Research on the Precise Differentiation of Pathological Subtypes of Non-Small Cell Lung Cancer Based on 18F-FDG PET/CT Radiomics Features
Abstract
Simple Summary
Abstract
1. Introduction
2. Materials and Methods
2.1. Study Design and Inclusion Criteria
2.2. PET/CT Image Acquisition and Tumor Segmentation
2.3. Radiomic Feature Extraction
2.4. Feature Selection
2.5. Establishment of the Models
2.6. Model Performances
3. Results
3.1. Patient Clinical Characteristics
3.2. Prediction as an Additional Value of PET Peritumoral Radiomics
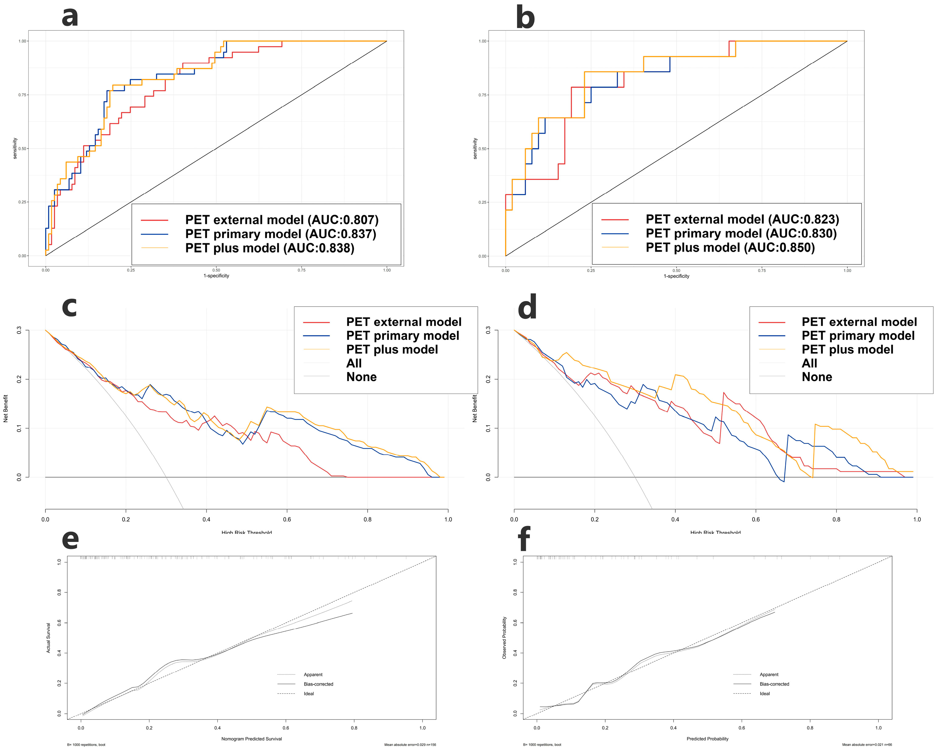
3.3. Model Optimization
3.4. Nomogram Construction of the PET/CT Plus and Clinical Model
3.5. Precise Differentiation of Pathological Subtypes of Non-Small Cell Lung Cancer
4. Discussion
5. Conclusions
Author Contributions
Funding
Institutional Review Board Statement
Informed Consent Statement
Data Availability Statement
Conflicts of Interest
Abbreviations
| PET/CT | Positron emission tomography/computed tomography |
| NSCLC | Non-small-cell lung cancer |
| LUAD | Lung adenocarcinoma |
| LUSC | Lung squamous cell carcinoma |
| Acc | Accuracy |
| Sen | Sensitivity |
| Spe | Specificity |
| ROC | Receiver operating curve |
| DCA | Decision curve analysis |
| AUC | Area under curve |
| CYFRA21-1 | Cytokeratin fragment antigen21-1 |
| Pro-GRP | Pro-gastrin-releasing peptide |
| SCCA | Squamous cell carcinoma antigen |
| CEA | Carcinoembryonic antigen |
| NSE | Neuron-specific enolase |
References
- Sung, H.; Ferlay, J.; Siegel, R.L.; Laversanne, M.; Soerjomataram, I.; Jemal, A.; Bray, F. Global Cancer Statistics 2020: GLOBOCAN Estimates of Incidence and Mortality Worldwide for 36 Cancers in 185 Countries. CA Cancer J. Clin. 2021, 71, 209–249. [Google Scholar] [CrossRef] [PubMed]
- Burel, J.; El Ayoubi, M.; Baste, J.M.; Garnier, M.; Montagne, F.; Dacher, J.N.; Demeyere, M. Surgery for lung cancer: Postoperative changes and complications-what the Radiologist needs to know. Insights Imaging 2021, 12, 116. [Google Scholar] [CrossRef]
- Rudin, C.M.; Brambilla, E.; Faivre-Finn, C.; Sage, J. Small-cell lung cancer. Nat. Rev. Dis. Primers 2021, 7, 3. [Google Scholar] [CrossRef] [PubMed]
- Siegel, R.L.; Miller, K.D.; Fuchs, H.E.; Jemal, A. Cancer statistics, 2022. CA Cancer J. Clin. 2022, 72, 7–33. [Google Scholar] [CrossRef]
- Eberhard, D.A.; Giaccone, G.; Johnson, B.E. Biomarkers of response to epidermal growth factor receptor inhibitors in Non-Small-Cell Lung Cancer Working Group: Standardization for use in the clinical trial setting. J. Clin. Oncol. 2008, 26, 983–994. [Google Scholar] [CrossRef]
- Herbst, R.S.; Heymach, J.V.; Lippman, S.M. Lung cancer. N. Engl. J. Med. 2008, 359, 1367–1380. [Google Scholar] [CrossRef]
- Rosell, R.; Karachaliou, N. Lung cancer in 2014: Optimizing lung cancer treatment approaches. Nat. Rev. Clin. Oncol. 2015, 12, 75–76. [Google Scholar] [CrossRef]
