Review on Main Gate Characteristics of P-Type GaN Gate High-Electron-Mobility Transistors
Abstract
:1. Introduction
2. Problems to Be Solved
2.1. Low Threshold Voltage
2.2. Low Gate-Breakdown Voltage
3. Research Progress
3.1. Structure of Traditional p-GaN HEMT
3.2. Structure of p-GaN HEMT Device with High Threshold Voltage
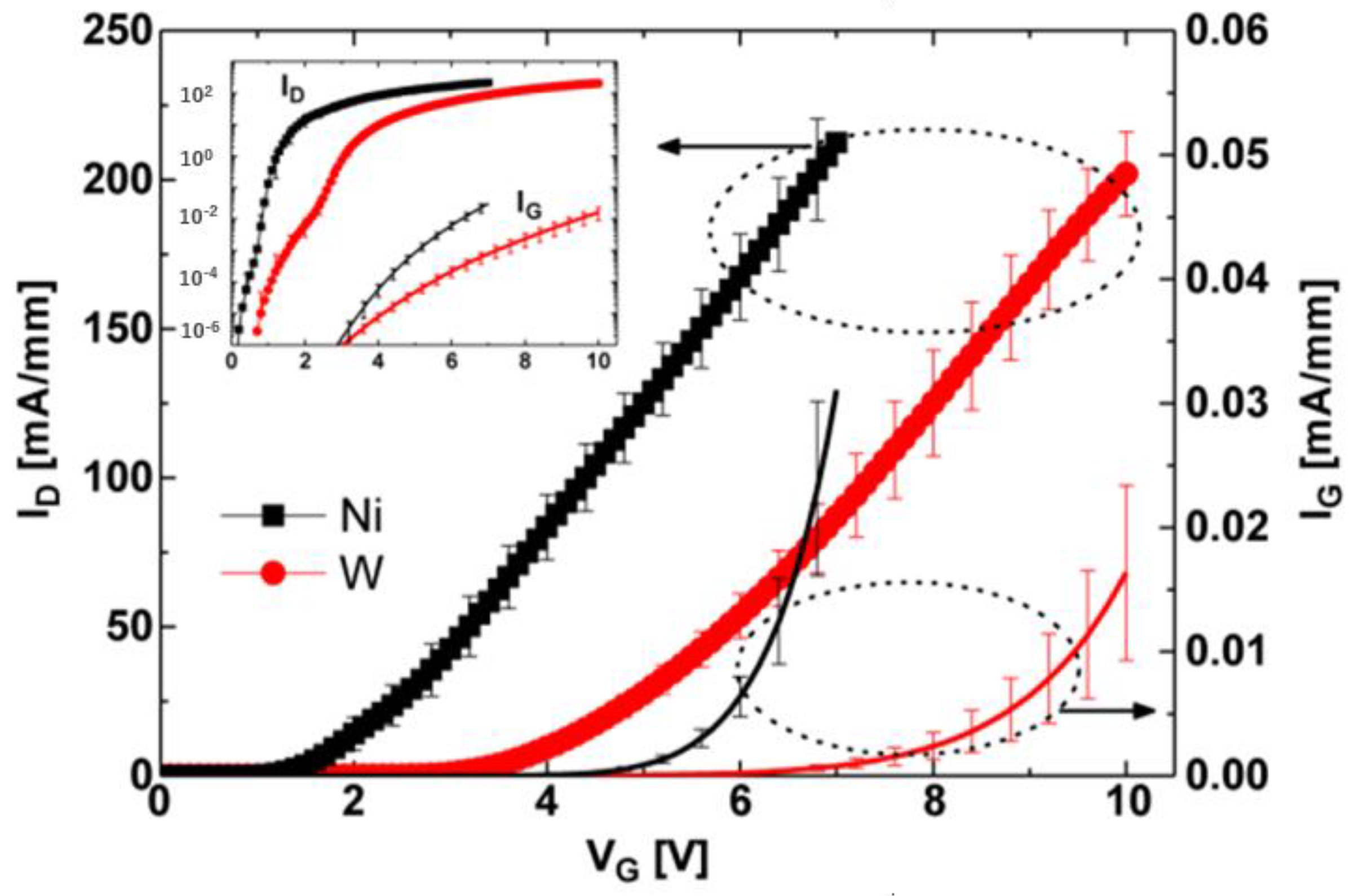
3.3. Structure of p-GaN HEMT with High Gate-Breakdown Voltage
4. Discussion
5. Conclusions
Author Contributions
Funding
Data Availability Statement
Conflicts of Interest
References
- Tsou, C.W.; Kang, H.C.; Lian, Y.W.; Shawn, S.H. AlGaN/GaN HEMTs on silicon with hybrid Schottky-ohmic drain for RF applications. IEEE Trans. Electron Devices 2016, 23, 4218–4221. [Google Scholar] [CrossRef]
- Wang, F.; Chen, W.; Li, X.; Sun, R.; Xu, X.; Xin, Y.; Wang, Z.; Shi, Y.; Xia, Y.; Liu, C. Charge storage impact on input capacitance in p-GaN gate AlGaN/GaN power high-electron-mobility transistors. J. Phys. D Appl. Phys. 2020, 53, 305106. [Google Scholar] [CrossRef]
- Wang, F.; Chen, W.; Xu, X.; Sun, R.; Wang, Z.; Xia, Y.; Xin, Y.; Zhou, Q.; Zhang, B. Simulation study of an ultralow switching loss p-GaN gate HEMT with dynamic charge storage mechanism. IEEE Trans. Electron Devices 2021, 68, 175–183. [Google Scholar] [CrossRef]
- Chen, K.J.; Häberlen, O.; Lidow, A.; Lin, C.; Ueda, T.; Uemoto, Y.; Wu, Y. GaN-on-Si power technology: Devices and applications. IEEE Trans. Electron Devices 2017, 64, 779–795. [Google Scholar] [CrossRef]
- Kwon, W.; Kawasaki, S.; Watanabe, H.; Tanaka, A.; Honda, Y.; Ikeda, H.; Iso, K.; Amano, H. Reverse leakage mechanism of dislocation-free GaN vertical p-n diodes. IEEE Electron Device Lett. 2023, 44, 1172–1175. [Google Scholar] [CrossRef]
- Döring, P.; Sinnwell, M.; Müller, S.; Driad, R.; Brückner, P.; Köhler, K.; Kirste, L.; Mikulla, M.; Quay, R. A study on the performance of AlGaN/GaN HEMTs regrown on Mg-implanted GaN layers with low channel thickness. IEEE Trans. Electron Devices 2023, 70, 947–952. [Google Scholar] [CrossRef]
- Sharma, N.; Periasam, C.; Chaturvedi, N.; Nanoelectron, J. Investigation of high-temperature effects on the performance of AlGaN/GaN high electron mobility transistors. J. Nanoelectron. Optoelectron. 2016, 11, 694–701. [Google Scholar] [CrossRef]
- Posthuma, N.; You, S.; Liang, N.; Ronchi, X.; Kang, D.; Wellekens, Y.N.; Saripalli, S. Impact of Mg out-diffusion and activation on the p-Ga N gate HEMT device performance. In Proceedings of the International Symposium on Power Semiconductor Devices & Ics, Prague, Czech Republic, 12–16 June 2016. [Google Scholar]
