Effects of Anisotropy on Single Crystal Silicon in Polishing Non-Continuous Surface
Abstract
1. Introduction
2. Simulation Method
3. Results and Discussion
3.1. Analysis of the Surface Topography and Displacement Vector
3.1.1. Analysis of the Surface Topography
3.1.2. Effects of Anisotropy on the Deformation of Pores
3.2. Analysis of the Polishing Force
3.2.1. Calculation Method of the Polishing Force
3.2.2. Changes of the Polishing Force
3.3. Phase Transformation Analysis
3.3.1. Principle of Phase Transformation
3.3.2. Effects of Anisotropy on Phase Transformation
4. Summary and Conclusions
- (1)
- It can be found that, when the surface in the Y-direction is (010) and (011) surfaces, the bending deformation of the A side belongs to the entire deformation. When the surface in the Y-direction is (111) surface, the deformation of the A side belongs to the large local deformation. It is also found that the elastic deformation of A side in the Si(011) workpiece is larger than that in other workpieces. The average displacement of the B side in the Si(111) workpiece is always greater than the other two workpieces. The fluctuation of the tangential force is relatively small and that of the normal force is relatively large. For the tangential force, crystallographic orientations mainly affect the position where the tangential force reaches the maximum and minimum values and the decrease of the tangential force in pore areas. For the normal force, the position of the normal force reaching the maximum and minimum values near the pores is basically the same, and different crystallographic orientations have no obvious effect on the drop of the normal force, except for a slight fluctuation in the value.
- (2)
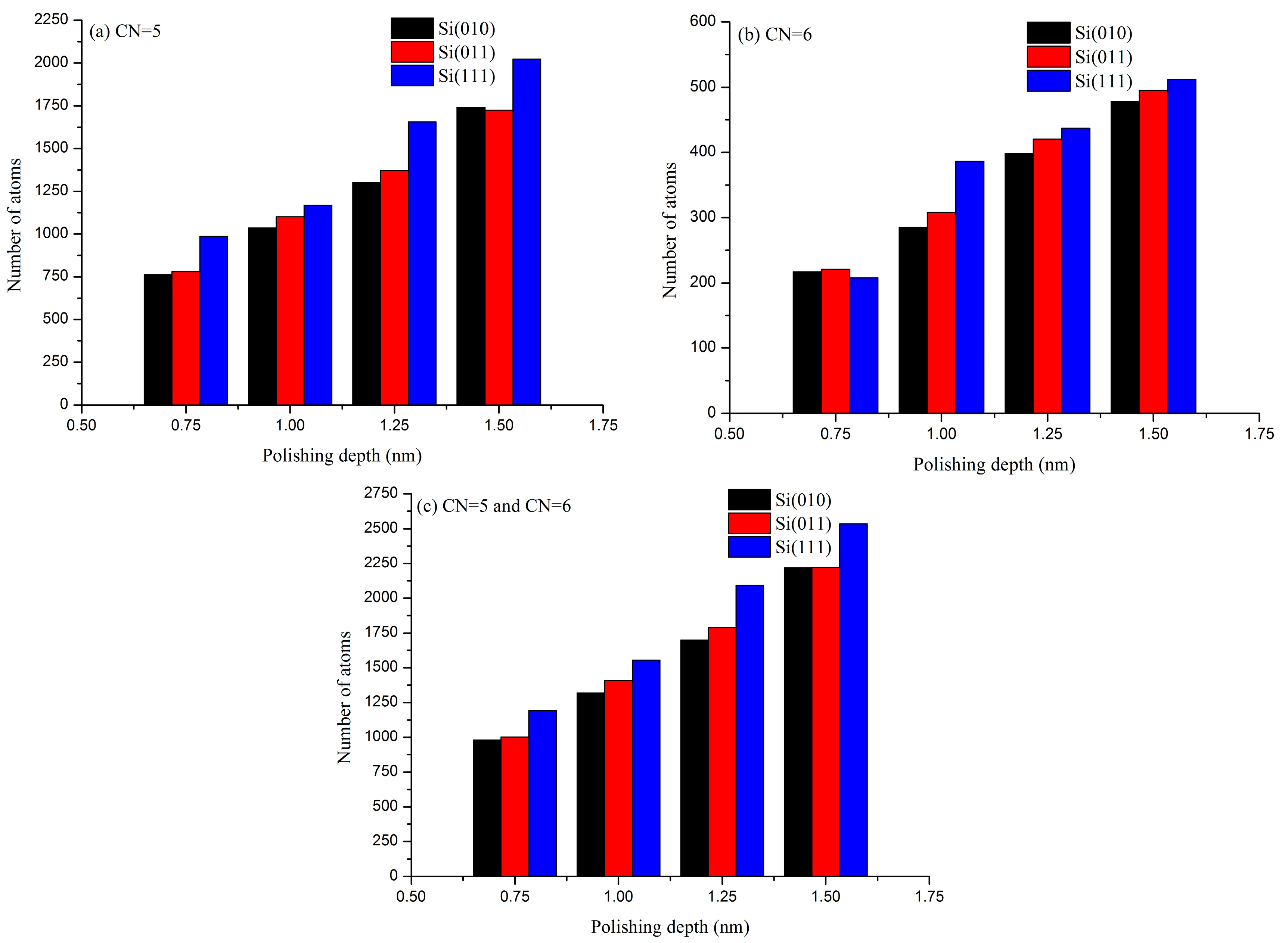
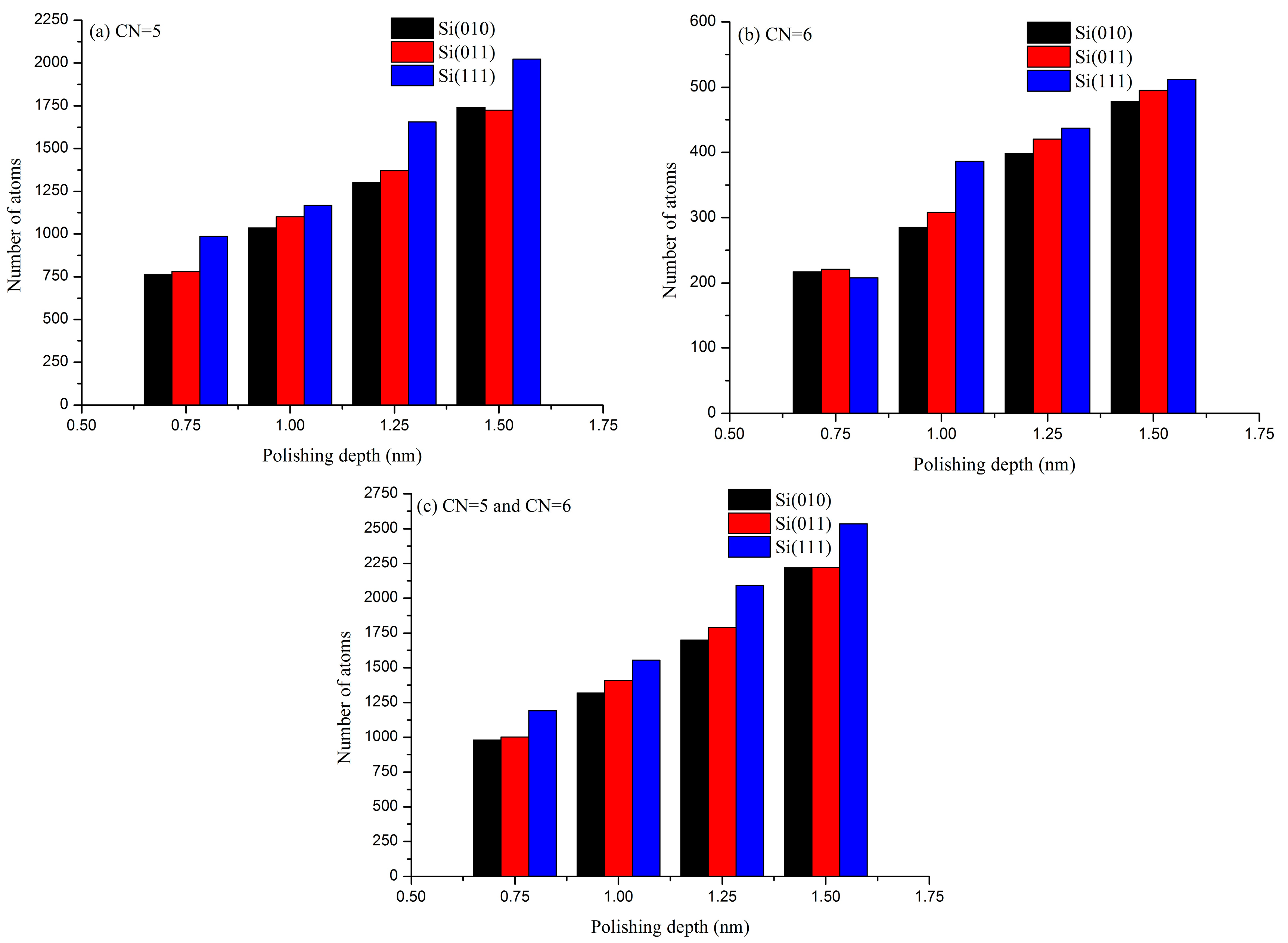
- For the amorphous atoms with the coordination number of 5, atoms with the coordination number of 5 on the Si(111) surface are the most at all polishing depths. For the atoms with the coordination number of 6, effects of crystallographic orientations on it are similar to that on the atoms with the coordination number of 5. When the polishing depth is 1 nm, A and C sides in the Si(010) and Si(011) workpieces show overall deterioration, and the transformation extends to the bottom of the pores. A and C sides in the Si(111) workpiece show local deterioration, which is serious, but does not extend to the bottom of the pores.
