Comparison of Oncologic Outcomes between Radical Hysterectomy and Primary Concurrent Chemoradiotherapy in Women with Bulky IB and IIA Cervical Cancer under Risk Stratification
Abstract
Simple Summary
Abstract
1. Introduction
2. Materials and Methods
2.1. Patient Recruitment and Risk Classification
2.2. Primary Treatment Modality
2.3. Statistical Analysis
3. Results
3.1. Study Population
3.2. Baseline Characteristics of the Patients
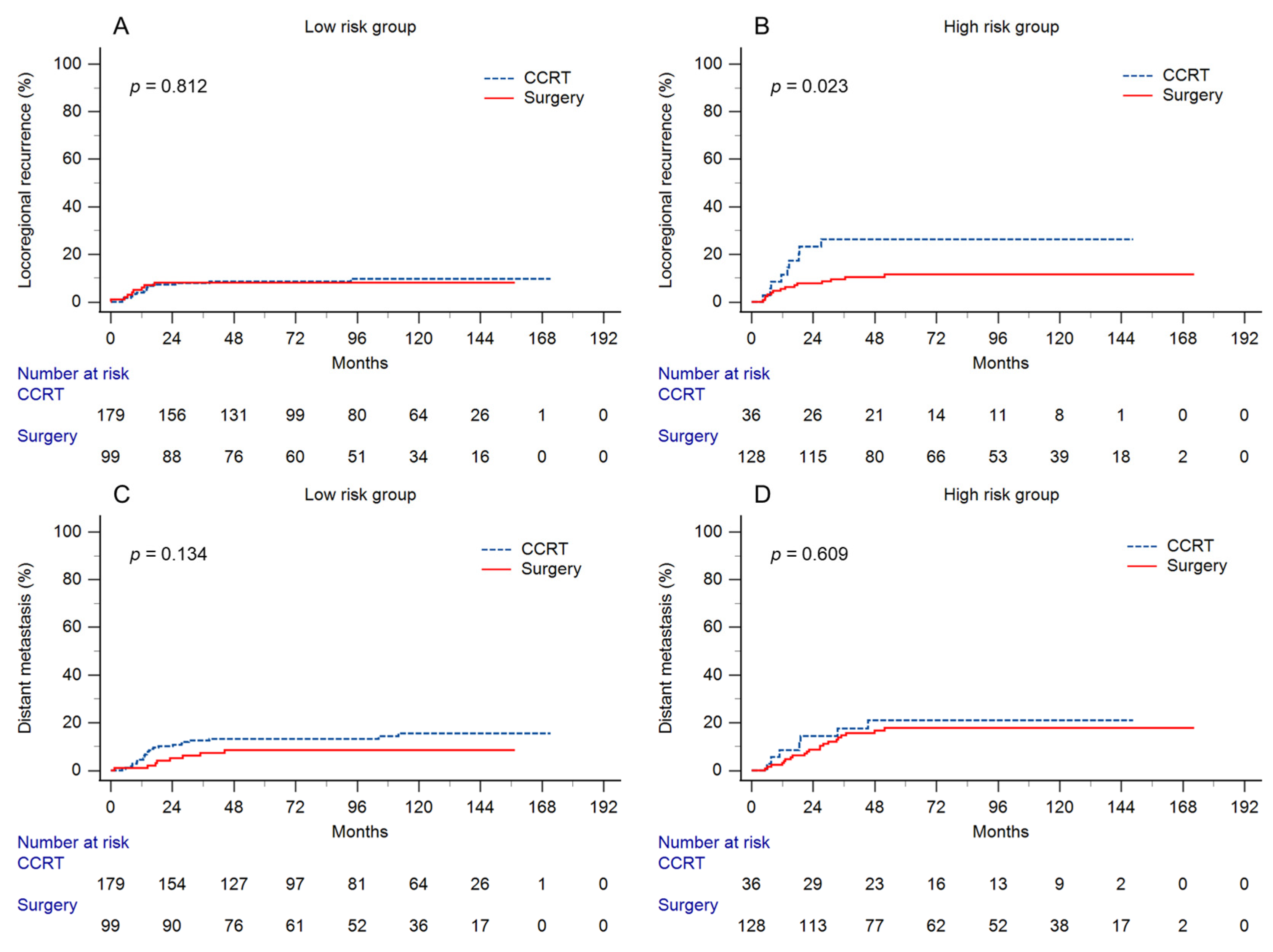
3.3. Oncologic Outcome and Multivariate Analysis
4. Discussion
| Author/Year | N | Stage (FIGO 2009) | 5-Year OS (%) | 5-Year DFS (%) | LRR (%) a | DM (%) a |
|---|---|---|---|---|---|---|
| Surgery (RH) | ||||||
| Landoni 1997 [3] | 55 | IB2/IIA2 | 70 | 63 | 20 | 15 |
| Yessaian 2004 [30] | 58 | IB2 | 62 | na | 29 | 5 |
| Havrilesky 2004 [31] | 72 | IB2 | 72 | 63 | 24 | 7 |
| Zivanovic 2008 [20] | 27 | IB2 | 72 b | 52 b | 37 | 7 |
| Kim 2011 [21] | 28 | IB2 | 82 | na | 29 | 7 |
| Huang 2012 [25] | 60 | IB2/IIA2 | na | SCC: 74 | na | na |
| AC/ASC: 62 | ||||||
| Rungruang 2012 [6] | 401 | IB2 | 83 c | 87 c | na | na |
| Park 2012 [22] | 147 | IB2/IIA2 | 78 | 77 | 13 | 8 |
| Alleyne-Mike 2013 [23] | 25 | IB2 | 88 | na | 8 | 4 |
| Derks 2016 [32] | 129 | IB2/IIA2 | 83 | 82 | 12 | 14 |
| Bradbury 2015 [33] | 67 | IB2 | 75 | 67 | 12 | 19 |
| Liu 2020 [24] | 235 | IB2/IIA2 | 82 | 73 | na | na |
| Li 2022 [34] | 280 | IB3 (FIGO 2018) | 94 | 93 | na | na |
| Present study | Entire cohort: 227 | IB2/IIA2 | 84 | 79 | 10 | 14 |
| Low risk: 99 | IB2/IIA2 | 86 | 84 | 8 | 9 | |
| High risk: 128 | IB2/IIA2 | 83 | 75 | 12 | 18 | |
| RT/CCRT | ||||||
| Landoni 1997 [3] | 54 | IB2/IIA2 (RT) | 72 | 57 | 30 | 13 |
| Chang 2000 [35] | 52 | IB2/IIA2 (RT) | 61 | 50 | 15 | 15 |
| Keys 2003 [36] | 124 | IB2 (RT) | 62 | 53 | 27 | 15 |
| Zivanovic 2008 [20] | 20 | IB2 (RT/CCRT) | 55 | 55 | 40 | 20 |
| Kim 2010 [21] | 35 | IB2 (RT/CCRT) | 76 | na | 14 | 9 |
| Huang 2011 [11] | 34 | IB2 (RT/CCRT) | 50 | 38 | na | na |
| Rungruang 2012 [6] | 369 | IB2 | 63 c | 73 c | na | na |
| Park 2012 [22] | 68 | IB2/IIA2 (CCRT) | 67 | 66 | 19 | 10 |
| Alleyne-Mike 2013 [23] | 53 | IB2 (RT/CCRT) | All:63 | na | 11 | 15 |
| RT/0-3 CHT d:39 | ||||||
| RT/4-6 CHT e: 79 | ||||||
| Bradbury 2015 [33] | 25 | IB2 (RT/CCRT) | 60 | 56 | 28 | 16 |
| Liu 2020 [24] | 235 | IB2/IIA2 (CRT) f | 73 | 73 | na | na |
| Li 2022 [34] | 108 | IB3 (FIGO 2018) (CRT) f | 76 | 69 | na | na |