- Shi, Y.; Zhou, Q.; Cheng, Q.; Wei, P.; Zhu, L.; Wei, D.; Zhang, A.; Chen, W.; Zhang, B. Bidirectional threshold voltage shift and gate leakage in 650 Vp-GaN AlGaN/GaN HEMTs: The role of electron-trapping and hole-injection. In Proceedings of the 30th International Symposium on Power Semiconductor Devices and ICs, Chicago, IL, USA, 13–17 May 2018; pp. 96–99. [Google Scholar]
- Greco, G.; Iucolano, F.; Roccaforte, F. Review of technology for normally-off HEMTs with p-GaN gate. Mater. Sci. Semicond. Process. 2017, 78, 96–106. [Google Scholar] [CrossRef]
- Xu, H.; Wei, J.; Xie, R.; Zheng, Z.; Chen, J. A SPICE-compatible equivalent-circuit model of Schottky type p-GaN gate power HEMTs with dynamic threshold voltage. In Proceedings of the 2020 32nd International Symposium on Power Semiconductor Devices and ICs (ISPSD), Vienna, Austria, 13–18 September 2020. [Google Scholar]
- Sun, R.; Wang, F.; Luo, P.; Xu, W.; Wang, Y.; Liu, C.; Chen, W.; Zhang, B. High-performance reverse blocking p-GaN HEMTs with multi-column p-GaN/Schottky alternate-island drain. In Proceedings of the 2022 IEEE 34th International Symposium on Power Semiconductor Devices and ICs (ISPSD), Vancouver, BC, Canada, 22–25 May 2022; pp. 173–176. [Google Scholar]
- Xu, H.; Zheng, Z.; Zhang, L.; Sun, J.; Yang, S.; He, J.; Wei, J.; Chen, J. Dynamic interplays of gate junctions in Schottky-type p-GaN Gate power HEMTs during switching operation. In Proceedings of the 2022 IEEE 34th International Symposium on Power Semiconductor Devices and ICs (ISPSD), Vancouver, BC, Canada, 22–25 May 2022; pp. 325–328. [Google Scholar]
- Hu, X.; Simin, G.; Yang, J.; Asif Khan, M.; Gaska, R.; Shur, M.S. Enhancement mode AlGaN/GaN HFET with selectively grown pn junction gate. Electron. Lett. 2000, 36, 753–754. [Google Scholar] [CrossRef]
- Umesh, K.; Parikh, P.; Wu, Y. AlGaN/GaN HEMTs-an overview of device operation and applications. Proc. IEEE 2000, 90, 1022–1031. [Google Scholar]
- Uemoto, Y.; Hikita, M.; Ueno, H.; Hisayoshi, M.; Ishida, H.; Yanagihara, M.; Ueda, T.; Tanaka, T.; Ueda, T. Gate injection transistor (GIT)-a normally-off AlGaN/GaN power transistor using conductivity modulation. IEEE Trans. Electron Devices 2007, 54, 3393–3399. [Google Scholar] [CrossRef]
- Choi, Y.; Pophristic, M.; Cha, H.; Peres, B.; Spencer, M.; Eastman, L. The effect of an Fe-doped GaN buffer on off-state breakdown characteristics in AlGaN/GaN HEMTs on si substrate. IEEE Trans. Electron Devices 2007, 53, 2926–2931. [Google Scholar] [CrossRef]
