Experimental Study on the Skyhook Control of a Magnetorheological Torsional Vibration Damper
Abstract
1. Introduction
2. Structure and Dynamic Model of MRTVD
2.1. MRTVD Structural Design
2.2. Working Principle of MRTVD in Shaft System
3. Mechanical Modeling of MRTVD and Shaft System
3.1. Dynamic Model of MRTVD
3.2. Torsional Vibration Mechanical Model of MRTVD-Based Shaft System
4. Experimental Results and Discussion
4.1. Variable Damping Control Experiment
4.2. Semi-Active Control Experiment
5. Conclusions
- (1)
- The design and manufacturing of MRTVD are carried out, and its damping principle is investigated. The study reveals that the damping ratio and frequency ratio of MRTVD have a notable impact on the dynamic amplification factor of shaft vibration. At any given excitation frequency, there exists an optimal dynamic damping value that minimizes the torsional vibration amplitude of the main system.
- (2)
- The dynamic model of MRTVD is derived, and a torsional vibration dynamic model based on MRTVD is established. The parameters of the torsional vibration system are determined via theoretical calculations. The relationship between the optimal damping and the resonance frequency and inertia ratio of the shaft system is obtained via theoretical analysis. The research demonstrates that during the operation of the shaft system, the optimal damping control effect of MRTVD can be achieved by adjusting the excitation current of its coil according to various resonance frequencies and different operating speeds of the shaft. While the Bingham model has a simple structure, few variables, and clear physical significance, enabling it to effectively represent the damping force–displacement response, its performance in capturing the nonlinearity of the damping force–velocity response is inadequate. The fitting performance of the nonlinear hysteresis characteristics of the damping force–velocity curve is poor, and its nonlinear lag characteristics cannot be well represented. Therefore, subsequent modifications will be made to the dynamic model to better match semi-active control.
- (3)
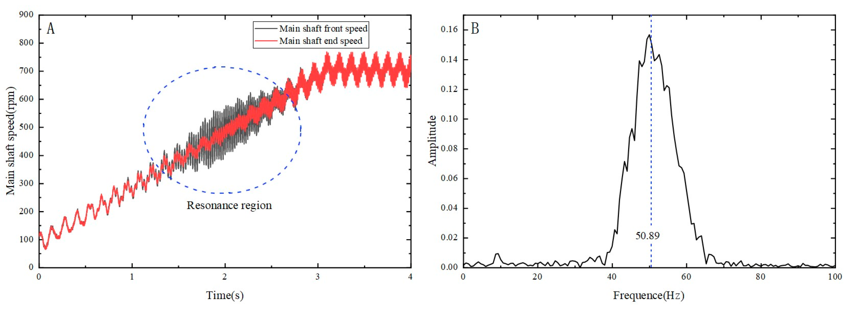
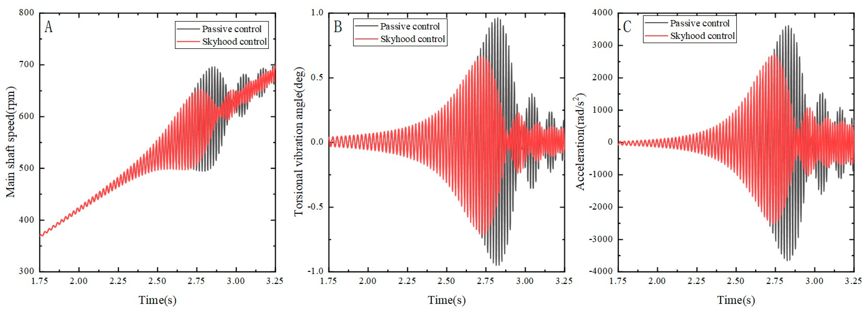
- The experimental phase involved the implementation of semi-active control experiments, followed by an extensive analysis of the torsional vibration system. The results reveal that variations in the current lead to a substantial reduction in the torsional amplitude of the spindle system during resonance, specifically within a discernible range. Importantly, the identification of an optimal current emphasizes its effectiveness in minimizing the torsional vibration of the shaft system. In consideration of real-world operational scenarios, the skyhook control method is employed to assess the efficacy of the MRTVD in controlling the torsional vibration of the main shaft system. Experimental outcomes demonstrate that, during the main shaft’s passage through critical speed at varying accelerations, there is a reduction exceeding 15% in the amplitude of the shaft’s torsional vibration and over 22% in the amplitude of the shaft’s torsional angular acceleration. These results serve to further substantiate the notable inhibitory impact of the MRTVD on spindle torsional vibration when subjected to overhead hook control. The obtained research outcomes establish a robust groundwork for subsequent stages involving actual vehicle experiments, anticipating an extension of the application of magnetorheological technology in addressing torsional vibrations within transmission shaft systems.