| Present study | Entire cohort:215 | IB2/IIA2 (CCRT) | 83 | 79 | 12 | 15 |
| Low risk: 179 | IB2/IIA2 (CCRT) | 85 | 83 | 9 | 13 | |
| High risk: 36 | IB2/IIA2 (CCRT) | 73 | 60 | 26 | 21 | |
5. Conclusions
Author Contributions
Funding
Institutional Review Board Statement
Informed Consent Statement
Data Availability Statement
Acknowledgments
Conflicts of Interest
References
- Sung, H.; Ferlay, J.; Siegel, R.L.; Laversanne, M.; Soerjomataram, I.; Jemal, A.; Bray, F. Global Cancer Statistics 2020: GLOBOCAN Estimates of Incidence and Mortality Worldwide for 36 Cancers in 185 Countries. CA Cancer J. Clin. 2021, 71, 209–249. [Google Scholar] [CrossRef] [PubMed]
- Kristensen, G.B.; Abeler, V.M.; Risberg, B.; Tropé, C.; Bryne, M. Tumor Size, Depth of Invasion, and Grading of the Invasive Tumor Front Are the Main Prognostic Factors in Early Squamous Cell Cervical Carcinoma. Gynecol. Oncol. 1999, 74, 245–251. [Google Scholar] [CrossRef] [PubMed]
- Landoni, F.; Maneo, A.; Colombo, A.; Placa, F.; Milani, R.; Perego, P.; Favini, G.; Ferri, L.; Mangioni, C. Randomised study of radical surgery versus radiotherapy for stage Ib–IIa cervical cancer. Lancet 1997, 350, 535–540. [Google Scholar] [CrossRef] [PubMed]
- Perez, C.A.; Grigsby, P.W.; Nene, S.M.; Camel, H.M.; Galakatos, A.; Kao, M.S.; Lockett, M.A. Effect of tumor size on the prognosis of carcinoma of the uterine cervix treated with irradiation alone. Cancer 1992, 69, 2796–2806. [Google Scholar] [CrossRef] [PubMed]
- Bansal, N.; Herzog, T.J.; Shaw, R.E.; Burke, W.M.; Deutsch, I.; Wright, J.D. Primary therapy for early-stage cervical cancer: Radical hysterectomy vs. radiation. Am. J. Obstet. Gynecol. 2009, 201, 485.e1–485.e9. [Google Scholar] [CrossRef]
- Rungruang, B.; Courtney-Brooks, M.; Beriwal, S.; Zorn, K.K.; Richard, S.D.; Olawaiye, A.B.; Krivak, T.C.; Sukumvanich, P. Surgery versus radiation therapy for stage IB2 cervical carcinoma: A population-based analysis. Int. J. Gynecol. Cancer 2012, 22, 484–489. [Google Scholar] [CrossRef]
- Jewell, E.L.; Kulasingam, S.; Myers, E.R.; Alvarez Secord, A.; Havrilesky, L.J. Primary surgery versus chemoradiation in the treatment of IB2 cervical carcinoma: A cost effectiveness analysis. Gynecol. Oncol. 2007, 107, 532–540. [Google Scholar] [CrossRef]
- Rocconi, R.P.; Estes, J.M.; Leath, C.A., 3rd; Kilgore, L.C.; Huh, W.K.; Straughn, J.M., Jr. Management strategies for stage IB2 cervical cancer: A cost-effectiveness analysis. Gynecol. Oncol. 2005, 97, 387–394. [Google Scholar] [CrossRef]
