Next Article in Journal
Recurrent Endometrial Cancer: Which Is the Best Treatment? Systematic Review of the Literature
Next Article in Special Issue
How We Treat Localized Rectal Cancer—An Institutional Paradigm for Total Neoadjuvant Therapy
Previous Article in Journal
CK1α/RUNX2 Axis in the Bone Marrow Microenvironment: A Novel Therapeutic Target in Multiple Myeloma
Previous Article in Special Issue
Pathologic Implications of Radial Resection Margin and Perineural Invasion to Adjuvant Chemotherapy after Preoperative Chemoradiotherapy and Surgery for Rectal Cancer: A Multi-Institutional and Case-Matched Control Study
 
 
Font Type:
Arial Georgia Verdana
Font Size:
Aa Aa Aa
Line Spacing:
Column Width:
Background:
Article

Clinical Safety and Effectiveness of Robotic-Assisted Surgery in Patients with Rectal Cancer: Real-World Experience over 8 Years of Multiple Institutions with High-Volume Robotic-Assisted Surgery

1
Division of Colorectal Surgery, Department of Surgery, Kaohsiung Medical University Hospital, Kaohsiung Medical University, Kaohsiung 80756, Taiwan
2
Department of Surgery, Faculty of Medicine, College of Medicine, Kaohsiung Medical University, Kaohsiung 80756, Taiwan
3
Division of Colorectal Surgery, Department of Surgery, Taipei Medical University Hospital, Taipei Medical University, Taipei 110301, Taiwan
4
Department of Surgery, School of Medicine, College of Medicine, Taipei Medical University, Taipei 110301, Taiwan
5
Department of Surgery, Koo Foundation Sun Yat-Sen Cancer Center, Taipei 112019, Taiwan
6
Graduate Institute of Clinical Medicine, College of Medicine, Kaohsiung Medical University, Kaohsiung 80756, Taiwan
7
Graduate Institute of Medicine, College of Medicine, Kaohsiung Medical University, Kaohsiung 80756, Taiwan
8
Center for Cancer Research, Kaohsiung Medical University, Kaohsiung 80756, Taiwan
9
Pingtung Hospital, Ministry of Health and Welfar, Pingtung 900214, Taiwan
*
Authors to whom correspondence should be addressed.
Cancers 2022, 14(17), 4175; https://doi.org/10.3390/cancers14174175
Submission received: 17 July 2022 / Revised: 17 August 2022 / Accepted: 25 August 2022 / Published: 29 August 2022
(This article belongs to the Special Issue Current Management of Early and Advanced Rectal Cancer)

Abstract

:

Simple Summary

The aim of this retrospective observational study was to evaluate perioperative and short-term oncological outcomes of robotic-assisted rectal surgery (RRS) in hospitals with a high-volume of robotic-assisted surgeries. This study enrolled patients with rectal adenocarcinoma undergoing RRS from three high-volume institutions from December 2011 to June 2020. Compared with other studies, our results revealed the equivalent or superior perioperative and short-term oncological outcomes. Hence, RRS is an effective, safe, and feasible technique for patients with rectal cancers in high-volume hospitals.

Abstract

The perioperative and short-term oncological outcomes of robotic-assisted rectal surgery (RRS) are unclear. This retrospective observational study enrolled patients with rectal adenocarcinoma undergoing RRS from three high-volume institutions in Taiwan. Of the 605 enrolled patients, 301 (49.75%), 176 (29.09%), and 116 (19.17%) had lower, middle, and upper rectal cancers, respectively. Low anterior resection (377, 62.31%) was the most frequent surgical procedure. Intraoperative blood transfusion was performed in 10 patients (2%). The surgery was converted to an open one for one patient (0.2%), and ten (1.7%) patients underwent reoperation. The overall complication rate was 14.5%, including 3% from anastomosis leakage. No deaths occurred during surgery and within 30 days postoperatively. The positive rates of distal resection margin and circumferential resection margin were observed in 21 (3.5%) and 30 (5.0%) patients, respectively. The 5-year overall and disease-free survival rates for patients with stage I–III rectal cancer were 91.1% and 86.3%, respectively. This is the first multi-institutional study in Taiwan with 605 patients from three high-volume hospitals. The overall surgical and oncological outcomes were equivalent or superior to those estimated in other studies. Hence, RRS is an effective and safe technique for rectal resection in high-volume hospitals.

1. Introduction

Colorectal cancer (CRC) is the third most common malignancy type and the third leading cause of cancer-related mortality worldwide [1]. In 2017, approximately 1.8 million new CRC diagnoses and 896,000 CRC-related mortalities were reported worldwide [2]. Since 2006, CRC has been the most common cancer type, and its prevalence has increased rapidly in Taiwan. In 2006 and 2018, the incidences were 45.5 and 66.3 per 100,000, respectively (with 10,398 and 16,525 new diagnoses, respectively) [3]. Moreover, CRC is the third leading cause of cancer-related mortality. In 2020, 6489 people in Taiwan died of CRC, with the mortality rate being 27.5 and 21.2 per 100,000 individuals in 2020 and 2010, respectively [3].
In the past decades, the improved treatment outcomes of rectal cancers have been due largely to several factors, including novel therapeutic modalities and improved surgical approaches. Preoperative concurrent chemoradiotherapy (CCRT) has been reported to be beneficial for patients with locally advanced rectal cancer (LARC) [4,5,6]. Therefore, preoperative CCRT is the standard treatment for patients with LARC. Moreover, several perioperative benefits have been reported with laparoscopic rectal surgery, including low postoperative pain, early mobilization, early postoperative recovery, and a short hospital length of stay (LOS) [7,8,9]. Technically skilled surgeons experienced in laparoscopic rectal surgery are needed for the patient to gain perioperative benefits because it is difficult to perform laparoscopic rectal surgery within the narrow space of the pelvis using rigid laparoscopic instruments that inherently have limited dexterity and range of motion. The robotic surgical system provides numerous advantages, such as high-definition three-dimensional vision with up to 10× magnification, stable traction by robot arms, and the availability of articulatory instruments and a surgeon-controlled camera platform. Compared with open surgical and conventional laparoscopic approaches for patients with rectal cancers, robotic-assisted rectal surgery (RRS) appears to be favorable in terms of perioperative and short-term oncological outcomes [10,11,12,13,14,15]. Studies on RRS in Taiwan have demonstrated that RRS is safe and feasible for high dissection and low or selective ligation of the inferior mesentery artery, for the single-docking technique, in cases of long intervals between the completion of radiotherapy and robotic-assisted surgery, and for older adult patients aged >70 years [16,17,18,19,20,21,22]. However, these studies have been conducted in a single institution and have had small sample sizes. Therefore, we conducted a retrospective study in Taiwan covering multiple institutions using empirical data pertaining to high-volume robotic-assisted surgery.

2. Materials and Methods

2.1. Patients

This retrospective observational study enrolled patients with rectal cancer undergoing robotic-assisted surgery from four surgeons at three high-volume institutions in Taiwan, namely Kaohsiung Medical University Hospital, Taipei Medical University Hospital, and Koo Foundation Sun Yat-Sen Cancer Center, at any period from December 2011 to June 2020. The surgeons were new to robotic-assisted surgery in 2011. They contributed 211, 145, 127 and 118 cases, respectively. The inclusion criteria were (1) histologically confirmed rectal adenocarcinoma with the tumor located within 15 cm from the anal verge and (2) absence of second primary cancer. The exclusion criteria were (1) having received emergent surgeries or (2) being lost to follow-up after robotic-assisted surgery. In total, 605 eligible patients received robotic-assisted surgery with the da Vinci Si or Xi surgical system (Intuitive Surgical, Inc., Sunnyvale, CA, USA). This study was approved by the Institutional Review Boards (IRBs) of Kaohsiung Medical University Hospital, Taipei Medical University Hospital, and Koo Foundation Sun Yat-Sen Cancer Center (KMUHIRB-E(I)-20200036, N202102060, N202103023, 20210304A, respectively).
Preoperative staging studies included a colonoscopy and computed tomography or high-definition magnetic resonance imaging of the abdomen or pelvis in all patients. On the basis of the distance from the anal verge, rectal cancer was categorized into upper (11–15 cm), middle (6–10 cm), and lower (≤5 cm) rectal cancer. Patients with LARC (i.e., T3, T4, or N+ rectal cancer) underwent preoperative CCRT, which was (1) 5-fluorouracil-based chemotherapy or a FOLFOX (i.e., 5-fluorouracil, leucovorin, and oxaliplatin) regimen every 2 weeks with radiotherapy (long course or short course), (2) chemotherapy only, or (3) radiotherapy (short course) only. Furthermore, patients with cT2 rectal cancer located within 5 cm from the anal verge underwent the same preoperative treatment for sphincter preservation.
The following clinicopathological features and perioperative parameters were evaluated: age, sex, TNM (tumor, node, and metastasis) classification, tumor location (distance from the anal verge and categorized as lower third, middle third, upper third, and unknown), body mass index (BMI), American Society of Anesthesiologists (ASA) score, and Charlson Comorbidity Index (CCI) score. The TNM classification was determined according to the criteria of the American Joint Commission on Cancer (AJCC) and International Union Against Cancer (UICC) [23]. Intraoperative safety measures pertained to events that occurred during the surgery, specifically death during surgery, surgical procedures [16,17,24,25,26], and conversion to open surgery, and various measures, specifically docking time, operation time, console time, estimated blood loss, and blood transfusion, were collected. Postoperative clinical outcomes were analyzed for predischarge and postdischarge periods, including LOS, rehospitalization within the 30-day postoperative period, reoperation within the 30-day postoperative period, and death within the 30-day postoperative period.

