Effect of AlN Cap Layer on Polarization Coulomb Field Scattering in AlGaN/GaN Heterostructure Field Effect Transistor
Abstract
1. Introduction
2. Experimental Section
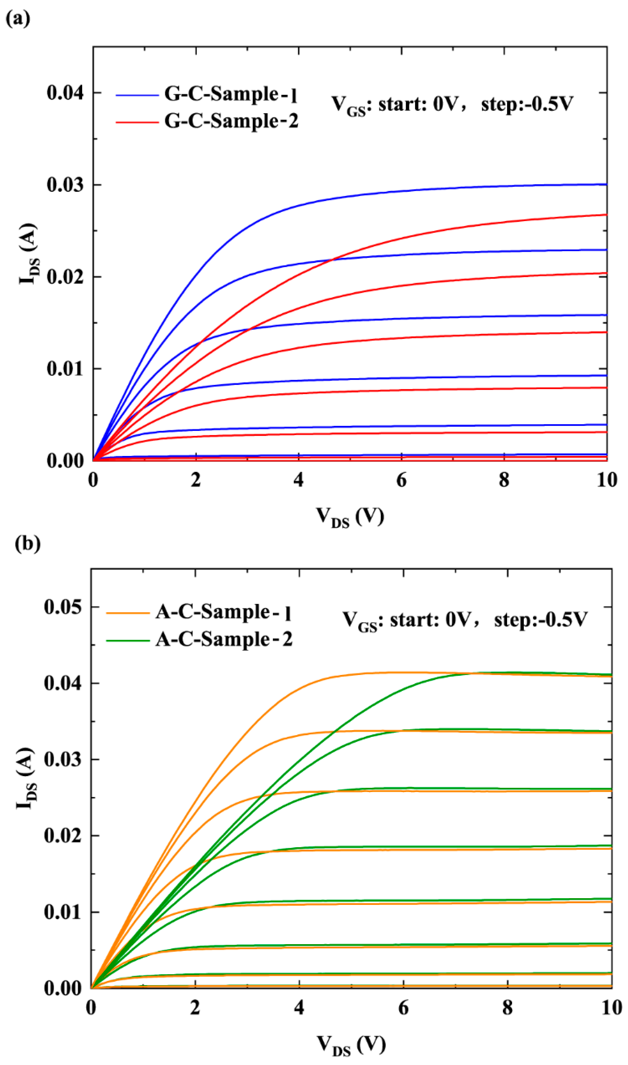
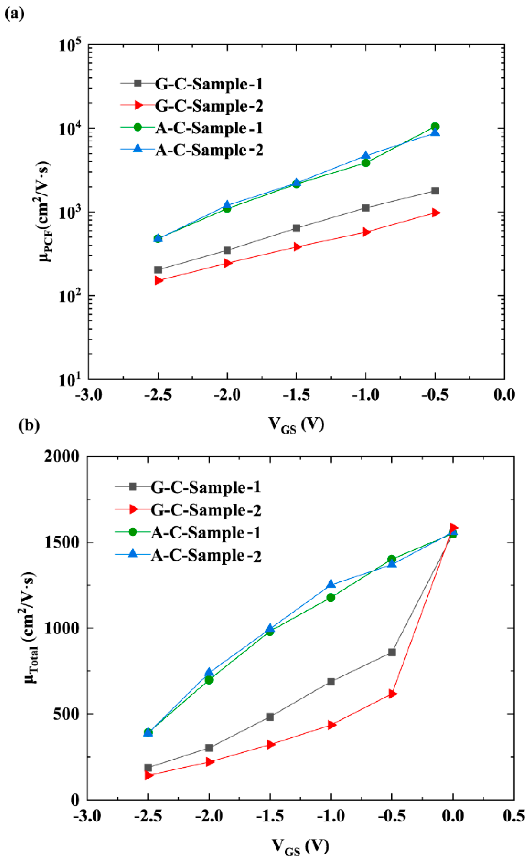
3. Results and Discussion
4. Conclusions
Author Contributions
Funding
Data Availability Statement
Conflicts of Interest
References
- Ding, X.; Zhou, Y.; Cheng, J. A review of gallium nitride power device and its applications in motor drive. CES Trans. Electr. Mach. Syst. 2019, 3, 54–64. [Google Scholar] [CrossRef]
- Moon, J.-S.; Wong, J.; Grabar, B.; Antcliffe, M.; Chen, P.; Arkun, E.; Khalaf, I.; Corrion, A.; Chappell, J.; Venkatesan, N.; et al. 360 GHz fMAX Graded-Channel AlGaN/GaN HEMTs for mmW Low-Noise Applications. IEEE Electron Device Lett. 2020, 41, 1173–1176. [Google Scholar] [CrossRef]
- Greco, G.; Iucolano, F.; Roccaforte, F. Review of technology for normally-off HEMTs with p-GaN gate. Mater. Sci. Semicond. Process. 2018, 78, 96–106. [Google Scholar] [CrossRef]
- Roccaforte, F.; Greco, G.; Fiorenza, P.; Iucolano, F. An overview of normally-off GaN-based high electron mobility transistors. Materials 2019, 12, 1599. [Google Scholar] [CrossRef] [PubMed]
- Wang, Z.; Nan, J.; Tian, Z.; Liu, P.; Wu, Y.; Zhang, J. Review on Main Gate Characteristics of P-Type GaN Gate High-Electron-Mobility Transistors. Micromachines 2024, 15, 80. [Google Scholar] [CrossRef]
- Cui, P.; Lv, Y.; Fu, C.; Liu, H.; Cheng, A.; Luan, C.; Zhou, Y.; Lin, Z. Effect of polarization Coulomb field scattering on electrical properties of the 70-nm gate-length AlGaN/GaN HEMTs. Sci. Rep. 2018, 8, 12850. [Google Scholar] [CrossRef]
- Cui, P.; Lin, Z.; Fu, C.; Liu, Y.; Lv, Y. A method to determine electron mobility of the two-dimensional electron gas in AlGaN/GaN heterostructure field-effect transistors. Superlattices Microstruct. 2017, 110, 289–295. [Google Scholar] [CrossRef]
- Fu, C.; Lin, Z.; Cui, P.; Lv, Y.; Zhou, Y.; Dai, G.; Luan, C.; Liu, H.; Cheng, A. The influence of the PCF scattering on the electrical properties of the AlGaN/AlN/GaN HEMTs after the Si3N4 surface passivation. Appl. Phys. A 2018, 124, 299. [Google Scholar] [CrossRef]
- Asubar, J.T.; Yatabe, Z.; Gregusova, D.; Hashizume, T. Controlling surface/interface states in GaN-based transistors: Surface model, insulated gate, and surface passivation. J. Appl. Phys. 2021, 129, 121102. [Google Scholar] [CrossRef]
- Cao, Y. Study of AlN/GaN HEMTs: MBE Growths, Transport Properties and Device Issues; VDM Verlag: Saarbrücken, Germany, 2011; p. 12. [Google Scholar]