- Yoon, S.M.; Shin, K.H.; Kim, J.Y.; Seo, S.S.; Park, S.Y.; Kang, S.; Cho, K.H. The clinical values of squamous cell carcinoma antigen and carcinoembryonic antigen in patients with cervical cancer treated with concurrent chemoradiotherapy. Int. J. Gynecol. Cancer 2007, 17, 872–878. [Google Scholar] [CrossRef]
- Chen, S.W.; Liang, J.A.; Hung, Y.C.; Yeh, L.S.; Chang, W.C.; Yang, S.N.; Lin, F.J. Clinical implications of elevated pretreatment carcinoembryonic antigen in patients with advanced squamous cell carcinoma of the uterine cervix. Tumour Biol. 2008, 29, 255–261. [Google Scholar] [CrossRef]
- Huang, Y.T.; Wang, C.C.; Tsai, C.S.; Lai, C.H.; Chang, T.C.; Chou, H.H.; Hsueh, S.; Chen, C.K.; Lee, S.P.; Hong, J.H. Long-term outcome and prognostic factors for adenocarcinoma/adenosquamous carcinoma of cervix after definitive radiotherapy. Int. J. Radiat. Oncol. Biol. Phys. 2011, 80, 429–436. [Google Scholar] [CrossRef] [PubMed]
- Huang, E.Y.; Hsu, H.C.; Sun, L.M.; Chanchien, C.C.; Lin, H.; Chen, H.C.; Tseng, C.W.; Ou, Y.C.; Chang, H.Y.; Fang, F.M.; et al. Prognostic value of pretreatment carcinoembryonic antigen after definitive radiotherapy with or without concurrent chemotherapy for squamous cell carcinoma of the uterine cervix. Int. J. Radiat. Oncol. Biol. Phys. 2011, 81, 1105–1113. [Google Scholar] [CrossRef] [PubMed]
- Beskow, C.; Skikuniene, J.; Holgersson, A.; Nilsson, B.; Lewensohn, R.; Kanter, L.; Viktorsson, K. Radioresistant cervical cancer shows upregulation of the NHEJ proteins DNA-PKcs, Ku70 and Ku86. Br. J. Cancer 2009, 101, 816–821. [Google Scholar] [CrossRef] [PubMed]
- Hong, J.H.; Tsai, C.S.; Wang, C.C.; Lai, C.H.; Chen, W.C.; Lee, S.P.; Chang, T.C.; Tseng, C.J. Comparison of clinical behaviors and responses to radiation between squamous cell carcinomas and adenocarcinomas/adenosquamous carcinomas of the cervix. Chang Gung Med. J. 2000, 23, 396–404. [Google Scholar] [PubMed]
- Vargo, J.A.; Beriwal, S. Image-based brachytherapy for cervical cancer. World J. Clin. Oncol. 2014, 5, 921–930. [Google Scholar] [CrossRef]
- Yokoi, E.; Mabuchi, S.; Takahashi, R.; Matsumoto, Y.; Kuroda, H.; Kozasa, K.; Kimura, T. Impact of histological subtype on survival in patients with locally advanced cervical cancer that were treated with definitive radiotherapy: Adenocarcinoma/adenosquamous carcinoma versus squamous cell carcinoma. J. Gynecol. Oncol. 2017, 28, e19. [Google Scholar] [CrossRef]