Author Contributions
Funding
Data Availability Statement
Acknowledgments
Conflicts of Interest
References
- Wei, C.; Wu, J.; Zhang, L.; Li, G.; Gao, W. Simulation and Experiment Study of Torsional Vibration for a Gasoline Engine Crankshaft System. Mech. Sci. Technol. Aerosp. Eng. 2016, 35, 507–513. [Google Scholar]
- Karabulut, H. Dynamic model of a two-cylinder four-stroke internal combustion engine and vibration treatment. Int. J. Engine Res. 2012, 13, 616–627. [Google Scholar] [CrossRef]
- Zhang, X.; Yu, S.D. Torsional vibration of crankshaft in an engine–propeller nonlinear dynamical system. J. Sound Vib. 2009, 319, 491–514. [Google Scholar] [CrossRef]
- Sun, J.; Shu, L.; Song, X.; Liu, G.; Xu, F.; Miao, E.; Xu, Z.; Zhang, Z.; Zhao, J. Multi-objective optimization design of engine crankshaft bearing. Ind. Lubr. Tribol. 2016, 68, 86–91. [Google Scholar] [CrossRef]
- Shen, Z.; Qiao, B.; Luo, W.; Yang, L.; Chen, X. The Influence of External Spur Gear Surface Wear on the Mesh Stiffness. In Proceedings of the 2018 Prognostics and System Health Management Conference (PHM-Chongqing), Chongqing, China, 26–28 October 2018; pp. 1232–1238. [Google Scholar]
- Zhong, Y.X.; Yang, D.L.; Lei, D.; Bo, L.; Hui, H. Driveline Torsional Vibration Analysis and Research of a Light Van. In Proceedings of the 2020 5th International Conference on Information Science, Computer Technology and Transportation (ISCTT), Shenyang, China, 13–15 November 2020; pp. 1–4. [Google Scholar]
- Zhang, L.R. Brief Analysis of Torsional Vibration of Vehicle Engine. Adv. Mater. Res. 2013, 694–697, 302–306. [Google Scholar] [CrossRef]
- Fonte, M.; de Freitas, M. Marine main engine crankshaft failure analysis: A case study. Eng. Fail. Anal. 2009, 16, 1940–1947. [Google Scholar] [CrossRef]
- Homik, W. Diagnostics, maintenance and regeneration of torsional vibration dampers for crankshafts of ship diesel engines. Pol. Marit. Res. 2010, 17, 62–68. [Google Scholar] [CrossRef]
- Pistek, V.; Klimes, L.; Mauder, T.; Kucera, P. Optimal design of structure in rheological models: An automotive application to dampers with high viscosity silicone fluids. J. Vibroeng. 2017, 19, 4459–4470. [Google Scholar] [CrossRef][Green Version]
- Shangguan, W.; Niu, L.; Huang, X. Design of Multi-rubber-element Torsional Vibration Dampers for Engine Crankshaft. Automot. Eng. 2007, 29, 991–994. [Google Scholar]
- Li, M.; Zhang, J.; Wu, C.; Zhu, R.; Chen, W.; Duan, C.; Lu, X. Effects of Silicone Oil on Stiffness and Damping of Rubber-Silicone Oil Combined Damper for Reducing Shaft Vibration. IEEE Access 2020, 8, 218554–218564. [Google Scholar] [CrossRef]
- Shu, G.; Wang, B.; Liang, X. Torsional vibration reduction analysis of variable damping torsional vibration damper for engine crankshaft. J. Tianjin Univ. 2015, 48, 19–24. [Google Scholar]
