaluating Impact and Generalizability of Deep Learning and Radiomics. Cancer Res. Commun. 2023, 3, 1140–1151. [Google Scholar] [CrossRef] [PubMed]
- McGovern, J.; Dolan, R.D.; Simmons, C.; Daly, L.E.; Ryan, A.M.; Power, D.G.; Fallon, M.T.; Laird, B.J.; McMillan, D.C. Are CT-Derived Muscle Measurements Prognostic, Independent of Systemic Inflammation, in Good Performance Status Patients with Advanced Cancer? Cancers 2023, 15, 3497. [Google Scholar] [CrossRef] [PubMed]
- Troschel, F.M.; Troschel, B.O.; Kloss, M.; Troschel, A.S.; Pepper, N.B.; Wiewrodt, R.G.; Stummer, W.; Wiewrodt, D.; Theodor Eich, H. Cervical Body Composition on Radiotherapy Planning Computed Tomography Scans Predicts Overall Survival in Glioblastoma Patients. Clin. Transl. Radiat. Oncol. 2023, 40, 100621. [Google Scholar] [CrossRef]
- Rozynek, M.; Gut, D.; Kucybała, I.; Strzałkowska-Kominiak, E.; Tabor, Z.; Urbanik, A.; Kłęk, S.; Wojciechowski, W. Fully Automated 3D Body Composition Analysis and Its Association with Overall Survival in Head and Neck Squamous Cell Carcinoma Patients. Front. Oncol. 2023, 13, 1176425. [Google Scholar] [CrossRef]
- Urooj, B.; Ko, Y.; Na, S.; Kim, I.O.; Lee, E.H.; Cho, S.; Jeong, H.; Khang, S.; Lee, J.; Kim, K.W. Implementation of Fully Automated AI-Integrated System for Body Composition Assessment on Computed Tomography for Opportunistic Sarcopenia Screening: Multicenter Prospective Study. JMIR Form. Res. 2025, 9, e69940. [Google Scholar] [CrossRef]
- Pan, X.L.; Li, H.J.; Li, Z.; Li, Z.L. Prognostic Value of Computed Tomography Derived Skeletal Muscle Mass Index in Lung Cancer: A Meta-Analysis. World J. Clin. Cases 2022, 10, 6927–6935. [Google Scholar] [CrossRef]
- Ferrão, B.; Neves, P.M.; Santos, T.; Capelas, M.L.; Mäkitie, A.; Ravasco, P.R. Body Composition Changes in Patients with Head and Neck Cancer under Active Treatment: A Scoping Reviewtle. Support. Care Cancer 2020, 28, 4613–4625. [Google Scholar] [CrossRef]
- Sousa, I.M.; Gonzalez, M.C.; Bielemann, R.M.; Rocha, I.M.G.; Barbalho, E.R.; Carvalho, A.L.M.; Medeiros, G.O.C.; Silva, F.M.; Fayh, A.P.T. Agreement between Muscle Mass Assessments by Computed Tomography and Calf Circumference in Patients with Cancer: A Cross-Sectional Study. Clin. Nutr. ESPEN 2022, 47, 183–188. [Google Scholar] [CrossRef]
- Mäkitie, A.A.; Alabi, R.O.; Ng, S.P.; Takes, R.P.; Robbins, K.T.; Ronen, O.; Shaha, A.R.; Bradley, P.J.; Saba, N.F.; Nuyts, S.; et al. Artificial Intelligence in Head and Neck Cancer: A Systematic Review of Systematic Reviews. Adv. Ther. 2023, 40, 3360–3380. [Google Scholar] [CrossRef]
- Alayón, L.F.; Salas, B.; Fiorella, S.; Palmas, X.; Raquel, C.; Saavedra, D. Artificial Intelligence in Dysphagia Assessment: Evaluating Lingual Muscle Composition in Head and Neck Cancer. Clin. Transl. Oncol. 2025, 27, 3717–3731. [Google Scholar] [CrossRef] [PubMed]
- Hopanci Bicakli, D.; Ozkaya Akagunduz, O.; Meseri Dalak, R.; Esassolak, M.; Uslu, R.; Uyar, M. The Effects of Compliance with Nutritional Counselling on Body Composition Parameters in Head and Neck Cancer Patients under Radiotherapy. J. Nutr. Metab. 2017, 2017, 8631945. [Google Scholar] [CrossRef] [PubMed]