- Hu, K.; Wang, W.; Liu, X.; Meng, Q.; Zhang, F. Comparison of treatment outcomes between squamous cell carcinoma and adenocarcinoma of cervix after definitive radiotherapy or concurrent chemoradiotherapy. Radiat. Oncol. 2018, 13, 249. [Google Scholar] [CrossRef]
- Katanyoo, K.; Sanguanrungsirikul, S.; Manusirivithaya, S. Comparison of treatment outcomes between squamous cell carcinoma and adenocarcinoma in locally advanced cervical cancer. Gynecol. Oncol. 2012, 125, 292–296. [Google Scholar] [CrossRef]
- Landoni, F.; Colombo, A.; Milani, R.; Placa, F.; Zanagnolo, V.; Mangioni, C. Randomized study between radical surgery and radiotherapy for the treatment of stage IB-IIA cervical cancer: 20-year update. J. Gynecol. Oncol. 2017, 28, e34. [Google Scholar] [CrossRef]
- Zivanovic, O.; Alektiar, K.M.; Sonoda, Y.; Zhou, Q.; Iasonos, A.; Tew, W.P.; Diaz, J.P.; Chi, D.S.; Barakat, R.R.; Abu-Rustum, N.R. Treatment patterns of FIGO Stage IB2 cervical cancer: A single-institution experience of radical hysterectomy with individualized postoperative therapy and definitive radiation therapy. Gynecol. Oncol. 2008, 111, 265–270. [Google Scholar] [CrossRef]
- Kim, W.Y.; Chang, S.J.; Chang, K.H.; Yoo, S.C.; Chun, M.; Ryu, H.S. Treatment patterns and outcomes in bulky stage IB2 cervical cancer patients: A single institution’s experience over 14 years. Gynecol. Obstet. Investig. 2011, 71, 19–23. [Google Scholar] [CrossRef]
- Park, J.Y.; Kim, D.Y.; Kim, J.H.; Kim, Y.M.; Kim, Y.T.; Kim, Y.S.; Kim, H.J.; Lee, J.W.; Kim, B.G.; Bae, D.S.; et al. Comparison of outcomes between radical hysterectomy followed by tailored adjuvant therapy versus primary chemoradiation therapy in IB2 and IIA2 cervical cancer. J. Gynecol. Oncol. 2012, 23, 226–234. [Google Scholar] [CrossRef]
- Alleyne-Mike, K.; van Wijk, L.; Hunter, A. A retrospective review of patients with stage IB2 cervical cancer treated with radical radiation versus radical surgery as a primary modality. Int. J. Gynecol. Cancer 2013, 23, 1287–1294. [Google Scholar] [CrossRef]
- Liu, P.; Lin, L.; Kong, Y.; Huo, Z.; Zhu, L.; Bin, X.; Lang, J.; Chen, C. Comparison of survival outcomes between radio-chemotherapy and radical hysterectomy with postoperative standard therapy in patients with stage IB1 to IIA2 cervical cancer: Long-term oncological outcome analysis in 37 Chinese hospitals. BMC Cancer 2020, 20, 189. [Google Scholar] [CrossRef]