2.2. Data Management

Confidentiality and Quality Control

Patient baseline information and clinical outcomes recorded in medical charts and operative notes were reviewed and retrieved retrospectively. All data were collected and recorded in a standardized case report form format by an investigator affiliated with each hospital, and then each dataset was pooled to create a multi-institutional dataset. The research data were stored in a password-protected database kept in an external hard drive under the care of the principal investigator (PI) and were accessible only by researchers. All investigators complied with the Personal Data Protection Act. Patient data were de-identified and a pseudo code was assigned to each patient to protect their identity. The key investigator and the lead researcher of each hospital reviewed the data entered to ensure that the data were accurate.

2.3. Study Monitoring and Ethical Consideration

2.3.1. Monitoring and Inspecting

The PI of each hospital allocated adequate time for monitoring activities and ensured that the supervisor or other compliance or quality assurance reviewer was given access to all study-related documents (e.g., source documents, datasets, collected data). Participation as an investigator in this study implied acceptance of potential inspection by government regulators and applicable hospital compliance and quality assurance officers.

2.3.2. Ethical Consideration

This study was conducted in accordance with Taiwanese regulations and research ethics policies and procedures of the authors’ institutions. The PI was responsible for informing the IRB and research groups regarding any amendments to the protocol or study-related documents.

2.4. Statistical Analysis

Descriptive statistics were used to analyze patient characteristics and the outcomes of robotic-assisted surgery. Continuous variables were summarized using the mean, standard deviation (SD), median, and 25 and 75 percentiles (IQR, interquartile range), whereas categorical variables were summarized using frequencies and percentages (%). All data were statistically analyzed using the Excel software (Microsoft Corporation, Inc., Redmond, WA, USA) and R software (Free Software Foundation, Inc., Boston, MA, USA). All patients were followed up regularly until their death or their last follow-up date, whichever occurred first. The console time was defined as the total duration of robotic-assisted surgical procedures with the robotic system (da Vinci Si or Xi surgical system, Intuitive Surgical, Inc., Sunnyvale, CA, USA). The operation time was defined as the total duration between the initial skin incision and wound closure completion. Disease-free survival (DFS) was defined as the duration between the date of primary treatment and the date of diagnosis of recurrence or metastatic disease or last follow-up. The overall survival (OS) time was defined as the duration between the date of primary treatment and the date of all-cause death or last follow-up. The Kaplan–Meier method was used to evaluate DFS and OS, and a log-rank test was performed to compare time-to-event distributions. A p value of <0.05 indicated statistical significance.

3. Results

3.1. Patient Characteristics and Perioperative Outcomes

Between December 2011 and June 2020, 605 patients with rectal cancer undergoing RRS at three high-volume institutions in Taiwan were enrolled. The demographic and baseline characteristics of the patients are summarized in Table 1. The median age of patients was 60 years (IQR, 51–67 years). Moreover, 301 (49.75%), 176 (29.09%), and 116 (19.17%) patients had lower, middle, and upper rectal cancers, respectively; the tumor location of 12 (1.98%) patients were unknown. Preoperative treatment was administered to 454 patients (75%), including CCRT, chemotherapy, and radiation to 429 (70.8%), 7 (1.2%), and 18 (3.0%) patients, respectively. In total, 536 (88.6%), 28 (4.63%), and 41 (6.78%) patients had a CCI score of 0–1, 2, and ≥3, respectively. Furthermore, 21 (3.49%), 422 (70.1%), 157 (26.08%), and 2 (0.33%) patients had ASA scores I, II, III, and IV, respectively. The most frequent surgical procedure was low anterior resection (LAR) (377, 62.3%), followed by intersphenteric resection (ISR) with coloanal anastomosis (200, 33.1%), and abdominoperineal resection (APR; 28, 4.6%).

3.2. Intraoperative Safety and Clinical Outcomes

Table 2 summarizes the intraoperative safety and perioperative outcomes of the patients. The median console time and operating time were 211 (IQR, 172–256) and 270 (IQR, 210–335) minutes, respectively. The historical trend of operation time significantly decreased during this study (p < 0.001, Figure 1A). The median estimated blood loss was 50 mL (IQR, 30–100 mL). Only one (0.2%) patient required conversion to open surgery. Moreover, ten (1.7%) patients underwent reoperation within the 30-day postoperative period and the causes of reoperation were surgical site infection (6 patients), ileus (3 patients), and anastomotic leakage (one patient). No deaths occurred during the surgery and within the 30-day postoperative period. The mean length of postoperative LOS was 13.51 days (SD = 7.93), which decreased with year (Figure 1B, Menn–Kendall, p = 0.002).

3.3. Pathological Outcomes and Oncological Outcomes

The pathological outcomes of all 605 patients are listed in Table 2. The median number of harvested lymph nodes was 14 (IQR, 10–20). The distal resection margin (DRM) and circumferential resection margin (CRM) were positive in 21 (3.5%) and 30 (5.0%) patients, respectively.
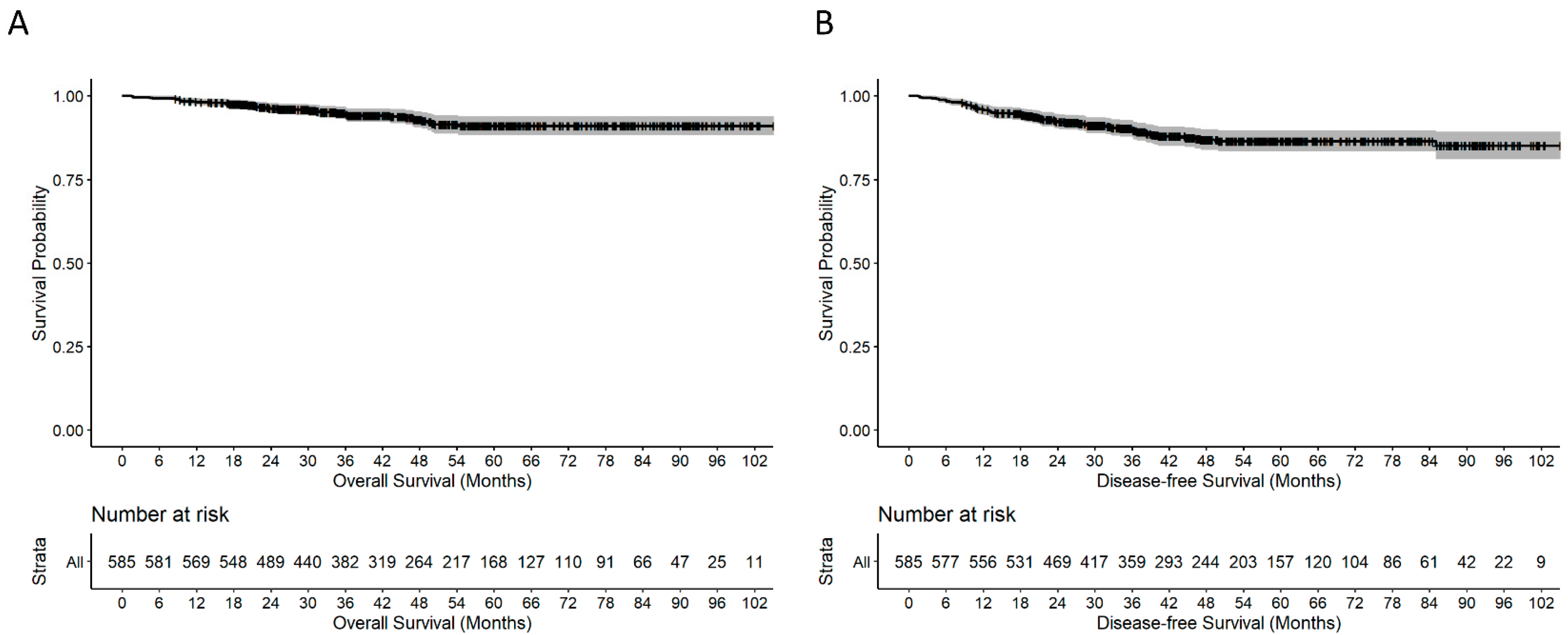
The median follow-up duration of the 605 patients from the primary treatment was 47.1 (range, 1.7–110.3) months. Among the 605 patients, local recurrence and distant metastases were noted in 18 (3.0%) and 95 (15.7%) patients, respectively. At a median follow-up duration of 47.1 months, the 5-year OS was 91.1% and 5-year DFS was 86.3% (Figure 2) for patients with stage I–III rectal cancer.

