Development of Proportional–Integrative–Derivative (PID) Optimized for the MicroElectric Discharge Machine Fabrication of Nano-Bismuth Colloid
Abstract
1. Introduction
2. Materials and Methods
2.1. Micro Electric Discharge Machine
2.1.1. Discharge Circuit
2.1.2. Motor Control and Feedback Circuit
2.1.3. Logic Determination Circuit
2.1.4. VisSim Monitoring System
2.2. Micro-EDM Preparation Process Optimization
2.2.1. Micro-EDM System Control
2.2.2. Micro-EDM System Parameters
2.2.3. PID Tuning Methods
2.3. Analytical Instruments for Nano-Bi Colloids
3. Results
3.1. Manual PID Setting
3.2. PID Tuner to Optimize PID Setting
3.3. Analysis of Nano-Bi
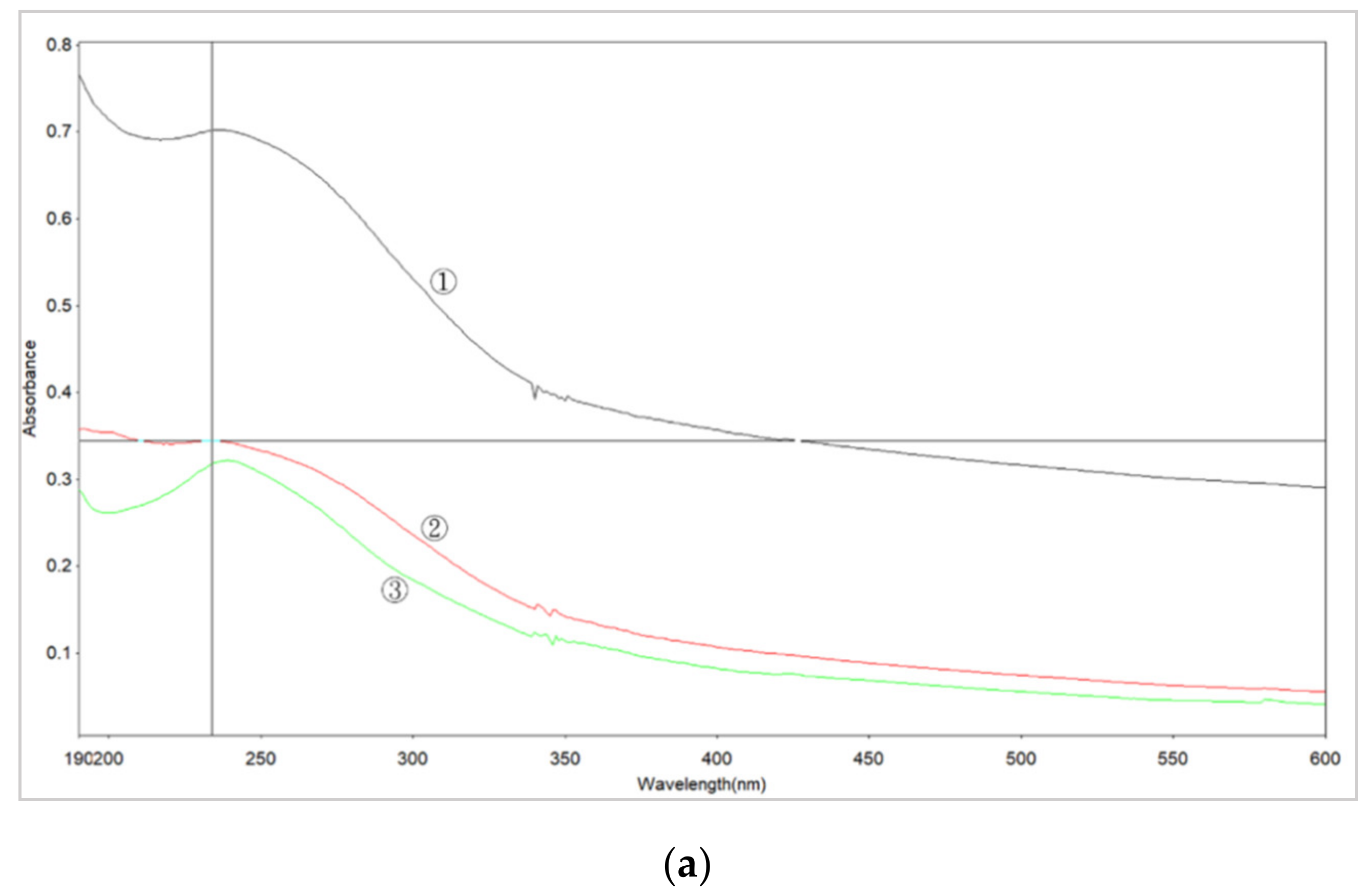
3.3.1. Peak Absorption of Nano-Bi Using UV–Vis
3.3.2. Analyses Using TEM
3.3.3. Analyses Using Energy-Dispersive X-ray Spectroscopy
4. Conclusions
- In this study, a nano-bi colloid successfully prepared by using the micro-EDM with parameter Kp = 3.622, Ki = 74.2472 and Kd = 74.2472 and Ton-Toff 50–300 us in 2 min;
- Preparing nano-bi use micro-EDM with manual adjustments in Kp, Ki and Kd have been made previously, but whether the derived parameters are optimal is unclear. In this study, each block of the micro-EDM and transfer function was examined. Then use MATLAB to determine the PID parameters of the micro-EDM model. The results indicate that Kp, Ki and Kd values obtained using MATLAB were suitable for application to the micro-EDM and the discharge success rate 74.1876%;
- In general, nanomaterials in sputum prepared through a micro-EDM are nonpolluting. This method requires no additional chemical materials and used pure water as a medium;
- A TEM and EDX confirmed that the colloidal solution prepared in this study was indeed composed of nano-bi. UV absorption peaks of nano-bi were found at 234 and 237 nm.
Author Contributions
Funding
Acknowledgments
Conflicts of Interest
References
- Wang, Y.; Herron, N. Nanometer-sized semiconductor clusters: Materials synthesis, quantum size effects, and photophysical properties. J. Phys. Chem. 1991, 95, 525–532. [Google Scholar] [CrossRef]
- Zhou, B.; Hermans, S.; Somorjai, G.A. Nanotechnology in Catalysis; Springer Science & Business Media: Berlin, Germany, 2003. [Google Scholar]