- Travis, W.D.; Brambilla, E.; Nicholson, A.G.; Yatabe, Y.; Austin, J.H.M.; Beasley, M.B.; Chirieac, L.R.; Dacic, S.; Duhig, E.; Flieder, D.B.; et al. The 2015 World Health Organization Classification of Lung Tumors: Impact of Genetic, Clinical and Radiologic Advances Since the 2004 Classification. J. Thorac. Oncol. 2015, 10, 1243–1260. [Google Scholar] [CrossRef]
- Herbst, R.S.; Morgensztern, D.; Boshoff, C. The biology and management of non-small cell lung cancer. Nature 2018, 553, 446–454. [Google Scholar] [CrossRef]
- Park, H.; Tseng, S.C.; Sholl, L.M.; Hatabu, H.; Awad, M.M.; Nishino, M. Molecular Characterization and Therapeutic Approaches to Small Cell Lung Cancer: Imaging Implications. Radiology 2022, 305, 512–525. [Google Scholar] [CrossRef] [PubMed]
- Wahl, R.L.; Jacene, H.; Kasamon, Y.; Lodge, M.A. From RECIST to PERCIST: Evolving Considerations for PET response criteria in solid tumors. J. Nucl. Med. 2009, 50 (Suppl. 1), 122S–150S. [Google Scholar] [CrossRef]
- de Margerie-Mellon, C.; de Bazelaire, C.; de Kerviler, E. Image-guided biopsy in primary lung cancer: Why, when and how. Diagn. Interv. Imaging 2016, 97, 965–972. [Google Scholar] [CrossRef]
- Jamal-Hanjani, M.; Wilson, G.A.; McGranahan, N.; Birkbak, N.J.; Watkins, T.B.K.; Veeriah, S.; Shafi, S.; Johnson, D.H.; Mitter, R.; Rosenthal, R.; et al. Tracking the Evolution of Non-Small-Cell Lung Cancer. N. Engl. J. Med. 2017, 376, 2109–2121. [Google Scholar] [CrossRef] [PubMed]
- Rolfo, C.; Mack, P.; Scagliotti, G.V.; Aggarwal, C.; Arcila, M.E.; Barlesi, F.; Bivona, T.; Diehn, M.; Dive, C.; Dziadziuszko, R.; et al. Liquid Biopsy for Advanced NSCLC: A Consensus Statement From the International Association for the Study of Lung Cancer. J. Thorac. Oncol. 2021, 16, 1647–1662. [Google Scholar] [CrossRef]
- Lambin, P.; Rios-Velazquez, E.; Leijenaar, R.; Carvalho, S.; van Stiphout, R.G.; Granton, P.; Zegers, C.M.; Gillies, R.; Boellard, R.; Dekker, A.; et al. Radiomics: Extracting more information from medical images using advanced feature analysis. Eur. J. Cancer 2012, 48, 441–446. [Google Scholar] [CrossRef] [PubMed]
- Lambin, P.; Leijenaar, R.T.H.; Deist, T.M.; Peerlings, J.; de Jong, E.E.C.; van Timmeren, J.; Sanduleanu, S.; Larue, R.; Even, A.J.G.; Jochems, A.; et al. Radiomics: The bridge between medical imaging and personalized medicine. Nat. Rev. Clin. Oncol. 2017, 14, 749–762. [Google Scholar] [CrossRef] [PubMed]
- Chetan, M.R.; Gleeson, F.V. Radiomics in predicting treatment response in non-small-cell lung cancer: Current status, challenges and future perspectives. Eur. Radiol. 2021, 31, 1049–1058. [Google Scholar] [CrossRef]
- Shi, L.; Zhao, J.; Wei, Z.; Wu, H.; Sheng, M. Radiomics in distinguishing between lung adenocarcinoma and lung squamous cell carcinoma: A systematic review and meta-analysis. Front. Oncol. 2024, 14, 1381217. [Google Scholar] [CrossRef]