3.4. Postoperative Complications

The postoperative complications are summarized in Table 3. The overall complication rate was 14.4% (87/605). The most common postoperative complications were infection events and ileus. Infection events, including intraabdominal infection, intraabdominal abscess, and surgical site infection, were observed in 22 (3.6%) patients. Ileus, anastomosis leakage, and urinary retention were observed in 20 (3.3%), 18 (3.0%), and 6 (1.0%) patients, respectively. According to the Clavien–Dindo Classification, 88.5% (77/87) of postoperative complications were of grade I, and 11.5% (10/87) were of grade III. The patients with grade I complications recovered uneventfully after conservative treatment.

4. Discussion

In the present study, we collected the demographic, baseline, perioperative, and post-operative data of 605 patients with rectal adenocarcinoma undergoing RRS from three high-volume institutions in Taiwan between December 2011 and June 2020. To the best of our knowledge, this is the first study with real-world data from multiple institutes. Furthermore, this study has the largest RRS data collection in Taiwan with the longest follow-up. We believe our data are representative of the status of RRS and its safety and clinical outcomes in Taiwan. Nevertheless, because this study adopted a single-arm design, we compared our results with those of the literature to assess safety and clinical efficacy of RRS in Taiwan.

4.1. Baseline Characteristics

The patients’ baseline characteristics of our study were comparable with those in the literature. The risks of CRC and predictive mortality were positively associated with age [27]. In our study, the patients’ median age was 60 (IQR, 51–67), similar to that in the literature, and patients with age ≥70 accounted for 19.17% of the sample. The female percentage (43%) of our study was slightly higher than that in the literature (32–37.6%) [28,29,30].
As for baseline patient health status, 11.4% of the patients had CCI ≥ 2, which was slightly higher than that of previous studies (of 4.9%) [31]. The ASA score reflects patient comorbidity before the surgery, and a score of ≥3 constitutes an independent risk factor for postoperative complications [32]. In the present study, 26.4% of patients had an ASA score of ≥3, which was much higher than estimates in the literature (0–11.7%). Preoperative CCRT requisites and regimen varies depending on country. In the present study, 70.8% of our patients received preoperative CCRT, which was higher than the estimates in the literature (3.5–46.8%) [29,33], but comparable with that reported in a Korean RCT (77.3%) [34].

4.2. Operation Time

All centers estimated operation time from skin to skin. The mean operation time in our study was 284 (SD: 101) minutes, which was comparable with previously reported outcomes in the literature (Table 4). The most recent systematic literature review of eight RCTs reported that the pooled operation time of RRS was 23 min longer than that of laparoscopic surgery (p = 0.019) [35]. Operation time is considered an indicator of how much the surgeon is on the other side of the learning curve. In our study, operation time decreased during the study duration, which indicates an improvement in surgeons’ skills and efficiency as they work on more cases. The steepest improvement in operating time is known to occur in the initial 15–40 cases, but our study found that even when surgeons supposedly plateaued in their skill, the operation time consistently decreased from 280 to 240 min.

4.3. Conversion

Conversion to open surgery during minimally invasive surgery is known to be one of the prognostic factors that lead to an increased LOS, a high complication rate, and a high cancer recurrence rate [24,40]. In our study, the conversion rate was estimated to be 0.2%, which was much lower than that reported in the published literature. A previous systematic literature review indicated that the median conversion rate of a laparoscopic group was 10%, with a range of 6.4–57.6% [41]. Furthermore, the most recent systematic literature review of eight RCTs observed that the pooled conversion rate was significantly lower in the RRS group (5.72%) than in the laparoscopic surgery group (11.89%; OR = 2.215, 95% CI = 1.357–3.6315, p = 0.001) [35]. Furthermore, a similar trend was observed in the ROLARR study, which was an RCT comparing 471 patients who underwent RRS or laparoscopic surgery across ten countries [42]. In the ROLARR study, 19 of 236 patients (8.1%) in the RRS group and 28 of 30 patients (12.2%) in the laparoscopic group had their surgery converted to an open one. A recent study that investigated 50,855 patients using the US National Cancer Database noted that the conversion rate of RRS was significantly lower than that of laparoscopic surgery (RRS: 7.0%, laparoscopic surgery: 15.7%, p < 0.0001) [43]. The relatively lower conversion rate may be attributed to high-volume robotic-assisted surgeons in the present study or because of relatively lower BMI compared to Western studies.

4.4. Circumferential Resection Margin Positivity

The CRM is the closest margin between the deepest penetration of the tumor and the edge of resected soft tissue around the rectum or from the edge of a lymph node. In the present study, we investigated cancer positivity in CRM, and 4.96% of patients were tested positive. Furthermore, the reported CRM was lower than that previously reported in the literature. In the ROLARR study, 5.1% and 6.3% of patients exhibited positive CRM in RRS and laparoscopic groups (p = 0.56) [40]. No statistically significant difference was observed between these two groups. In the COLOR II study, Positive CRM was noted in 10% of both the laparoscopic and open surgery groups (p = 0.850) [7].

4.5. Harvested Lymph Node

The number of lymph nodes examined after surgery and the assessment of tumor metastasis to regional lymph nodes are key to an accurate diagnosis of cancer staging. The AJCC/UICC recommends for at least 12 lymph nodes to be examined for each surgical specimen of CRC [44]. Another study suggested that OS improves with the numbers of lymph nodes retrieved [45]. In the present study, the median number of harvested lymph nodes was 14 (mean 15.35), which was slightly higher than that recommended in the guideline. The maximum number of harvested lymph nodes in our data set was 55. Preoperative chemotherapy or radiotherapy tends to reduce the number of harvested lymph nodes (a mean reduction of 3.9 lymph nodes) [43].

4.6. Complication Rates

The overall complication rate was estimated to be 14.4% (87/605) in our study, which was comparable with the outcomes reported by single-arm studies in China, Korea, and Japan (9.9–15.5%) [28,29,30], but much lower than those of RCTs (33.1–34.8%) [34,42] (Table 5). Anastomotic leakage is a common and serious complication after rectal resection, which can lead to peritonitis, inflammation, organ failure, sepsis, or even death. The anastomotic leakage rate in our study was 3.0%, which was much lower than those of previous studies (4.1–15%) [28,29,33,36,37,42], and only Yamaguchi et al. revealed a lower anastomotic leakage rate (2.2%) than our estimates [30]. The rate of infection events in our study was 3.64%, comparable with the published studies [35,36,37,42]. Urinary retention rate (1.0%) was lower than that in previous studies (2.2–8%). Furthermore, postoperative bleeding rate (0.2%) in our study was lower than that in an RCT from Korea (0.7%) [34], but this outcome has been rarely reported in other studies. The urinary infection rate, which has been rarely reported in studies, was 2.3% in our study; Yamaguchi et al. is the only study that reported a urinary infection (theirs was 1.8%) [31]. The rate of postoperative pneumonia (0.99%) was comparable with those of previous studies (at 0–1.3%) [30,37]. The rate of ileus was 3.3%, consistent with those in previous studies (at 0–13%) [28,34,36].