- Huang, Y.T.; Wang, C.C.; Tsai, C.S.; Lai, C.H.; Chang, T.C.; Chou, H.H.; Lee, S.P.; Hong, J.H. Clinical behaviors and outcomes for adenocarcinoma or adenosquamous carcinoma of cervix treated by radical hysterectomy and adjuvant radiotherapy or chemoradiotherapy. Int. J. Radiat. Oncol. Biol. Phys. 2012, 84, 420–427. [Google Scholar] [CrossRef] [PubMed]
- van Nagell, J.R., Jr.; Donaldson, E.S.; Gay, E.C.; Rayburn, P.; Powell, D.F.; Goldenberg, D.M. Carcinoembryonic antigen in carcinoma of the uterine cervix. 1. The prognostic value of serial plasma determinations. Cancer 1978, 42, 2428–2434. [Google Scholar] [CrossRef]
- Jackson, J.R. Simultaneous adenocarcinoma of the endometrium with squamous cell carcinoma of the cervix uteri. Can. Med. Assoc. J. 1957, 77, 956–958. [Google Scholar] [PubMed]
- Dougherty, C.M.; Cotten, N. Mixed squamous-cell and adenocarcinoma of the cervix. Combined, adenosquamous, and mucoepidermoid types. Cancer 1964, 17, 1132–1143. [Google Scholar] [CrossRef]
- Choo, Y.C.; Naylor, B. Coexistent squamous cell carcinoma and adenocarcinoma of the uterine cervix. Gynecol. Oncol. 1984, 17, 168–174. [Google Scholar] [CrossRef] [PubMed]
- Yessaian, A.; Magistris, A.; Burger, R.A.; Monk, B.J. Radical hysterectomy followed by tailored postoperative therapy in the treatment of stage IB2 cervical cancer: Feasibility and indications for adjuvant therapy. Gynecol. Oncol. 2004, 94, 61–66. [Google Scholar] [CrossRef]
- Havrilesky, L.J.; Leath, C.A.; Huh, W.; Calingaert, B.; Bentley, R.C.; Soper, J.T.; Alvarez Secord, A. Radical hysterectomy and pelvic lymphadenectomy for stage IB2 cervical cancer. Gynecol. Oncol. 2004, 93, 429–434. [Google Scholar] [CrossRef] [PubMed]
- Derks, M.; Biewenga, P.; van der Velden, J.; Kenter, G.G.; Stalpers, L.J.; Buist, M.R. Results of radical surgery in women with stage IB2/IIA2 cervical cancer. Acta Obstet. Gynecol. Scand. 2016, 95, 166–172. [Google Scholar] [CrossRef] [PubMed]
- Bradbury, M.; Founta, C.; Taylor, W.; Kucukmetin, A.; Naik, R.; Ang, C. Pathological Risk Factors and Outcomes in Women with Stage IB2 Cervical Cancer Treated With Primary Radical Surgery Versus Chemoradiotherapy. Int. J. Gynecol. Cancer 2015, 25, 1476–1483. [Google Scholar] [CrossRef] [PubMed]
- Li, Z.; Yang, Q.; Guo, J.; Liang, G.; Duan, H.; Wang, S.; Hao, M.; Liang, W.; Li, D.; Zhan, X.; et al. Survival Outcomes of Patients with Stage IB3 Cervical Cancer Who Undergo Abdominal Radical Hysterectomy Versus Radiochemotherapy. Front. Oncol. 2022, 12, 933755. [Google Scholar] [CrossRef]