- Bailo, M.; Pecco, N.; Callea, M.; Scifo, P.; Gagliardi, F.; Presotto, L.; Bettinardi, V.; Fallanca, F.; Mapelli, P.; Gianolli, L.; et al. Decoding the Heterogeneity of Malignant Gliomas by PET and MRI for Spatial Habitat Analysis of Hypoxia, Perfusion, and Diffusion Imaging: A Preliminary Study. Front. Neurosci. 2022, 16, 885291. [Google Scholar] [CrossRef]
- Christie, J.R.; Daher, O.; Abdelrazek, M.; Romine, P.E.; Malthaner, R.A.; Qiabi, M.; Nayak, R.; Napel, S.; Nair, V.S.; Mattonen, S.A. Predicting recurrence risks in lung cancer patients using multimodal radiomics and random survival forests. J. Med. Imaging 2022, 9, 066001. [Google Scholar] [CrossRef]
- Fiz, F.; Masci, C.; Costa, G.; Sollini, M.; Chiti, A.; Ieva, F.; Torzilli, G.; Viganò, L. PET/CT-based radiomics of mass-forming intrahepatic cholangiocarcinoma improves prediction of pathology data and survival. Eur. J. Nucl. Med. Mol. Imaging 2022, 49, 3387–3400. [Google Scholar] [CrossRef]
- Shang, F.; Tan, Z.; Gong, T.; Tang, X.; Sun, H.; Liu, S. Evaluation of parametrial infiltration in patients with IB-IIB cervical cancer by a radiomics model integrating features from tumoral and peritumoral regions in (18) F-fluorodeoxy glucose positron emission tomography/MR images. NMR Biomed. 2023, 36, e4945. [Google Scholar] [CrossRef] [PubMed]
- Vural Topuz, Ö.; Aksu, A.; Yılmaz Özgüven, M.B. A different perspective on (18)F-FDG PET radiomics in colorectal cancer patients: The relationship between intra & peritumoral analysis and pathological findings. Rev. Esp. Med. Nucl. Imagen Mol. 2023, 42, 359–366. [Google Scholar]
- Divisi, D.; Rinaldi, M.; Necozione, S.; Curcio, C.; Rea, F.; Zaraca, F.; De Vico, A.; Zaccagna, G.; Di Leonardo, G.; Crisci, R.; et al. Is It Possible to Establish a Reliable Correlation between Maximum Standardized Uptake Value of 18-Fluorine Fluorodeoxyglucose Positron Emission Tomography/Computed Tomography and Histological Types of Non-Small Cell Lung Cancer? Analysis of the Italian VATS Group Database. Diagnostics 2021, 11, 1901. [Google Scholar] [PubMed]
- Sverzellati, N.; Marrocchio, C. Deep learning-based radiomics: Pacing immunotherapy in lung cancer. Lancet Digit. Health 2023, 5, e396–e397. [Google Scholar] [CrossRef]
- Zhang, Y.; Liu, H.; Chang, C.; Yin, Y.; Wang, R. Machine learning for differentiating lung squamous cell cancer from adenocarcinoma using Clinical-Metabolic characteristics and 18F-FDG PET/CT radiomics. PLoS ONE 2024, 19, e0300170. [Google Scholar] [CrossRef] [PubMed]
- Haixian, L.; Shu, P.; Zhao, L.; Chunfeng, L.; Lun, L. Machine learning approaches for EGFR mutation status prediction in NSCLC: An updated systematic review. Front. Oncol. 2025, 15, 1576461. [Google Scholar] [CrossRef]