4.7. Reoperation and Readmission

In our study, 8 of 605 patients (1.3%) were readmitted within 30 days of surgery. The median LOS due to readmission was 5 days (IQR, 2–6.25). The ACOSOG trial, which is a multicenter randomized trial conducted at 35 institutes in the United States and Canada, involved 486 patients with stage 2 or 3 rectal cancer and reported readmission rates within 30 days of 3.3% and 4.1% in laparoscopic surgery and open surgery groups, respectively [46]. In a Chinese database study, the readmission rate was 2.3% [28]. The readmission rate in our study was lower than in previous studies. The reoperation rate is an indicator that determines surgical quality and is prominently associated with long-term oncological outcomes and healthcare costs. In our study, 1.7% (10/605) of patients underwent reoperation. In the ROLARR trial, the reoperation rates of RRS and laparoscopic surgery were 3.03% and 2.74%, respectively [42]. According to US data, 5.9% of LAR patients and 8.1% of APR patients underwent reoperation [47]. In that study, reoperations after LAR were reported as predictive by a male sex (OR: 1.5), poor functional status (OR: 2.2), and operative time (OR: 1.001). As for reoperation after AR, an open approach (OR: 1.5) was one of the risk factors.

4.8. Recurrence and Death

Recurrence after rectal cancer surgery is not uncommon, and recurrence is more common in rectal than in colon cancer. An estimated 30–50% of patients with CRC experience recurrence or die of the cancer even after the resection. Most instances of recurrence occur within 2 years after the surgery, and the prognosis of early recurrence indicates poor survival outcomes [48]. In our study, 3.0% (18/605) of patients had local recurrence, and 66% (12/18) of the recurrence occurred within 2 years. The Japanese Society for Cancer of the Colon and Rectum guideline reported an observed local recurrence of 8.8% among patients with rectal cancer, which is much higher than our estimates [49]. A 10-year follow-up study from Singapore reported that 7.7% of patients with rectal cancer developed local recurrence, which is also higher than our estimates [50]. An RCT conducted in Korea reported that the local recurrence rates of RRS and laparoscopic surgery were 2.7% and 6.3%, respectively, which are comparable with our estimates.
The distant recurrence rate was 15.7% in our study. An RCT of RRS conducted in Korea reported systemic recurrence rates of RRS and laparoscopic surgery as 21.6% and 21.9%, respectively, which were higher than our estimates. Furthermore, a similar range was reported in other studies; a 10-year follow-up study from Singapore and a Chinese study investigating 763 patients have reported that 29.8% and 21.9% of patients with rectal cancer developed systemic recurrence after the surgery, respectively [50,51]. In terms of survival rates, the 5-year cancer-specific survival rate was 91.1% in our study. Our results indicate better patient status relative to those of other studies because the 5-year OS rate has ranged between 78–93.3% in the literature [24,33,38,39].

4.9. Limitations

The present study has several limitations. First, this was a retrospective study. Second, the surgical details, including ports placement, number of targets, and diverting stoma, were not collected in our data. Third, the postoperative outcomes of urinary, sexual functions, or anal functions were not analyzed. Fourth, because this study was a multi-institutional study, the perioperative and postoperative outcomes may be affected by the surgeon’s background and experience.

5. Conclusions

This is the first multi-institutional study in Taiwan involving 605 patients from three high-volume hospitals. Relative to participants in other studies, our participants generally had worse presurgical comorbidities, determined based on ASA and CCI scores, and better overall surgical outcomes. Crucially, the conversion rate to open surgery and anastomotic leakage rate were much lower in our studies than others in the literature. We observed no serious safety incidents despite our large sample size and long follow-up period of 8 years. Hence, based on the results of the present study, RRS is an effective and safe technique for rectal resection in high-volume hospitals.

Author Contributions

Conceptualization, C.-W.H., P.-L.W., C.-C.C., L.-J.K., and J.-Y.W.; methodology, C.-W.H., P.-L.W., C.-C.C., L.-J.K., and J.-Y.W.; formal analysis, C.-W.H. and J.-Y.W.; data curation, C.-W.H., P.-L.W., C.-C.C., L.-J.K., and J.-Y.W.; writing—original draft preparation, C.-W.H.; writing—review and editing, P.-L.W., C.-C.C., L.-J.K. and J.-Y.W.; supervision, J.-Y.W. All authors have read and agreed to the published version of the manuscript.

Funding

This research received no external funding.

Institutional Review Board Statement

The study was conducted in accordance with the Declaration of Helsinki and approved by the Institutional Review Board of Kaohsiung Medical University Hospital (KMUHIRB-E(I)-20200036 and 27 Octorber 2020), Taipei Medical University Hospital (N202102060 and 20 January 2021, N202103023 and 12 January 2021), and Koo Foundation Sun Yat-Sen Cancer Center (20210304A and 29 March 2021).

Informed Consent Statement

Patient consent was waived due to approval of the Institutional Review Board of Kaohsiung Medical University Hospital, Taipei Medical University Hospital, and Koo Foundation Sun Yat-Sen Cancer Center.

Data Availability Statement

The data presented in this study are available in this article.

Acknowledgments

This work was supported by grants through funding from the Ministry of Science and Technology (MOST 109-2314-B-037-046-MY3, MOST110-2314-B-037-097, MOST 111-2314-B-037-070-MY3, MOST 111-2314-B-037-049). The authors wish to acknowledge the supports provided by Intuitive Surgical Sarl Tawian Branch for study and project administration to the society.

Conflicts of Interest

The authors declare no conflict of interest.

