The French Early Breast Cancer Cohort (FRESH): A Resource for Breast Cancer Research and Evaluations of Oncology Practices Based on the French National Healthcare System Database (SNDS)
Abstract
:Simple Summary
Abstract
1. Introduction
2. Materials and Methods
2.1. Data Source and Available Variables
2.2. Ethics and Data Protection
2.3. Selection of the Patients
2.4. BC Treatments
2.4.1. Surgery
2.4.2. Radiotherapy
2.4.3. Chemotherapy
2.4.4. Endocrine Therapy
2.4.5. Targeted Therapy (TT)
2.5. Date of First BC Treatment
2.6. BC Diagnostic Procedures and Date of BC Diagnosis
2.7. Variables of Interest
2.7.1. Sociodemographic Variables
2.7.2. Inferred BC Subtype
2.7.3. Nodal Status
2.8. Statistical Analysis
3. Results
3.1. Patients and Tumor Characteristics
3.1.1. Age at BC Diagnosis
3.1.2. Mode of Diagnosis
3.1.3. Inferred BC Subtypes
3.1.4. Nodal Status
3.2. BC Treatments
3.2.1. Sequence of Treatments and Care Pathways
3.2.2. Locoregional Treatments
3.2.3. Systemic Treatments
3.2.4. Targeted Therapy
3.2.5. Endocrine Therapy
3.3. Trends over Time
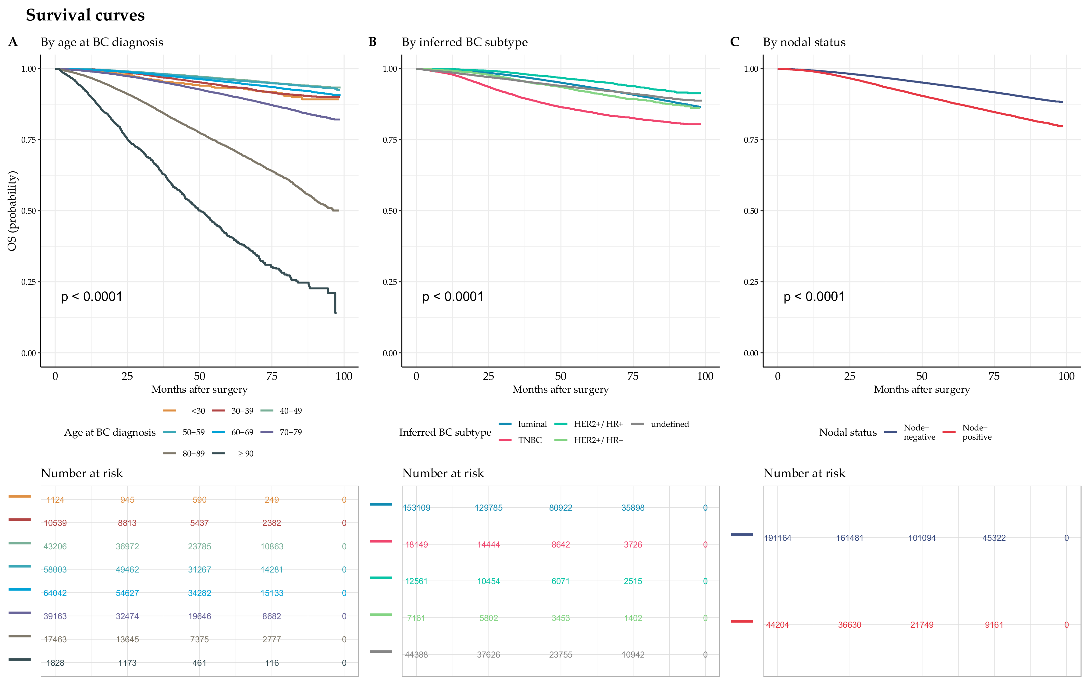
3.4. Survival Outcomes
4. Discussion
5. Conclusions
Supplementary Materials
Author Contributions
Funding
Institutional Review Board Statement
Informed Consent Statement
Data Availability Statement
Acknowledgments
Conflicts of Interest
References
- Schmid, P.; Cortes, J.; Pusztai, L.; McArthur, H.; Kümmel, S.; Bergh, J.; Denkert, C.; Park, Y.H.; Hui, R.; Harbeck, N.; et al. Pembrolizumab for Early Triple-Negative Breast Cancer. N. Engl. J. Med. 2020, 366, 1090–1098. [Google Scholar] [CrossRef] [PubMed]
- Casarotto, E.; Noize, P.; Gouverneur, A.; Berdaï, D.; Bégaud, B.; Levy-Bachelot, L.; Molimard, M. Overview of French Databases Available for Studying Anticancer Drugs in Real-Life Setting. Fundam. Clin. Pharmacol. 2021, 35, 76–85. [Google Scholar] [CrossRef] [PubMed]
- Tuppin, P.; Rudant, J.; Constantinou, P.; Gastaldi-Ménager, C.; Rachas, A.; de Roquefeuil, L.; Maura, G.; Caillol, H.; Tajahmady, A.; Coste, J.; et al. Value of a National Administrative Database to Guide Public Decisions: From the Système National d’information Interrégimes de l’Assurance Maladie (SNIIRAM) to the Système National Des Données de Santé (SNDS) in France. Revue d’Epidemiologie et de Sante Publique 2017, 65 (Suppl. S4), S149–S167. [Google Scholar] [CrossRef] [PubMed]
- Bousquet, P.J.; Lefeuvre, D.; Tuppin, P.; BenDiane, M.K.; Rocchi, M.; Bouée-Benhamiche, E.; Viguier, J.; Le Bihan-Benjamin, C. Cancer Care and Public Health Policy Evaluations in France: Usefulness of the National Cancer Cohort. PLoS ONE 2018, 13, e0206448. [Google Scholar] [CrossRef]
- Moulis, G.; Lapeyre-Mestre, M.; Palmaro, A.; Pugnet, G.; Montastruc, J.-L.; Sailler, L. French Health Insurance Databases: What Interest for Medical Research? La Revue de Médecine Interne 2015, 36, 411–417. [Google Scholar] [CrossRef] [Green Version]