- Chang, T.-C.; Lai, C.-H.; Hong, J.-H.; Hsueh, S.; Huang, K.-G.; Chou, H.-H.; Tseng, C.-J.; Tsai, C.-S.; Chang, J.T.; Lin, C.-T.; et al. Randomized Trial of Neoadjuvant Cisplatin, Vincristine, Bleomycin, and Radical Hysterectomy Versus Radiation Therapy for Bulky Stage IB and IIA Cervical Cancer. J. Clin. Oncol. 2000, 18, 1740–1747. [Google Scholar] [CrossRef] [PubMed]
- Keys, H.M.; Bundy, B.N.; Stehman, F.B.; Okagaki, T.; Gallup, D.G.; Burnett, A.F.; Rotman, M.Z.; Fowler, W.C., Jr. Radiation therapy with and without extrafascial hysterectomy for bulky stage IB cervical carcinoma: A randomized trial of the Gynecologic Oncology Group. Gynecol. Oncol. 2003, 89, 343–353. [Google Scholar] [CrossRef] [PubMed]
- Magrina, J.F.; Goodrich, M.A.; Weaver, A.L.; Podratz, K.C. Modified Radical Hysterectomy: Morbidity and Mortality. Gynecol. Oncol. 1995, 59, 277–282. [Google Scholar] [CrossRef] [PubMed]
- Kadar, N.; Saliba, N.; Nelson, J.H. The frequency, causes and prevention of severe urinary dysfunction after radical hysterectomy. Br. J. Obstet. Gynaecol. 1983, 90, 858–863. [Google Scholar] [CrossRef]
- Low, J.A.; Mauger, G.M.; Carmichael, J.A. The effect of Wertheim hysterectomy upon bladder and urethral function. Am. J. Obstet. Gynecol. 1981, 139, 826–834. [Google Scholar] [CrossRef]
- Tan, L.T.; Russell, S.; Burgess, L. Acute toxicity of chemo-radiotherapy for cervical cancer: The Addenbrooke’s experience. Clin. Oncol. 2004, 16, 255–260. [Google Scholar] [CrossRef]
- Rubinsak, L.A.; Kang, L.; Fields, E.C.; Carter, J.S.; McGuire, W.P.; Temkin, S.M. Treatment-Related Radiation Toxicity Among Cervical Cancer Patients. Int. J. Gynecol. Cancer 2018, 28, 1387–1393. [Google Scholar] [CrossRef] [PubMed]
- Varyte, G.; Bartkeviciene, D. Pelvic Radiation Therapy Induced Vaginal Stenosis: A Review of Current Modalities and Recent Treatment Advances. Medicina 2021, 57, 336. [Google Scholar] [CrossRef] [PubMed]
- Brand, A.H.; Bull, C.A.; Cakir, B. Vaginal stenosis in patients treated with radiotherapy for carcinoma of the cervix. Int. J. Gynecol. Cancer 2006, 16, 288. [Google Scholar] [CrossRef] [PubMed]



| Bulky Tumor | Low Risk (n = 278) | High Risk (n = 164) | ||||
|---|---|---|---|---|---|---|
| Treatment Modality | CCRT | Surgery | p | CCRT | Surgery | p |
| Patient number | 179 | 99 | 36 | 128 | ||
| Age (yr) | ||||||
| ≤45 | 54 (30.2) | 34 (34.3) | 0.474 | 15 (41.7) | 61 (47.7) | 0.524 |