References

  1. Bray, F.; Ferlay, J.; Soerjomataram, I.; Siegel, R.L.; Torre, L.A.; Jemal, A. Global cancer statistics 2018: GLOBOCAN estimates of incidence and mortality worldwide for 36 cancers in 185 countries. CA Cancer J. Clin. 2018, 68, 394–424. [Google Scholar] [CrossRef]
  2. Global Burden of Disease Cancer Collaboration; Fitzmaurice, C.; Abate, D.; Abbasi, N.; Abbastabar, H.; Abd-Allah, F.; Abdel-Rahman, O.; Abdelalim, A.; Abdoli, A.; Abdollahpour, I.; et al. Global, Regional, and National Cancer Incidence, Mortality, Years of Life Lost, Years Lived With Disability, and Disability-Adjusted Life-Years for 29 Cancer Groups, 1990 to 2017: A Systematic Analysis for the Global Burden of Disease Study. JAMA Oncol. 2019, 5, 1749–1768. [Google Scholar]
  3. Ministry of Health and Welfare, the Executive Yuan, Republic of China. Health and Vital Statistics. Available online: https://dep.mohw.gov.tw/dos/mp-113.html (accessed on 25 August 2021).
  4. Sauer, R.; Liersch, T.; Merkel, S.; Fietkau, R.; Hohenberger, W.; Hess, C.; Becker, H.; Raab, H.R.; Villanueva, M.T.; Witzigmann, H.; et al. Preoperative versus postoperative chemoradiotherapy for locally advanced rectal cancer: Results of the German CAO/ARO/AIO-94 randomized phase III trial after a median follow-up of 11 years. J. Clin. Oncol. 2012, 30, 1926–1933. [Google Scholar] [CrossRef]
  5. Bosset, J.F.; Calais, G.; Mineur, L.; Maingon, P.; Radosevic-Jelic, L.; Daban, A.; Bardet, E.; Beny, A.; Briffaux, A.; Collette, L. Enhanced tumorocidal effect of chemotherapy with preoperative radiotherapy for rectal cancer: Preliminary results—EORTC 22921. J. Clin. Oncol. 2005, 23, 5620–5627. [Google Scholar] [CrossRef]
  6. Gérard, J.P.; Conroy, T.; Bonnetain, F.; Bouché, O.; Chapet, O.; Closon-Dejardin, M.T.; Untereiner, M.; Leduc, B.; Francois, E.; Maurel, J.; et al. Preoperative radiotherapy with or without concurrent fluorouracil and leucovorin in T3-4 rectal cancers: Results of FFCD 9203. J. Clin. Oncol. 2006, 24, 4620–4625. [Google Scholar] [CrossRef]
  7. van der Pas, M.H.; Haglind, E.; Cuesta, M.A.; Fürst, A.; Lacy, A.M.; Hop, W.C.; Bonjer, H.J. Laparoscopic versus open surgery for rectal cancer (COLOR II): Short-term outcomes of a randomised, phase 3 trial. Lancet Oncol. 2013, 14, 210–218. [Google Scholar] [CrossRef]
  8. Jeong, S.Y.; Park, J.W.; Nam, B.H.; Kim, S.; Kang, S.B.; Lim, S.B.; Choi, H.S.; Kim, D.W.; Chang, H.J.; Kim, D.Y.; et al. Open versus laparoscopic surgery for mid-rectal or low-rectal cancer after neoadjuvant chemoradiotherapy (COREAN trial): Survival outcomes of an open-label, non-inferiority, randomised controlled trial. Lancet Oncol. 2014, 15, 767–774. [Google Scholar] [CrossRef]
  9. Chen, C.F.; Lin, Y.C.; Tsai, H.L.; Huang, C.W.; Yeh, Y.S.; Ma, C.J.; Lu, C.Y.; Hu, H.M.; Shih, H.Y.; Shih, Y.L.; et al. Short- and long-term outcomes of laparoscopic-assisted surgery, mini-laparotomy and conventional laparotomy in patients with Stage I-III colorectal cancer. J. Minim. Access Surg. 2018, 14, 321–334. [Google Scholar]
  10. Baek, J.H.; Pastor, C.; Pigazzi, A. Robotic and laparoscopic total mesorectal excision for rectal cancer: A case-matched study. Surg. Endosc. 2010, 25, 521–525. [Google Scholar] [CrossRef]
  11. Chen, Y.T.; Huang, C.W.; Ma, C.J.; Tsai, H.L.; Yeh, Y.S.; Su, W.C.; Chai, C.Y.; Wang, J.Y. An observational study of patho-oncological outcomes of various surgical methods in total mesorectal excision for rectal cancer: A single center analysis. BMC Surg. 2020, 20, 23. [Google Scholar] [CrossRef]
  12. Hellan, M.; Ouellette, J.; Lagares-Garcia, J.A.; Rauh, S.M.; Kennedy, H.L.; Nicholson, J.D.; Nesbitt, D.; Johnson, C.S.; Pigazzi, A. Robotic Rectal Cancer Resection: A Retrospective Multicenter Analysis. Ann. Surg. Oncol. 2015, 22, 2151–2158. [Google Scholar] [CrossRef]
  13. Han, C.; Yan, P.; Jing, W.; Li, M.; Du, B.; Si, M.; Yang, J.; Yang, K.; Cai, H.; Guo, T. Clinical, pathological, and oncologic outcomes of robotic-assisted versus laparoscopic proctectomy for rectal cancer: A meta-analysis of randomized controlled studies. Asian J. Surg. 2020, 43, 880–890. [Google Scholar] [CrossRef]
  14. Chen, T.C.; Liang, J.T. Robotic versus laparoscopic surgery for rectal cancer after neoadjuvant chemoradiotherapy: A propensity-score matching analysis. J. Formos. Med. Assoc. 2022, 121, 1532–1540. [Google Scholar] [CrossRef]
  15. Tong, G.; Zhang, G.; Zheng, Z. Robotic and robotic-assisted vs Laparoscopic rectal cancer surgery: A meta-analysis of short-term and long-term results. Asian J. Surg. 2021, 44, 1549. [Google Scholar] [CrossRef]
  16. Huang, C.W.; Yeh, Y.S.; Su, W.C.; Tsai, H.L.; Choy, T.K.; Huang, M.Y.; Huang, C.M.; Wu, I.C.; Hu, H.M.; Hsu, W.H.; et al. Robotic surgery with high dissection and low ligation technique for consecutive patients with rectal cancer following preoperative concurrent chemoradiotherapy. Int. J. Colorectal Dis. 2016, 31, 1169–1177. [Google Scholar] [CrossRef]
  17. Huang, C.W.; Tsai, H.L.; Yeh, Y.S.; Su, W.C.; Huang, M.Y.; Huang, C.M.; Chang, Y.T.; Wang, J.Y. Robotic-assisted total mesorectal excision with the single-docking technique for patients with rectal cancer. BMC Surg. 2017, 17, 126. [Google Scholar] [CrossRef]
  18. Huang, C.W.; Su, W.C.; Yin, T.C.; Chen, P.J.; Chang, T.K.; Chen, Y.C.; Li, C.C.; Hsieh, Y.C.; Tsai, H.L.; Wang, J.Y. Time interval between the completion of radiotherapy and robotic-assisted surgery among patients with stage I-III rectal cancer undergoing preoperative chemoradiotherapy. PLoS ONE 2020, 15, e0240742. [Google Scholar] [CrossRef]
  19. Huang, C.W.; Su, W.C.; Chang, T.K.; Ma, C.J.; Yin, T.C.; Tsai, H.L.; Chen, P.J.; Chen, Y.C.; Li, C.C.; Hsieh, Y.C.; et al. Impact of previous abdominal surgery on robotic-assisted rectal surgery in patients with locally advanced rectal adenocarcinoma: A propensity score matching study. World J. Surg. Oncol. 2020, 18, 308. [Google Scholar] [CrossRef]
  20. Chen, P.J.; Su, W.C.; Chang, T.K.; Chen, Y.C.; Li, C.C.; Yin, T.C.; Tsai, H.L.; Ma, C.J.; Huang, C.W.; Wang, J.Y. Oncological outcomes of robotic-assisted total mesorectal excision after neoadjuvant concurrent chemoradiotherapy in patients with rectal cancer. Asian J. Surg. 2021, 44, 957–963. [Google Scholar] [CrossRef]
  21. Su, W.C.; Huang, C.W.; Ma, C.J.; Chen, P.J.; Tsai, H.L.; Chang, T.K.; Chen, Y.C.; Li, C.C.; Yeh, Y.S.; Wang, J.Y. Feasibility of robot-assisted surgery in elderly patients with rectal cancer. J. Minim. Access Surg. 2021, 17, 165–174. [Google Scholar] [CrossRef]
  22. Yin, T.C.; Su, W.C.; Chen, P.J.; Chang, T.K.; Chen, Y.C.; Li, C.C.; Hsieh, Y.C.; Tsai, H.L.; Huang, C.W.; Wang, J.Y. Oncological Outcomes of Robotic-Assisted Surgery With High Dissection and Selective Ligation Technique for Sigmoid Colon and Rectal Cancer. Front. Oncol. 2020, 10, 570376. [Google Scholar] [CrossRef] [PubMed]
  23. Edge, S.B.; Byrd, D.R.; Compton, C.C.; Fritz, A.G.; Greene, F.L.; Tortti, A., III. AJCC Cancer Staging Manual, 7th ed.; Springer: New York, NY, USA, 2010; pp. 143–164. [Google Scholar]
  24. Huang, Y.M.; Huang, Y.J.; Wei, P.L. Outcomes of robotic versus laparoscopic surgery for mid and low rectal cancer after neoadjuvant chemoradiation therapy and the effect of learning curve. Medicine 2017, 96, e8171. [Google Scholar] [CrossRef]
  25. Kuo, L.J.; Lin, Y.K.; Chang, C.C.; Tai, C.J.; Chiou, J.F.; Chang, Y.J. Clinical outcomes of robot-assisted intersphincteric resection for low rectal cancer: Comparison with conventional laparoscopy and multifactorial analysis of the learning curve for robotic surgery. Int. J. Colorectal Dis. 2014, 29, 555–562. [Google Scholar] [CrossRef]
  26. Inoue, Y.; Ng, J.Y.; Chu, C.H.; Lai, Y.L.; Huang, I.P.; Yang, S.H.; Chen, C.C. Robotic or transanal total mesorectal excision (TaTME) approach for rectal cancer, how about both? Feasibility and outcomes from a single institution. J. Robot. Surg. 2022, 16, 149–157. [Google Scholar] [CrossRef]
  27. Li, Z.; Coleman, J.; D’Adamo, C.R.; Wolf, J.; Katlic, M.; Ahuja, N.; Blumberg, D.; Ahuja, V. Operative Mortality Prediction for Primary Rectal Cancer: Age Matters. J. Am. Coll. Surg. 2019, 228, 627–633. [Google Scholar] [CrossRef]