- World Health Organization International. Classification of Diseases (ICD). Available online: https://www.who.int/standards/classifications/classification-of-diseases (accessed on 20 January 2022).
- Gucalp, A.; Traina, T.A.; Eisner, J.R.; Parker, J.S.; Selitsky, S.R.; Park, B.H.; Elias, A.D.; Baskin-Bey, E.S.; Cardoso, F. Male Breast Cancer: A Disease Distinct from Female Breast Cancer. Breast Cancer Res. Treat. 2019, 173, 37–48. [Google Scholar] [CrossRef]
- Bihan-Benjamin, C.L.; Bertrand, C.; Molinié, F.; Rogel, A.; Méric, J.-B.; Ifrah, N.; Bousquet, P.-J. Care Pathway of Women with Interval Breast Cancer in 2016, Based on Medico-Administrative Data. Clin. Breast Cancer 2021. [Google Scholar] [CrossRef]
- Tosello, G.; Torloni, M.R.; Mota, B.S.; Neeman, T.; Riera, R. Breast Surgery for Metastatic Breast Cancer. Cochrane Database Syst. Rev. 2018, 3, CD011276. [Google Scholar] [CrossRef]
- Gobbini, E.; Ezzalfani, M.; Dieras, V.; Bachelot, T.; Brain, E.; Debled, M.; Jacot, W.; Mouret-Reynier, M.A.; Goncalves, A.; Dalenc, F.; et al. Time Trends of Overall Survival among Metastatic Breast Cancer Patients in the Real-Life ESME Cohort. Eur. J. Cancer 2018, 96, 17–24. [Google Scholar] [CrossRef]
- Tolaney, S.M.; Barry, W.T.; Dang, C.T.; Yardley, D.A.; Moy, B.; Marcom, P.K.; Albain, K.S.; Rugo, H.S.; Ellis, M.; Shapira, I.; et al. Adjuvant Paclitaxel and Trastuzumab for Node-Negative, HER2-Positive Breast Cancer. N. Engl. J. Med. 2015, 372, 134–141. [Google Scholar] [CrossRef] [Green Version]
- Ameijeiras-Alonso, J.; Crujeiras, R.M.; Rodriguez-Casal, A. Multimode: An R Package for Mode Assessment. J. Stat. Softw. 2021, 97, 1–32. [Google Scholar] [CrossRef]
- Boffa, D.J.; Rosen, J.E.; Mallin, K.; Loomis, A.; Gay, G.; Palis, B.; Thoburn, K.; Gress, D.; McKellar, D.P.; Shulman, L.N.; et al. Using the National Cancer Database for Outcomes Research: A Review. JAMA Oncol. 2017, 3, 1722–1728. [Google Scholar] [CrossRef] [PubMed]
- Punglia, R.S.; Hughes, M.E.; Edge, S.B.; Theriault, R.L.; Bookman, M.A.; Wilson, J.L.; Ottesen, R.A.; Niland, J.C.; Weeks, J.C. Factors Associated with Guideline-Concordant Use of Radiotherapy after Mastectomy in the National Comprehensive Cancer Network. Int. J. Radiat. Oncol. Biol. Phys. 2008, 72, 1434–1440. [Google Scholar] [CrossRef] [PubMed] [Green Version]
- Vaz-Luis, I.; Ottesen, R.A.; Hughes, M.E.; Mamet, R.; Burstein, H.J.; Edge, S.B.; Gonzalez-Angulo, A.M.; Moy, B.; Rugo, H.S.; Theriault, R.L.; et al. Outcomes by Tumor Subtype and Treatment Pattern in Women with Small, Node-Negative Breast Cancer: A Multi-Institutional Study. J. Clin. Oncol. 2014, 32, 2142–2150. [Google Scholar] [CrossRef] [PubMed]