- Ma, Y.; Feng, W.; Wu, Z.; Liu, M.; Zhang, F.; Liang, Z.; Cui, C.; Huang, J.; Li, X.; Guo, X. Intra-tumoural heterogeneity characterization through texture and colour analysis for differentiation of non-small cell lung carcinoma subtypes. Phys. Med. Biol. 2018, 63, 165018. [Google Scholar] [CrossRef]
- Koyasu, S.; Nishio, M.; Isoda, H.; Nakamoto, Y.; Togashi, K. Usefulness of gradient tree boosting for predicting histological subtype and EGFR mutation status of non-small cell lung cancer on (18)F FDG-PET/CT. Ann. Nucl. Med. 2020, 34, 49–57. [Google Scholar] [CrossRef]
- Hosny, A.; Parmar, C.; Quackenbush, J.; Schwartz, L.H.; Aerts, H. Artificial intelligence in radiology. Nat. Rev. Cancer 2018, 18, 500–510. [Google Scholar] [CrossRef]
- Mayerhoefer, M.E.; Materka, A.; Langs, G.; Häggström, I.; Szczypiński, P.; Gibbs, P.; Cook, G. Introduction to Radiomics. J. Nucl. Med. 2020, 61, 488–495. [Google Scholar] [CrossRef]
- Ren, C.; Zhang, J.; Qi, M.; Zhang, J.; Zhang, Y.; Song, S.; Sun, Y.; Cheng, J. Machine learning based on clinico-biological features integrated (18)F-FDG PET/CT radiomics for distinguishing squamous cell carcinoma from adenocarcinoma of lung. Eur. J. Nucl. Med. Mol. Imaging 2021, 48, 1538–1549. [Google Scholar]
- Yang, Y.; Yang, X.; Wang, Y.; Xu, J.; Shen, H.; Gou, H.; Qin, X.; Jiang, G. Combined Consideration of Tumor-Associated Immune Cell Density and Immune Checkpoint Expression in the Peritumoral Microenvironment for Prognostic Stratification of Non-Small-Cell Lung Cancer Patients. Front. Immunol. 2022, 13, 811007. [Google Scholar]
- Wu, L.; Lou, X.; Kong, N.; Xu, M.; Gao, C. Can quantitative peritumoral CT radiomics features predict the prognosis of patients with non-small cell lung cancer? A systematic review. Eur. Radiol. 2023, 33, 2105–2117. [Google Scholar] [PubMed]
- Chen, Z.; Yi, L.; Peng, Z.; Zhou, J.; Zhang, Z.; Tao, Y.; Lin, Z.; He, A.; Jin, M.; Zuo, M. Development and validation of a radiomic nomogram based on pretherapy dual-energy CT for distinguishing adenocarcinoma from squamous cell carcinoma of the lung. Front. Oncol. 2022, 12, 949111. [Google Scholar] [CrossRef]
- Hannequin, P.; Decroisette, C.; Kermanach, P.; Berardi, G.; Bourbonne, V. FDG PET and CT radiomics in diagnosis and prognosis of non-small-cell lung cancer. Transl. Lung Cancer Res. 2022, 11, 2051–2063. [Google Scholar]
- Salimi, Y.; Hajianfar, G.; Mansouri, Z.; Sanaat, A.; Amini, M.; Shiri, I.; Zaidi, H. Organomics: A Concept Reflecting the Importance of PET/CT Healthy Organ Radiomics in Non-Small Cell Lung Cancer Prognosis Prediction Using Machine Learning. Clin. Nucl. Med. 2024, 49, 899–908. [Google Scholar]
- Ji, Y.; Qiu, Q.; Fu, J.; Cui, K.; Chen, X.; Xing, L.; Sun, X. Stage-Specific PET Radiomic Prediction Model for the Histological Subtype Classification of Non-Small-Cell Lung Cancer. Cancer Manag. Res. 2021, 13, 307–317. [Google Scholar] [PubMed]
