A Reconfigurable Surface-Plasmon-Based Filter/Sensor Using D-Shaped Photonic Crystal Fiber
Abstract
:1. Introduction
2. Design of D-Shaped Photonic Crystal Fiber
3. Results and Discussion
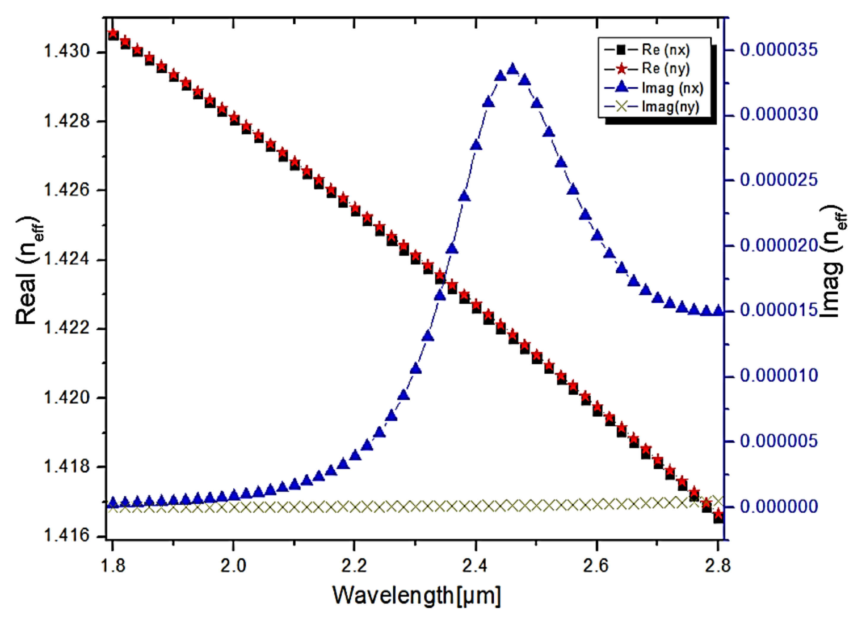
3.1. SPR Based Filter
3.1.1. Optimization of the Structural Parameters
3.1.2. Varying Size of Air Holes
3.1.3. Varying Shape of the Air Holes
3.1.4. Varying the Thickness of Silver
3.1.5. Transmission Characteristics and Dispersion Relation
3.2. SPR Based Sensor
4. Conclusions
Author Contributions
Funding
Data Availability Statement
Acknowledgments
Conflicts of Interest
References
- Hasan, M.; Abdulrazak, L.F.; Paul, B.K.; Al-Zahrani, F.A.; Ahmed, K. Novel shaped solid-core photonic crystal fiber for the numerical study of nonlinear optical properties. Opt. Quantum Electron. 2022, 54, 139. [Google Scholar] [CrossRef]
 - Rahaman, E.; Hossain, M.; Mondal, H.S.; Saha, R.; Muntaseer, A.S. Theoretical analysis of large negative dispersion photonic crystal fiber with small confinement loss. Appl. Opt. 2020, 59, 8925–8931. [Google Scholar] [CrossRef]
 - Imam, F.; Biswas, S.; Shahjahan; Khatun, H.; Ahmmed, R.; Bulbul, A.A.-M. Design and numerical analysis of a dispersion-flattened fabrication-friendly PCF-based THz waveguide. J. Opt. 2021, 51, 371–378. [Google Scholar] [CrossRef]
 - Rahaman, E.; Mondal, H.S.; Hossain, B.; Hossain, M.; Ahsan, S.; Saha, R. Simulation of a highly birefringent photonic crystal fiber in terahertz frequency region. SN Appl. Sci. 2020, 2, 1435. [Google Scholar] [CrossRef]
 - Kuiri, B.; Dutta, B.; Sarkar, N.; Santra, S.; Mandal, P.; Mallick, K.; Patra, A.S. Ultra-low loss polymer-based photonic crystal fiber supporting 242 OAM modes with high bending tolerance for multimode THz communication. Results Phys. 2022, 36, 105465. [Google Scholar] [CrossRef]
 - Yang, J.; Zhou, L.; Che, X.; Huang, J.; Li, X.; Chen, W. Photonic Crystal Fiber Methane Sensor Based on Modal Interference with an Ultraviolet Curable Fluoro-Siloxane Nano-Film Incorporating Cryptophane A. Sens. Actuators B Chem. 2016, 235, 717–722. [Google Scholar] [CrossRef]
 - Cheng, T.; Duan, Z.; Liao, M.; Gao, W.; Deng, D.; Suzuki, T.; Ohishi, Y. A Simple All-Solid Tellurite Microstructured Optical Fiber. Opt. Express 2013, 21, 3318–3323. [Google Scholar] [CrossRef]
 - Wong, W.C.; Chan, C.C.; Chen, L.H.; Li, T.; Lee, K.X.; Leong, K.C. Polyvinyl Alcohol Coated Photonic Crystal Optical Fiber Sensor for Humidity Measurement. Sens. Actuators B Chem. 2012, 174, 563–569. [Google Scholar] [CrossRef]
 - Shafkat, A. Analysis of a gold coated plasmonic sensor based on a duplex core photonic crystal fiber. Sens. Bio-Sens. Res. 2020, 28, 100324. [Google Scholar] [CrossRef]
 - Hasan, M.R.; Akter, S.; Rifat, A.A.; Rana, S.; Ahmed, K.; Ahmed, R.; Subbaraman, H.; Abbott, D. Spiral photonic crystal fiber-based dual-polarized surface plasmon resonance biosensor. IEEE Sens. J. 2017, 18, 133–140. [Google Scholar] [CrossRef]
 - Yang, X.; Lu, Y.; Liu, B.; Yao, J. Simultaneous measurement of refractive index and temperature based on SPR in D-shaped MOF. Appl. Opt. 2017, 56, 4369–4374. [Google Scholar] [CrossRef]