- Yu, S. Development of dual mode engine crank damper. In SAE Noise and Vibration Conference and Exposition; SAE International: Warrendale, PA, USA, 2004. [Google Scholar]
- Sezgen, H.Ç.; Tinkir, M. Optimization of torsional vibration damper of cranktrain system using a hybrid damping approach. Eng. Sci. Technol. Int. J. 2021, 24, 959–973. [Google Scholar] [CrossRef]
- Dong, X.; Li, W.; Yu, J.; Pan, C.; Xi, J.; Zhou, Y.; Wang, X. Magneto-Rheological Variable Stiffness and Damping Torsional Vibration Control of Powertrain System. Front. Mater. 2020, 7, 121. [Google Scholar] [CrossRef]
- Xiao, Z.; Hu, H.; Ouyang, Q.; Shan, L.; Su, H. Multi-Condition Temperature Field Simulation Analysis of Magnetorheological Grease Torsional Vibration Damper. Front. Mater. 2022, 9, 930825. [Google Scholar] [CrossRef]
- Ye, S.; Williams, K.A. Torsional vibration control with an MR fluid brake. Spie 2005, 5760, 283–292. [Google Scholar]
- Abouobaia, E.; Sedaghati, R.; Bhat, R. Design optimization and experimental characterization of a rotary magneto-rheological fluid damper to control torsional vibration. Smart Mater. Struct. 2020, 29, 045010. [Google Scholar] [CrossRef]
- Abouobaia, E.; Bhat, R.; Sedaghati, R. Development of a new torsional vibration damper incorporating conventional centrifugal pendulum absorber and magnetorheological damper. J. Intell. Mater. Syst. Struct. 2015, 27, 980–992. [Google Scholar] [CrossRef]
- He, W.; Ouyang, Q.; Hu, H.; Ye, X.; Lin, L. Semi-active control of crankshaft skyhook based on magnetorheological torsional damper. Front. Mater. 2022, 9, 933076. [Google Scholar] [CrossRef]
- Yang, Y.; Guo, Y.Q. Numerical Simulation and Torsional Vibration Mitigation of Spatial Eccentric Structures with Multiple Magnetorheological Dampers. Actuators 2022, 11, 235. [Google Scholar] [CrossRef]
- Liu, G.; Hu, H.; Ouyang, Q.; Zhang, F. Multi-Objective Optimization Design and Performance Comparison of Magnetorheological Torsional Vibration Absorbers of Different Configurations. Materials 2023, 16, 3170. [Google Scholar] [CrossRef]
- Li, W.F.; Dong, X.M.; Xi, J.; Deng, X.; Shi, K.Y.; Zhou, Y.Q. Semi-active vibration control of a transmission system using a magneto-rheological variable stiffness and damping torsional vibration absorber. Proc. Inst. Mech. Eng. Part D-J. Automob. Eng. 2021, 235, 2679–2698. [Google Scholar] [CrossRef]
- Gao, P.; Liu, H.; Xiang, C.; Yan, P. Study on Torsional Isolator and Absorber Comprehensive Vibration Reduction Technology for Vehicle Powertrain. J. Mech. Eng. 2021, 57, 244–252. [Google Scholar]
- Qing, O.; Jiong, W. Review of Temperature Dependent Performance and Temperature Compensation Control of Magnetorheological Damper. Trans. Beijing Inst. Technol. 2018, 38, 668–675. [Google Scholar]
- Abouobaia, E.; Bhat, R.; Sedaghati, R. Semi-Active Control of Torsional Vibrations Using a New Hybrid Torsional Damper. In Proceedings of the 23rd AIAA/AHS Adaptive Structures Conference, Kissimmee, FL, USA, 5–9 January 2015. [Google Scholar]




