- Micheli, D.; Apollo, C.; Pastore, R.; Marchetti, M. X-band microwave characterization of carbon-based nanocomposite material, absorption capability comparison and RAS design simulation. Compos. Sci. Technol. 2010, 70, 400–409. [Google Scholar] [CrossRef]
- Ferrari, M. Cancer nanotechnology: Opportunities and challenge. Nat. Rev. Cancer 2005, 5, 161–171. [Google Scholar] [CrossRef]
- Davis, S.S. Biomedical applications of nanotechnology-implications for drug targeting and gene therapy. Trends Biotechnol. 1997, 15, 217–224. [Google Scholar] [CrossRef]
- Glenn, J.C. Nanotechnology: Future military environmental health considerations. Technol. Forecast. Soc. Chang. 2006, 73, 128–137. [Google Scholar] [CrossRef]
- Wang, W.Z.; Poudel, B.; Ma, Y.; Ren, Z.F. Shape control of single crystalline bismuth nanostructures. J. Phys. Chem. B 2006, 110, 25702–25706. [Google Scholar] [CrossRef]
- Khasanov, R.; Radonjić, M.M.; Luetkens, H.; Morenzoni, E.; Simutis, G.; Schönecker, S.; Appelt, W.H.; Östlin, A.; Chioncel, L.; Amato, A. Superconducting nature of the Bi-II phase of elemental bismuth. Phys. Rev. B 2019, 99, 174506. [Google Scholar] [CrossRef]
- Chatterjee, A.; Bhattacharjee, P.; Roy, N.K.; Kumbhakar, P. Usage of nanotechnology based gas sensor for health assessment and maintenance of transformers by DGA method. Int. J. Electr. Power Energy Syst. 2013, 45, 137–141. [Google Scholar] [CrossRef]
- Li, M.; Myers, E.B.; Tang, H.X.; Aldridge, S.J.; McCaig, H.C.; Whiting, J.J.; Simonson, R.J.; Lewis, N.S.; Roukes, M.L. Nanoelectromechanical resonator arrays for ultrafast, gas-phase chromatographic chemical analysis. Nano Lett. 2010, 10, 3899–3903. [Google Scholar] [CrossRef] [PubMed]
- Abbas, N.M.; Solomon, D.G.; Bahari, M.F. A review on current research trends in electrical discharge machining (EDM). Int. J. Mach. Tools Manuf. 2007, 47, 1214–1228. [Google Scholar] [CrossRef]
- Di Bitonto, D.D. Theoretical models of the electrical discharge machining process. I. A simple cathode erosion model. J. Appl. Phys. 1989, 66, 4095. [Google Scholar] [CrossRef]
- Patel, M.R.; Barrufet, M.A.; Eubank, P.T. Theoretical models of the electrical discharge machining process. II. The anode erosion model. J. Appl. Phys. 1989, 66, 4104. [Google Scholar] [CrossRef]
- Benilov, A.; Skryshevsky, V.; Robach, Y.; Cabrera, M. Micro and nano electrical discharge machining in microfluidics and micro nanotechnology. Int. J. Mater. Form. 2008, 1 (Suppl. 1), 1315–1318. [Google Scholar] [CrossRef]