- Tang, X.; Huang, H.; Du, P.; Wang, L.; Yin, H.; Xu, X. Intratumoral and peritumoral CT-based radiomics strategy reveals distinct subtypes of non-small-cell lung cancer. J. Cancer Res. Clin. Oncol. 2022, 148, 2247–2260. [Google Scholar]
- Safarian, A.; Mirshahvalad, S.A.; Nasrollahi, H.; Jung, T.; Pirich, C.; Arabi, H.; Beheshti, M. Impact of [(18)F]FDG PET/CT Radiomics and Artificial Intelligence in Clinical Decision Making in Lung Cancer: Its Current Role. Semin. Nucl. Med. 2025, 55, 156–166. [Google Scholar]
- Bianconi, F.; Palumbo, I.; Fravolini, M.L.; Chiari, R.; Minestrini, M.; Brunese, L.; Palumbo, B. Texture Analysis on [(18)F]FDG PET/CT in Non-Small-Cell Lung Cancer: Correlations Between PET Features, CT Features, and Histological Types. Mol. Imaging Biol. 2019, 21, 1200–1209. [Google Scholar] [CrossRef]
- Hyun, S.H.; Ahn, M.S.; Koh, Y.W.; Lee, S.J. A Machine-Learning Approach Using PET-Based Radiomics to Predict the Histological Subtypes of Lung Cancer. Clin. Nucl. Med. 2019, 44, 956–960. [Google Scholar] [CrossRef] [PubMed]
- Han, Y.; Ma, Y.; Wu, Z.; Zhang, F.; Zheng, D.; Liu, X.; Tao, L.; Liang, Z.; Yang, Z.; Li, X.; et al. Histologic subtype classification of non-small cell lung cancer using PET/CT images. Eur. J. Nucl. Med. Mol. Imaging 2021, 48, 350–360. [Google Scholar] [CrossRef]
- Shen, H.; Chen, L.; Liu, K.; Zhao, K.; Li, J.; Yu, L.; Ye, H.; Zhu, W. A subregion-based positron emission tomography/computed tomography (PET/CT) radiomics model for the classification of non-small cell lung cancer histopathological subtypes. Quant. Imaging Med. Surg. 2021, 11, 2918–2932. [Google Scholar] [CrossRef]
- Manafi-Farid, R.; Askari, E.; Shiri, I.; Pirich, C.; Asadi, M.; Khateri, M.; Zaidi, H.; Beheshti, M. [(18)F]FDG-PET/CT Radiomics and Artificial Intelligence in Lung Cancer: Technical Aspects and Potential Clinical Applications. Semin. Nucl. Med. 2022, 52, 759–780. [Google Scholar] [CrossRef]
- Zhao, H.; Su, Y.; Wang, M.; Lyu, Z.; Xu, P.; Jiao, Y.; Zhang, L.; Han, W.; Tian, L.; Fu, P. The Machine Learning Model for Distinguishing Pathological Subtypes of Non-Small Cell Lung Cancer. Front. Oncol. 2022, 12, 875761. [Google Scholar] [CrossRef]
- Li, X.R.; Jin, J.J.; Yu, Y.; Wang, X.H.; Guo, Y.; Sun, H.Z. PET-CT radiomics by integrating primary tumor and peritumoral areas predicts E-cadherin expression and correlates with pelvic lymph node metastasis in early-stage cervical cancer. Eur. Radiol. 2021, 31, 5967–5979. [Google Scholar] [CrossRef] [PubMed]
- Bauckneht, M.; Genova, C.; Rossi, G.; Rijavec, E.; Dal Bello, M.G.; Ferrarazzo, G.; Tagliamento, M.; Donegani, M.I.; Biello, F.; Chiola, S.; et al. The Role of the Immune Metabolic Prognostic Index in Patients with Non-Small Cell Lung Cancer (NSCLC) in Radiological Progression during Treatment with Nivolumab. Cancers 2021, 13, 3117. [Google Scholar] [CrossRef] [PubMed]