 - Rahman, M.; Molla, A.; Paul, A.K.; Based, A.; Rana, M.; Anower, M. Numerical investigation of a highly sensitive plasmonic refractive index sensor utilizing hexagonal lattice of photonic crystal fiber. Results Phys. 2020, 18, 103313. [Google Scholar] [CrossRef]
 - Yasli, A.; Ademgil, H.; Haxha, S.; Aggoun, A. Multi-Channel Photonic Crystal Fiber Based Surface Plasmon Resonance Sensor for Multi-Analyte Sensing. IEEE Photonics J. 2020, 12, 6800515. [Google Scholar] [CrossRef]
 - Chu, S.; Nakkeeran, K.; Abobaker, A.M.; Aphale, S.S.; Sivabalan, S.; Babu, P.R.; Senthilnathan, K. A Surface Plasmon Resonance Bio-Sensor Based on Dual Core D-Shaped Photonic Crystal Fiber Embedded with Silver Nanowires for Multisensing. IEEE Sens. J. 2021, 21, 76–84. [Google Scholar] [CrossRef] [Green Version]
 - Yasli, A.; Ademgil, H. Effect of plasmonic materials on photonic crystal fiber-based surface plasmon resonance sensors. Mod. Phys. Lett. B 2019, 33, 1950157. [Google Scholar] [CrossRef]
 - Azman, M.F.; Mahdiraji, G.A.; Wong, W.R.; Aoni, R.A.; Adikan, F.R.M. Design and fabrication of copper-filled photonic crystal fiber-based polarization filters. Appl. Opt. 2019, 58, 2068–2075. [Google Scholar] [CrossRef]
 - Jabin, A.; Ahmed, K.; Rana, J.; Paul, B.K.; Islam, M.; Vigneswaran, D.; Uddin, M.S. Surface Plasmon Resonance Based Titanium Coated Biosensor for Cancer Cell Detection. IEEE Photonics J. 2019, 11, 3700110. [Google Scholar] [CrossRef]
 - Heikal, A.; Hameed, M.; Obayya, S.S.A. Improved trenched channel plasmonic waveguide. J. Lightwave Technol. 2013, 31, 2184–2191. [Google Scholar] [CrossRef]
 - Burstein, E.; Chen, W.P.; Chen, Y.J.; Hartstein, A. Surface polaritons—propagating electromagnetic modes at interfaces. J. Vac. Sci. Technol. 1974, 11, 1004. [Google Scholar] [CrossRef]
 - Selvendran, S.; Sivanantharaja, A.; Yogalakshmi, S. A highly sensitive Bezier polygonal hollow core photonic crystal fiber biosensor based on surface plasmon resonance. Optik 2018, 171, 109–113. [Google Scholar] [CrossRef]
 - Yogalakshmi, S.; Selvendran, S.; Raja, A.S. Design and analysis of a photonic crystal fiber-based polarization filter using surface plasmon resonance. Laser Phys. 2016, 26, 056201. [Google Scholar] [CrossRef]
 - Xu, Q.; Li, K.; Copner, N.; Lin, S. An Ultrashort Wavelength Multi/Demultiplexer via Rectangular Liquid-Infiltrated Dual-Core Polymer Optical Fiber. Materials 2019, 12, 1709. [Google Scholar] [CrossRef] [PubMed] [Green Version]
 - Rajeswari, D.; Raja, A.S.; Selvendran, S. Design and analysis of polarization splitter based on dual-core photonic crystal fiber. Optik 2017, 144, 15–21. [Google Scholar] [CrossRef]
 - Yang, X.; Lu, Y.; Liu, B.; Yao, J. Tunable polarization filter based on high-birefringence photonic crystal fiber filled with silver wires. Opt. Eng. 2017, 56, 077108. [Google Scholar] [CrossRef]
 - Sharma, M.; Mishra, S.K.; Ung, B. Ultra-sensitive and large dynamic range refractive index sensor utilizing annular core photonic crystal fiber. Spie 2019, 11123, 1112305. [Google Scholar]
 - Zhou, X.; Li, S.; Cheng, T.; An, G. Design of offset core photonic crystal fiber filter based on surface plasmon resonance. Opt. Quantum Electron. 2018, 50, 157. [Google Scholar] [CrossRef]