- Hilt, O.; Brunner, E.; Cho, A.; Knauer, E.; Treidel, B.; Würfl, J. Normally-off high-voltage p-GaN gate GaN HFET with carbon Doped Buffer. In Proceedings of the 23rd International Symposium on Power Semiconductor Devices & IC’s, San Diego, CA, USA, 23–26 May 2011. [Google Scholar]
- Song, B.; Zhu, M.; Hu, Z.; Qi, M.; Nomoto, K.; Yan, X.; Cao, Y.; Jena, D. Ultralow-leakage AlGaN/GaN high electron mobility transistors on Si with non-alloyed regrown ohmic contacts. IEEE Electron Device Lett. 2011, 37, 16–19. [Google Scholar] [CrossRef]
- Lukens, G.; Hahn, H.; Kalisch, H. Self-aligned process for selectively etched p-GaN-gatedAlGaN/GaN-on-Si HFETs. IEEE Trans. Electron Devices 2018, 65, 3732–3738. [Google Scholar] [CrossRef]
- Wang, C.; He, Y.; Zheng, X.; He, Y.; Zhao, M.; Mi, M.; Li, X.; Mao, W.; Ma, X.; Hao, Y. Low ohmic-contact resistance in AlGaN/GaN high electron mobility transistors with holes etching in ohmic region. Electron. Lett. 2018, 51, 2145–2147. [Google Scholar] [CrossRef]
- Hwang, I.; Oh, J.; Choi, H.; Kim, J.; Choi, H.; Kim, J.; Chong, S.; Shin, J.; Chung, U.-I. Source-connected p-GaN gate HEMTs for increased threshold voltage. IEEE Electron Device Lett. 2013, 34, 605–607. [Google Scholar] [CrossRef]
- Hwang, I.; Marcon, D.; You, S.; Posthuma, N.; Bakeroot, B.; Stoffels, S.; Hove, M.; Groeseneken, G.; Decoutere, S. Forward bias gate breakdown mechanism in enhancement-mode p-GaN Gate AlGaN/GaN high-electron mobility transistors. IEEE Electron Device Lett. 2013, 36, 1001–1003. [Google Scholar]
- Hwang, L.; Choi, H.K.; Kim, J.; Choi, H.; Lee, J.; Kim, K.; Park, J.; Lee, J.; Ha, J.; Oh, J. p-GaN Gate HEMTs with tungsten gate metal for high threshold voltage and low gate current. IEEE Electron Device Lett. 2013, 34, 202–204. [Google Scholar] [CrossRef]
- Hwang, L.; Su, L.Y.; Wang, C.H.; Wu, Y.; Huang, J. Impact of gate metal on the performance of p-GaN/AlGaN/GaN high electron mobility transistors. IEEE Electron Devices Lett. 2013, 36, 232–234. [Google Scholar]
- Ronghui, H.; Dongdong, W.; Kai, F.; Song, L.; Chen, F.; Zhao, J.; Du, Z.; Zhang, B.; Wang, Q.; Yu, G. 10 A/567 V normally off p-GaN gate HEMT with high-threshold voltage and low-gate leakage current. Electron. Lett. 2018, 54, 848–849. [Google Scholar]
