Investigation on the I–V Kink Effect in Large Signal Modeling of AlGaN/GaN HEMTs
Abstract
1. Introduction
2. Model Description
2.1. Characterization of the I–V Kink Effect
2.2. Compact Modeling and Its Validation
3. Investigation on Large Signal Performance
3.1. Validation of the Large Signal Model
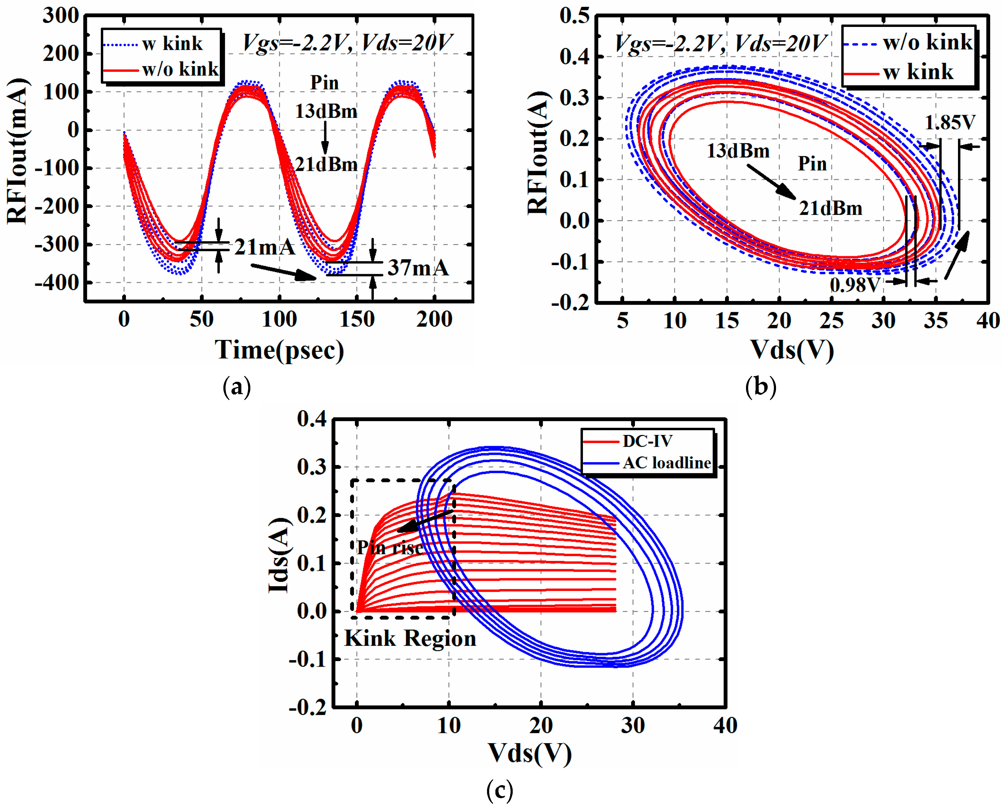
3.2. The Influence of I–V Kink Effect with Different Input Power
3.3. The Influence of I–V Kink Effect under Different Bias Points
4. Conclusions
Author Contributions
Funding
Conflicts of Interest
References
- Mishra, U.K.; Shen, L.; Kazior, T.E.; Wu, Y.F. GaN-based RF power devices and amplifiers. Proc. IEEE 2008, 96, 287–305. [Google Scholar] [CrossRef]
- Ohno, Y.; Kuzuhara, M. Application of GaN-based heterojunction FETs for advanced wireless communication. IEEE Trans. Electron Devices 2001, 48, 517–523. [Google Scholar] [CrossRef]
- Sokolov, V.N.; Kim, K.W.; Kochelap, V.A.; Woolard, D.L. Terahertz generation in submicron GaN diodes within the limited space-charge accumulation regime. J. Appl. Phys. 2005, 98, 3096. [Google Scholar] [CrossRef]
- Wu, S.; Guo, J.; Wang, W.; Zhang, J. W-band MMIC PA with ultrahigh power density in 100-nm ALGaN/GaN technology. IEEE Trans. Electron Devices 2016, 63, 3882–3886. [Google Scholar] [CrossRef]
- Wienecke, S.; Romanczyk, B.; Guidry, M.; Li, H.; Ahmadi, E.; Hestroffer, K.; Zheng, X.; Keller, S.; Mishra, U.K. N-polar GaN cap MISHEMT with record power density exceeding 6.5 W/mm at 94 GHz. IEEE Electron. Device Lett. 2017, 38, 359–362. [Google Scholar] [CrossRef]
- Chen, K.; Peroulis, D. Design of highly efficient broadband class-E power amplifier using synthesized low-pass matching networks. IEEE Trans. Microw. Theory Tech. 2011, 59, 3162–3173. [Google Scholar] [CrossRef]
- Kim, J.; Park, H.; Lee, S.; Kwon, Y. 6–18 GHz, 8.1 W size-efficient GaN distributed amplifier MMIC. Electron. Lett. 2016, 52, 622–624. [Google Scholar] [CrossRef]
- Colantonio, P.; Giannini, F.; Giofre, R.; Piazzon, L. High-efficiency ultra-wideband power amplifier in GaN technology. Electron. Lett. 2008, 44, 130–131. [Google Scholar] [CrossRef]
- Dunleavy, L.; Baylis, C.; Curtice, W.; Connick, R. Modeling GaN: Powerful but challenging. IEEE Microw. Mag. 2010, 11, 82–96. [Google Scholar] [CrossRef]
- Jardel, O.; Groote, F.D.; Reveyrand, T.; Jacquet, J.; Charbonniaud, C.; Teyssier, J.; Floriot, D.; Quere, R. An electrothermal model for AlGaN/GaN power hemts including trapping effects to improve large-signal simulation results on high VSWR. IEEE Trans. Microw. Theory Tech. 2007, 55, 2660–2669. [Google Scholar] [CrossRef]
- Liu, L.; Ma, J.; Ng, G. Electrothermal large-signal model of III–V FETs including frequency dispersion and charge conservation. IEEE Trans. Microw. Theory Tech. 2009, 57, 3106–3117. [Google Scholar] [CrossRef]
- Wen, Z.; Xu, Y.; Chen, Y.; Tao, H.; Ren, C.; Lu, H.; Wang, Z.; Zheng, W.; Zhang, B.; Chen, T.; Gao, T.; Xu, R. A quasi-physical compact large-signal model for AlGaN/GaN HEMTs. IEEE Trans. Microw. Theory Tech. 2017, 65, 5113–5122. [Google Scholar] [CrossRef]