 - Yang, X.; Lu, Y.; Liu, B.; Yao, J. Polarization characteristics of high-birefringence photonic crystal fiber selectively coated with silver layers. Plasmonics 2018, 13, 1035–1042. [Google Scholar] [CrossRef]
 - Liu, C.; Wang, L.; Wang, F.; Xu, C.; Liu, Q.; Liu, W.; Yang, L.; Li, X.; Sun, T.; Chu, P.K. Tunable single-polarization bimetal-coated and liquid-filled photonic crystal fiber filter based on surface plasmon resonance. Appl. Opt. 2019, 58, 6308–6314. [Google Scholar] [CrossRef]
 - Yan, X.; Guo, Z.; Cheng, T.; Li, S. A novel gold-coated PCF polarization filter based on surface plasmon resonance. Opt. Laser Technol. 2020, 126, 106125. [Google Scholar] [CrossRef]
 - Lavanya, A.; Geetha, G. Broadband polarization filter based on hybrid silver-graphene coated pentagonal photonic crystal fiber. Opt. Quantum Electron. 2021, 53, 117. [Google Scholar] [CrossRef]
 - Guo, Y.; Li, J.; Li, S.; Zhang, S.; Liu, Y. Broadband single-polarization filter of D-shaped photonic crystal fiber with a micro-opening based on surface plasmon resonance. Appl. Opt. 2018, 57, 8016–8022. [Google Scholar] [CrossRef]
 - Almewafy, B.H.; Areed, N.F.F.; Hameed, M.F.O.; Obayya, S.S.A. Modified D-shaped SPR PCF polarization filter at telecommunication wavelengths. Opt. Quantum Electron. 2019, 51, 193. [Google Scholar] [CrossRef]
 - Shima, R.A.; Mollah, A.; Ali, Y. Au-ITO deposited D-shaped photonic crystal fiber polarizer with a micro-opening based on surface plasmon resonance. Optik 2020, 224, 165489. [Google Scholar] [CrossRef]
 - Johnson, P.B.; Christy, R.W. Optical constants of the noble metals. Phys. Rev. 1972, 6, 4370. [Google Scholar] [CrossRef]
 - Rifat, A.A.; Ahmed, R.; Mahdiraji, G.A.; Adikan, F.R.M. Highly Sensitive D-Shaped Photonic Crystal Fiber-Based Plasmonic Biosensor in Visible to Near-IR. IEEE Sens. J. 2017, 17, 2776–2783. [Google Scholar] [CrossRef]
 - Hossain, B.; Islam, S.R.; Hossain, K.T.; Abdulrazak, L.F.; Sakib, N.; Amiri, I. High sensitivity hollow core circular shaped PCF surface plasmonic biosensor employing silver coat: A numerical design and analysis with external sensing approach. Results Phys. 2020, 16, 102909. [Google Scholar] [CrossRef]
 - Rifat, A.A.; Mahdiraji, G.A.; Chow, D.M.; Shee, Y.G.; Ahmed, R.; Adikan, F.R.M. Photonic Crystal Fiber-Based Surface Plasmon Resonance Sensor with Selective Analyte Channels and Graphene-Silver Deposited Core. Sensors 2015, 15, 11499–11510. [Google Scholar] [CrossRef] [Green Version]
 - Zhang, N.; Li, K.; Cui, Y.; Wu, Z.; Shum, P.P.; Auguste, J.-L.; Dinh, X.Q.; Humbert, G.; Wei, L. Ultra-sensitive chemical and biological analysis via specialty fibers with built-in micro structured optofluidic channels. Lab Chip 2018, 18, 655–661. [Google Scholar] [CrossRef]
 - Huang, T. Highly sensitive SPR sensor based on D-shaped photonic crystal fiber coated with indium tin oxide at near-infrared wavelength. Plasmonics 2017, 12, 583–588. [Google Scholar] [CrossRef]
 - Boehm, J.; François, A.; Ebendorff-Heidepriem, H.; Monro, T. Chemical deposition of silver for the fabrication of surface plasmon micro structured optical fibre sensors. Plasmonics 2011, 6, 133–136. [Google Scholar] [CrossRef]
 - Sellmeier, W. To explain the abnormal color sequence in the spectrum of some substances. Ann. Phys. 1870, 219, 272–282. [Google Scholar] [CrossRef] [Green Version]