| PET | CT | |
|---|---|---|
| First order | CONVENTIONAL_SUVbwmin | CONVENTIONAL_HUmin |
| CONVENTIONAL_SUVbwmean | CONVENTIONAL_HUmean | |
| CONVENTIONAL_SUVbwstd | CONVENTIONAL_HUstd | |
| CONVENTIONAL_SUVbwmax | CONVENTIONAL_HUmax | |
| CONVENTIONAL_SUVbwQ(1,2,3) | CONVENTIONAL_HUQ(1,2,3) | |
| CONVENTIONAL_SUVbwSkewness | CONVENTIONAL_HUSkewness | |
| CONVENTIONAL_SUVbwKurtosis | CONVENTIONAL_HUKurtosis | |
| CONVENTIONAL_SUVbwExcessKurtosis | CONVENTIONAL_HUExcessKurtosis | |
| CONVENTIONAL_SUVbwpeakSphere0.5mL(value only for PET or NM) | CONVENTIONAL_HUcalciumAgatston Score[onlyForCT] | |
| CONVENTIONAL_SUVbwpeakSphere1mL (value only for PET or NM) | ||
| CONVENTIONAL_TLG(mL) [onlyForPETorNM] | ||
| SHAPE_Volume(mL) | SHAPE_Volume(mL) | |
| SHAPE_Volume(vx) | SHAPE_Volume(vx) | |
| SHAPE_Sphericity[onlyFor3DROI]) | SHAPE_Sphericity[onlyFor3DROI]) | |
| SHAPE_Surface(mm2)[onlyFor3DROI] | SHAPE_Surface(mm2)[onlyFor3DROI] | |
| SHAPE_Compacity[onlyFor3DROI] | SHAPE_Compacity[onlyFor3DROI] | |
| GLCM | GLCM_Homogeneity [=InverseDifference] | GLCM_Homogeneity [=InverseDifference] |
| GLCM_Energy[=AngularSecondMoment] | GLCM_Energy[=AngularSecondMoment] | |
| GLCM_Contrast[=Variance] | GLCM_Contrast[=Variance] | |
| GLCM_Correlation | GLCM_Correlation | |
| GLCM_Entropy_log10 | GLCM_Entropy_log10 | |
| GLCM_Entropy_log2[=JointEntropy] | GLCM_Entropy_log2[=JointEntropy] | |
| GLCM_Dissimilarity | GLCM_Dissimilarity | |
| GLRLM | GLRLM_SRE | GLRLM_SRE |
| GLRLM_LRE | GLRLM_LRE | |
| GLRLM_LGRE | GLRLM_LGRE | |
| GLRLM_HGRE | GLRLM_HGRE | |
| GLRLM_SRLGE | GLRLM_SRLGE | |
| GLRLM_SRHGE | GLRLM_SRHGE | |
| GLRLM_LRLGE | GLRLM_LRLGE | |
| GLRLM_LRHGE | GLRLM_LRHGE | |
| GLRLM_GLNU | GLRLM_GLNU | |
| GLRLM_RLNU | GLRLM_RLNU | |
| GLRLM_RP | GLRLM_RP | |
| NGLDM | NGLDM_Coarseness | NGLDM_Coarseness |
| NGLDM_Contrast | NGLDM_Contrast | |
| NGLDM_Busyness | NGLDM_Busyness | |
| GLZLM | GLZLM_SZE | GLZLM_SZE |
| GLZLM_LZE | GLZLM_LZE | |
| GLZLM_LGZE | GLZLM_LGZE | |
| GLZLM_HGZE | GLZLM_HGZE | |
| GLZLM_SZLGE | GLZLM_SZLGE | |
| GLZLM_SZHGE | GLZLM_SZHGE | |
| GLZLM_LZLGE | GLZLM_LZLGE | |
| GLZLM_LZHGE | GLZLM_LZHGE | |
| GLZLM_GLNU | GLZLM_GLNU | |
| GLZLM_ZLNU | GLZLM_ZLNU | |
| GLZLM_ZP | GLZLM_ZP |
| Characteristics | Training Cohort N = 156 | p Value | Testing Cohort N = 66 | p Value | ||
|---|---|---|---|---|---|---|
| Pathological subtype | LUAD = 117 | LUSC = 39 | LUAD = 52 | LUSC = 14 | ||
| age (mean ± SD) | 62.42 ± 9.66 | 62.05 ± 8.55 | 0.833 | 60.04 ± 8.93 | 62.07 ± 11.01 | 0.475 |
| sex (%) | 1.000 | 0.724 | ||||
| male | 71(60.7) | 23(59.0) | 36 (69.2) | 11 (78.6) | ||
| female | 46 (39.3) | 16 (41.0) | 16 (30.8) | 3 (21.4) | ||