  28. Chang, W.; Wei, Y.; Ren, L.; Jian, M.; Chen, Y.; Chen, J.; Liu, T.; Huang, W.; Peng, S.; Xu, J. Short-term and long-term outcomes of robotic rectal surgery-from the real word data of 1145 consecutive cases in China. Surg. Endosc. 2020, 34, 4079–4088. [Google Scholar] [CrossRef]
  29. Jayne, D.; Pigazzi, A.; Marshall, H.; Croft, J.; Corrigan, N.; Copeland, J.; Quirke, P.; West, N.; Rautio, T.; Thomassen, N.; et al. Effect of Robotic-Assisted vs Conventional Laparoscopic Surgery on Risk of Conversion to Open Laparotomy Among Patients Undergoing Resection for Rectal Cancer: The ROLARR Randomized Clinical Trial. JAMA 2017, 318, 1569–1580. [Google Scholar] [CrossRef]
  30. Katsuno, H.; Hanai, T.; Masumori, K.; Koide, Y.; Matsuoka, H.; Tajima, Y.; Endo, T.; Mizuno, M.; Chong, Y.; Maeda, K.; et al. Short- and long-term outcomes of robotic surgery for rectal cancer: A single-center retrospective cohort study. Surg. Today 2020, 50, 240–247. [Google Scholar] [CrossRef]
  31. Yamaguchi, T.; Kinugasa, Y.; Shiomi, A.; Kagawa, H.; Yamakawa, Y.; Furuatni, A.; Manabe, S.; Yamaoka, Y.; Hino, H. Short- and long-term outcomes of robotic-assisted laparoscopic surgery for rectal cancer: Results of a single high-volume center in Japan. Int. J. Colorectal Dis. 2018, 33, 1755–1762. [Google Scholar] [CrossRef]
  32. Hyde, L.Z.; Baser, O.; Mehendale, S.; Guo, D.; Shah, M.; Kiran, R.P. Impact of surgical approach on short-term oncological outcomes and recovery following low anterior resection for rectal cancer. Colorectal Dis. 2019, 21, 932–942. [Google Scholar] [CrossRef]
  33. Park, J.H.; Kim, D.H.; Kim, B.R.; Kim, Y.W. The American Society of Anesthesiologists score influences on postoperative complications and total hospital charges after laparoscopic colorectal cancer surgery. Medicine 2018, 97, e0653. [Google Scholar] [CrossRef]
  34. Kim, C.N.; Bae, S.U.; Lee, S.G.; Yang, S.H.; Hyun, I.G.; Jang, J.H.; Cho, B.S.; Park, J.S. Clinical and oncologic outcomes of totally robotic total mesorectal excision for rectal cancer: Initial results in a center for minimally invasive surgery. Int. J. Colorectal Dis. 2016, 31, 843–852. [Google Scholar] [CrossRef] [PubMed]
  35. Kim, M.J.; Park, S.C.; Park, J.W.; Chang, H.J.; Kim, D.Y.; Nam, B.H.; Sohn, D.K.; Oh, J.H. Robot-assisted Versus Laparoscopic Surgery for Rectal Cancer: A Phase II Open Label Prospective Randomized Controlled Trial. Ann. Surg. 2018, 267, 243–251. [Google Scholar] [CrossRef] [PubMed]
  36. Tang, B.; Zhang, C.; Li, C.; Chen, J.; Luo, H.; Zeng, D.; Yu, P. Robotic Total Mesorectal Excision for Rectal Cancer: A Series of 392 Cases and Mid-Term Outcomes from A Single Center in China. J. Gastrointest. Surg. 2017, 21, 569–576. [Google Scholar] [CrossRef]
  37. Lim, D.R.; Bae, S.U.; Hur, H.; Min, B.S.; Baik, S.H.; Lee, K.Y.; Kim, N.K. Long-term oncological outcomes of robotic versus laparoscopic total mesorectal excision of mid-low rectal cancer following neoadjuvant chemoradiation therapy. Surg. Endosc. 2017, 31, 1728–1737. [Google Scholar] [CrossRef]
  38. Somashekhar, S.P.; Ashwin, K.R.; Rajashekhar, J.; Zaveri, S. Prospective Randomized Study Comparing Robotic-Assisted Surgery with Traditional Laparotomy for Rectal Cancer-Indian Study. Indian J. Surg. 2015, 77 (Suppl. 3), 788–794. [Google Scholar] [CrossRef]
  39. Sujatha-Bhaskar, S.; Jafari, M.D.; Gahagan, J.V.; Inaba, C.S.; Koh, C.Y.; Mills, S.D.; Carmichael, J.C.; Stamos, M.; Pigazzi, A. Defining the Role of Minimally Invasive Proctectomy for Locally Advanced Rectal Adenocarcinoma. Ann. Surg. 2017, 266, 574–581. [Google Scholar] [CrossRef]
  40. Masoomi, H.; Moghadamyeghaneh, Z.; Mills, S.; Carmichael, J.C.; Pigazzi, A.; Stamos, M.J. Risk factors for conversion of laparoscopic colorectal surgery to open surgery: Does conversion worsen outcome? World J. Surg. 2015, 39, 1240–1247. [Google Scholar] [CrossRef]
  41. Finochi, M.; Menahem, B.; Eid, Y.; Lubrano, J.; Alves, A. Does conversion during laparoscopic rectal oncological surgery increases postoperative complications and anastomotic leakage rates? A meta-analysis. J. Visc. Surg. 2020, 157, 277–287. [Google Scholar] [CrossRef]
  42. Allaix, M.E.; Furnée, E.J.; Mistrangelo, M.; Arezzo, A.; Morino, M. Conversion of laparoscopic colorectal resection for cancer: What is the impact on short-term outcomes and survival? World J. Gastroenterol. 2016, 22, 8304–8313. [Google Scholar] [CrossRef]
  43. Parascandola, S.A.; Hota, S.; Sparks, A.D.; Boulos, S.; Cavallo, K.; Kim, G.; Obias, V. Trends in utilization, conversion rates, and outcomes for minimally invasive approaches to non-metastatic rectal cancer: A national cancer database analysis. Surg. Endosc. 2021, 5, 3154–3165. [Google Scholar] [CrossRef]
  44. Kidner, T.B.; Ozao-Choy, J.J.; Yoon, J.; Bilchik, A.J. Should quality measures for lymph node dissection in colon cancer be extrapolated to rectal cancer? Am. J. Surg. 2012, 204, 843–847. [Google Scholar] [CrossRef]
  45. Mechera, R.; Schuster, T.; Rosenberg, R.; Speich, B. Lymph node yield after rectal resection in patients treated with neoadjuvant radiation for rectal cancer: A systematic review and meta-analysis. Eur. J. Cancer 2017, 72, 84–94. [Google Scholar] [CrossRef]
  46. Fleshman, J.; Branda, M.; Sargent, D.J.; Boller, A.M.; George, V.; Abbas, M.; Peters, W.R., Jr.; Maun, D.; Chang, G.; Herline, A.; et al. Effect of Laparoscopic-Assisted Resection vs Open Resection of Stage II or III Rectal Cancer on Pathologic Outcomes: The ACOSOG Z6051 Randomized Clinical Trial. JAMA 2015, 314, 1346–1355. [Google Scholar] [CrossRef]
  47. Saadat, L.V.; Fields, A.C.; Lyu, H.; Urman, R.D.; Whang, E.E.; Goldberg, J.; Bleday, R.; Melnitchouk, N. National Surgical Quality Improvement Program analysis of unplanned reoperation in patients undergoing low anterior resection or abdominoperineal resection for rectal cancer. Surgery 2019, 165, 602–607. [Google Scholar] [CrossRef]
  48. Ryuk, J.P.; Choi, G.S.; Park, J.S.; Kim, H.J.; Park, S.Y.; Yoon, G.S.; Jun, S.H.; Kwon, Y.C. Predictive factors and the prognosis of recurrence of colorectal cancer within 2 years after curative resection. Ann. Surg. Treat. Res. 2014, 86, 143–151. [Google Scholar] [CrossRef]
  49. Watanabe, T.; Muro, K.; Ajioka, Y.; Hashiguchi, Y.; Ito, Y.; Saito, Y.; Hamaguchi, T.; Ishida, H.; Ishiguro, M.; Ishihara, S.; et al. Japanese Society for Cancer of the Colon and Rectum (JSCCR) guidelines 2016 for the treatment of colorectal cancer. Int. J. Clin. Oncol. 2018, 23, 1–34. [Google Scholar] [CrossRef]
  50. Tan, W.J.; Tan, H.J.; Dorajoo, S.R.; Foo, F.J.; Tang, C.L.; Chew, M.H. Rectal Cancer Surveillance-Recurrence Patterns and Survival Outcomes from a Cohort Followed up Beyond 10 Years. J. Gastrointest. Cancer 2018, 49, 422–428. [Google Scholar] [CrossRef]
  51. Zheng, Z.; Wang, X.; Huang, Y.; Lu, X.; Huang, Z.; Chi, P. Defining and predicting early recurrence in patients with locally advanced rectal cancer treated with neoadjuvant chemoradiotherapy. Eur. J. Surg. Oncol. 2020, 46, 2057–2063. [Google Scholar] [CrossRef]
Figure 1. (A) Historical trend of operation time. (B) Historical trend of length of stay.
Figure 1. (A) Historical trend of operation time. (B) Historical trend of length of stay.
Cancers 14 04175 g001
Figure 2. Kaplan–Meier survival curves. (A) Overall survival. (B) Disease-free survival.
Figure 2. Kaplan–Meier survival curves. (A) Overall survival. (B) Disease-free survival.
Cancers 14 04175 g002
Table 1. Demographic and baseline characteristics of 605 patients with rectal cancer undergoing robotic-assisted rectal surgery.
Table 1. Demographic and baseline characteristics of 605 patients with rectal cancer undergoing robotic-assisted rectal surgery.
CharacteristicMedian (IQR a or %)
Age (years, median) (range)60 (51–67)
Gender
Female255 (42.1%)
Male350 (57.9%)
Tumor distance from anal verge (cm)
≤5 (Lower)301 (49.7%)
6–10 (Middle)176 (29.1%)
11–15 (Upper)116 (19.2%)
Unknown12 (2.0%)
AJCC Stage b
01 (0.2%)
I281 (46.4%)
II111 (18.4%)
III194 (32.1%)
IV13 (2.1%)
NA c5 (0.8%)
Pre-operation treatment
CCRT d429 (70.8%)
Chemotherapy7 (1.2%)
Radiation18 (3.0%)
None151 (25.0)
CCI e scores
0, 1536 (88.6%)
228 (4.6%)
≥341 (6.8%)
ASA f classification
I21 (3.5%)
II422 (70.1%)
III157 (26.1%)
IV2 (0.3%)
BMI g kg/m223.7 (21.6–26.7)
Procedure
LAR h377 (62.3%)
ISR i200 (33.1%)
APR j28 (4.6%)