- Binari, S.C.; Ikossi, K.; Roussos, J.A.; Kruppa, W.; Doewon, P.; Dietrich, H.B.; Koleske, D.D.; Wickenden, A.E.; Henry, R.L. Trapping effects and microwave power performance in algan/gan hemts. IEEE Trans. Electron Devices 2001, 48, 465–471. [Google Scholar] [CrossRef]
- Binari, S.C.; Klein, P.B.; Kazior, T.E. Trapping effects in GaN and SiC microwave FETs. Proc. IEEE 2002, 90, 1048–1058. [Google Scholar] [CrossRef]
- Yuk, K.S.; Branner, G.R.; McQuate, D.J. A wideband multiharmonic empirical large-signal model for high-power GaN HEMTs with self-heating and charge-trapping effects. IEEE Trans. Microw. Theory Tech. 2009, 57, 3322–3332. [Google Scholar] [CrossRef]
- Lautensack, C.; Chalermwisutkul, S.; Jansen, R.H. Modification of EEHEMT1 Model for Accurate Description of GaN HEMT Output Characteristics. In Proceedings of the 2007 Asia-Pacific Microwave Conference, Bangkok, Thailand, 11–14 December 2007. [Google Scholar]
- Angelov, I.; Thorsell, M.; Andersson, K.; Rorsman, N.; Kuwata, E.; Ohtsuka, H.; Yamanaka, K. On the Large-signal Modeling of High Power AlGaN/GaN HEMTs. In Proceedings of the 2012 IEEE/MTT-S International Microwave Symposium Digest, Montreal, QC, Canada, 17–22 June 2012. [Google Scholar]
- Radhakrishna, U.; Choi, P.; Grajal, J.; Peh, L.; Palacios, T.; Antoniadis, D. Study of RF-circuit Linearity Performance of GAN HEMT Technology Using the MVSG Compact Device Model. In Proceedings of the 2016 IEEE International Electron Devices Meeting, San Francisco, CA, USA, 3–7 December 2016. [Google Scholar]
- Ahsan, S.A.; Ghosh, S.; Khandelwal, S.; Chauhan, Y.S. Physics-based multi-bias RF large-signal GaN HEMT modeling and parameter extraction flow. IEEE J. Electron Devices Soc. 2017, 5, 310–319. [Google Scholar] [CrossRef]
- Mao, S.; Xu, Y.; Chen, Y.; Fu, W.; Zhao, X.; Xu, R. High frequency noise model of ALGaN/GaN HEMTs. ECS J. Solid State Sci. Technol. 2017, 6, S3072–S3077. [Google Scholar] [CrossRef]
- Kuang, J.B.; Tasker, P.J.; Wang, G.W.; Chen, Y.K.; Eastman, L.F.; Aina, O.A.; Hier, H.; Fathimulla, A. Kink effect in submicrometer-gate MBE-grown InAlAs/InGaAs/InAlAs heterojunction MESFETs. IEEE Electron Device Lett. 1988, 9, 630–632. [Google Scholar] [CrossRef]
- Meneghesso, G.; Zanon, F.; Uren, M.J.; Zanoni, E. Anomalous kink effect in GaN high electron mobility transistors. IEEE Electron Device Lett. 2009, 30, 100–102. [Google Scholar] [CrossRef]
- Wang, M.; Chen, K.J. Kink effect in AlGaN/GaN HEMTs induced by drain and gate pumping. IEEE Electron Device Lett. 2011, 32, 482–484. [Google Scholar] [CrossRef]
- Crupi, G.; Raffo, A.; Marinković, Z.; Avolio, G.; Caddemi, A.; Marković, V.; Vannini, G.; Schreurs, D.M.M. An extensive experimental analysis of the kink effects in S22 and h21 for a GaN HEMT. IEEE Trans. Microw. Theory Tech. 2014, 62, 513–520. [Google Scholar] [CrossRef]