| Parameters | Value | Unit |
|---|---|---|
| Fluid zero-field viscosity () | 12.6 | Pa·s |
| Yield viscosity () | 14.41 | Pa·s |
| Zero-field shear stress () | 126 | Pa |
| Shear yield stress () | 85,000 | Pa |
| Structure Parameters | Value/mm |
|---|---|
| Rn (radius of inner circle of inertia ring) | 40 |
| Ir (radial dimension of inertia ring) | 52 |
| Cg (shell thickness) | 22 |
| Ct (thickness of upper and lower plates) | 6 |
| Rt (thickness of inertia ring) | 36 |
| Cr (coil thickness) | 9 |
| Cd coil diameter | 0.8 |
| Parameter | Value | Parameter | Value |
|---|---|---|---|
| (kg·m2) | 0.214 | (kg·m2) | 0.016 |
| (kg·m2) | 0.029 | (Nm/rad) | 4031 |
| Control Methods | Peak of e (deg) | Peak of e (rad/s2) | RMS Value of e (deg) | RMS Value of e (rad/s2) |
|---|---|---|---|---|
| Passive control | 0.9641 | 3654.8 | 0.22 | 812.57 |
| Skyhook control | 0.7117 (26.18%) | 2730.7 (25.28%) | 0.17 (22.73%) | 609.3 (25.02%) |
| Control Methods | Peak of e (deg) | Peak of e (rad/s2) | RMS Value of e (deg) | RMS Value of e (rad/s2) |
|---|---|---|---|---|
| Passive control | 0.65 | 2912.5 | 0.278 | 1301.6 |
| Skyhook control | 0.54 (16.9%) | 2085.1 (28.4%) | 0.223 (19.8%) | 1039.7 (20.1%) |
Disclaimer/Publisher’s Note: The statements, opinions and data contained in all publications are solely those of the individual author(s) and contributor(s) and not of MDPI and/or the editor(s). MDPI and/or the editor(s) disclaim responsibility for any injury to people or property resulting from any ideas, methods, instructions or products referred to in the content. |
© 2024 by the authors. Licensee MDPI, Basel, Switzerland. This article is an open access article distributed under the terms and conditions of the Creative Commons Attribution (CC BY) license (https://creativecommons.org/licenses/by/4.0/).
Share and Cite
Wang, Z.; Hu, H.; Yang, J.; Zheng, J.; Zhao, W.; Ouyang, Q. Experimental Study on the Skyhook Control of a Magnetorheological Torsional Vibration Damper. Micromachines 2024, 15, 236. https://doi.org/10.3390/mi15020236
Wang Z, Hu H, Yang J, Zheng J, Zhao W, Ouyang Q. Experimental Study on the Skyhook Control of a Magnetorheological Torsional Vibration Damper. Micromachines. 2024; 15(2):236. https://doi.org/10.3390/mi15020236
Chicago/Turabian StyleWang, Zhicheng, Hongsheng Hu, Jiabin Yang, Jiajia Zheng, Wei Zhao, and Qing Ouyang. 2024. "Experimental Study on the Skyhook Control of a Magnetorheological Torsional Vibration Damper" Micromachines 15, no. 2: 236. https://doi.org/10.3390/mi15020236
APA StyleWang, Z., Hu, H., Yang, J., Zheng, J., Zhao, W., & Ouyang, Q. (2024). Experimental Study on the Skyhook Control of a Magnetorheological Torsional Vibration Damper. Micromachines, 15(2), 236. https://doi.org/10.3390/mi15020236