Author Contributions
Funding
Conflicts of Interest
References
- Kim, K.S.; Hwang, J.W.; Lee, K.A. Effect of building direction on the mechanical anisotropy of biocompatible Co-Cr-Mo alloy manufactured by selective laser melting process. J. Alloys Compd. 2020, 834, 155055. [Google Scholar] [CrossRef]
- Goel, S.; Luo, X.; Agrawal, A.; Reuben, R.L. Diamond machining of silicon: A review of advances in molecular dynamics simulation. Int. J. Mach. Tools Manuf. 2015, 88, 131–164. [Google Scholar] [CrossRef]
- Lin, B.C.; Chen, W.; Yang, Y.; Wu, F.; Li, Z. Anisotropy of microstructure and tensile properties of Ti-48Al-2Cr-2Nb fabricated by electron beam melting. J. Alloys Compd. 2020, 830, 154684. [Google Scholar] [CrossRef]
- Grassi, E.N.D.; Chagnon, G.; de Oliveira, H.M.R.; Favier, D. Anisotropy and clausius-clapeyron relation for forward and reverse stress-induced martensitic transformations in polycrystalline NiTi thin walled tubes. Mech. Mater. 2020, 146, 103392. [Google Scholar] [CrossRef]
- Heidari, M.; Yan, J. Material removal mechanism and surface integrity in ultraprecision cutting of porous titanium. Precis. Eng. 2018, 52, 356–369. [Google Scholar] [CrossRef]
- Liu, Z.; Ji, F.; Wang, M.; Zhu, T. Study on the Tribological Properties of Porous Titanium Sliding against Tungsten Carbide YG6. Metals 2017, 7, 28. [Google Scholar] [CrossRef]
- Heidari, M.; Akbari, J.; Yan, J. Effects of tool rake angle and tool nose radius on surface quality of ultraprecision diamond-turned porous silicon. J. Manuf. Process 2019, 37, 321–331. [Google Scholar] [CrossRef]
- Li, Y.; Shuai, M.; Zhang, J.; Zheng, H.; Sun, T.; Yang, Y. Molecular dynamics investigation of residual stress and surface roughness of cerium under diamond cutting. Micromachines 2018, 9, 386. [Google Scholar] [CrossRef]
- Zhao, P.; Zhang, Q.; Guo, Y.; Liu, H.; Deng, Z. Atomistic simulation study of nanoparticle effect on nano-Cutting mechanisms of single-crystalline materials. Micromachines 2020, 11, 265. [Google Scholar] [CrossRef]