a IQR interquartile range; b AJCC American Joint Commission on Cancer; c NA not available; d CCRT Concurrent chemoradiotherapy; e CCI Charlson Comorbidity Index; f ASA American Society of Anesthesiologists; g BMI Body mass index; h LAR low anterior resection; i ISR, intersphenteric resection; j APR abdominoperineal resection.
Table 2. Intraoperative Safety and Clinical Outcomes of 605 patients with rectal cancer undergoing robotic-assisted rectal surgery.
Table 2. Intraoperative Safety and Clinical Outcomes of 605 patients with rectal cancer undergoing robotic-assisted rectal surgery.
Intraoperative Safety
CharacteristicMedian (IQR a or %)
Conversions to open surgery1 (0.2%)
Console Time (min, median) (range)211 (172–256)
Operation Time (min, median) (range)270 (210–335)
Estimated blood loss (mL, Median)50 (30–100)
Blood transfusion during surgery10 (1.7%)
Rehospitalization within the 30-day postoperative period8 (1.3%)
Reoperation within the 30-day postoperative period10 (1.7%)
Death during surgery0 (0.0%)
Death within the 30-day postoperative period0 (0.0%)
Pathological outcomes and Oncological outcomes
CharacteristicMedian (IQR a or %)
Harvested Lymph Node14 (10–20)
Distal resection margin
Free584 (96.5%)
Positive21 (3.5%)
Circumferential resection margin
Free575 (95.0%)
Positive30 (5.0%)
Relapse113 (18.7%)
Local recurrence18 (3.0%)
Distant metastasis95 (15.7)
Cancer-specific death during follow-up period39 (6.4%)
a IQR interquartile range.
Table 3. Postoperative complications of 605 patients with rectal cancer undergoing robotic-assisted rectal surgery.
Table 3. Postoperative complications of 605 patients with rectal cancer undergoing robotic-assisted rectal surgery.
ComplicationsNumber (%)
Post-operative bleeding1 (0.2%)
Anastomosis leakage18 (3.0%)
Ileus20 (3.3%)
Infection events a22 (3.6%)
Urinary retention6 (1.0%)
Urinary infection14 (2.3%)
Pulmonary complication6 (1.0%)
Total87 (14.4%)
a Infection events included intraabdominal infection, intraabdominal abscess, and surgical site infection.
Table 4. Surgery characteristics of studies from relevant literatures.
Table 4. Surgery characteristics of studies from relevant literatures.
Author (Year,
Design)
CountryPatient
Number
Surgery TypeCancer StageOR Time (Minutes)Lymph Node YieldsLOS (Days)Conversion
Present studyTaiwanR: 605LAR, APR, ISRI, II, III, IV284.1115.3513.50.17%
Katsuno [30]
(2020, Cohort)
JapanR: 115LAR, APR, ISRI, II341NA11 *0
Yamaguchi [31]
(2018, Cohort)
JapanR: 551HAR, LAR, ISR, APR, HartmannI, II, III, IV257NA7 *0
Kim [34]
(2016, Cohort)
KoreaR: 60LAR, APRI, II, III, IV466.820.18.60%
Tang [36]
(2016, Cohort)
ChinaR: 392LAR, APR, HartmannI, II, III, IV29714.612.11.80%
Lim [37]
(2017, Cohort)
KoreaR: 74LAR, ISR, CAA, APRCR, I, II, III365.211.6NA1.40%
L: 64311.614.7NA6.30%
Chen [11]
(2020, Cohort)
TaiwanR: 88TMECR, I, II, IIINANANANA
L: 37NANANANA
O: 175NANANANA
Huang [24]
(2017, Cohort)
TaiwanR: 40LAR, ISRI, II, III274.4NA12.9NA
L: 38235.4NA11.7NA
Somashekhar [38]
(2015, RCT)
IndiaR: 25LAR, ARNAR: 310.316.887.52NA
O: 25L: 246.915.213.24NA
Jayne [29]
(2017, RCT)
ROLARR
Multinational
(Ten countries)
R: 237LAR, APR, HAR, Hartmann
(High anterior resection)
I, II, III, IVR: 298.524.18.28.10%
L: 234L: 26123.2812.20%
Kim [35]
(2018, RCT)
KoreaR: 66LAR, APR, HartmannI, II, III, IVR: 339.21810.31.50%
L: 73L: 227.81510.80%
Sujatha-Bhaskar [39]
(2017, Database)
United StatesR: 905APR, Proctectomy (incl. LAR)I, II, IIINA15.7NA7%
O: 3399NA14.8NANA
L: 2009NA15.2NA14%
Hyde [32]
(2019, Database)
United StatesR: 6035LARI, II, III, IVNA176.37.45
O: 21,421NA16.47.8NA
L: 13,826NA16.86.814.95
Chang [28]
(2020, Database)
ChinaR: 1145APR, LAR, APR, HartmannBenign, I, II, III, IVNA17NANA
Author (year, design)CountryPatient numberReoperationTransfusionBlood loss (mL)Positive CRMRecurrence
Present studyTaiwanR: 6051.70%1.65%72.584.96%Local: 2.96%
Systemic: 15.67%
Katsuno [30]
(2020, Cohort)
JapanR: 115NA020NALocal: 3.5%
Systemic: 20.0%
Yamaguchi [31]
(2018, Cohort)
JapanR: 551NA010NANA
Kim [34]
(2016, Cohort)
KoreaR: 60NANA74.211.70%Local: 1.9%
Systemic: 26.4%
Tang [36]
(2016, Cohort)
ChinaR:3921.8%NA67.52.30%Local: 2.3%
Lim [37]
(2017, Cohort)
KoreaR: 74NANANANALocal: 2.7%
Systemic: 18.9%
L: 64NANANANALocal: 6.3
Systemic: 15.6%
Chen [11]
(2020, Cohort)
TaiwanR: 88NANANA3.40%Local: 2.30%
Systemic: 21,6%
L: 37NANANA16.20%Local: 21.60%
Systemic: 35.1%
O: 175NANANA12%Local:6.90%
Systemic: 20.6%
Huang [24]
(2017, Cohort)
TaiwanR: 40NANA41.9NANA
L: 38NANA55.1NANA
Somashekhar [38]
(2015, RCT)
IndiaR: 25NANA165.140%NA
O: 25NANA406.040%NA
Jayne [29]
(2017, RCT)
ROLARR
Multinational
(Ten countries)
R: 237NANANA5.10%NA
L: 234NANANA6.30%NA
Kim [35]
(2018, RCT)
KoreaR: 663.03%NA1006.10%NA
L: 732.74%NA505.50%NA
Sujatha-Bhaskar [39]
(2017, Database)
United StatesR: 905NANANA4.75%NA
O: 3399NANANA7.62%NA
L: 2009NANANA4.87%NA
Hyde [32]
(2019, Database)
United StatesR: 6035NANANANANA
O: 21,421NANANANANA
L: 13,826NANANANANA
Chang [28]
(2020, Database)
ChinaR: 11450.80%NANA1.30%NA
Author (year, design)CountryPatient Number30 Day Readmission30 Day MortalityDisease Free Survival (DFS)
Present studyTaiwanR: 6051.32%0%5y: 86.3%
Katsuno [30]
(2020, Cohort)
JapanR: 115NANAI: 93.5%
II: 100%
III: 83.8%
Yamaguchi [31]
(2018, Cohort)
JapanR: 551NANAI: 93.6%
II: 75%
III: 77.6%
Kim [34]
(2016, Cohort)
KoreaR: 60NANA4y: 72.8%
Tang [36]
(2016, Cohort)
ChinaR: 392NA0.5%3y: 74.3%
Lim [37]
(2017, Cohort)
KoreaR: 74NANANA
L: 64NANANA
Chen [11]
(2020, Cohort)
TaiwanR: 88NANANA
L: 37NANANA
O: 175NANANA
Huang [24]
(2017, Cohort)
TaiwanR: 40NANANA
L: 38NANANA
Somashekhar [38]
(2015, RCT)
IndiaR: 25NANANA
O: 25NANANA
Jayne [29]
(2017, RCT)
ROLARR
Multinational
(Ten countries)
R: 237NA0.80%NA
L: 234NA0.90%NA
Kim [35]
(2018, RCT)
KoreaR: 66NANANA
L: 73NANANA
Sujatha-Bhaskar [39]
(2017, Database)
United StatesR: 905NA0%NA
O: 3399NA0%NA
L: 2009NA0.16%NA
Hyde [32]
(2019, Database)
United StatesR: 6035NA0.9NA
O: 21,421NA1.1NA
L: 13,826NA1.5NA
Chang [28]
(2020, Database)
ChinaR: 11452.30%0.10%NA
R: Robot Assisted Surgery, L: Laparoscopic surgery, O: Open surgery, LAR: Low Anterior Resection, APR: Abdominoperineal resection, ISR: intersphincteric Resection, TME: Total Mesorectal Excision, HAR: Higher Anterior Resection, CAA: Coloanal anastomosis, NA not available. * Median.
Table 5. Complication characteristics of studies from relevant literature.
Table 5. Complication characteristics of studies from relevant literature.
Author (Year,
Design)
CountryPatient NumberOverall
Complication Rate
Anastomotic LeakageIncisional Hernia Surgical Site
Infection
Ileus
Present studyTaiwanR: 60513.39%2.98%0%3.64%3.31%
Katsuno [30]
(2020, Cohort)
JapanR: 11514.80%6.10%NA1.70%NA
Yamaguchi [31]
(2018, Cohort)
JapanR: 55115.50%2.20%NANANA
Kim [34]
(2016, Cohort)
KoreaR: 6015%5%NANA3%
Tang [36]
(2016, Cohort)
ChinaR:3929.9%4.10%NANANA
Huang [24]
(2017, Cohort)
TaiwanR: 4015.00%7.50%NANA0.00%
L: 3818%5%NANA13%
Somashekhar [38]
(2015, RCT)
IndiaR: 250.00%NANANANA
O: 2520.00%NANANANA
Jayne [29]
(2017, RCT)
ROLARR
Multinational
(Ten countries)
R: 23733%15%NA9%NA
L: 23431.70%17.40%NA8.30%NA
Kim [35]
(2018, RCT)
KoreaR: 6634.80%12.10%NANA9.10%
L: 7323%7%NANA12%
Sujatha-Bhaskar [39]
(2017, Database)
United StatesR: 905NANANANANA
O: 3399NANANANANA
L: 2009NANANANANA
Chang [28]
(2020, Database)
ChinaR: 114516.30%4.20%NANA1.30%
Author (year, design)CountryPatient numberAbdominal bleedingUrinary retentionUrinary infectionPneumonia Fecal incontinence
Present studyTaiwanR: 6050.17%0.99%2.31%0.99%0.17%
Katsuno [30]
(2020, Cohort)
JapanR: 115NA3.50%NANANA
Yamaguchi [31]
(2018, Cohort)
JapanR: 551NA2.20%1.80%1.30%NA
Kim [34]
(2016, Cohort)
KoreaR: 60NANANANANA
Tang [36]
(2016, Cohort)
ChinaR:392NANANA0.00%NA
Huang [24]
(2017, Cohort)
TaiwanR: 40NANANANANA
L: 38NANANANANA
Somashekhar [38]
(2015, RCT)
IndiaR: 25NA8.00%NANANA
O: 25NA20.00%NANANA
Jayne [29]
(2017, RCT)
ROLARR
Multinational
(Ten countries)
R: 237NANANANANA
L: 234NANANANANA
Kim [35]
(2018, RCT)
KoreaR: 660.70%NANANANA
L: 730%NANANANA
Sujatha-Bhaskar [39]
(2017, Database)
L: 5935NANANANANA
United StatesR: 905NANANANANA
O: 3399NANANANANA
Chang [28]
(2020, Database)
L: 13,826NANANANANA
ChinaR: 1145NA2.50%NANANA
R: Robot Assisted Surgery, L: Laparoscopic surgery, O: Open surgery, NA not available.
Publisher’s Note: MDPI stays neutral with regard to jurisdictional claims in published maps and institutional affiliations.