- Cui, P.; Liu, H.; Lin, Z.; Cheng, A.; Liu, Y.; Fu, C.; Lv, Y.; Feng, Z.; Luan, C. Influence of different GaN cap layer thicknesses on electron mobility in AlN/GaN heterostructure field-effect transistors. Superlattices Microstruct. 2016, 100, 358–364. [Google Scholar] [CrossRef]
- Jiang, G.; Lv, Y.; Lin, Z.; Yang, Y.; Liu, Y.; Guo, S.; Zhou, Y. Polarization Coulomb field scattering with the electron systems in AlGaN/GaN heterostructure field-effect transistors. AIP Adv. 2020, 10, 075212. [Google Scholar] [CrossRef]
- Cui, P.; Liu, H.; Lin, W.; Lin, Z.; Cheng, A.; Yang, M.; Liu, Y.; Fu, C.; Lv, Y.; Luan, C. Influence of Different Gate Biases and Gate Lengths on Parasitic Source Access Resistance in AlGaN/GaN Heterostructure FETs. IEEE Trans. Electron Devices 2017, 64, 1038–1044. [Google Scholar] [CrossRef]
- Zhao, J.; Lin, Z.; Corrigan, T.D.; Wang, Z.; You, Z.; Wang, Z. Electron mobility related to scattering caused by the strain variation of AlGaN barrier layer in strained AlGaN∕GaN heterostructures. Appl. Phys. Lett. 2007, 91, 173507. [Google Scholar] [CrossRef]
- Luo, X.; Cui, P.; Linewih, H.; Zhang, T.; Yan, X.; Chen, S.; Wang, L.; Dai, J.; Lin, Z.; Xu, X.; et al. Enhanced device performance of GaN high electron mobility transistors with in situ crystalline SiN cap layer. Appl. Phys. Lett. 2024, 125, 122109. [Google Scholar] [CrossRef]
- Jiang, G.; Cui, P.; Zhang, G.; Zeng, Y.; Yang, G.; Fu, C.; Lin, Z.; Wang, M.; Zhou, H. Influence of the ZrO2 gate dielectric layer on polarization coulomb field scattering in InAlN/GaN metal–insulator–semiconductor high-electron -mobility transistors. Microelectron. J. 2022, 129, 105602. [Google Scholar] [CrossRef]
- Cui, P.; Jia, M.; Chen, H.; Lin, G.; Zhang, J.; Gundlach, L.; Xiao, J.Q.; Zeng, Y. InAlN/GaN HEMT on Si with fmax = 270 GHz. IEEE Trans. Electron Devices 2021, 68, 994–999. [Google Scholar] [CrossRef]
- Zhao, J.; Lin, Z.; Lu, Y.; Corrigan Timothy, D.; Meng, L.; Zhang, Y.; Wang, Z.; Chen, H. Influence of Ni Schottky contact thickness on two-dimensional electron-gas sheet carrier concentration of strained Al0.3Ga0.7N/GaN heterostructures. J. Semicond. 2010, 31, 084007. [Google Scholar] [CrossRef]
- Goyal, N.; Iñiguez, B.; Fjeldly, T.A. Analytical modeling of bare surface barrier height and charge density in AlGaN/GaN heterostructures. Appl. Phys. Lett. 2012, 101, 103505. [Google Scholar] [CrossRef]