| >45 | 125 (69.8) | 65 (65.7) | 21 (58.3) | 67 (52.3) | ||
| 2009 FIGO stage | ||||||
| IB2 | 121 (67.6) | 85 (85.9) | 0.001 | 26 (72.2) | 113 (88.3) | 0.018 |
| IIA2 | 58 (32.4) | 14 (14.1) | 10 (27.8) | 15 (11.7) | ||
| SCC (ng/mL) | 7.8 ± 1.0 | 5.8 ± 1.0 | 0.218 | 4.8 ± 1.4 | 2.9 ± 1.0 | 0.299 |
| CEA (ng/mL) | 2.6 ± 0.2 | 2.8 ± 0.2 | 0.528 | 36.1 ± 13.4 | 41.7 ± 27.0 | 0.908 |
| Hb (g/dL) | 11.9 ± 0.1 | 12.2 ± 0.2 | 0.198 | 11.9 ± 0.3 | 12.2 ± 0.2 | 0.332 |
| Low-Risk Group | ||||||||||||||||
|---|---|---|---|---|---|---|---|---|---|---|---|---|---|---|---|---|
| Overall Survival | Recurrence-Free Survival | Locoregional Recurrence | Distant Metastasis | |||||||||||||
| p-Value | HR | 95.0% CI for HR | p-Value | HR | 95.0% CI for HR | p-Value | HR | 95.0% CI for HR | p-Value | HR | 95.0% CI for HR | |||||
| Surgery | 0.530 | 0.805 | 0.409 | 1.585 | 0.987 | 0.995 | 0.533 | 1.858 | 0.587 | 1.285 | 0.587 | 1.285 | 0.236 | 0.607 | 0.266 | 1.387 |
| IIA2 | 0.951 | 1.021 | 0.520 | 2.006 | 0.656 | 1.150 | 0.621 | 2.129 | 0.750 | 1.156 | 0.750 | 1.156 | 0.823 | 1.090 | 0.513 | 2.316 |
| HB < 12 | 0.341 | 1.384 | 0.709 | 2.700 | 0.520 | 1.225 | 0.660 | 2.276 | 0.779 | 0.872 | 0.779 | 0.872 | 0.654 | 1.188 | 0.560 | 2.518 |
| Poor differentiation | 0.448 | 1.303 | 0.657 | 2.585 | 0.225 | 1.507 | 0.777 | 2.921 | 0.158 | 2.179 | 0.158 | 2.179 | 0.159 | 1.807 | 0.794 | 4.114 |
| High-Risk Group | ||||||||||||||||
| Overall Survival | Recurrence-Free Survival | Locoregional Recurrence | Distant Metastasis | |||||||||||||
| p-Value | HR | 95.0% CI for HR | p-Value | HR | 95.0% CI for HR | p-Value | HR | 95.0% CI for HR | p-Value | HR | 95.0% CI for HR | |||||
| Surgery | 0.121 | 0.533 | 0.240 | 1.181 | 0.028 | 0.459 | 0.229 | 0.919 | 0.017 | 0.317 | 0.123 | 0.816 | 0.595 | 0.777 | 0.306 | 1.973 |
| IIA2 | 0.893 | 1.064 | 0.429 | 2.636 | 0.737 | 1.147 | 0.515 | 2.557 | 0.528 | 0.664 | 0.187 | 2.365 | 0.497 | 1.382 | 0.543 | 3.515 |
| HB < 12 | 0.375 | 1.391 | 0.670 | 2.888 | 0.396 | 0.732 | 0.356 | 1.505 | 0.585 | 0.769 | 0.300 | 1.973 | 0.728 | 1.161 | 0.500 | 2.698 |
| Poor differentiation | 0.485 | 0.752 | 0.337 | 1.675 | 0.362 | 1.352 | 0.707 | 2.583 | 0.623 | 0.774 | 0.279 | 2.147 | 0.514 | 1.304 | 0.587 | 2.895 |
| Surgery Group | ||||||||||||||||
|---|---|---|---|---|---|---|---|---|---|---|---|---|---|---|---|---|
| Overall Survival | Recurrence-Free Survival | Locoregional Recurrence | Distant Metastasis | |||||||||||||