- Alayón, L.F.; Salas, B.S.; Diaz-Saavedra, R.C.; Ortiz, A.R.; Martin, J.Z.; Jimenez, P.C.L.; Sáez-Bravo, M.L. Screening Oropharyngeal Dysphagia in Patients with Head and Neck Cancer in a Radiation Oncology Department. Rep. Pract. Oncol. Radiother. 2024, 28, 756–763. [Google Scholar] [CrossRef]
- Cao, K.; Yeung, J.; Arafat, Y.; Qiao, J.; Gartrell, R.; Master, M.; Yeung, J.M.C.; Baird, P.N. Using a New Artificial Intelligence-Aided Method to Assess Body Composition CT Segmentation in Colorectal Cancer Patients. J. Med. Radiat. Sci. 2024, 71, 519–528. [Google Scholar] [CrossRef]
- Ordonez, F.B.; Xie, K.; Ferreira, A.; Siepmann, R.; Chargi, N.; Nebelung, S.; Truhn, D.; Bergé, S.; Bruners, P.; Egger, J.; et al. Skeletal Muscle Radiation Attenuation at C3 Predicts Survival in Head and Neck Cancer. Curr. Oncol. 2025, 32, 587. [Google Scholar] [CrossRef] [PubMed]
- Heusden, H.C.; Beers, M.A.; Schaeffers, A.W.M.A.; Swartz, E.; Swartz, J.E.; Bree, R. The Predictive and Prognostic Role of Radiologically de Fi Ned Sarcopenia in Head and Neck Cancer: A Systematic Review and Multi-Level Meta-Analysis. Br. J. Cancer 2025, 133, 131–143. [Google Scholar] [CrossRef]
- Swartz, J.E.; Pothen, A.J.; Wegner, I.; Smid, E.J.; Swart, K.M.A.; de Bree, R.; Leenen, L.P.H.; Grolman, W. Feasibility of Using Head and Neck CT Imaging to Assess Skeletal Muscle Mass in Head and Neck Cancer Patients. Oral. Oncol. 2016, 62, 28–33. [Google Scholar] [CrossRef]
- Chargi, N.; Bril, S.I.; Swartz, J.E.; Wegner, I.; Willems, S.M.; Bree, R. De Skeletal Muscle Mass Is an Imaging Biomarker for Decreased Survival in Patients with Oropharyngeal Squamous Cell Carcinoma. Oral. Oncol. 2020, 101, 104519. [Google Scholar] [CrossRef]
- Jung, A.R.; Roh, J.L.; Kim, J.S.; Kim, S.B.; Choi, S.H.; Nam, S.Y.; Kim, S.Y. Prognostic Value of Body Composition on Recurrence and Survival of Advanced-Stage Head and Neck Cancer. Eur. J. Cancer 2019, 116, 98–106. [Google Scholar] [CrossRef]
- Olson, B.; Edwards, J.; Degnin, C.; Santucci, N.; Buncke, M.; Hu, J.; Chen, Y.; Fuller, C.D.; Geltzeiler, M.; Grossberg, A.J.; et al. Establishment and Validation of Pre-Therapy Cervical Vertebrae Muscle Quantification as a Prognostic Marker of Sarcopenia in Patients With Head and Neck Cancer. Front. Oncol. 2022, 12, 812159. [Google Scholar] [CrossRef]



| Characteristic | Patients (%) | HR | 95% CI | p-Value |
|---|---|---|---|---|
| Age (years) (68.8 ± 10.4, range 48–90) | 1.036 | 0.997–1.075 | 0.069 | |
| Sex | 0.957 | 0.333–2.750 | 0.935 | |
| Male | 55 (84.6%) | |||
| Female | 10 (15.4%) | |||
| Tumoral stage | 0.836 | 0.35–1.99 | 0.676 | |
| E.I–II | 18 (27.7%) | |||
| E.III–IV | 47 (72.3%) | |||
| Tumor location | — | — | 0.182 | |
| Nasopharynx | 3 (4.6%) | |||
| Oral cavity | 25 (38.5%) | |||
| Hypopharynx | 7 (10.8%) | |||
| Larynx | 26 (40%) | |||
| Other * | 4 (6.1%) | |||
| Loco-regional treatment | 0.720 | 0.29–1.80 | 0.466 | |
| Radiotherapy | 37 (56.9%) | |||
| Surgery + radiotherapy | 28 (43.1%) | |||
| Systemic treatment | 1.011 | 0.47–2.18 | 0.977 | |
| No | 23 (35.4%) | |||
| Yes | 42 (64.6%) |
| Parameter | Mean ± SD | Median (IQR) | Range |
|---|---|---|---|
| Cervical SMI (cm2/m2) | 9.7 ± 1.9 | 9.6 (8.6–10.8) | 5.4–13.5 |
| IMAT (cm2) | 31.6 ± 9.5 | 31.0 (24.0–38.0) | 16.8–45.0 |
| Mean muscle attenuation (HU) | 37.9 ± 7.2 | 38.0 (33.0–43.0) | 20.0–48.0 |