| Smoking Status | <0.001 | 0.003 | ||||
| Current or ever | 58(49.6) | 35(89.7) | 19 (46.5) | 12 (85.7) | ||
| Non | 59 (50.4) | 4 (10.3) | 33 (63.5) | 2 (14.3) | ||
| Tumor Location (%) | 0.054 | 0.893 | ||||
| central | 20 (17.1) | 13 (33.3) | 8 (15.4) | 3 (21.4) | ||
| peripheral | 97 (82.9) | 23 (66.7) | 44 (84.6) | 11 (78.6) | ||
| Maximum diameter of tumor (%) | 0.188 | 1.000 | ||||
| >3 cm | 65 (55.6) | 27 (69.2) | 36 (73.1) | 8 (71.4) | ||
| <3 cm | 52 (44.4) | 12 (30.8) | 16 (26.9) | 6 (28.6) | ||
| lymph node metastasis (%) | 1.000 | 0.941 | ||||
| yes | 36 (30.8) | 12 (30.8) | 12 (23.1) | 4 (28.6) | ||
| no | 81 (69.2) | 27 (69.2) | 30 (76.9) | 8 (71.4) | ||
| T stage (%) | 0.869 | 0.716 | ||||
| T1 | 36 (30.8) | 13 (33.3) | 7 (13.5) | 3 (21.4) | ||
| T2 | 56 (47.9) | 20 (51.3) | 38 (73.1) | 8 (57.1) | ||
| T3 | 11 (9.4) | 3 (7.7) | 5 (9.6) | 2 (14.3) | ||
| T4 | 14 (12.0) | 3 (7.7) | 2 (3.8) | 1 (7.1) | ||
| N stage (%) | 0.770 | 0.782 | ||||
| N0 | 81 (69.2) | 27 (69.2) | 40 (76.9) | 10 (71.4) | ||
| N1 | 12 (10.3) | 5 (12.8) | 3 (5.8) | 1 (7.1) | ||
| N2 | 23 (19.7) | 6 (15.4) | 8 (15.4) | 2 (14.3) | ||
| N3 | 1 (0.9) | 1 (2.6) | 1 (1.9) | 1 (7.1) | ||
| M stage (%) | 1.000 | 0.671 | ||||
| M0 | 107 (91.5) | 36 (92.3) | 49 (94.2) | 12 (85.7) | ||
| M1 | 10 (8.5) | 3 (7.7) | 3 (5.8) | 2 (14.3) | ||
| AJCC TNM stage (%) | 0.623 | 0.502 | ||||
| I | 63 (53.8) | 19 (48.7) | 29 (55.8) | 8 (57.1) | ||
| II | 14 (12.0) | 8 (20.5) | 11 (21.2) | 1 (7.1) | ||
| III | 30 (25.6) | 9 (23.1) | 9 (17.3) | 3 (21.4) | ||
| IV | 10 (8.5) | 3 (7.7) | 3 (5.8) | 2 (14.3) | ||
| CYFRA21-1 (mean ± SD) | 4.79 ± 2.91 | 7.19 ± 4.58 | <0.001 | 5.62 ± 2.77 | 12.4 ± 5.20 | 0.003 |
| Pro-GRP (mean ± SD) | 49.76 ± 11.65 | 50.48 ± 13.57 | 0.749 | 50.55 ± 13.27 | 42.15 ± 10.42 | 0.032 |
| SCCA (median [IQR]) | 1.30 (0.80, 84.49) | 2.00 (1.15, 84.49) | 0.362 | 49.29 (0.80, 84.49) | 6.50 (3.88, 9.20) | 0.750 |
| CEA (median [IQR]) | 6.80 (3.10, 33.85) | 4.20 (2.35, 33.85) | 0.116 | 31.27 (3.00, 33.85) | 4.15 (2.58, 6.05) | 0.035 |
| NSE (median [IQR]) | 11.75 (9.70, 11.80) | 11.75 (11.40, 15.05) | 0.009 | 11.75 (9.67, 11.75) | 10.72 (2.90, 13.07) | 0.532 |
| Group | Model | Testing Cohort | |||
|---|---|---|---|---|---|
| AUC | ACC | Sen | Spe | ||
| Three models corresponding to λ.1se of Lasso regression | PET Primary model | 0.823 (0.663–0.927) | 0.818 (0.672–0.894) | 0.786 (0.567–0.979) | 0.750 (0.630–0.860) |
| PET External model | 0.830 (0.679–0.924) | 0.820 (0.683–0.971) | 0.786 (0.466–0.938) | 0.808 (0.667–0.939) | |
| PET plus model | 0.850 (0.684–0.939) | 0.818 (0.697–0.893) | 0.857 (0.549–1.000) | 0.769 (0.654–0.873) | |
| Four groups corresponding to λ.min of Lasso regression | CT plus model | 0.804 (0.594–0.919) | 0.818 (0.678–0.894) | 0.714 (0.383–0.928) | 0.865 (0.722–0.972) |