- de Boniface, J.; Szulkin, R.; Johansson, A.L.V. Survival After Breast Conservation vs Mastectomy Adjusted for Comorbidity and Socioeconomic Status: A Swedish National 6-Year Follow-up of 48,986 Women. JAMA Surg. 2021, 156, 628–637. [Google Scholar] [CrossRef] [PubMed]
- Christiansen, P.; Ejlertsen, B.; Jensen, M.-B.; Mouridsen, H. Danish Breast Cancer Cooperative Group. Clin. Epidemiol. 2016, 8, 445–449. [Google Scholar] [CrossRef] [Green Version]
- Johansson, A.L.V.; Fredriksson, I.; Mellemkjaer, L.; Stensheim, H.; Lähteenmäki, P.; Winther, J.F.; Ullenhag, G.J.; Lundberg, F.E. Cancer Survival in Women Diagnosed with Pregnancy-Associated Cancer: An Overview Using Nationwide Registry Data in Sweden 1970–2018. Eur. J. Cancer 2021, 155, 106–115. [Google Scholar] [CrossRef]
- Leinonen, M.K.; Miettinen, J.; Heikkinen, S.; Pitkäniemi, J.; Malila, N. Quality Measures of the Population-Based Finnish Cancer Registry Indicate Sound Data Quality for Solid Malignant Tumours. Eur. J. Cancer 2017, 77, 31–39. [Google Scholar] [CrossRef]
- Tubiana, S.; Blotière, P.-O.; Hoen, B.; Lesclous, P.; Millot, S.; Rudant, J.; Weill, A.; Coste, J.; Alla, F.; Duval, X. Dental Procedures, Antibiotic Prophylaxis, and Endocarditis among People with Prosthetic Heart Valves: Nationwide Population Based Cohort and a Case Crossover Study. BMJ 2017, 358, j3776. [Google Scholar] [CrossRef] [Green Version]
- Meyer, A.; Rudant, J.; Drouin, J.; Weill, A.; Carbonnel, F.; Coste, J. Effectiveness and Safety of Reference Infliximab and Biosimilar in Crohn Disease: A French Equivalence Study. Ann. Intern. Med. 2019, 170, 99–107. [Google Scholar] [CrossRef]
- Boucheron, P.; Lailler, G.; Moutengou, E.; Regnault, N.; Gabet, A.; Deneux-Tharaux, C.; Kretz, S.; Grave, C.; Mounier-Vehier, C.; Tsatsaris, V.; et al. Hypertensive Disorders of Pregnancy and Onset of Chronic Hypertension in France: The Nationwide CONCEPTION Study. Eur. Heart J. 2021, 23, 1344–1353. [Google Scholar] [CrossRef] [PubMed]
- Weill, A.; Nguyen, P.; Labidi, M.; Cadier, B.; Passeri, T.; Duranteau, L.; Bernat, A.-L.; Yoldjian, I.; Fontanel, S.; Froelich, S.; et al. Use of High Dose Cyproterone Acetate and Risk of Intracranial Meningioma in Women: Cohort Study. BMJ 2021, 372, n37. [Google Scholar] [CrossRef] [PubMed]
- Giral, P.; Neumann, A.; Weill, A.; Coste, J. Cardiovascular Effect of Discontinuing Statins for Primary Prevention at the Age of 75 Years: A Nationwide Population-Based Cohort Study in France. Eur. Heart J. 2019, 40, 3516–3525. [Google Scholar] [CrossRef] [PubMed] [Green Version]
- Lemaitre, M.; Kirchgesner, J.; Rudnichi, A.; Carrat, F.; Zureik, M.; Carbonnel, F.; Dray-Spira, R. Association Between Use of Thiopurines or Tumor Necrosis Factor Antagonists Alone or in Combination and Risk of Lymphoma in Patients with Inflammatory Bowel Disease. JAMA 2017, 318, 1679–1686. [Google Scholar] [CrossRef]