- Qin, Y. Micromanufacturing Engineering and Technology; William Andrew: Norwich, NY, USA, 2010. [Google Scholar]
- Tabrizi, N.S.; Ullmann, M.; Vons, V.A.; Lafont, U.; Schmidt-Ott, A. Generation of nanoparticles by spark discharge. J. Nanoparticle Res. 2009, 11, 315. [Google Scholar] [CrossRef]
- Tseng, K.; Kao, Y.; Chang, C. Development and implementation of a micro-electric discharge machine: Real-time monitoring system of fabrication of nanosilver colloid. J. Clust. Sci. 2016, 27, 763–773. [Google Scholar] [CrossRef]
- Tiwary, A.P.; Pradhan, B.B.; Bhattacharyya, B. Study on the influence of micro-EDM process parameters during machining of Ti–6Al–4V superalloy. Int. J. Adv. Manuf. Technol. 2015, 76, 151–160. [Google Scholar] [CrossRef]
- Guo, Y.; Ling, Z.; Zhang, X. A novel PWM power amplifier of magnetic suspension spindle control system for micro EDM. Int. J. Adv. Manuf. Technol. 2016, 83, 961–973. [Google Scholar] [CrossRef]
- Cui, J.; Chu, Z. Composite motion design procedure for vibration assisted small-hole EDM using one voice coil motor. Shock Vib. 2016, 2016, 7. [Google Scholar] [CrossRef]
- Paczkowski, T.; Zdrojewski, J. Monitoring and control of the electrochemical machining process under the conditions of a vibrating tool electrode. J. Mater. Process. Technol. 2017, 244, 204–214. [Google Scholar] [CrossRef]
- Tseng, K.; Chiu, J.; Lee, H.; Kao, Y.; Tien, D. Spark parameter monitoring feedback system for preparation of nanosilver colloid in EDM. Mater. Manuf. Process. 2016, 31, 186–193. [Google Scholar] [CrossRef]
- Zhou, M.; Mu, X.; He, L.; Ye, Q. Improving EDM performance by adapting gap servo-voltage to machining state. J. Manuf. Process. 2019, 37, 101–113. [Google Scholar] [CrossRef]
- Cominos, P.; Munro, N. PID controllers: Recent tuning methods and design to specification. IEE Proc. Control Theory Appl. 2002, 149, 46–53. [Google Scholar] [CrossRef]
- Tore, H.; Astrom, K.J. PID Controllers: Theory, Design and Tuning; ISA-The Instrumentation, Systems, and Automation Society: Pittsburgh, PA, USA, 1995. [Google Scholar]
- Murad, A.; Chen, R.; Turevskiy, A. PID Control Design Made Easy. Matlab Digest. pp. 1–4. Available online: https://www.mathworks.com/company/newsletters/articles/pid-control-design-made-easy.html (accessed on 30 November 2009).