- Ibbetson, J.P.; Fini, P.T.; Ness, K.D.; DenBaars, S.P.; Speck, J.S.; Mishra, U.K. Polarization effects, surface states, and the source of electrons in AlGaN/GaN heterostructure field effect transistors. Appl. Phys. Lett. 2000, 77, 250. [Google Scholar] [CrossRef]
- Ben Amar, A.; Faucher, M.; Brandli, V.; Cordier, Y.; Théron, D. Young’s modulus extraction of epitaxial heterostructure AlGaN/GaN for MEMS application. Phys. Status Solidi (A) 2014, 211, 1655–1659. [Google Scholar] [CrossRef]
- Liu, Y.; Lin, Z.; Zhao, J.; Yang, M.; Shi, W.; Lv, Y.; Feng, Z. The role of polarization coulomb field scattering in the electron mobility of AlGaN/AlN/GaN heterostructure field-effect transistors. J. Korean Phys. Soc. 2016, 68, 883–888. [Google Scholar] [CrossRef]






Disclaimer/Publisher’s Note: The statements, opinions and data contained in all publications are solely those of the individual author(s) and contributor(s) and not of MDPI and/or the editor(s). MDPI and/or the editor(s) disclaim responsibility for any injury to people or property resulting from any ideas, methods, instructions or products referred to in the content. |
© 2025 by the authors. Licensee MDPI, Basel, Switzerland. This article is an open access article distributed under the terms and conditions of the Creative Commons Attribution (CC BY) license (https://creativecommons.org/licenses/by/4.0/).
Share and Cite
Cheng, Q.; Yang, M.; Gao, Z.; Wang, R.; He, J.; Yan, F.; Tang, X.; Zhang, W.; Hu, Z.; Mu, J. Effect of AlN Cap Layer on Polarization Coulomb Field Scattering in AlGaN/GaN Heterostructure Field Effect Transistor. Micromachines 2025, 16, 1093. https://doi.org/10.3390/mi16101093
Cheng Q, Yang M, Gao Z, Wang R, He J, Yan F, Tang X, Zhang W, Hu Z, Mu J. Effect of AlN Cap Layer on Polarization Coulomb Field Scattering in AlGaN/GaN Heterostructure Field Effect Transistor. Micromachines. 2025; 16(10):1093. https://doi.org/10.3390/mi16101093
Chicago/Turabian StyleCheng, Qianding, Ming Yang, Zhiliang Gao, Ruojue Wang, Jihao He, Feng Yan, Xu Tang, Weihong Zhang, Zijun Hu, and Jingguo Mu. 2025. "Effect of AlN Cap Layer on Polarization Coulomb Field Scattering in AlGaN/GaN Heterostructure Field Effect Transistor" Micromachines 16, no. 10: 1093. https://doi.org/10.3390/mi16101093
APA StyleCheng, Q., Yang, M., Gao, Z., Wang, R., He, J., Yan, F., Tang, X., Zhang, W., Hu, Z., & Mu, J. (2025). Effect of AlN Cap Layer on Polarization Coulomb Field Scattering in AlGaN/GaN Heterostructure Field Effect Transistor. Micromachines, 16(10), 1093. https://doi.org/10.3390/mi16101093