- Filippov, P.; Koch, U. Nanoindentation of aluminum single crystals: Experimental study on influencing factors. Materials 2019, 12, 3688. [Google Scholar] [CrossRef]
- Tang, B.; Wang, Z.; Guo, N.; Wang, Q.; Liu, P. An extended drucker yield criterion to consider tension-compression asymmetry and anisotropy on metallic materials: Modeling and verification. Metals 2020, 10, 20. [Google Scholar] [CrossRef]
- Armstrong, R.W.; Elban, W.L. Dislocation reaction mechanism for enhanced strain hardening in crystal nano-indentations. Crystals 2020, 10, 9. [Google Scholar] [CrossRef]
- Kitsuya, S.; Ohtsubo, H.; Fujita, N.; Ichimiya, K.; Hase, K. Effect of crystallographic texture on anisotropy of mechanical properties in high strength martensitic steel. ISIJ Int. 2020, 60, 346–351. [Google Scholar] [CrossRef]
- Bürger, D.; Dlouhy, A.; Yoshimi, K.; Eggeler, G. How nanoscale dislocation reactions govern low-temperature and high-stress creep of Ni-base single crystal superalloys. Crystals 2020, 10, 134. [Google Scholar] [CrossRef]
- Zhan, Z.; Chen, Y.; Radovic, M.; Srivastava, A. Non-classical crystallographic slip in a ternary carbide–Ti2AlC. Mater. Res. Lett. 2020, 8, 275–281. [Google Scholar] [CrossRef]
- Frydrych, K.; Maj, M.; Urbanski, L.; Kowalczyk-Gajewska, K. Twinning-induced anisotropy of mechanical response of AZ31B extruded rods. Mater. Sci. Eng. A-Struct. Mater. Prop. Microstruct. Process. 2020, 771, 138610. [Google Scholar] [CrossRef]
- Xie, W.; Fang, F. Cutting-Based Single atomic layer removal mechanism of monocrystalline copper: Atomic sizing effect. Nanomanuf. Metrol. 2019, 2, 241–252. [Google Scholar] [CrossRef]
- Frodal, B.H.; Morin, D.; Borvik, T.; Hopperstad, O.S. On the effect of plastic anisotropy, strength and work hardening on the tensile ductility of aluminium alloys. Int. J. Solids Struct. 2020, 188, 118–132. [Google Scholar] [CrossRef]
- Pogrebnjak, A.D.; Beresnev, V.M.; Bondar, O.V.; Postolnyi, B.O.; Zaleski, K.; Coy, E.; Jurga, S.; Lisovenko, M.O.; Konarski, P.; Rebouta, L.; et al. Superhard CrN/MoN coatings with multilayer architecture. Mater. Des. 2018, 153, 47–59. [Google Scholar] [CrossRef]