- Ajrouche, A.; Estellat, C.; De Rycke, Y.; Tubach, F. Evaluation of Algorithms to Identify Incident Cancer Cases by Using French Health Administrative Databases. Pharmacoepidemiol. Drug Saf. 2017, 26, 935–944. [Google Scholar] [CrossRef]
- Bousquet, P.-J.; Caillet, P.; Coeuret-Pellicer, M.; Goulard, H.; Kudjawu, Y.C.; Le Bihan, C.; Lecuyer, A.I.; Séguret, F. Using cancer case identification algorithms in medico-administrative databases: Literature review and first results from the REDSIAM Tumors group based on breast, colon, and lung cancer. Revue d’Epidemiologie et de Sante Publique 2017, 65 (Suppl. S4), S236–S242. [Google Scholar] [CrossRef]
- Lefeuvre, D.; Le Bihan-Benjamin, C.; Pauporté, I.; Medioni, J.; Bousquet, P.-J. French Medico-Administrative Data to Identify the Care Pathways of Women with Breast Cancer. Clin. Breast Cancer 2017, 17, e191–e197. [Google Scholar] [CrossRef]
- Lefeuvre, D.; Catajar, N.; Le Bihan Benjamin, C.; Ifrah, N.; De Bels, F.; Viguier, J.; Bousquet, P.J. Breast Cancer Screening: Impact on Care Pathways. Cancer Med. 2019, 8, 4070–4078. [Google Scholar] [CrossRef] [Green Version]
- Huiart, L.; Bouhnik, A.-D.; Rey, D.; Tarpin, C.; Cluze, C.; Bendiane, M.K.; Viens, P.; Giorgi, R. Early Discontinuation of Tamoxifen Intake in Younger Women with Breast Cancer: Is It Time to Rethink the Way It Is Prescribed? Eur. J. Cancer 2012, 48, 1939–1946. [Google Scholar] [CrossRef]
- Lailler, G.; Memoli, V.; Le Bihan Benjamin, C.; Ben Diane, M.-K.; Lauzier, S.; Mancini, J.; Bousquet, P.J.; Bouhnik, A.-D. Five-Year Adjuvant Endocrine Therapy Adherence Trajectories Among Women with Breast Cancer: A Nationwide French Study Using Administrative Data. Clin. Breast Cancer 2021, 21, e415–e426. [Google Scholar] [CrossRef]
- Jabagi, M.J.; Vey, N.; Goncalves, A.; Tri, T.L.; Zureik, M.; Dray-spira, R. Risk of Secondary Hematologic Malignancies Associated with Breast Cancer Chemotherapy and G-CSF Support: A Nationwide Population-Based Cohort. Int. J. Cancer 2020, 148, 375–384. [Google Scholar] [CrossRef] [PubMed]
- Cottenet, J.; Dabakuyo-Yonli, T.S.; Mariet, A.; Roussot, A.; Arveux, P.; Quantin, C. Prevalence of Patients Hospitalised for Male Breast Cancer in France Using the French Nationwide Hospital Administrative Database. Eur. J. Cancer Care 2019, 28, e13117. [Google Scholar] [CrossRef] [PubMed]
- DeSantis, C.E.; Ma, J.; Gaudet, M.M.; Newman, L.A.; Miller, K.D.; Goding Sauer, A.; Jemal, A.; Siegel, R.L. Breast Cancer Statistics, 2019. CA Cancer J. Clin. 2019, 69, 438–451. [Google Scholar] [CrossRef] [PubMed]
- Daily, K.; Douglas, E.; Romitti, P.A.; Thomas, A. Epidemiology of De Novo Metastatic Breast Cancer. Clin. Breast Cancer 2021, 21, 302–308. [Google Scholar] [CrossRef]