 - Jiao, S.; Gu, S.; Fang, H.; Yang, H. Analysis of Dual-Core Photonic Crystal Fiber Based on Surface Plasmon Resonance Sensor with Segmented Silver Film. Plasmonics 2019, 14, 685–693. [Google Scholar] [CrossRef]
 - Chen, W.; Thoreson, M.D.; Ishii, S.; Kildishev, A.V.; Shalaev, V.M. Ultra-thin ultra-smooth and low-loss silver films on a germanium wetting layer. Opt. Express 2010, 18, 5124–5134. [Google Scholar] [CrossRef]
 - Rifat, A.A.; Mahdiraji, G.A.; Sua, Y.M.; Shee, Y.G.; Ahmed, R.; Chow, D.; Adikan, F.R.M. Surface plasmon resonance photonic crystal fiber biosensor: A practical sensing approach. IEEE Photonics Technol. Lett. 2015, 27, 1628–1631. [Google Scholar] [CrossRef]
 - Liu, C.; Wang, J.; Jin, X.; Wang, F.; Yang, L.; Lv, J.; Fu, G.; Li, X.; Liu, Q.; Sun, T.; et al. Near-infrared surface plasmon resonance sensor based on photonic crystal fiber with big open rings. Optik 2020, 207, 164466. [Google Scholar] [CrossRef]
 - Paul, B.K.; Ahmed, K.; Rani, M.T.; Pradeep, K.S.; Al-Zahrani, F.A. Ultra-high negative dispersion compensating modified square shape photonic crystal fiber for optical broadband communication. Alex. Eng. J. 2022, 61, 2799–2806. [Google Scholar] [CrossRef]
 - An, G.; Li, S.; Zhang, W.; Fan, Z.; Bao, Y. A polarization filter of gold-filled photonic crystal fiber with regular triangular and rectangular lattices. Opt. Commun. 2014, 331, 316–319. [Google Scholar] [CrossRef]
 - Chao, C.-Y.; Guo, L.J. Design and optimization of micro ring resonators in biochemical sensing applications. J. Lightwave Technol. 2006, 24, 1395–1402. [Google Scholar] [CrossRef]
 - Liu, C.; Su, W.; Liu, Q.; Lu, X.; Wang, F.; Sun, T.; Chu, P.K. Symmetrical dual D-shape photonic crystal fibers for surface plasmon resonance sensing. Opt. Express 2018, 26, 9039–9049. [Google Scholar] [CrossRef] [PubMed]
 - Dasauni, P.; Mahapatra, M.; Saxena, R.; Kundu, S. Refractive index of blood is a potential qualitative indicator of haemoglobin disorder in humans. J. Proteins Proteom. 2018, 9, 1–21. [Google Scholar]
 - Rifat, A.A.; Hasan, M.R.; Ahmed, R.; Butt, H. Photonic crystal fiber-based plasmonic biosensor with external sensing approach. J. Nanophoton. 2017, 12, 012503. [Google Scholar] [CrossRef]
 - Chakma, S.; Khalek, M.A.; Paul, B.K.; Ahmed, K.; Hasan, M.R.; Bahar, A.N. Gold-coated photonic crystal fiber biosensor based on surface plasmon resonance: Design and analysis. Sens. Bio-Sens. Res. 2018, 18, 7–12. [Google Scholar] [CrossRef]
 - Amiri, I.S.; Alwi, S.A.K.; Raya, S.A.; Zainuddin, N.A.M.; Rohizat, N.S.; Rajan, M.M.; Zakaria, R. Graphene Oxide Effect on Improvement of Silver Surface Plasmon Resonance D-Shaped Optical Fiber Sensor. J. Opt. Commun. 2019. [Google Scholar] [CrossRef]
 - De, M.; Markides, C.; Singh, V.K.; Themistos, C.; Rahman, B.M. Analysis of a Single Solid Core Flat Fiber Plasmonic Refractive Index Sensor. Plasmonics 2020, 15, 1429–1437. [Google Scholar] [CrossRef]
 - Zhang, Y.; Chen, H.; Wang, M.; Liu, Y.; Fan, X.; Chen, Q.; Wu, B. Simultaneous measurement of refractive index and temperature of seawater based on surface plasmon resonance in a dual D-type photonic crystal fiber. Mater. Res. Express 2021, 8, 085201. [Google Scholar] [CrossRef]