| PET plus model | 0.848 (0.702–0.935) | 0.818 (0.703–0.873) | 0.857 (0.652–1.000) | 0.769 (0.639–0.848) | |
| PET/CT plus model | 0.857 (0.649–0.955) | 0.864 (0.727–0.939) | 0.786 (0.443–0.938) | 0.907 (0.691–0.917) | |
| PET/CT plus and clinical model | 0.880 (0.697–0.979) | 0.909 (0.818–0.984) | 0.714 (0.389–0.906) | 0.962 (0.829–1.000) | |
| Model | 1000-Bootstrap | Ten-Fold Cross-Validation | |
|---|---|---|---|
| C Index | Average C Index | ||
| Three models corresponding to λ.1se of Lasso regression | PET Primary model | 0.813 (0.716–0.911) | 0.847 |
| PET External model | 0.799 (0.698–0.900) | 0.823 | |
| PET plus model | 0.807 (0.705–0.910) | 0.850 | |
| Four groups corresponding to λ.min of Lasso regression | CT plus model | 0.730 (0.596–0.864) | 0.804 |
| PET plus model | 0.781 (0.670–0.892) | 0.848 | |
| PET/CT plus model | 0.801 (0.692–0.909) | 0.857 | |
| PET/CT plus and clinical model | 0.826 (0.721–0.930) | 0.880 |
Disclaimer/Publisher’s Note: The statements, opinions and data contained in all publications are solely those of the individual author(s) and contributor(s) and not of MDPI and/or the editor(s). MDPI and/or the editor(s) disclaim responsibility for any injury to people or property resulting from any ideas, methods, instructions or products referred to in the content. |
© 2025 by the authors. Licensee MDPI, Basel, Switzerland. This article is an open access article distributed under the terms and conditions of the Creative Commons Attribution (CC BY) license (https://creativecommons.org/licenses/by/4.0/).
Share and Cite
Li, W.; Ju, L.; Zhang, S.; Chen, Z.; Li, Y.; Feng, Y.; Xiang, Y.; Xiang, T.; Wu, Z.; Pang, H. Research on the Precise Differentiation of Pathological Subtypes of Non-Small Cell Lung Cancer Based on 18F-FDG PET/CT Radiomics Features. Cancers 2025, 17, 3311. https://doi.org/10.3390/cancers17203311
Li W, Ju L, Zhang S, Chen Z, Li Y, Feng Y, Xiang Y, Xiang T, Wu Z, Pang H. Research on the Precise Differentiation of Pathological Subtypes of Non-Small Cell Lung Cancer Based on 18F-FDG PET/CT Radiomics Features. Cancers. 2025; 17(20):3311. https://doi.org/10.3390/cancers17203311
Chicago/Turabian StyleLi, Wenbo, Linjun Ju, Shuxian Zhang, Zheng Chen, Yue Li, Yuyue Feng, Yuting Xiang, Tingxiu Xiang, Zhongjun Wu, and Hua Pang. 2025. "Research on the Precise Differentiation of Pathological Subtypes of Non-Small Cell Lung Cancer Based on 18F-FDG PET/CT Radiomics Features" Cancers 17, no. 20: 3311. https://doi.org/10.3390/cancers17203311
APA StyleLi, W., Ju, L., Zhang, S., Chen, Z., Li, Y., Feng, Y., Xiang, Y., Xiang, T., Wu, Z., & Pang, H. (2025). Research on the Precise Differentiation of Pathological Subtypes of Non-Small Cell Lung Cancer Based on 18F-FDG PET/CT Radiomics Features. Cancers, 17(20), 3311. https://doi.org/10.3390/cancers17203311