| Variable | HR | 95% CI | p-Value |
|---|---|---|---|
| Univariable analysis | |||
| SMI (cm2/m2) | 0.715 | 0.563–0.909 | 0.006 |
| IMAT (cm2) | 0.929 | 0.864–0.999 | 0.047 |
| Mean muscle attenuation (HU) | 1.013 | 0.998–1.028 | 0.087 |
| Multivariable analysis | |||
| SMI (cm2/m2) | 0.695 | 0.529–0.913 | 0.009 |
| IMAT (cm2) | 0.917 | 0.843–0.996 | 0.041 |
| Mean muscle attenuation (HU) | 1.011 | 0.996–1.027 | 0.144 |
| Characteristic | Low Risk (n = 32) | High Risk (n = 33) | p-Value |
|---|---|---|---|
| Age, median (range) [years] | 68 (48–85) | 70 (50–90) | 0.121 |
| Gender | 7 (21.9%) females 25 (78.1%) males | 3 (9.1%) females 30 (90.9%) males | 0.044 |
| Tumor site | 0.295 | ||
| Nasopharynx | 1 (3.1%) | 2 (6.1%) | |
| Oral cavity | 14 (43.8%) | 11 (33.3%) | |
| Hypopharynx | 12 (37.5%) | 14 (42.4%) | |
| Larynx | 5 (15.6%) | 2 (6.1%) | |
| Other sites | 0 (0%) | 4 (12.1%) | |
| Clinical stage | 0.302 | ||
| Stage I–II | 7 (21.9%) | 11 (33.3%) | |
| Stage III–IV | 25 (78.1%) | 22 (66.7%) | |
| Systemic therapy | No = 10 (31.3%) Yes = 22 (68.8%) | No = 13 (39.4%) Yes = 20 (60.6%) | 0.492 |
Disclaimer/Publisher’s Note: The statements, opinions and data contained in all publications are solely those of the individual author(s) and contributor(s) and not of MDPI and/or the editor(s). MDPI and/or the editor(s) disclaim responsibility for any injury to people or property resulting from any ideas, methods, instructions or products referred to in the content. |
© 2025 by the authors. Licensee MDPI, Basel, Switzerland. This article is an open access article distributed under the terms and conditions of the Creative Commons Attribution (CC BY) license (https://creativecommons.org/licenses/by/4.0/).
Share and Cite
Ferrera-Alayón, L.; Palmas-Candia, F.X.; Salas-Salas, B.; González-Martín, J.M.; Diaz-Saavedra, R.; Ramos-Ortiz, A.; Lara, P.C.; Lloret Sáez-Bravo, M. Development and Internal Evaluation of AI-Assisted Cervical Muscle-Based Scores (FUNC-RISK) in Head and Neck Cancer: A Pilot Study. Cancers 2025, 17, 3968. https://doi.org/10.3390/cancers17243968
Ferrera-Alayón L, Palmas-Candia FX, Salas-Salas B, González-Martín JM, Diaz-Saavedra R, Ramos-Ortiz A, Lara PC, Lloret Sáez-Bravo M. Development and Internal Evaluation of AI-Assisted Cervical Muscle-Based Scores (FUNC-RISK) in Head and Neck Cancer: A Pilot Study. Cancers. 2025; 17(24):3968. https://doi.org/10.3390/cancers17243968
Chicago/Turabian StyleFerrera-Alayón, Laura, Fiorella Ximena Palmas-Candia, Barbara Salas-Salas, Jesús María González-Martín, Raquel Diaz-Saavedra, Anais Ramos-Ortiz, Pedro C. Lara, and Marta Lloret Sáez-Bravo. 2025. "Development and Internal Evaluation of AI-Assisted Cervical Muscle-Based Scores (FUNC-RISK) in Head and Neck Cancer: A Pilot Study" Cancers 17, no. 24: 3968. https://doi.org/10.3390/cancers17243968
APA StyleFerrera-Alayón, L., Palmas-Candia, F. X., Salas-Salas, B., González-Martín, J. M., Diaz-Saavedra, R., Ramos-Ortiz, A., Lara, P. C., & Lloret Sáez-Bravo, M. (2025). Development and Internal Evaluation of AI-Assisted Cervical Muscle-Based Scores (FUNC-RISK) in Head and Neck Cancer: A Pilot Study. Cancers, 17(24), 3968. https://doi.org/10.3390/cancers17243968