| p-Value | HR | 95.0% CI for HR | p-Value | HR | 95.0% CI for HR | p-Value | HR | 95.0% CI for HR | p-Value | HR | 95.0% CI for HR | |||||
| Neoadjuvant chemotherapy (NACT) | 0.383 | 0.584 | 0.174 | 1.955 | 0.145 | 0.413 | 0.126 | 1.355 | 0.224 | 0.283 | 0.037 | 2.162 | 0.197 | 0.384 | 0.089 | 1.646 |
| IIA2 | 0.417 | 0.608 | 0.183 | 2.019 | 0.41 | 0.645 | 0.228 | 1.83 | 0.975 | 0.62 | 0.22 | 2.02 | 0.821 | 1.133 | 0.383 | 3.348 |
| HB < 12 | 0.452 | 1.326 | 0.636 | 2.765 | 0.813 | 1.083 | 0.56 | 2.097 | 0.495 | 1.443 | 0.504 | 4.133 | 0.728 | 1.15 | 0.522 | 2.535 |
| Poor differentiation | 0.789 | 0.899 | 0.413 | 1.957 | 0.872 | 1.057 | 0.54 | 2.07 | 0.067 | 2.386 | 0.942 | 6.045 | 0.849 | 0.922 | 0.4 | 2.128 |
Disclaimer/Publisher’s Note: The statements, opinions and data contained in all publications are solely those of the individual author(s) and contributor(s) and not of MDPI and/or the editor(s). MDPI and/or the editor(s) disclaim responsibility for any injury to people or property resulting from any ideas, methods, instructions or products referred to in the content. |
© 2023 by the authors. Licensee MDPI, Basel, Switzerland. This article is an open access article distributed under the terms and conditions of the Creative Commons Attribution (CC BY) license (https://creativecommons.org/licenses/by/4.0/).
Share and Cite
Chen, C.-S.; Huang, E.-Y. Comparison of Oncologic Outcomes between Radical Hysterectomy and Primary Concurrent Chemoradiotherapy in Women with Bulky IB and IIA Cervical Cancer under Risk Stratification. Cancers 2023, 15, 3034. https://doi.org/10.3390/cancers15113034
Chen C-S, Huang E-Y. Comparison of Oncologic Outcomes between Radical Hysterectomy and Primary Concurrent Chemoradiotherapy in Women with Bulky IB and IIA Cervical Cancer under Risk Stratification. Cancers. 2023; 15(11):3034. https://doi.org/10.3390/cancers15113034
Chicago/Turabian StyleChen, Chung-Shih, and Eng-Yen Huang. 2023. "Comparison of Oncologic Outcomes between Radical Hysterectomy and Primary Concurrent Chemoradiotherapy in Women with Bulky IB and IIA Cervical Cancer under Risk Stratification" Cancers 15, no. 11: 3034. https://doi.org/10.3390/cancers15113034
APA StyleChen, C.-S., & Huang, E.-Y. (2023). Comparison of Oncologic Outcomes between Radical Hysterectomy and Primary Concurrent Chemoradiotherapy in Women with Bulky IB and IIA Cervical Cancer under Risk Stratification. Cancers, 15(11), 3034. https://doi.org/10.3390/cancers15113034