- Hua, M.; Chen, J.; Wang, C.; Liu, L.; Li, L.; Zhao, J.; Jiang, Z.; Wei, J.; Zhang, L.; Zheng, Z.; et al. E-mode p-GaN gate HEMT with p-FET bridge for higher VTH and enhanced VTH stability. In Proceedings of the 2020 IEEE International Electron Devices Meeting (IEDM), San Francisco, CA, USA, 12–18 December 2020; pp. 23.1.1–23.1.4. [Google Scholar]
- Stockman, A.; Masin, F.; Meneghini, M.; Zanoni, E.; Meneghesso, G.; Bakeroot, B.; Moens, P. Gate conduction mechanisms and lifetime modeling of p-Gate AlGaN/GaN high-electron-mobility transistors. IEEE Trans. Electron Devices 2018, 65, 5365–5372. [Google Scholar] [CrossRef]
- Zhou, G.; Wan, Z.; Yang, G.; Yang, G.; Jiang, Y.; Sokolovskij, R.; Yu, H.; Xia, G. Gate leakage suppression and breakdown voltage enhancement in p-GaN HEMTs using metal/graphene gates. IEEE Trans. Electron Devices 2019, 67, 875–880. [Google Scholar] [CrossRef]
- Pu, T.; Chen, Y.; Li, X.; Li, X.; Peng, T.; Wang, X.; Li, J.; He, W.; Ben, J.; Lu, Y.; et al. Gate structure dependent normally-off AlGaN/GaN heterostructure field-effect transistors with p-GaN cap layer. J. Phys. D Appl. Phys. 2020, 53, 415104. [Google Scholar] [CrossRef]
- Pu, T.; Anantathanasarn, S.; Negoro, N.; Negoro, N.; Sano, E.; Hasegawa, H.; Kumakura, K.; Makimoto, T. Si3N4 insulated-gate structure for AlGaN/GaN heterostructure field effect transistors having thin AlGaN barrier layers. Jpn. J. Appl. Phys. 2020, 43, 777–779. [Google Scholar]
- Zhang, L.; Zheng, Z.; Yang, S.; Song, W.; He, J.; Chen, K. p-GaN Gate HEMT with surface reinforcement for enhanced gate reliability. IEEE Trans. Electron Devices 2021, 42, 22–25. [Google Scholar] [CrossRef]
- Wang, C.; Hua, M.; Yang, S.; Zhang, L.; Chen, K. E-mode p-n Junction/AlGaN/GaN HEMTs with enhanced gate reliability. In Proceedings of the 2020 32nd International Symposium on Power Semiconductor Devices and ICs (ISPSD), Vienna, Austria, 13–18 September 2020; pp. 14–17. [Google Scholar]
- Wu, Y.; Liu, S.; Zhang, J.; Zhao, S.; Li, X.; Zhang, K.; Ai, Y.; Zhang, W.; Chen, T.; Hao, Y. Novel in-situ AlN/p-GaN Gate HEMTs with threshold voltage of 3.9 V and maximum applicable gate voltage of 12.1 V. IEEE Trans. Electron Devices 2023, 70, 424–428. [Google Scholar] [CrossRef]
- Chini, A.; Zagni, N.; Verzellesi, G.; Marcello, C.; Giorgino, G.; Nicotra, M.; Castagna, M.; Iucolano, F. Gate-bias induced RON instability in p-GaN power HEMTs. IEEE Electron Device Lett. 2023, 44, 915–918. [Google Scholar] [CrossRef]
- Baby, R.; Reshma, K.; Chandrasekar, H.; Muralidharan, R.; Raghavan, S.; Digbijoy, N. Study of TaN-gated p-GaN E-Mode HEMT. IEEE Trans. Electron Devices 2023, 70, 1607–1612. [Google Scholar] [CrossRef]