- Pogrebnjak, A.D.; Ivashchenko, V.I.; Skrynskyy, P.L.; Bondar, O.V.; Konarski, P.; Zaleski, K.; Jurga, S.; Coy, E. Experimental and theoretical studies of the physicochemical and mechanical properties of multi-layered TiN/SiC films: Temperature effects on the nanocomposite structure. Compos. Part B-Eng. 2018, 142, 85–94. [Google Scholar] [CrossRef]
- Meng, B.; Yuan, D.; Xu, S. Atomic-Scale characterization of slip deformation and nanometric machinability of single-crystal 6H-SiC. Nanoscale Res. Lett. 2019, 14, 309. [Google Scholar] [CrossRef] [PubMed]
- Cang, Y.; Wang, Z.; Bishop, C.; Yu, L.; Ediger, M.D.; Fytas, G. Extreme elasticity anisotropy in molecular glasses. Adv. Funct. Mater. 2020, 30, 2001481. [Google Scholar] [CrossRef]
- Chen, J.; Li, M.; Wang, F.; Lu, L.; Qin, J.; Shang, Q.; Miao, X.; Niu, L.; Liu, H.; Zhou, G.; et al. Effects of anisotropy on single-crystal SiO2 in nano-metric cutting. Adv. Mech. Eng. 2020, 12, 1687814019895163. [Google Scholar] [CrossRef]
- Nagai, M.; Nakamura, Y.; Yamada, T.; Tabakoya, T.; Matsumoto, T.; Inokuma, T.; Nebel, C.E.; Makino, T.; Yamasaki, S.; Tokuda, N. Formation of U-shaped diamond trenches with vertical {111} sidewalls by anisotropic etching of diamond (110) surfaces. Diam. Relat. Mater. 2020, 103, 107713. [Google Scholar] [CrossRef]
- Liu, H.; Zong, W.; Cheng, X. Origins for the anisotropy of the friction forcke of diamond sliding on diamond. Tribol. Int. 2020, 148, 106298. [Google Scholar] [CrossRef]
- Zhao, C.; Cai, Y.; Ding, Y.; Yang, L.; Wang, Z.; Wang, Y. Investigation on the crack fracture mode and edge quality in laser dicing of glass-anisotropic silicon double-layer wafer. J. Mater. Process. Technol. 2020, 275, 116356. [Google Scholar] [CrossRef]
- Rickhey, F.; Marimuthu, K.P.; Lee, K.; Lee, H. Indentation cracking of monocrystalline silicon considering fracture anisotropy. Theor. Appl. Fract. Mech. 2019, 100, 128–138. [Google Scholar] [CrossRef]
- Ji, C.; Shi, J.; Liu, Z.; Wang, Y. Comparison of tool-chip stress distributions in nano-machining of monocrystalline silicon and copper. Int. J. Mech. Sci. 2013, 77, 30–39. [Google Scholar] [CrossRef]
- Tersoff, J. Modeling solid-state chemistry: Interatomic potentials for multicomponent systems. Phys. Rev. B (Condens. Matter) 1989, 39, 5566–5568. [Google Scholar] [CrossRef]