- Dreyer, M.S.; Nattinger, A.B.; McGinley, E.L.; Pezzin, L.E. Socioeconomic status and breast cancer treatment. Breast Cancer Res. Treat. 2018, 167, 1–8. [Google Scholar] [CrossRef]
- Yang, Z.-J.; Yu, Y.; Hou, X.-W.; Chi, J.-R.; Ge, J.; Wang, X.; Cao, X.-C. The Prognostic Value of Node Status in Different Breast Cancer Subtypes. Oncotarget 2017, 8, 4563–4571. [Google Scholar] [CrossRef]
- Murphy, B.L.; Day, C.N.; Hoskin, T.L.; Habermann, E.B.; Boughey, J.C. Adolescents and Young Adults with Breast Cancer Have More Aggressive Disease and Treatment Than Patients in Their Forties. Ann. Surg. Oncol. 2019, 26, 3920–3930. [Google Scholar] [CrossRef]
- Kim, H.J.; Kim, S.; Freedman, R.A.; Partridge, A.H. The Impact of Young Age at Diagnosis (Age <40 Years) on Prognosis Varies by Breast Cancer Subtype: A U.S. SEER Database Analysis. Breast 2022, 61, 77–83. [Google Scholar] [CrossRef]
- Biganzoli, L.; Marotti, L.; Hart, C.D.; Cataliotti, L.; Cutuli, B.; Kühn, T.; Mansel, R.E.; Ponti, A.; Poortmans, P.; Regitnig, P.; et al. Quality Indicators in Breast Cancer Care: An Update from the EUSOMA Working Group. Eur. J. Cancer 2017, 86, 59–81. [Google Scholar] [CrossRef]





| Variable | Class | All |
|---|---|---|
| n = | 235,368 | |
| Age at diagnosis (years) | 60.0 (19.0) | |
| Age at diagnosis (years, classes) | (0–30) | 1124 (0.5%) |
| (30–40) | 10,539 (4.5%) | |
| (40–50) | 43,206 (18.4%) | |
| (50–60) | 58,003 (24.6%) | |
| (60–70) | 64,042 (27.2%) | |
| (70–80) | 39,163 (16.6%) | |
| 80+ | 19,291 (8.2%) | |
| Inferred BC subtype | Luminal | 153,109 (65.1%) |
| TNBC | 18,149 (7.7%) | |
| HER2+/HR+ | 12,561 (5.3%) | |
| HER2+/HR− | 7161 (3.0%) | |
| Undefined | 44,388 (18.9%) | |
| Nodal status | Node negative | 191,164 (81.2%) |
| Node positive | 44,204 (18.8%) | |
| Surgery | No | 0 (0%) |
| Yes | 235,368 (100%) | |
| Surgery type | ||
| Partial Mastectomy | 173,173 (73.6%) | |
| Mastectomy | 62,195 (26.4%) | |
| Axillar surgery | ||
| No | 38,231 (16.2%) | |
| Yes | 197,137 (83.8%) | |
| Chemotherapy | No | 145,116 (61.7%) |
| Yes | 90,252 (38.3%) | |
| Setting | ||
| Neoadjuvant | 15,627 (17.3%) | |
| Adjuvant | 72,939 (80.8%) | |
| Both | 1686 (1.9%) | |
| Regimen * | ||
| Anthracyclines | 773 (0.8%) | |
| Anthracyclines/Docetaxel | 13,897 (15.1%) | |
| Anthracyclines/Paclitaxel | 21,605 (23.5%) | |
| Docetaxel | 4974 (5.4%) | |
| Paclitaxel | 2869 (3.1%) | |
| Other | 6441 (7.0%) | |
| Unknown (Anthracyclines or Docetaxel) | 41,379 (45.0%) | |
| Targeted therapy | No | 215,646 (91.6%) |
| Yes | 19,722 (8.4%) | |
| Setting | ||
| Neoadjuvant followed by adjuvant | 4424 (22.4%) | |
| Adjuvant | 15,298 (77.6%) | |
| Regimen | ||
| Trastuzumab only | 19,289 (97.8%) | |