- Yadav, M.; Tayal, V.K. Performance enhancement of induction motor using PID controller with PID tuner. Adv. Interdiscip. Eng. 2019. [Google Scholar] [CrossRef]
- Ang, K.H.; Chong, G.C.Y.; Li, Y. PID control system analysis, design, and technology. IEEE Trans. Control Syst. Technol. 2015, 13, 559–576. [Google Scholar]
- Wang, L. PID Control System Design and Automatic Tuning Using MATLAB/Simulink; John Wiley Sons: Hoboken, NJ, USA, 2020. [Google Scholar]
- Hamelian, M.; Zangeneh, M.M.; Amisama, A.; Varmira, K.; Veisi, H. Green synthesis of silver nanoparticles using Thymus kotschyanus extract and evaluation of their antioxidant, antibacterial and cytotoxic effects. Appl. Organomet. Chem. 2018, 32, e4458. [Google Scholar] [CrossRef]
- Tanabe, I.; Yamada, Y.; Ozaki, Y. Far- and Deep-UV Spectroscopy of semiconductor nanoparticles measured based on attenuated total reflectance spectroscopy. ChemPhysChem 2016, 17, 516–519. [Google Scholar] [CrossRef] [PubMed]
- Mikolajczyk, A.; Gajewicz, A.; Rasulev, B.; Schaeublin, N.; Maurer-Gardner, E.; Hussain, S.; Leszczynski, J.; Puzyn, T. Zeta potential for metal oxide nanoparticles: A predictive model developed by a nano-quantitative structure-property relationship approach. Chem. Mater. 2015, 27, 2400–2407. [Google Scholar] [CrossRef]
- Lowry, G.V.; Hill, R.J.; Harper, S.; Rawle, A.F.; Hendren, C.O.; Klaessig, F.; Nobbmann, U.; Sayre, P.; Rumble, J. Guidance to improve the scientific value of zeta-potential measurements in nanoEHS. Environ. Sci. Nano 2016, 3, 953–965. [Google Scholar] [CrossRef]
- Saleh, T.A.; Al-Shalalfeh, M.M.; Al-Saadi, A.A. Graphene Dendrimer-stabilized silver nanoparticles for detection of methimazole using Surface-enhanced Raman scattering with computational assignment. Sci. Rep. 2016, 6, 32185. [Google Scholar] [CrossRef]















| Experimental Parameter | Values |
|---|---|
| Ton–Toff | 30–300, 50–300 us |
| Discharge time | 2 min |
| Electrode | 99.99% bismuth rods with diameter 3.175 mm and length 100 mm |
| Temperature | 25 °C (room temperature) |
| Atmospheric pressure | 1 atm |
| Dielectric fluid | 200 mL deionized water |
| Ki, Kp, Kd | 3.622, 74.2724, 0.018846; 3.622, 74.2724, 74.2724; 0.5, 0.05, 0.05 |
| Entry | Duty Cycle (us-us) | Kp, Ki, Kd | Absorption Peak(À) | Wavelength (nm) | Size (nm) |
|---|---|---|---|---|---|
| ① | 50–300 | Kp = 3.622, Ki = 74.2724, Kd = 74.2724 | 0.702 | 237 | 96.42 |
| ② | 50–300 | Kp = 3.622, Ki = 74.2724, Kd = 0.018846 | 0.345 | 234 | 90.9 |
| ③ | 30–300 | Kp = 0.5, Ki = 0.05, Kd = 0.05 | 0.321 | 237 | 126.7 |
Publisher’s Note: MDPI stays neutral with regard to jurisdictional claims in published maps and institutional affiliations. |
© 2020 by the authors. Licensee MDPI, Basel, Switzerland. This article is an open access article distributed under the terms and conditions of the Creative Commons Attribution (CC BY) license (http://creativecommons.org/licenses/by/4.0/).
Share and Cite
Tseng, K.-H.; Chang, C.-Y.; Cahyadi, Y.; Chung, M.-Y.; Hsieh, C.-L. Development of Proportional–Integrative–Derivative (PID) Optimized for the MicroElectric Discharge Machine Fabrication of Nano-Bismuth Colloid. Micromachines 2020, 11, 1065. https://doi.org/10.3390/mi11121065
Tseng K-H, Chang C-Y, Cahyadi Y, Chung M-Y, Hsieh C-L. Development of Proportional–Integrative–Derivative (PID) Optimized for the MicroElectric Discharge Machine Fabrication of Nano-Bismuth Colloid. Micromachines. 2020; 11(12):1065. https://doi.org/10.3390/mi11121065
Chicago/Turabian StyleTseng, Kuo-Hsiung, Chaur-Yang Chang, Yagus Cahyadi, Meng-Yun Chung, and Chin-Liang Hsieh. 2020. "Development of Proportional–Integrative–Derivative (PID) Optimized for the MicroElectric Discharge Machine Fabrication of Nano-Bismuth Colloid" Micromachines 11, no. 12: 1065. https://doi.org/10.3390/mi11121065
APA StyleTseng, K.-H., Chang, C.-Y., Cahyadi, Y., Chung, M.-Y., & Hsieh, C.-L. (2020). Development of Proportional–Integrative–Derivative (PID) Optimized for the MicroElectric Discharge Machine Fabrication of Nano-Bismuth Colloid. Micromachines, 11(12), 1065. https://doi.org/10.3390/mi11121065