Share and Cite

MDPI and ACS Style

Huang, C.-W.; Wei, P.-L.; Chen, C.-C.; Kuo, L.-J.; Wang, J.-Y. Clinical Safety and Effectiveness of Robotic-Assisted Surgery in Patients with Rectal Cancer: Real-World Experience over 8 Years of Multiple Institutions with High-Volume Robotic-Assisted Surgery. Cancers 2022, 14, 4175. https://doi.org/10.3390/cancers14174175

AMA Style

Huang C-W, Wei P-L, Chen C-C, Kuo L-J, Wang J-Y. Clinical Safety and Effectiveness of Robotic-Assisted Surgery in Patients with Rectal Cancer: Real-World Experience over 8 Years of Multiple Institutions with High-Volume Robotic-Assisted Surgery. Cancers. 2022; 14(17):4175. https://doi.org/10.3390/cancers14174175

Chicago/Turabian Style

Huang, Ching-Wen, Po-Li Wei, Chien-Chih Chen, Li-Jen Kuo, and Jaw-Yuan Wang. 2022. "Clinical Safety and Effectiveness of Robotic-Assisted Surgery in Patients with Rectal Cancer: Real-World Experience over 8 Years of Multiple Institutions with High-Volume Robotic-Assisted Surgery" Cancers 14, no. 17: 4175. https://doi.org/10.3390/cancers14174175

APA Style

Huang, C.-W., Wei, P.-L., Chen, C.-C., Kuo, L.-J., & Wang, J.-Y. (2022). Clinical Safety and Effectiveness of Robotic-Assisted Surgery in Patients with Rectal Cancer: Real-World Experience over 8 Years of Multiple Institutions with High-Volume Robotic-Assisted Surgery. Cancers, 14(17), 4175. https://doi.org/10.3390/cancers14174175

Note that from the first issue of 2016, this journal uses article numbers instead of page numbers. See further details here.

Article Metrics

Back to TopTop