| Pertuzumab +/− trastuzumab ** | 433 (2.2%) | |
| Radiotherapy | No | 34,683 (14.7%) |
| Yes | 200,685 (85.3%) | |
| Setting | ||
| Neoadjuvant | 323 (0.2%) | |
| Adjuvant | 200,180 (99.7%) | |
| Both | 182 (0.1%) | |
| Endocrine therapy | No | 69,713 (29.6%) |
| Yes | 165,655 (70.4%) | |
| Setting | ||
| Neoadjuvant followed by adjuvant | 2438 (1.5%) | |
| Adjuvant | 163,217 (98.6%) | |
| Regimen | ||
| AI | 102,757 (62.0%) | |
| Tamoxifen | 35,187 (21.2%) | |
| Tamoxifen followed by AI | 10,350 (6.2%) | |
| AI followed by tamoxifen | 8011 (4.8%) | |
| Tamoxifen in combination with agonist | 1064 (0.6%) | |
| AI in combination with agonist | 705 (0.4%) | |
| Others | 7581 (4.6%) |
Publisher’s Note: MDPI stays neutral with regard to jurisdictional claims in published maps and institutional affiliations. |
© 2022 by the authors. Licensee MDPI, Basel, Switzerland. This article is an open access article distributed under the terms and conditions of the Creative Commons Attribution (CC BY) license (https://creativecommons.org/licenses/by/4.0/).
Share and Cite
Dumas, E.; Laot, L.; Coussy, F.; Grandal Rejo, B.; Daoud, E.; Laas, E.; Kassara, A.; Majdling, A.; Kabirian, R.; Jochum, F.; et al. The French Early Breast Cancer Cohort (FRESH): A Resource for Breast Cancer Research and Evaluations of Oncology Practices Based on the French National Healthcare System Database (SNDS). Cancers 2022, 14, 2671. https://doi.org/10.3390/cancers14112671
Dumas E, Laot L, Coussy F, Grandal Rejo B, Daoud E, Laas E, Kassara A, Majdling A, Kabirian R, Jochum F, et al. The French Early Breast Cancer Cohort (FRESH): A Resource for Breast Cancer Research and Evaluations of Oncology Practices Based on the French National Healthcare System Database (SNDS). Cancers. 2022; 14(11):2671. https://doi.org/10.3390/cancers14112671
Chicago/Turabian StyleDumas, Elise, Lucie Laot, Florence Coussy, Beatriz Grandal Rejo, Eric Daoud, Enora Laas, Amyn Kassara, Alena Majdling, Rayan Kabirian, Floriane Jochum, and et al. 2022. "The French Early Breast Cancer Cohort (FRESH): A Resource for Breast Cancer Research and Evaluations of Oncology Practices Based on the French National Healthcare System Database (SNDS)" Cancers 14, no. 11: 2671. https://doi.org/10.3390/cancers14112671
APA StyleDumas, E., Laot, L., Coussy, F., Grandal Rejo, B., Daoud, E., Laas, E., Kassara, A., Majdling, A., Kabirian, R., Jochum, F., Gougis, P., Michel, S., Houzard, S., Le Bihan-Benjamin, C., Bousquet, P.-J., Hotton, J., Azencott, C.-A., Reyal, F., & Hamy, A.-S. (2022). The French Early Breast Cancer Cohort (FRESH): A Resource for Breast Cancer Research and Evaluations of Oncology Practices Based on the French National Healthcare System Database (SNDS). Cancers, 14(11), 2671. https://doi.org/10.3390/cancers14112671