- Plimpton, S. Fast parallel algorithms for short-range molecular dynamics. J. Comput. Phys. 1995, 117, 1–19. [Google Scholar] [CrossRef]
- Stukowski, A. Visualization and analysis of atomistic simulation data with OVITO-the Open Visualization Tool. Model. Simul. Mater. Sci. Eng. 2010, 18, 015012. [Google Scholar] [CrossRef]
- Ledvij, M. Curve fitting made easy. Ind. Phys. 2003, 9, 24–27. [Google Scholar]
- Wang, G.; Feng, Z.; Zheng, Q.; Li, B.; Zhou, H. Molecular dynamics simulation of nano-polishing of single crystal silicon on non-continuous surface. Mater. Sci. Semicond. Process. 2020, 118, 105168. [Google Scholar] [CrossRef]











| Parameters | Value |
|---|---|
| Radius of abrasive | 2 nm |
| Atom number of abrasive | 5899 |
| Size of workpiece | 17 × 11 × 11 nm3 |
| Atom number of workpiece | Si(010): 102241 Si(011): 102374 Si(010): 101493 |
| Time step | 1 fs |
| Initial temperature | 293 K |
| Polishing depth (ap) | 0.75 nm, 1 nm, 1.25 nm, 1.5 nm |
| Polishing distance | 14.2 nm |
| Polishing direction | [-100] on (010) surface [-100] on (011) surface [-11-2] on (111) surface |
| Size of pore | 2 × 3 × 6 nm3 |
| Polishing speed | 100 m/s |
| Spinning speed | 25 m/s |
© 2020 by the authors. Licensee MDPI, Basel, Switzerland. This article is an open access article distributed under the terms and conditions of the Creative Commons Attribution (CC BY) license (http://creativecommons.org/licenses/by/4.0/).
Share and Cite
Wang, G.; Feng, Z.; Hu, Y.; Liu, J.; Zheng, Q. Effects of Anisotropy on Single Crystal Silicon in Polishing Non-Continuous Surface. Micromachines 2020, 11, 742. https://doi.org/10.3390/mi11080742
Wang G, Feng Z, Hu Y, Liu J, Zheng Q. Effects of Anisotropy on Single Crystal Silicon in Polishing Non-Continuous Surface. Micromachines. 2020; 11(8):742. https://doi.org/10.3390/mi11080742
Chicago/Turabian StyleWang, Guilian, Zhijian Feng, Yahui Hu, Jie Liu, and Qingchun Zheng. 2020. "Effects of Anisotropy on Single Crystal Silicon in Polishing Non-Continuous Surface" Micromachines 11, no. 8: 742. https://doi.org/10.3390/mi11080742
APA StyleWang, G., Feng, Z., Hu, Y., Liu, J., & Zheng, Q. (2020). Effects of Anisotropy on Single Crystal Silicon in Polishing Non-Continuous Surface. Micromachines, 11(8), 742. https://doi.org/10.3390/mi11080742