- Birafane, A.; Aflaki, P.; Kouki, A.B.; Ghannouchi, F.M. Enhanced DC model for GaN HEMT transistors with built-in thermal and trapping effects. Solid State Electron. 2012, 76, 77–83. [Google Scholar] [CrossRef]
- Cuerdo, R.; Pei, Y.; Chen, Z.; Keller, S.; DenBaars, S.P.; Calle, F.; Mishra, U.K. The kink effect at cryogenic temperatures in deep submicron AlGaN/GaN HEMTs. IEEE Electron Device Lett. 2009, 30, 209–212. [Google Scholar] [CrossRef]
- Fu, L.; Lu, H.; Chen, D.; Zhang, R.; Zheng, Y.; Chen, T.; Wei, K.; Liu, X. Field-dependent carrier trapping induced kink effect in AlGaN/GaN high electron mobility transistors. Appl. Phys. Lett. 2011, 98, 586. [Google Scholar] [CrossRef]
- Brunel, L.; Malbert, N.; Curutchet, A.; Labat, N.; Lambert, B. Kink effect characterization in AlGaN/GaN HEMTs by DC and drain current transient measurements. In Proceedings of the 2012 European Solid-State Device Research Conference (ESSDERC), Bordeaux, France, 17–21 September 2012; pp. 270–273. [Google Scholar] [CrossRef]
- Xu, Y.; Wang, C.; Sun, H.; Wen, Z.; Wu, Y.; Xu, R.; Yu, X.; Ren, C.; Wang, Z.; Zhang, B.; Chen, T.; Gao, T. A scalable large-signal multiharmonic model of AlGaN/GaN HEMTs and its application in C-band high power amplifier MMIC. IEEE Trans. Microw. Theory Tech. 2017, 65, 2836–2846. [Google Scholar] [CrossRef]
- Wang, C.; Xu, Y.; Yu, X.; Ren, C.; Wang, Z.; Lu, H.; Chen, T.; Zhang, B.; Xu, R. An electrothermal model for empirical large- signal modeling of AlGaN/GaN HEMTs including self-heating and ambient temperature effects. IEEE Trans. Microw. Theory Tech. 2014, 62, 2878–2887. [Google Scholar] [CrossRef]











| Ik0 | vds_k1 | a | b | vgs_k0 | vgs_k1 | c | d |
|---|---|---|---|---|---|---|---|
| 0.04 | 0.012 | −0.7 | −1.01 | 0 | 3.08 | 2.51 | 9.82 |
| Index | Bias Point | ∆PAE |
|---|---|---|
| 1 | Vgs = −2.2 V, Vds = 28 V | 3.3% |
| 2 | Vgs = −2.6 V, Vds = 28 V | 3.8% |
| 3 | Vgs = −2.2 V, Vds = 20 V | 4.3% |
| 4 | Vgs = −2.6 V, Vds = 20 V | 5.1% |
© 2018 by the authors. Licensee MDPI, Basel, Switzerland. This article is an open access article distributed under the terms and conditions of the Creative Commons Attribution (CC BY) license (http://creativecommons.org/licenses/by/4.0/).
Share and Cite
Mao, S.; Xu, Y. Investigation on the I–V Kink Effect in Large Signal Modeling of AlGaN/GaN HEMTs. Micromachines 2018, 9, 571. https://doi.org/10.3390/mi9110571
Mao S, Xu Y. Investigation on the I–V Kink Effect in Large Signal Modeling of AlGaN/GaN HEMTs. Micromachines. 2018; 9(11):571. https://doi.org/10.3390/mi9110571
Chicago/Turabian StyleMao, Shuman, and Yuehang Xu. 2018. "Investigation on the I–V Kink Effect in Large Signal Modeling of AlGaN/GaN HEMTs" Micromachines 9, no. 11: 571. https://doi.org/10.3390/mi9110571
APA StyleMao, S., & Xu, Y. (2018). Investigation on the I–V Kink Effect in Large Signal Modeling of AlGaN/GaN HEMTs. Micromachines, 9(11), 571. https://doi.org/10.3390/mi9110571