- Kumar, R.; Samanta, S.; Wu, T.-L. Threshold voltage instability measurement circuit for power GaN HEMTs devices. IEEE Trans. Power Electron. 2023, 38, 6891–6896. [Google Scholar] [CrossRef]
















| Corporate | Model | Voltage Level | Threshold Voltage | Gate-Breakdown Voltage |
|---|---|---|---|---|
| Efficient Power Conversion | EPC2110 | 120 V | 1.6 V | 6 V |
| GaN Systems | GS66502B | 650 V | 1.5 V | 6 V |
| STMicroelectronics | SGT120R65AL | 650 V | 1.0 V | 7 V |
| Innoscience | INN650D140A | 650 V | 1.5 V | 7 V |
| Sanan IC | SMG060E015L | 650 V | 1.0 V | 6 V |
| Material | Corporate | Model | Voltage Level | Threshold Voltage | Gate-Breakdown Voltage |
|---|---|---|---|---|---|
| Si | Infineon | IPB65R075CFD7A | 650 V | 5 V | 20 V |
| STMicroelectronics | STP10NK60Z | 600 V | 3.5 V | 30 V | |
| SiC | Infineon | IMZA65R048M1H | 650 V | 6 V | 18 V |
| Cree | C3M0120065J | 650 V | 4 V | 19 V | |
| STMicroelectronics | SCT070HU120G3AG | 1200 V | 4.5 V | 18 V |
Disclaimer/Publisher’s Note: The statements, opinions and data contained in all publications are solely those of the individual author(s) and contributor(s) and not of MDPI and/or the editor(s). MDPI and/or the editor(s) disclaim responsibility for any injury to people or property resulting from any ideas, methods, instructions or products referred to in the content. |
© 2023 by the authors. Licensee MDPI, Basel, Switzerland. This article is an open access article distributed under the terms and conditions of the Creative Commons Attribution (CC BY) license (https://creativecommons.org/licenses/by/4.0/).
Share and Cite
Wang, Z.; Nan, J.; Tian, Z.; Liu, P.; Wu, Y.; Zhang, J. Review on Main Gate Characteristics of P-Type GaN Gate High-Electron-Mobility Transistors. Micromachines 2024, 15, 80. https://doi.org/10.3390/mi15010080
Wang Z, Nan J, Tian Z, Liu P, Wu Y, Zhang J. Review on Main Gate Characteristics of P-Type GaN Gate High-Electron-Mobility Transistors. Micromachines. 2024; 15(1):80. https://doi.org/10.3390/mi15010080
Chicago/Turabian StyleWang, Zhongxu, Jiao Nan, Zhiwen Tian, Pei Liu, Yinhe Wu, and Jincheng Zhang. 2024. "Review on Main Gate Characteristics of P-Type GaN Gate High-Electron-Mobility Transistors" Micromachines 15, no. 1: 80. https://doi.org/10.3390/mi15010080
APA StyleWang, Z., Nan, J., Tian, Z., Liu, P., Wu, Y., & Zhang, J. (2024). Review on Main Gate Characteristics of P-Type GaN Gate High-Electron-Mobility Transistors. Micromachines, 15(1), 80. https://doi.org/10.3390/mi15010080