 - Bahloul, L.; Ferhat, M.L.; Haddouche, I.; Cherbi, L. A high-resolution refractive index sensor of partially cleaved PCF based on surface plasmon resonance. J. Opt. 2022, 51, 260–268. [Google Scholar] [CrossRef]
 - Kumar, D.; Sharma, M.; Singh, V. Surface Plasmon resonance implemented silver thin film PCF sensor with multiple–Hole microstructure for wide ranged refractive index detection. Mater. Today Proc. 2022, in press. [Google Scholar] [CrossRef]
 - Meng, F.; Wang, H.; Fang, D. Research on D-Shape Open-Loop PCF Temperature Refractive Index Sensor Based on SPR Effect. IEEE Photonics J. 2022, 14, 5727605. [Google Scholar] [CrossRef]
 - Danlard, I.; Mensah, I.O.; Akowuah, E.K. Design and numerical analysis of a fractal cladding PCF-based plasmonic sensor for refractive index, temperature, and magnetic field. Optik 2022, 258, 168893. [Google Scholar] [CrossRef]
 















| Year/Ref | Plasmonic Material Used | Application Demonstrated | Sensitivity [nm/RIU] | RI Range | 
|---|---|---|---|---|
| 2015/[37] | Silver/Graphene | Sensor | 3000 | 1.46–1.49 | 
| 2017/[51] | Gold | Sensor | 4000 | 1.33–1.37 | 
| 2018/[10] | Gold | Sensor | 4600 | 1.33–1.38 | 
| 2018/[52] | Gold | sensor | 9000 | 1.34–1.37 | 
| 2019/[15] | Silver/Graphene | Sensor | 3750 | 1.33–1.35 | 
| 2019/[53] | Silver/Graphene | Sensor | 833.33 | 1.30–1.34 | 
| 2020/[13] | Silver/Gold | Sensor | 3083 | 1.33–1.366 | 
| 2020/[54] | Gold/Titanium dioxide | Sensor | 4782 | 1.49–1.54 | 
| 2021/[55] | Gold/polydimethylsiloxane | Sensor | 1371 | 1.33–1.34 | 
| 2022/[56] | Silver | Sensor | 4100 | 1.38–1.41 | 
| 2022/[57] | Silver | Sensor | 1932 | 1.25–1.30 | 
| 2022/[58] | Gold | Sensor | 3000 | 1.40–1.46 | 
| 2022/[59] | Gold | Sensor | 3300 | 1.35–1.40 | 
| Proposed work | Silver | Filter/sensor | 5000 | 1.34–1.37 | 
Publisher’s Note: MDPI stays neutral with regard to jurisdictional claims in published maps and institutional affiliations.  | 
© 2022 by the authors. Licensee MDPI, Basel, Switzerland. This article is an open access article distributed under the terms and conditions of the Creative Commons Attribution (CC BY) license (https://creativecommons.org/licenses/by/4.0/).
Share and Cite
Selvendran, S.; Divya, J.; Sivanantha Raja, A.; Sivasubramanian, A.; Itapu, S. A Reconfigurable Surface-Plasmon-Based Filter/Sensor Using D-Shaped Photonic Crystal Fiber. Micromachines 2022, 13, 917. https://doi.org/10.3390/mi13060917
Selvendran S, Divya J, Sivanantha Raja A, Sivasubramanian A, Itapu S. A Reconfigurable Surface-Plasmon-Based Filter/Sensor Using D-Shaped Photonic Crystal Fiber. Micromachines. 2022; 13(6):917. https://doi.org/10.3390/mi13060917
Chicago/Turabian StyleSelvendran, S., J. Divya, A. Sivanantha Raja, A. Sivasubramanian, and Srikanth Itapu. 2022. "A Reconfigurable Surface-Plasmon-Based Filter/Sensor Using D-Shaped Photonic Crystal Fiber" Micromachines 13, no. 6: 917. https://doi.org/10.3390/mi13060917
APA StyleSelvendran, S., Divya, J., Sivanantha Raja, A., Sivasubramanian, A., & Itapu, S. (2022). A Reconfigurable Surface-Plasmon-Based Filter/Sensor Using D-Shaped Photonic Crystal Fiber. Micromachines, 13(6), 917. https://doi.org/10.3390/mi13060917
        
                                                
